Review papers
Saddle point approximation to Higher order
Приближение седловой точки к высшему порядку
Апроксимација седласте тачке вишег реда
Saddle point approximation to Higher order
Vojnotehnicki glasnik/Military Technical Courier, vol. 70, no. 2, pp. 447-460, 2022
University of Defence

Received: 11 August 2021
Revised document received: 19 March 2022
Accepted: 20 March 2022
Abstract:
Introduction/purpose: Saddle point approximation has been considered in the paper. Methods: The saddle point method is used in several different fields of mathematics and physics. Several terms of the expansion for the factorial function have been explicitely computed. Results: The integrals estimated in this way have values close to the exact one. Conclusions: Higher order corrections are not negligible even when requiring moderate levels of precision.
Keywords: saddle point approximation, Stirling’s formula, Quantum Field Theory..
Pезюме:
Введение / цель: В данной статье рассмотрено приближение седловой точки. Методы: Метод седловой точки используется в нескольких различных областях математики и физики. В статье наглядно вычисляются несколько членов расширения для факторной функции. Результаты: Интегралы, вычисленные таким образом, имеют значения близкие к точному. Выводы: Поправками высшего порядка не следует пренебрегать, даже в тех случаях, когда требуются умеренные уровни точности.
Ключевые слова: приближение перевала, формула Стирлинга, квантовая теория поля.
Abstract:
Увод/циљ: У овом раду разматра се апроксимација седласте тачке. Методе: Метода седласте тачке користи се у неколико различитих области математике и физике. Израчунава се експлицитно неколико чланова проширења за факторску функцију Резултати: Овако процењени интеграли имају приближно тачне вредности. Закључак: Корекције вишег реда нису занемариве чак ни када се захтева умерени ниво прецизности.
Keywords: апроксимација седласте тачке, Стирлингова формула, квантна теорија поља.
Saddle Point method
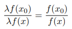
The saddle point method is an extension of the original method of Laplace (Laplace, 1986) for approximating the value of an integral of the form:
(1)where f(x) is at least twice differentiable, λ is a large number and the extrema of the integral could also be infinite. Assuming that x0 is the global maximum of the function f(x), Laplace observed that the ratio
(2)would increase exponentially with λ, while the ratio
(3)s independent of λ. Therefore, he concluded that the main contribution to the integral (1) comes only from the values of x in the neighborhood of x0, and the latter could be easily calculated.
Our aim is to compute the integral
(4)Following the notation of (Parisi, 1988), we expand the so–called saddle point approximation first proposed by Daniels (Daniels, 1954) (also known as the steepest descend method) beyond first order approximation obtaining several terms of approximation, which is the main scope of this paper. As usual, one expands about the maximum df /dz = 0 obtaining a Gaussian integral for I(ℏ), e.g. as in the Stirling’s formula for n!. This suffices for many applications, as the Gaussian falls down quite quickly so further corrections are usually not necessary, unless a precision better than the percent order is required as it will be seen.
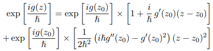
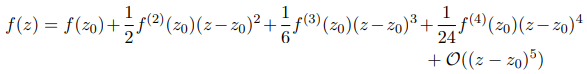
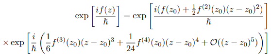
We want to compute eq. (4) beyond the first order in ℏ. From here onward, ℏ plays a role of a generic small expansion parameter beyond its physical meaning. In order to achieve this goal, we expand f(z) around the critical point z0 such that df(z0)/dz = 0:
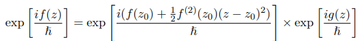
(5)The trick is to separate the exponential in two parts: the Gaussian and the remnant. The latter is expanded again in Taylor’s series, i.e. we write:
(6)that is, a Gaussian times some other function that will be eventually expanded in Taylor’s series. We could rewrite eq. (6) as
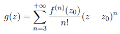
(7)where at least formally g(z) is the remainder from the third order of the expansion of f(z):
(8)Of course Taylor’s expansion of eq. (8) is not the one of f(z) given in eq. (5) due to the exponential function. Great care has to be applied in order to pick the right power of ℏ. For instance, to second order in ℏ we have:
(9)and powers of ℏ are mixed as it can be seen. We obtain
(10)for ϕ(z) = exp(ig(z)/ℏ). Plugging it back in eqs (7) and (4), we obtain
(11)Pulling the sum out of the integral shows clearly that only even powers survive because of the Gaussian integral.
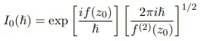
Calling I0 the Gaussian integral
(12)that has the value
(13)compared to eq. (4) gives the result to first order in ℏ
(14)With a notation where f(n) is the nth derivative of f(z) computed in z0, the
(ℏ2 ) correction to I(ℏ) is given by:
(15)while the
(ℏ3) correction reads
(16)That is
(17) More terms of the expansion have been calculated and terms up to
(ℏ7) are shown in the Appendix.
This kind of approximation is often used in physics, in statistical mechanics when counting the configurations by means of Stirling’s formula (see later). The WKB approximation can be thought of as a saddle point approximation (Wentzel, 1926; Kramers, 1926; Brillouin, 1926). Starting from the work of Dirac (Dirac, 1933), Feynman devised the method of the path integral and with a saddle point approximation derived the Schrödinger equation (Feynman, 1965)
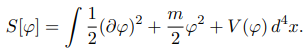
In the quantum field theory, for example, it is used to evaluate path integral perturbatively in order to compute the effective action for a given model (Ramond, 1989). Consider for instance the action S of a bosonic field φ:
(18)One could then apply the procedure of eq. (11), expanding the path integral in the Euclidean space around the classical field φ0 which is extremal for the action (18), i.e.
(19)and performing the Gaussian integral yields the standard result:
(20)Including more terms in the expression beyond the leading order of eq. (13) shows that the resulting analytic approximation retains its validity over the whole integration range, not just towards the point z0.
An Example: Stirling’s approximation
The expression given in eq. (17) has been verified with Stirling’s formula (Stirling, 1764) for the Gamma function, given by
(21)which is equal to n! when z is an integer n. With the position ℏ = −i and f(t) = t − z log(t) using the formulć starting from expansion of eq. (17) and considering the terms given in eqs. (23)–(26), we obtain the fifth order for z → +∞:
(22)After the publication of the book of de Moivre (Moivre, 1730) wherehe developed an approximation to
while developing generalprocedures for probability, Stirling found his asymptotic series
(22) for log n! improving de Moivre’s result and introducing the “Stirling’s constant” (log 2π)/2. After this result, de Moivre used a different method to compute the asymptotic series to log n! obtaining a similar expansion (Moivre, 1730, 1756).
Notice that Stirling’s asymptotic expansion1 of eq. (22) is not a convergent series (Whittaker & Watson, 1927; Erdelyi, 1956), that is, at the fixed z the accuracy improves when adding more terms, up to a point where it actually gets worse while increasing the approximation order.


In Fig. (1), we have shown the relative error of the first 5 terms approximating Γ(z) as the functions of z. As it could be seen, the increasing order shows better accuracy for the values of z larger than about 10, as one could expect from the structure of eq. (22).
One could readily notice that the first order approximation is not enough if requiring a better accuracy than one at the percentage level. From Fig. (2), it is also clear than for a small z a great level of accuracy could only be met by retaining several orders of approximation.
In Table 1, we show some values of n! for small values of n and compare the results of different approximation orders. It readily appears that, even to achieve the precision of a pocket calculator, we have to retain several terms of eq. (17), and in particular for those n one has to consider at least the one shown in eq. (25), much more complicated than the simple expression usually cited of eq. (13).

Conclusions
We have shown in some detail the procedure of computing the integrals via the saddle point method, also known as the steepest descent method, which finds its application in several branches ranging from theoretical physics to computational methods. We have explicitly computed many terms of this asymptotic expansions furnishing analytical results, and applied its results to a wellknown integral, estimating the error. We have also shown that, in order to obtain a certain degree of precision, the usual Gaussian term is not enough and a better approximation should be pursued.
Appendix
Here fn refers to the nth derivative of f taken at the point z0.
Second order
(ℏ2):
(23)
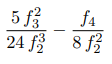
Third order
(ℏ3):
(24)
Fourth order
(ℏ4):
(25)
Fifth order
(ℏ5):
(26)
Sixth order
(ℏ6):
(27a)
(27b)
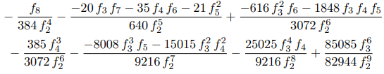
Seventh order
(ℏ7):
(28a)
(28b)
(28c)
(28d)
(28e)References
Brillouin, L. 1926. La mécanique ondulatoire de Schrödinger: une méthode générale de resolution par approximations successives. Comptes Rendus de l’Académie des Sciences, 183, pp.24–26.
Daniels, H.E. 1954. Saddlepoint Approximations in Statistics. The Annals of Mathematical Statistics, 25(4), pp.631-650 [online]. Available at: http://www.jstor.org/stable/2236650 [Accessed: 15 January 2022].
Dirac, P.A.M. 1933. The Lagrangian in Quantum Mechanics. Physikalische Zeitschrift der Sowjetunion, 3(1), pp.64–72.
Erdelyi, A. 1956. Asymptotic expansions. New York: Dover Publications, Inc.
Feynman, R.P. 1965. Nobel Lecture. The Development of the Space-Time View of Quantum Electrodynamics. The Nobel Prize, December 11 [online]. Available at: https://www.nobelprize.org/prizes/physics/1965/feynman/lecture/ [Accessed: 15
Kramers, H.A. 1926. Wellenmechanik und halbzahlige Quantisierung. Zeitschrift für Physik, 39(10-11), pp.828–840. Available at: https://doi.org/10.1007/BF01451751.
Laplace, P.S. 1986. Memoir on the Probability of the Causes of Events. Statistical Science, 1(3), pp.364-378 [online]. Available at: http://www.jstor.org/stable/2245476 [Accessed: 15 January 2022].
Moivre, A. de. 1730. Miscellanea analytica de seriebus et quadraturis. London: J. Tonson & J. Watts.
Moivre, A. de. 1756. The Doctrine of Chances: Or, a Method of Calculating the Probabilities of Events in Play, the third edition. London: A. Millar.
Parisi, G. 1988. Statistical field theory. Boston, MA, USA: Addison-Wesley Pub.
Ramond, P. 1989. Field theory: A modern primer (Frontiers in physics). Boston, MA, USA: Addison-Wesley Pub. Co. ISBN-13: 978-0201157727.
Stirling, J. 1764. Methodus differentialis: sive tractatus de summatione et interpolatione serierum infinitarum. London: Prostat apud J. Whiston & B. White.
Wentzel, G. 1926. Eine Verallgemeinerung der Quantenbedingungen für die Zwecke der Wellenmechanik. Zeitschrift für Physik, 38(67), pp.518–529. Available at: https://doi.org/10.1007/BF01397171.
Whittaker, E.T. & Watson, G.N. 1927. A Course of Modern Analysis, 4th edition. Cambridge University Press. ISBN13: 9780521091893.
Notes
Author notes
nicola.fabiano@gmail.com
Additional information
FIELD: Mathematics
ARTICLE TYP: Review paper
Alternative link
https://scindeks.ceon.rs/article.aspx?artid=0042-84692202447F (html)
https://aseestant.ceon.rs/index.php/vtg/article/view/33507 (pdf)
https://doaj.org/article/64c0436cb59d49cf90358894b01bbc92 (pdf)
https://www.elibrary.ru/item.asp?id=48140918 (pdf)
http://www.vtg.mod.gov.rs/archive/2022/military-technical-courier-2-2022.pdf (pdf)