Original scientific papers
A study on integral transforms of the generalized Lommel-Wright function
Исследование интегральных преобразований обобщенных функций Ломмеля-Райта
Студија о интегралним трансформацијама генерализоване функције Ломела и Рајта
A study on integral transforms of the generalized Lommel-Wright function
Vojnotehnicki glasnik/Military Technical Courier, vol. 70, no. 2, pp. 263-282, 2022
University of Defence

Received: 10 February 2022
Revised document received: 14 March 2022
Accepted: 15 March 2022
Abstract:
Introduction/purpose: The aim of this article is to establish integral transforms of the generalized Lommel-Wright function. Methods: These transforms are expressed in terms of the Wright Hypergeometric function Results: Integrals involving the trigonometric, generalized Bessel function and the Struve functions are obtained. Conclusions: Various interesting transforms as the consequence of this method are obtained.
Keywords: Generalized Lommel-Wright functions J(z), Hankel transform, K-transform, Wright function, Whittaker function.
Pезюме:
Введение/цель: Целью данной статьи является установление интегральных преобразований обобщенной функции Ломмеля-Райта. Методы: Эти преобразования выражаются в терминах гипергеометрической функции Райта. Результаты: В результате получены интегралы с тригонометрическими, обобщенными функциями Бесселя и Струве. Выводы: Вследствие применения данного метода получаются различные интересные преобразования.
Ключевые слова: обобщенные функции Ломмеля-Райта J(z), преобразование Ханкеля, К-преобразование, функция Райта, функция Уиттекера.
Abstract:
Увод/циљ: Циљ овог рада јесте успостављање интегралних трансформација генерализоване функције Ломела и Рајта. Методе: Интегралне трансформације изражене су помоћу Рајтове хипергеометријске функције. Резултати: Добијени су интеграли који укључују тригонометријске, генерализоване Беселове и Струвеове функције. Закључак: Као последице ове методе добијају се разне занимљиве трансформације.
Keywords: генерализоване функције Ломела и Рајта Ј(z), Ханкелова трансформација, К-трансформација, Рајтова функција, Витакерова функција.
Introduction
The transform defined by the following integral equation
(1)is called the k transform with p as a complex parameter and Kν(px) is called the Modified Bessel function of the third kind or the Macdonald function, see (Mathai et al, 2010, p.53). The Hankel transform of a function f(x), denoted by g(p, ν) is defined as
(2)where Jν(px) is called the Bessel-Maitland function or the Maitland-Bessel function (Mathai et al, 2010, p.22 and p.56).
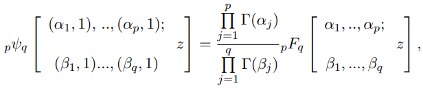
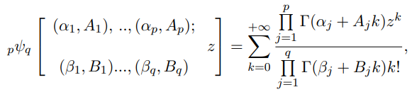
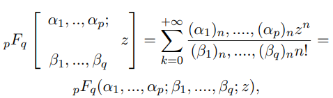
The Wright hypergeometric function defined by the series (Srivastava & Manocha, 1984):
(3)where the coefficients A1, ....Ap and B1, ....Bq are positive real numbers such that
(4)can be slightly generalized (3) as given below.
(5)where pFq is the generalized hypergeometric function defined by (Srivastava & Manocha, 1984; Rainville, 1960)
(6)where (λ)n is the well known Pochhammer symbol (Srivastava & Manocha, 1984).
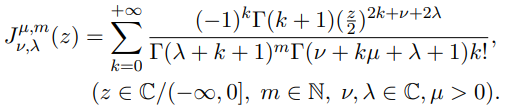
The series representation of the generalized Lommel Wright function as (Kachhia & Prajapati, 2016);
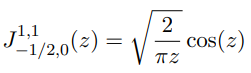
(7)Also, we have the following relations of the generalized Lommel Wright functions with trigonometric functions and the generalized Bessel function
and the Struve function as follows:
(8)
(9)
(10)
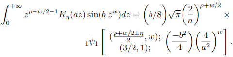
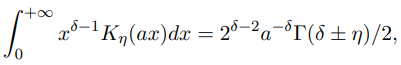
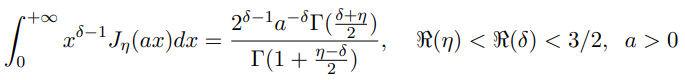
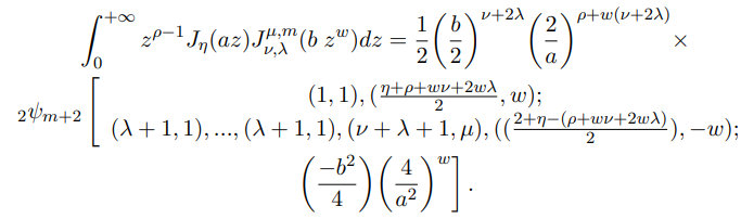
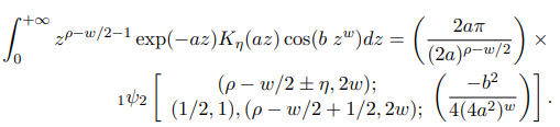
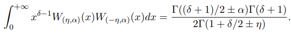
(11)The following known results of Mathai and Saxena (Mathai & Saxena, 1973):
(12)
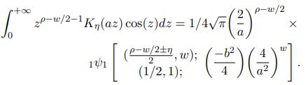
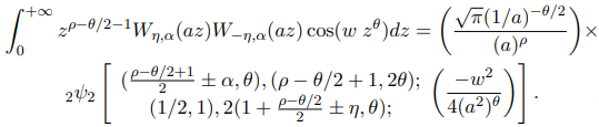
(13)
(14)
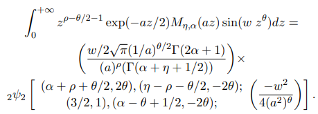
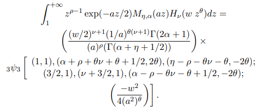
(15)
(16)
(17)Various generalizations and cases of the Lommel-Wright function have been investigated. For details, see (Paneva-Konovska, 2007; Menaria et al, 2016; Mondal & Nisar, 2017; Srivastava & Daoust, 1969; Kiryakova, 2000).
Integral formulas involving the Lommel-Wright functions have been developed by many authors. See e.g., (Choi & Agarwal, 2013; Choi et al, 2014; Jain et al, 2016; Chaurasia & Pandey, 2010). In this sequel, here, we aim at establishing a certain new generalized integral formula involving the generalized Lommel-Wright function
interesting integral formulas which are derived as special cases.
Main results
This section deals with the evaluation of integrals formulas involving the Lommel-Wright function defined in (7) and the integrals involving the product of the Bessel function of first kind, Kelvin‘s function and the Whittaker function (Whittaker & Watson, 2013) with the generalized Lommel-Wright function.
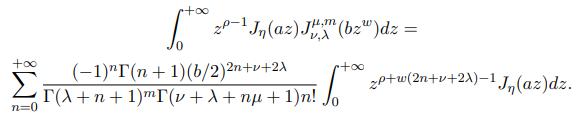
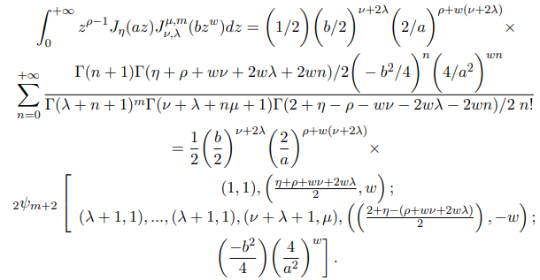
THEOREM 1. Let
Then the Hankel transform of the generalized Lommel-Wright function defined in (7) is given by
(18)Proof. On using (7) in the integrand of (1) which is verified by uniform convergence of the involved series under the given conditions, we get

Now using (12) in the above equation we get
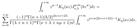
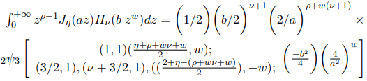
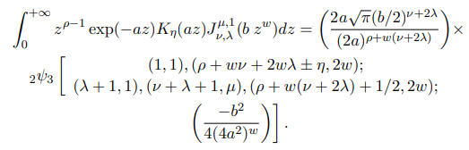
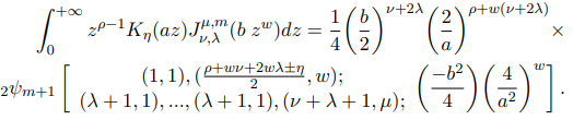
(19)THEOREM 2. Let
Then the K-Transform of the generalized Lommel-Wright function defined in (7) is given by
(20)Proof. On using (7) in the integrand of (2) which is verified by uniform convergence of the involved series under the given conditions, we get

Now using (13) in the above equation we get
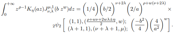
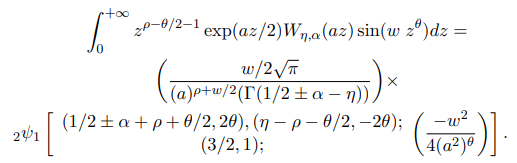
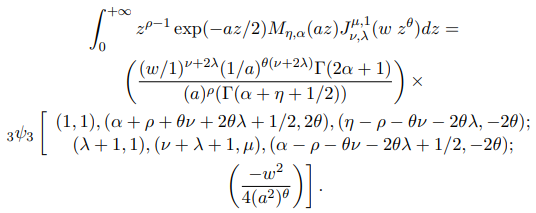
(21)THEOREM 3.
Then the K-Transform of the generalized Lommel-Wright function defined in (7) is given by
[22a]
[22b]Proof. On using (7) in the integrand of (3) which is verified by uniform convergence of the involved series under the given conditions, we get
(23)Now using (14) in the above equation we get
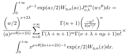
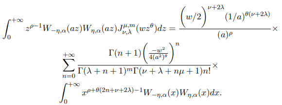
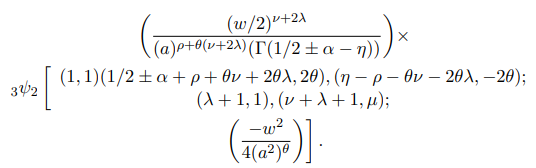
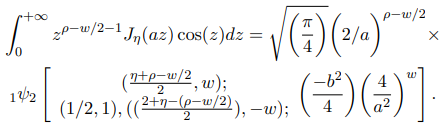
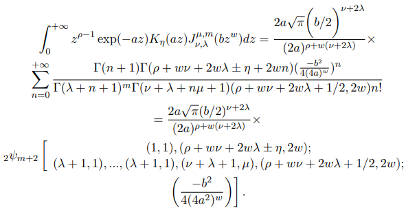
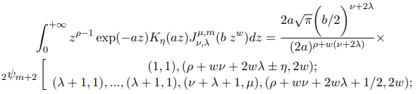
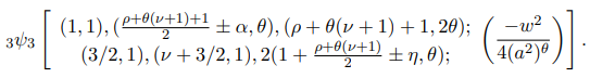
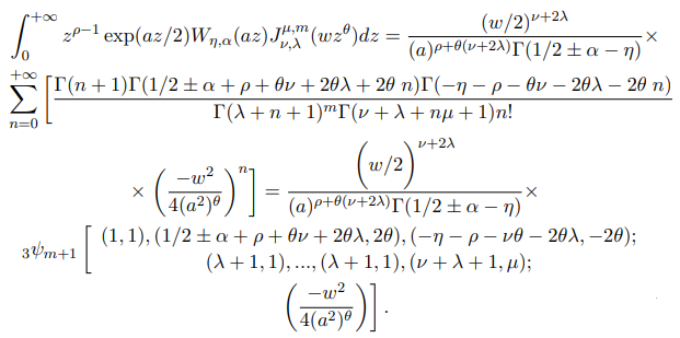
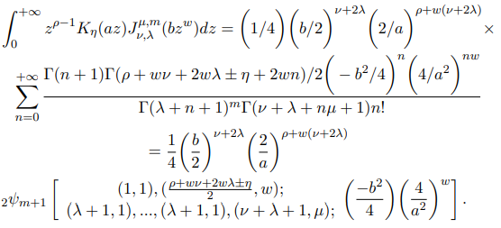
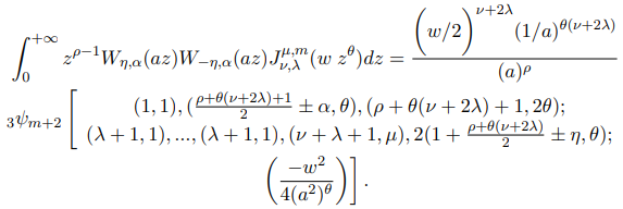
(24)THEOREM 4.
Then the product of the Whittaker function and the generalized Lommel-Wright function defined in (7) is given by
(25a)
(25b)Proof. Putting az = x, adz = dx as z → 0, x → 0 and z → +∞, x → +∞ and using (7) in the integrand of (4) which is verified by uniform convergence of the involved series under the given conditions, we get

Now using (15) in the above equation we get
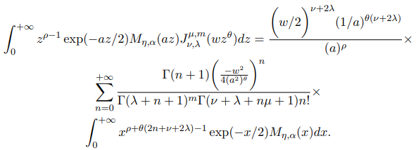
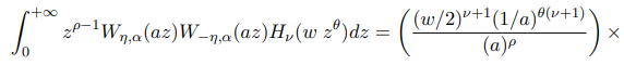
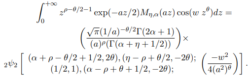
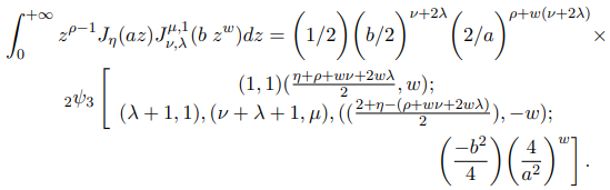
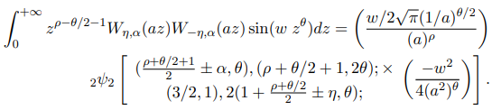
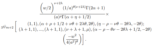
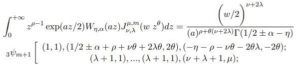
(26)THEOREM 5. Let
Then the product of the Whittaker function and the generalized Lommel-Wright function defined in (7) is given by
(27a)
(27b)Proof. Putting az = x, adz = dx as z → 0, x → 0 and z → +∞, x → +∞ and using (7) in the integrand of (5) which is verified by uniform convergence of the involved series under the given conditions, we get

Now using (16) in the above equation we get
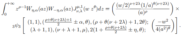
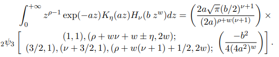
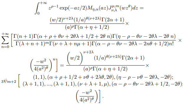
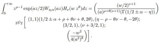
(28)THEOREM 6. Let
Then the product of the Whittaker function and the generalized Lommel-Wright function defined in (7) is given by
(29)Proof. Putting az = x, adz = dx as z → 0, x → 0 and z → +∞, x → +∞ and using (7) in the integrand of (6) which is verified by uniform convergence of the involved series under the given conditions, we get

Now using (17) in the above equation we get
(30a)
(30b)Special cases
In this section, we get some integral formulas involving a trigonometric function and the generalized Lommel-Wright function as follows:
COROLLARY 1. If we take m = 1, µ = 1, λ = 0 and ν = 1/2 in (1) and then by using (8), we derive the following integral formula:
(31)COROLLARY 2. If we take m = 1, µ = 1, λ = 0 and ν = 1/2 in (2) and then by using (8), we obtain:
(32)COROLLARY 3. If we take m = 1, µ = 1, λ = 0 and ν = 1/2 in (3) and then by using (8), we obtain:
(33)COROLLARY 4. If we take m = 1, µ = 1, λ = 0 and ν = 1/2 in (4) and then by using (8), we obtain:
(34)COROLLARY 5. If we take m = 1, µ = 1, λ = 0 and ν = 1/2 in (5) and then by using (8), we obtain:
(35)COROLLARY 6. If we take m = 1, µ = 1, λ = 0 and ν = 1/2 in (6) and then by using (8), we obtain:
(36)COROLLARY 7. If we take m = 1, µ = 1, λ = 0 and ν = −1/2 in (1) and then by using (9), we derive the following integral formula:
(37)COROLLARY 8. If we take m = 1, µ = 1, λ = 0 and ν = −1/2 in (2) and then by using (9), we obtain:
(38)COROLLARY 9. If we take m = 1, µ = 1, λ = 0 and ν = −1/2 in (3) and then by using (9), we obtain:
(39)COROLLARY 10. If we take m = 1, µ = 1, λ = 0 and ν = −1/2 in (4) and then by using (9), we obtain:
(40)COROLLARY 11. If we take m = 1, µ = 1, λ = 0 and ν = −1/2 in (5) and then by using (9), we obtain:
(41)COROLLARY 12. If we take m = 1, µ = 1, λ = 0 and ν = −1/2 in (6) and then by using (9), we obtain:
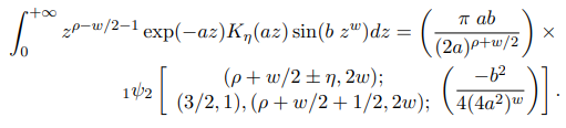
(42)COROLLARY 13. If we take m = 1 in (1) and then by using (10), we derive the following integral formula:
(43)COROLLARY 14. If we take m = 1 in (2) and then by using (10), we obtain:
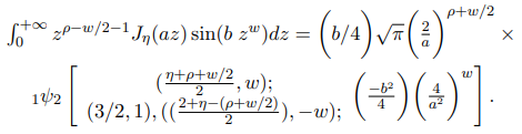
(44)COROLLARY 15. If we take m = 1 in (3) and then by using (10), we obtain:
(45)COROLLARY 16. If we take m = 1 in (4) and then by using (10), we obtain:
(46a)
(46b)COROLLARY 17. If we take m = 1 in (5) and then by using (10), we obtain:
(47)COROLLARY 18. If we take m = 1 in (6) and then by using (10), we obtain:
(48)COROLLARY 19. If we take m = 1, µ = 1 and λ = 1/2 in (1) and then by using (11), we derive the following integral formula:
(49)COROLLARY 20. If we take m = 1, µ = 1 and λ = 1/2 in (2) and then by using (11), we obtain:
(50a)
(50b)COROLLARY 21. If we take m = 1, µ = 1 and λ = 1/2 in (3) and then by using (11), we obtain:
(51)COROLLARY 22. If we take m = 1, µ = 1 and λ = 1/2 in (4) and then by using (11), we obtain:
(52)COROLLARY 23. If we take m = 1, µ = 1 and λ = 1/2 in (5) and then by using (11), we obtain:
(53)COROLLARY 24. If we take m = 1, µ = 1 and λ = 1/2 in (6) and then by using (11), we obtain:
(54a)
(54b)References
Chaurasia, V.B.L. & Pandey, S.C. 2010. On the fractional calculus of generalized Mittag-Leffler function. SCIENTIA Series A: Mathematical Sciences, 20, pp.113-122 [online]. Available at: https://citeseerx.ist.psu.edu/viewdoc/download?doi=10.1.1.399.5089&rep=rep1&type=pdf [Accessed: 9 February 2022].
Choi, J. & Agarwal, P. 2013. Certain unified integrals associated with Bessel functions. Boundary Value Problems, art.number:95. Available at: https://doi.org/10.1186/1687-2770-2013-95
Choi, J., Mathur, S. & Purohit, S.D. 2014. Certain new integral formulas involving the generalized Bessel functions. Bulletin of the Korean Mathematical Society, 51(4), pp.995-1003. Available at: https://doi.org/10.4134/BKMS.2014.51.4.995.
Jain, S., Choi, J., Agarwal, P. & Nisar, K.S. 2016. Integrals involving Laguerre type plynomials and Bessel functions. Far East Journal of Mathematical Sciences (FJMS), 100(6), pp.965-976. Available at: https://doi.org/10.17654/MS100060965.
Kachhia, K.B. & Prajapati, J.C. 2016. On generalized fractional kinetic equations involving generalized Lommel-Wright functions. Alexandria Engineering Journal, 55(3), pp.2953-2957. Available at: https://doi.org/10.1016/j.aej.2016.04.038.
Kiryakova, V.S. 2000. Multiple (multiindex) Mittag-Leffler functions and relations to generalized fractional calculus. Journal of Computational and Applied Mathematics, 118(1-2), pp.241-259. Available at: https://doi.org/10.1016/S0377-0427(00)00292-2.
Mathai, A.M., Saxena, R.K. & Haubold, H.J. 2010. The H-function: Theory and Applications. New York, NY: Springer. Aavailable at: https://doi.org/10.1007/978-1-4419-0916-9.
Mathai, A.M. & Saxena, R.K. 1973. Generalized Hypergeometric Functions with Applications in Statistics and Physical Sciences. Berlin Heidelberg: Springer- Verlag. Available at: https://doi.org/10.1007/BFb0060468.
Menaria, N., Nisar, K.S. & Purohit, S.D. 2016. On a new class of integrals involving product of generalized Bessel function of the first kind and general class of polynomials. Acta Universitatis Apulensis, 46, pp.97-105 [online]. Available at: https://www.emis.de/journals/AUA/pdf/74_1366_aua_2841701.pdf [Accessed: 9
Mondal, S.R. & Nisar, K.S. 2017. Certain unified integral formulas involving the generalized modified k-Bessel function of first kind. Communications of the Korean Mathematical Society, 32(1), pp.47-53. Available at: https://doi.org/10.4134/CKMS.c160017.
Paneva-Konovska, J. 2007. Theorems on the convergence of series in generalized Lommel-Wright functions. Fractional Calculus and Applied Analysis, 10(1), pp.59-74 [online]. Available at: http://eudml.org/doc/11298 [Accessed: 9 February 2022].
Rainville, E.D. 1960. Special Functions. New York: The Macmillan Company.
Srivastava, H.M. & Daoust, M.C. 1969. Certain generalized Neumann expansions associated with Kampe-de-Feriet function. Proceedings of the Koninklijke Nederlandse Akademie van Wetenschappen Series A-Mathematical Sciences, 72(5), pp.449-457.
Srivastava, H.M. & Manocha, H.L. 1984. A treatise on generating functions. Chichester, West Sussex, England: E. Horwood & New York: Halsted Press. ISBN: 9780853125082.
Whittaker, E.T. & Watson, G.N. 2013. A Course of Modern Analysis, reprint of the fourth (1927) edition. Cambridge University Press, Cambridge Mathematical Library. Available at: https://doi.org/10.1017/CBO9780511608759.
Author notes
nicola.fabiano@gmail.com
Additional information
FIELD: Mathematics
ARTICLE TYPE: Original scientific paper
Alternative link
https://scindeks.ceon.rs/article.aspx?artid=0042-84692202263S (html)
https://aseestant.ceon.rs/index.php/vtg/article/view/36402 (pdf)
https://doaj.org/article/478ae9b286f04357a4ec9592c70a4e9b (pdf)
https://www.elibrary.ru/item.asp?id=48140907 (pdf)
http://www.vtg.mod.gov.rs/archive/2022/military-technical-courier-2-2022.pdf (pdf)