Original scientific papers
An efficient approach for calculating a definite integral with about a dozen of sampling points
Эффективный подход к вычислению определенного интеграла с примерно десятью точками выборки
Ефикасан приступ израчунавању одређеног интеграла са око десетак тачака узорковања
An efficient approach for calculating a definite integral with about a dozen of sampling points
Vojnotehnicki glasnik/Military Technical Courier, vol. 70, no. 2, pp. 340-356, 2022
University of Defence

Received: 23 January 2022
Revised document received: 16 March 2022
Accepted: 18 March 2022
Funding
Funding source: Project Shaanxi Provincial Key Research and Development Program
Contract number: No.2019SF-056
Award recipient: Jie Yu, Maosheng Zheng, Haipeng Teng, Yi Wang
Abstract:
Introduction/purpose: An approximate approach to definite integral calculation has been an attractive problem continuously since the creation of integration due to practical needs in scientific and engineering areas. In most practical cases, the integrand is complex, which leads to a difficulty of obtaining an exact value of integration, so an approximate value of the definite integral with certain accuracy is satisfactory for practical applications. In this paper, an efficient approach for calculating a definite integral with a small number of sampling points is proposed based on the uniform design method from the viewpoint of practical application. Methods: The distribution of sampling points in its single peak domain is deterministic and uniform, which follows the rule of the uniform design method and good lattice points. Results: The efficient evaluation of a definite integral for a periodical function in its single peak domain can be obtained by using 11 sampling points in one dimension, 17 sampling points in two dimensions, and 19 sampling points in three dimensions. Conclusion: The efficient approach for a definite integral developed here on the basis of the uniform test design method is promised from the viewpoint of practical application; the sampling points are deterministically and uniformly distributed according to the rule of the uniform design method and “good lattice points”. The efficient approach developed in this article will be beneficial to relevant research and application.
Keywords: uniform design method, good lattice point, definite integral, single peak domain, finite sampling points.
Pезюме:
Введение/цель: Приближенный подход к вычислению определенного интеграла всегда был привлекательной задачей с самого зарождения интегрального исчисления из-за практических потребностей в научных и инженерных областях. На практике в большинстве случаев подынтегральная функция бывает сложной, что затрудняет получение точного значения интегрирования, поэтому для практических целей достаточно найти приближенное значение определенного интеграла с некоторой точностью. В данной статье предлагается эффективный подход к вычислению определенного интеграла при небольшом числе точек дискретизации, основанный на методе единого проектирования с точки зрения практического применения. Методы: Распределение точек дискретизации в области изолированного пика является детерминированным и равномерным, что следует из правил методов единого проектирования и точек идеальной решетки. Результаты: Эффективная оценка определенного интеграла периодической функции в области ее изолированного пика может быть получена при использовании 11 точек выборки в одном измерении, 17 точек выборки в двух измерениях и 19 точек выборки в трех измерениях. Выводы: Разработанный эффективный подход к определенному интервалу на основе единых методов проектирования перспективен с точки зрения практического применения. Точки выборки детерминировано и равномерно распределены в соответствии с правилами методов единого проектирования и точек идеальной решетки. Эффективный подход, разработанный в данной статье, окажется полезным в соответствующих исследованиях и применении на практике.
Ключевые слова: единый метод проектирования, точки идеальной решетки, определенный интеграл, область с изолированным пиком, конечные точки выборки.
Abstract:
Увод/циљ: Приближни приступ израчунавању одређеног интеграла представљао је проблем још од почетака интегралног рачуна због потреба у областима науке и инжењерства. У већини случајева у пракси, интегранд је сложен, што отежава добијање тачне вредности интеграције, тако да је, за практичне потребе, довољно наћи приближну вредност одређеног интеграла са извесном тачношћу. У овом раду предлаже се ефикасан приступ израчунавању одређеног интеграла с малим бројем тачака узорковања, заснован на методу униформног пројектовања са становишта практичне примене. Методе: Дистрибуција тачака узорковања у подручју издвојеног врха је детерминистичка и униформна, што следи из правила метода униформног пројектовања и тачака добре решетке. Резултати: Ефикасна процена одређеног интеграла за периодичну функцију у њеном подручју издвојеног врха може се добити помоћу 11 тачака узорковања у једној димензији, 17 тачака узорковања у две димензије и 19 тачака узорковања у три димензије. Закључак: Ефикасан приступ одређеном интервалу, који је у раду развијен на основу метода униформног пројектовања, перспективан је са становишта практичне примене. Тачке узорковања су детерминистички и униформно распоређене у складу с правилима метода униформног пројектовања и тачака добре мреже. Ефикасан приступ биће од користи за релевантна истраживања и практичне примене.
Keywords: метод униформног пројектовања, тачке добре мреже, одређени интеграл, подручје издвојеног врха, тачке коначног узорковања, метод униформног пројектовања, тачке добре мреже, одређени интеграл, подручје издвојеног врха, тачке коначног узорковања.
Introduction
An approximate approach to definite integral calculation has been an attractive problem continuously since the creation of integration due to practical needs from science and engineering, information processing, and theoretical analysis, etc. In most practical cases, the integrand is complex, which leads to the difficulty of gaining an exact value of integration, thus an approximate result of a definite integral with certain accuracy is satisfactory. Therefore, it is of considerable importance to seek appropriate approximation for a definite integral in practical applications.
In the one-dimensional case, many classical quadrature rules are available, such as the rectangle rule (midpoint rule), the trapezoidal rule, Simpson’s rule, or the Gauss rule, which have the following form (Leobacher & Pillichshammer, 2014),
(1)with the quadrature points x0, x1, x2,..., xn,...,xm from [0, 1], and with the weights q0, q1, q2,..., qn,..., qm. In the case of the trapezoidal rule, q0 = qm = 1/(2m), for other weights, qn= 1/m with n = 1, 2,..., m-1. If f
C2([0; 1]), the error of the trapezoidal rule is of the order O(m-2).
Furthermore, under the condition of s dimensions, it results in the following form
(2)with the set of s-fold quadrature points {x0, x1, x2, ...xn,...,xm} in the [0, 1]s domain. Hence the total number of nodes is N = (m +1)s, which grows dramatically with the dimension s. But in terms of the actual number N = m + 1s of integration nodes, this error is of the order O(N-2/s).
For large dimensions, which might be in the hundreds for practical problems, such an error convergence is less than satisfying (Leobacher & Pillichshammer, 2014). This phenomenon is often called the curse of dimensionality (Leobacher & Pillichshammer, 2014).
The Monte Carlo method was proposed as a calculation approach with stochastic sampling in mid-1940s. However, this method needs a large number of random numbers (sampling points) for simulation calculation (Fang & Wang, 1994; Fang et al, 2018) and with a rather slow convergence speed.
The idea of a uniformly distributed point set was proposed by Korobov in 1959, followed by the development of the good lattice point (GLP) method with low discrepancy by Hua and Wang (1981). According to the GLP, the convergence speed of integration is much higher than the Monte Carlo method. In 1980s, Fang and Wang established a uniform design method on the basis of the "good lattice point". In the uniform design method (Fang & Wang, 1994; Fang et al, 2018), the distribution of the sampling points in the space is well deterministic, rather than random. Such kinds of algorithms belong to the “quasi - Monte Carlo method” (QMC) thereafter (Tezuka, 1998, 2002; Paskov & Traub, 1995; Paskov, 1996; Sloan & Woiniakowski, 1998).
Consequently, the so-called “curse of dimensionality” problem puzzled the application of QMC method for many years as well (Tezuka, 1998, 2002; Paskov & Traub, 1995; Paskov, 1996; Sloan & Woiniakowski, 1998). However, the situation changed dramatically in 1990s when Paskov and Traub used Halton sequences and Sobol sequences for accounting a ten-tranche CMO (Collateralized Mortgage Obligation) in high dimensions even reaching to 360 dimensions and found that QMC methods performed very well as compared to simple MC methods, as well as to antithetic MC methods (Tezuka, 1998, 2002; Paskov & Traub, 1995; Paskov, 1996; Sloan & Woiniakowski, 1998). Afterwards, a lot of analogical phenomena were found in different pricing problems by using different types of low-discrepancy sequences (Tezuka, 1998). All these results are really counter-intuitive, so it was difficult to understand that the point distribution from low discrepancy sequences is with so much singular convergence speed compared to that of the distribution of random numbers. Sloan and Wozniakowski proposed an idea of a so-called "weighted" discrepancy to explain this conundrum (Sloan & Woiniakowski, 1998), while Caflisch et al proposed a concept of effective dimensions to demonstrate the miracle (Caflisch et al, 1997). These achievements indicate the effectiveness of QMC methods though the reason is unclear. Here we do not focus our attention on it in more detail, but develop an efficient approach for the calculation of a definite integral in the viewpoint of practical application instead.
Actually, the integrand in an integral has a certain form and with a clear physical meaning. Therefore, the value of the integrand varies according to a certain rule as the point in space changes from one position to the next, so it is more appropriate to conduct the numerical integration according to a point set which pursues a certain rule and possesses a regular distribution in space in principle.
Here in this article, we try to use a certain number of sampling points with regular distribution to perform approximate assessment for a definite integral. It aims to develop an efficient approach with certain accuracy for a definite integral. The characteristic analysis of a periodical function within its one period is conducted first. The result shows that 11 sampling points of the circumference could supply an effective approximation to the peak value with a relative error not greater than 4%, which enlightens us on exploring to use the 11 sampling points to carry out an efficient approach for the definite integral of a function within its monotonic peak domain. Thereafter, an analogical analysis for two and three dimensional problems is performed as well. Afterwards, some typical examples of the definite integral of physical problems is studied to check the validity of the approach.
Characteristic analysis of the periodical function within one periodical domain
1) One dimensional problem
Generally, the value of a function in a domain varies from point to point. Take a one dimensional monotonic peak function in a domain as an example, represented as,
(3)In Eq. (3), A indicates the amplitude coefficient, is the period (wave length) of the periodical function, and x is the coordinate value in one dimension.
Clearly, the function y takes its peak value at x = x0 =
/4, i.e., y takes 2A. While at
is the deviation from x0, the value of the function y decreases, 

While, as
radian, the function y takes the value y1 = 1.92A, which leads to a relative error not greater than 4% for the y value with respect to its peak value of 2A.
The above analysis indicates that if one attempts to give an approximation value of the periodical function y with a relative error not greater than 4% with respect to its peak value by subdividing the period, the partition number n of the subdivision in the period range (wave length) of this periodical function within one period is,
(4)Simultaneously, the distance between the nearest sampling points is 
Eq. (4) indicates that the 11 sampling points of the one periodical range (wave length) could provide an efficient approximation to the peak value with a relative error not greater than 4% to its peak value for the function in one dimension.
2) Two dimensional case
Under the condition of two dimensions, it is a problem on a plane where a rectangular coordinate system could be set up, consisting of two orthogonal coordinate axes, let us say the X and Y axes.
First, if we only use the preliminary condition of the uniform design method (Fang & Wang, 1994; Fang et al, 2018), i.e., the projections of any two sample points on each coordinate axis will not coincide, perhaps we obtain the worst case, which is the status of all the sampling points being distributed along the diagonal line of the square. Even in this case, the distance between the nearest sampling points will be enlarged by
times as that of the distance between the nearest sampling points of one dimension. Therefore, if one attempts to provide an appropriate approximation with a relative error around 4% as similar to that of the one dimensional problem for the function, the subdivision should be refined by about
times, let us take 1/1.5, which leads to the number of sampling points n’ to the period (wave length) range of this periodical function within one period to be
(5)Eq. (5) indicates that 17 sampling points for two dimensions in one periodical range (wave length) could provide an appropriate approximation for the peak value of the sine function with a relative error around 4% to its peak value.
Second, one could use the next requirement of uniform design that the sampling points must satisfy both projection properties and spatial filling or spatial uniformity. Then one could rearrange the spatial distributions of the sampling points so that their distributions meet the demand of spatial uniformity at the same time (Fang & Wang, 1994; Fang et al, 2018).
Ripley (1981) pointed out that, in the problem of spatial sampling, the expected value of the mean square error of the sample decreases with the spatial correlation of the samples, which leads to the situation that the number of sampling will decrease with the spatial correlation of the samples. This might be related to the counter-intuitive phenomena of using QMC in high dimensions mentioned in the previous section.
3) Three dimensional case
Analogically, in the three dimensional case, i.e., cube, a rectangular coordinate system is set up, consisting of three orthogonal coordinate axes, in general X, Y and Z axes. Again, let us consider the worst case first. When all the sampling points are distributed along the diagonal line of the cube, the distance between the nearest sampling points will be enlarged by
times as that of the distance between the nearest sampling points of one dimension. So, if one attempts to provide an appropriate approximation for the peak value of the function with a relative error around 4% as similar to that of the one dimensional problem for the function once more, the subdivision should be refined by about 1/1.7 times, which results in the number of sampling points n” to the period (wave length) l range of this periodical function within one period
(6)Eq. (6) indicates that the 19 sampling points of the one periodical range (wave length) could provide an accurate estimation for the peak value of the sine function with a relative error around 4% to its peak value in three dimensions.
Then one could rearrange the spatial distributions of the sampling points according to the procedure of the uniform design method (Fang & Wang, 1994; Fang et al, 2018).
The above discussion shows that if one attempts to provide an appropriate approximation for a periodical function within one single peak domain, 11 sampling points (in one dimension), 17 sampling points (in two dimensions), or 19 sampling points (in three dimensions) are needed for the calculation of a definite integral, respectively, while the sampling points are deterministically distributed according to the rule of the uniform design method and GLP. In the following sections, we will check the applicability of the above descriptions.
Efficient approach for numerical integration on the basis of the uniform test design method and GLD for a single peak function
According to Hua and Wang, a set of good lattice points (GLP) could give an efficient value for a definite integral with low-discrepancy (Hua & Wang, 1981; Fang & Wang, 1994; Fang et al, 2018), and the discrepancy of the sum approximation of its function values in the discretized GLPs with respect to its precise value of integration in one dimension is not greater than V(f) D(n), where V(f) is the variation of the function f(x) in its domain by the n uniformly distributed sampling points, D(n) is the discrepancy of the point set with the n uniformly distributed sampling points, and D(n) = O(n-1) (Hua & Wang, 1981; Fang & Wang, 1994; Fang et al, 2018).
The previous sections indicate that 11 uniformly distributed sampling points of the circumference in the one dimensional case could provide an appropriate approximation for the peak value of the function with a relative error not greater than 4% to its peak value. So, the relative error of the summation of the sinusoidal function in the discretized GLPs with respect to its precise value of integration is expected to be around 4% ´ O(n-1) = 4%´ O(11-1) 0.4% in one dimension.
Similarly, the consequences in the last sections present that 17 and 19 uniformly distributed sampling points in one periodical range could provide an appropriate approximation with a relative error of around 0.4% as compared to its precise value of integration for the sinusoidal function in 2 and 3 dimensions, respectively.
In addition, other functions can be expanded as sine or cosine functions generally.
Hence, here in this section, let us conduct some typical definite integrals to show the rationality of the approach. The sampling points are with the characteristics of GLP so as to give low-discrepancy (Hua & Wang, 1981; Fang & Wang, 1994; Fang et al, 2018).
1) One dimensional problem
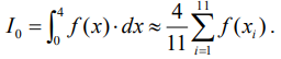
A1) Approximation for the probability integral
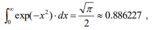
Our first example is the probability integral (Navidi, 2020),
(7)i.e.,
(8)In Eq. (8), f(x) = exp(-x2) is the integrand function. As to exp(-x2), at xu = 4 its value is f(xu) = 1.125×10-7, therefore the upper limit of the integral could be set as xu = 4.
According to the uniform design method (Fang & Wang, 1994; Fang et al, 2018), the distribution of the sampling points in the integral domain [0, 4] is shown in Table 1, and the integration Eq. (8) is thus discretized as
(9)The positions of the distribution of the sampling points in the domain [0, 4] are obtained according to the following formula (Hua & Wang, 1981; Fang & Wang, 1994; Fang et al, 2018),
(10)
| Point No. | 1 | 2 | 3 | 4 | 5 | 5 | 7 | 8 | 9 | 10 | 11 |
| Location | 0.182 | 0.545 | 0.909 | 1.273 | 1.636 | 2.0 | 2.364 | 2.727 | 3.091 | 3.455 | 3.818 |
The summation of the right-hand side of Eq. (9) indicates a value of 0.886227, which equals to the probability integral of 0.886227 fortunately, which is with a higher accuracy (Navidi, 2020).
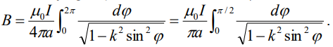
A2) Approximation of the elliptic integral calculus for the magnetic induction intensity of an elliptical current-carrying ring
Take an elliptical current-carrying ring as an example, which is with the major axis a, the minor axis b, the distance between the focal point F and the center O is c; the distance from a point M on the ellipse to the center O is r, see Fig.1. The problem is to find the magnetic induction intensity at the center of the ellipse.

The solution:
In the polar coordinate system, the elliptic equation with the center 0 is
(11)in Eq. (11), k c/a = (a2 – b2)0.5/a.
Thus, the expression of the magnetic induction at the center of the current-carrying ellipse can be written as (Ju et al, 2005),
(12)In Eq. (12), I and 0 represent the intensity of the electric current and the permeability of vacuum, respectively.
Let us mark the integration part in Eq. (12) as Q, i.e.,
, then Eq. (12) can be rewritten as
(13)Under the condition of k = 0.3, one could try to evaluate the value of Q by our approximate approach.
Again, according to the uniform experimental design method (Fang & Wang, 1994; Fang et al, 2018), the distribution of the sampling points in the integral domain [0, /2] is shown in Table 2, and thus the integration Eq. (13) is discretized as
(14)
| Point No. | 1 | 2 | 3 | 4 | 5 | 5 | 7 | 8 | 9 | 10 | 11 |
| Loca-tion | 0.0714 | 0.2142 | 0.3570 | 0.4998 | 0.6426 | 0.7854 | 0.9282 | 1.0710 | 1.2138 | 1.3566 | 1.4994 |
The approximate result of the right-hand side of Eq. (14) gets a value of 1.608049, which equals to the exact value of the elliptic integral of 1.608049 luckily (Ju et al, 2005; Byrd & Friedman, 1971), implying a much higher accuracy of the approximate approach.
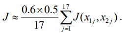
2) Two dimensional case
Under the condition of two or three dimensions, Fang and Wang developed a series of uniform design tables and their utility tables according to GLP and number – theoretic methods (Fang & Wang, 1994; Fang et al, 2018), which are specific for uniform design. Here the uniform design table U*17(175) is the proper selection for our usage, which contains 17 sampling points.
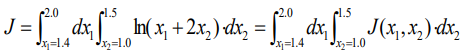
Here, let us take the integration of
an example.
The integration of
with the precise value of 0.429560 (Song & Chen, 2004).
The distribution of the sampling points in the integral domain [1.4, 2.0] × [1.0, 1.5] is shown in Table 3, in which x10 and x20 indicate the original positions from the uniform design table U*17(175) for [1, 17] × [1, 17] domain (Fang & Wang, 1994; Fang et al, 2018).
| No. | x10 | x20 | x1 | x2 |
| 1 | 1 | 7 | 1.4176 | 1.1912 |
| 2 | 2 | 14 | 1.4529 | 1.3971 |
| 3 | 3 | 3 | 1.4882 | 1.0735 |
| 4 | 4 | 10 | 1.5235 | 1.2794 |
| 5 | 5 | 17 | 1.5588 | 1.4853 |
| 6 | 6 | 6 | 1.5941 | 1.1618 |
| 7 | 7 | 13 | 1.6294 | 1.3676 |
| 8 | 8 | 2 | 1.6647 | 1.0441 |
| 9 | 9 | 9 | 1.7 | 1.25 |
| 10 | 10 | 16 | 1.7353 | 1.4559 |
| 11 | 11 | 5 | 1.7706 | 1.1324 |
| 12 | 12 | 12 | 1.8059 | 1.3382 |
| 13 | 13 | 1 | 1.8412 | 1.0147 |
| 14 | 14 | 8 | 1.8765 | 1.2206 |
| 15 | 15 | 15 | 1.9118 | 1.4265 |
| 16 | 16 | 4 | 1.9471 | 1.1029 |
| 17 | 17 | 11 | 1.9824 | 1.3088 |
According to the uniform design method (Fang & Wang, 1994; Fang et al, 2018), the integration J in the domain [1.4, 2.0] × [1.0, 1.5] is discretized as
(15)The summation result of the right-hand side of Eq. (15) indicates a value of 0.429609, which gives a relative error of 1.14×10-4% with respect to its precise value of 0.429560 (Song & Chen, 2004).
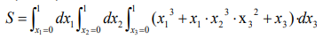
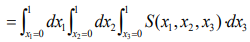
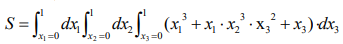
3) Three dimensional problem
Chen et al (2010) took the integration
as an example to study the validity of the integration of multivariate functions by orthogonal arrays (Chen et al, 2010). Let us reanalyze it by using our newly developed approximate approach for a definite integral on the basis of the uniform test design method and the “good lattice point” (GLP) method here.
The integration of 
with the precise value of 19/24 = 0.791667 (Chen et al, 2010). The uniform design table U*19(197) is a proper selection for our usage, which contains 19 partition points. The distribution of the sampling points in the integral domain [0, 1] × [0, 1] × [0, 1] is presented in Table 4 (Fang & Wang, 1994; Fang et al, 2018), in which x10, x20 and x30 indicate the original positions from the uniform design table U*19(197) for the [1, 19] × [1, 19] × [1, 19] domain (Fang & Wang, 1994; Fang et al, 2018).
| No. | x10 | x20 | x30 | x1 | x2 | x3 |
| 1 | 1 | 11 | 13 | 0.0263 | 0.5526 | 0.6579 |
| 2 | 2 | 2 | 6 | 0.0789 | 0.0789 | 0.2895 |
| 3 | 3 | 13 | 19 | 0.1316 | 0.6579 | 0.9737 |
| 4 | 4 | 4 | 12 | 0.1842 | 0.1842 | 0.6053 |
| 5 | 5 | 15 | 5 | 0.2368 | 0.7636 | 0.2368 |
| 6 | 6 | 6 | 18 | 0.2895 | 0.2895 | 0.9211 |
| 7 | 7 | 17 | 11 | 0.3421 | 0.8684 | 0.5526 |
| 8 | 8 | 8 | 4 | 0.3947 | 0.3947 | 0.1842 |
| 9 | 9 | 19 | 17 | 0.4474 | 0.9737 | 0.8684 |
| 10 | 10 | 10 | 10 | 0.5 | 0.5 | 0.5 |
| 11 | 11 | 1 | 3 | 0.5526 | 0.0263 | 0.1316 |
| 12 | 12 | 12 | 16 | 0.6053 | 0.6053 | 0.8158 |
| 13 | 13 | 3 | 9 | 0.6579 | 0.1316 | 0.4474 |
| 14 | 14 | 14 | 2 | 0.7105 | 0.7105 | 0.0789 |
| 15 | 15 | 5 | 15 | 0.7632 | 0.2368 | 0.7632 |
| 16 | 16 | 16 | 8 | 0.8158 | 0.8158 | 0.3947 |
| 17 | 17 | 7 | 1 | 0.8684 | 0.3421 | 0.0263 |
| 18 | 18 | 18 | 14 | 0.9211 | 0.9211 | 0.7105 |
| 19 | 19 | 9 | 7 | 0.9737 | 0.4474 | 0.3421 |
According to the uniform design method (Fang & Wang, 1994; Fang et al, 2018), the integration S in the integral domain [0, 1] × [0, 1] × [0, 1] is discretized as
(16)The summation result of the right-hand side of Eq. (16) results in a value of 0.801534, which gives a relative error of 1.25% with respect to its precise value of 0.791667, while Chen et al gave a relative error of 0.04% by simulation calculation with 100 tests in L100(299) orthogonal arrays (Chen et al, 2010). Obviously, their amount of simulation calculation is really huge.
Discussion
The above studies including the analysis and example calculations indicate that the efficient result for a definite integral of a function with an accuracy of around 0.4% within its single peak domain could be obtained by using the new approach with 11 sampling points for one dimension, 17 sampling points for two dimensions, and 19 sampling points for three dimensions. This result is much better than those of classic methods on the one hand; besides, the approach is even better than the MC simulation in the sense of workload of calculation. The novelty and contribution of this study is to use a small number of sampling points to obtain an efficient result for a definite integral with a certain accuracy. As to this target, the aim is fulfilled. Of course, more sampling points could further improve the accuracy provided the distribution of sampling points follows the rules of uniform design and good lattice points at this stage.
Exploration of much better distributions of sampling points might be one of future directions for a more efficient assessment of a definite integral. Applications of the present approach might be another orientation for future studies.
Conclusion
The efficient approach to a definite integral developed here on the basis of the uniform test design method is promising from the viewpoint of practical application. An efficient result for a definite integral of a function could be obtained by using this approach with 11 sampling points for one dimension, 17 sampling points for two dimensions, and 19 sampling points for three dimensions within its single peak domain. The sampling points are deterministically and uniformly distributed according to the rule of the uniform design method and “good lattice points”. The efficient approach developed in this article will be beneficial to relevant research and application.
Acknowledgments
This work was supported by the Project Shaanxi Provincial Key Research and Development Program (No.2019SF-056).
References
Byrd, P.F. & Friedman, M.D. 1971. Hand Book of Elliptic Integrals for Engineers and Scientists, 2nd Ed. Berlin, Heidelberg: Springer-Verlag. Available at: https://doi.org/10.1007/978-3-642-65138-0.
Caflisch, R.E., Morokoff, W. & Owen, A. 1997. Valuation of mortgage-backed securities using Brownian bridges to reduce effective dimension. Journal of Computational Finance, 1(1), pp.27-46. Available at: https://doi.org/10.21314/JCF.1997.005.
Chen, Z., Zheng, X., Luo, C., Zhang, Y. & Chen, X. 2010. Integration of Multivariate Functions by Orthogonal Arrays. Journal of Shanghai Institute of Technology (Natural Science), 2, pp.119-123 [online]. In Chinese. Available at: http://caod.oriprobe.com/articles/25690087/Integration_of_Multivariate_Functions_by_Orthogonal_Arrays.htm [Accessed: 20 January 2022].
Fang, K-T., Liu, M-Q., Qin, H. & Zhou, Y-D. 2018. Theory and Application of Uniform Experimental Designs. Beijing: Science Press & Singapore: Springer Nature. Available at: https://doi.org/10.1007/978-981-13-2041-5.
Fang, K-T. & Wang, Y. 1994. Number-theoretic Methods in Statistics. London, UK: Chapman & Hall. ISBN: 0-412-46520-5.
Hua, L-K. & Wang, Y. 1981. Applications of Number Theory to Numerical Analysis. Berlin; New York: Springer-Verlag & Beijing: Science Press. ISBN: 9783540103820.
Ju, S., Yang, X. & Liu, G. 2005. Application of elliptic integral calculus in computing magnetic induction intensity. Journal of Changchun Institute of Technology (Natural Science Edition), 6, pp.70-72 [online]. Available at: https://kns.cnki.net/kcms/detail/detail.aspx?dbcode=CJFD&dbname=CJFD2005&filename=CGCZ200504024&uniplatform= NZKPT&v=ryxpXwQqLAxChu6YS1miYma1Skh6baZ6482KF04E5VURFrx0iFF1 b9u19uS2b7G2 (in Chinese) [Accessed: 15 January 2022].
Leobacher, G. & Pillichshammer, F. 2014. Introduction to Quasi-Monte Carlo Integration and Applications. Springer International Publishing Switzerland. Available at: https://doi.org/10.1007/978-3-319-03425-6.
Navidi, W. 2020. Statistics for Engineers and Scientists, 5th edition. New York: McGraw-Hill Education. ISBN: 9781260431025.
Paskov, S.H. 1996. New methodologies for valuing derivatives. In: Pliska, S. & Dempster, M. & (Eds.) Mathematics of Derivative Securities, pp.545-582. Cambridge: Isaac Newton Institute & Cambridge University Press. Available at: https://doi.org/10.7916/D8TB1FRJ.
Paskov, S.H. & Traub, J.F. 1995. Faster valuation of financial derivatives. Journal of Portfolio Management 22(1), pp.113-120. Available at: https://doi.org/10.3905/jpm.1995.409541.
Ripley, B.D. 1981. SpatialStatistics. Hoboken, NJ: John Wiley & Sons. ISBN: 0-47169116-X.
Sloan, I.H. & Woiniakowski, H. 1998. When Are Quasi-Monte Carlo Algorithms Efficient for High Dimensional Integrals? Journal of Complexity, 14(1), pp.1-33. Available at: https://doi.org/10.1006/jcom.1997.0463.
Song, S. & Chen, S. 2004. Two Effective Quadrature Schemes for Calculating Double Integration. Journal of Zhengzhou University, 36, pp.16-19 [online]. Available at: https://kns.cnki.net/kcms/detail/detail.aspx?dbcode= CJFD&dbnam e=CJFD2004&filename=ZZDZ200401003&uniplatform=NZKPT & v=kCi42ClkKjv8yV3dacrXPRtdvn0JHnYAx3nBIo6p2qVlawH9fBMWaaiKoulEFM (in Chinese) [Accessed: 15 January 2022].
Tezuka, S. 1998. Financial applications of Monte Carlo and Quasi-Monte Carlo methods. In: Hellekalek, P. & Larcher, G.(Eds.) Random and Quasi-Random Point Sets. Lecture Notes in Statistics, 138, pp.303-332, New York: Springer. Available at: https://doi.org/10.1007/978-1-4612-1702-2_7.
Tezuka, S. 2002. Quasi-Monte Carlo - Discrepancy between theory and practice. In: Fang, K.T., Niederreiter, H. & Hickernell, F.J. (Eds.) Monte Carlo and Quasi-Monte Carlo Methods 2000, pp.124-140. Heidelberg: Springer-Verlag. Available at: https://doi.org/10.1007/978-3-642-56046-0_8.
Author notes
mszhengok@aliyun.com
Additional information
FIELD: Mathematics, Materials
ARTICLE TYPE: Original scientific paper
Alternative link
https://scindeks.ceon.rs/article.aspx?artid=0042-84692202340Y (html)
https://aseestant.ceon.rs/index.php/vtg/article/view/36029 (pdf)
https://doaj.org/article/b25fdab211354db1821faa2fbb5365c2 (pdf)
https://elibrary.ru/item.asp?id=48140912 (pdf)
http://www.vtg.mod.gov.rs/archive/2022/military-technical-courier-2-2022.pdf (pdf)