Original scientific papers
Comparison of the continuous model and the finite element model of the gantry crane carrying structure for modal analysis
СРАВНЕНИЕ НЕПРЕРЫВНОЙ МОДЕЛИ И КОНЕЧНО-ЭЛЕМЕНТНОЙ МОДЕЛИ НЕСУЩЕЙ КОНСТРУКЦИИ КОЗЛОВОГО КРАНА ДЛЯ ПРОВЕДЕНИЯ МОДАЛЬНОГО АНАЛИЗА
ПОРЕЂЕЊЕ континуалног МОДЕЛА И коначноелементног модела НОСЕЋЕ КОНСТРУКЦИЈЕ РАМНЕ ДИЗАЛИЦЕ ЗА МОДАЛНУ АНАЛИЗУ
Comparison of the continuous model and the finite element model of the gantry crane carrying structure for modal analysis
Vojnotehnicki glasnik/Military Technical Courier, vol. 70, no. 3, pp. 696-719, 2022
University of Defence

Received: 31 January 2022
Accepted: 24 June 2022
Abstract:
Introduction/purpose: To study the adequacy of applying numerical methods in the modal analysis of complex carrying structures of cranes. Methods: Comparative application of the analytical method and the numerical method - FEM. Results: Some comparative values of the modal parameters were obtained both analytically and numerically for the derived solution of a gantry crane carrying structure. Conclusion: It is shown that the numerical method can give a reliable general quality estimate of the structural behaviour of a complex carrying structure from the aspect of modal analysis.
Keywords: Carrying structure, modal analysis, analytical method, FEM, frequencies.
Pезюме:
Введение/цель: Цель данной статьи заключалась в изучении соответствующего применения численных методов при модальном анализе сложных несущих конструкций кранов. Методы: В статье применен метод сравнительного анализа и численный метод − МКЭ. Результаты: С помощью аналитического и численного методов были получены сравнительные значения модальных параметров для примененного решения несущей конструкции козлового крана. Выводы: Было показано, что численный метод может обеспечить надежную глобальную оценку качества поведения сложной несущей конструкции с точки зрения модального анализа.
Ключевые слова: несущая конструкция, модальный анализ, аналитический метод, МКЭ, частоты.
Abstract:
Увод/циљ: Циљ рада јесте истраживање адекватности примене нумеричких метода код модалне анализе сложених носећих конструкција дизалица. Методе: Спроведена је упоредна примена аналитичке и нумеричке методе – МКЕ. Резултати: Помоћу аналитичког и нумеричког метода добијене су упоредне вредности модалних параметара за изведено решење носеће конструкције рамне дизалице. Закључак: Показано је да се нумеричком методом може добити поуздана глобална оцена квалитета понашања сложене носеће конструкције са аспекта модалне анализе.
Keywords: носећа конструкција, модална анализа, аналитичка метода, МКЕ, фреквенције.
Introduction
The problem of structural dynamics is of great importance in constructions and design engineering. Modal analysis of conceptual designs of carrying structures of hoisting machinery is the first and most essential element of dynamic analysis for the estimation of their dynamic stability. The process of determining eigenvalues in complex systems with a large number of degrees of freedom is the most expensive phase in dynamic analysis (Ćorić et al, 1998). The first motive for making this paper is the development of a model of a gantry crane with one pair of rigid legs and the second pair of hinge-elastic legs for modal analysis. Modal analysis and continuation of the analysis of dynamic behaviour should enable the design of a light and reliable structure. The second motive of this paper is to present a modern approach to problems in the dynamics of structures. According to the authors, this type of the gantry crane structure has not been researched so far.
In older research works, the determination of natural frequencies of complex carrying structures was based on the use of approximate expressions and methods (Filippov, 1970). Analytic determination of natural frequencies was limited to simple carrying structures (e.g. simple beam and cantilever). In a complex elastic system, solving the frequency equation was difficult because it contains trigonometric and hyperbolic functions. Today, mathematical software packages (e.g. Mathematica, MATLAB, and the others) enable easy solving of the frequency equation of the oscillation of complex elastic systems. recise determination of natural frequencies is fundamental from the aspect of optimizing carrying structures. The method with distributed masses has been treated in numerous literature books, e.g. (Karanovsky & Lebed, 2001; Krodkiewski, 2008).
However, the use of analytical methods in complex carrying structures is still limited. In this case, for determining the natural frequencies of a carrying structure, some of the numerical methods are used. The main advantage of numerical methods is that very complex structures can be viewed as reduced models whose analysis from the aspect of engineering accuracy is sufficient to evaluate the behaviour of complex structures. Today, the method with consistent masses is very common. For more details on the finite element method (FEM), see (Bathe, 2016; Zienkiewicz et al, 2005; Zaimović-Uzunović & Lemeš, 2002).
Analytical and numerical methods for structural dynamics are considered in a number of papers. In the first selected paper (Alexandropoulo et al, 1986), for a simple elastic system (a simple frame with two elements), the effect on the bending eigenfrequencies of the longitudinal motion, alone or in combination with other parameters, is thoroughly discussed. In the paper (Oguamanam et al, 2001), the dynamics of a 3D model of an overhead crane system is considered. The transverse and longitudinal vibrations of a frame structure caused by a moving trolley and a hoisted object using a moving finite element are treated by (Wu, 2008). The paper (Lazarević & Lazarević, 2018), deals with the research into the dynamic characteristics (natural frequencies and movements) of hydraulic excavators. A comparative approach of analytical and numerical solutions for a jib crane system was explored in (Umar et al, 2019). The paper (Vasiljević, 2019) focused on comparative modal analysis of the portals of a type “H” and “X” portal cranes. In a recent paper, (Milana et al, 2021) investigates the moving load problem for the lifting boom of a ship unloader.
Description of the problem
In this paper, the object of the research is a double girder gantry crane with one side cantilever. Depending on the main girder support method, gantry cranes can be executed in two ways, as follows:
with both pairs of rigid legs, and
with one pair of rigid legs and the second pair of hinge-elastic legs.
Gantry cranes with both rigid legs are simpler from the aspect of the complexity of the carrying structure. So, in papers from the field of dynamic analysis of gantry cranes, subject studies were only gantry cranes with rigid connections of both pairs of legs with the main girders. For this reason, the author of this paper has opted for a modal analysis of the carrying structure of gantry cranes with one rigid connection and one flexible (hinged) connection of the legs with the main girders (Figure 1). For more details on gantry cranes, see (Ostrić & Tošić, 2005).
The carrying structure of a gantry crane (Figure 1) consists of two main box girders which are on ends connected to crossbars. The main girders rely on the boxed legs, one of which is rigid and the other hinge-elastic. The flexible (hinged) connection is located at the cantilever of the main girder. The rigid leg receives influences from the trolley braking, while both legs receive the influence from the crane braking.
This type of the carrying structure of the gantry crane is shown in Figure 2. For the defined type of the gantry crane carrying structure, modal analysis will be conducted in the following sections. In this paper, the modal analysis considering the gantry crane was conducted analytically and numerically. In the first step, the continuous model is presented, i.e. the analytical approach for modal analysis. In the second step, the finite element models are presented, i.e. the numerical approach for modal analysis.
To obtain all eigenvalues and eigenvectors, it is necessary to perform a large number of numerical operations. In order to reduce the scope of dynamic calculation, only the adequate eigenvectors are selected. The mode shape with a frequency close to the frequency of load of most influence on the dynamic response of the system is defined as dynamic load and assumed to be the dominant mode shape.

Рис. 1 – Эскиз системы козлового крана
Слика 1 – Скица система рамне дизалице

Рис. 2 – Тип несущей конструкции козлового крана
Слика 2 – Тип носеће конструкције рамне дизалице
Continuous model
The continuous model of the gantry crane carrying structure was adopted (Figure 3). The continuous model is a model with uniformly distributed masses. This model is a plane frame with the following assumptions (idealization):
the material of the elements is homogeneous and isotropic,
the main structural elements are uniform beams,
the elements are significant by the transverse oscillation in the Bernoulli-Euler beam theory,
the transverse displacements of the center of the section are normal to the longitudinal axis and small in relation to the length of the element, and
the cross-sections of the elements remain plane and normal to the elastic line.
The axial and shear deformations and the influences of rotation inertia can be ignored due to the known structural behaviour of gantry cranes.

Рис. 3 – Непрерывная модель
Слика 3 – Континуални модел
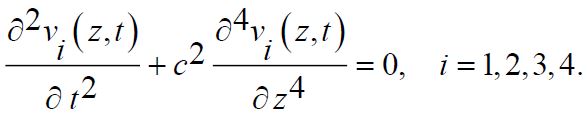
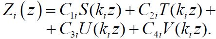
Partial differential equations of free undamped transverse oscillations of the frame elements read:
(1)The notations in Eq. (1) are as follows:
– transversal displacements of the element i,
– spatial coordinate,
– time, and
– speed of wave propagation.
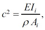
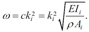
The speed of wave propagation
is equal:
(2)where:
– elastic modulus,
– material mass density,
– area of the cross-section of the element i, and
– moment of inertia of the cross-section of the element i.
Let us look at the solution of differential equation (1) in the form:
(3)The notations in Eq. (3) are two functions:
– mode shapes of the element i, and
– time function.
The transversal displacements for each element of the frame read:
(4)The functions of the mode shapes and the function of time are equal:
(5)Due to the complexity of the elastic system, the functions
will be presented by Krylov functions:
(6)The circular frequency
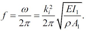
in the time function in Eq. (5) is equal to:
(7)The frequency of the oscillation
is calculated by the expression:
(8)Boundary conditions
As the structure consists of four beam elements, it is necessary to define sixteen boundary conditions. The boundary conditions can be (Karanovsky, 2004):
geometric boundary conditions (deflections and inclinations), and
load boundary conditions (transverse forces and bending moments).
On the support of the rigid leg (element 3) there are two boundary conditions:
(9.1)
(9.2)At the location of the rigid connection between the main girder and the rigid leg (elements 1 and 3), there are three boundary conditions:
(9.3)
(9.4)
(9.5)At the location of the rigid connection between the main girder and the cantilever (elements 1 and 2), there are four boundary conditions:
(9.6)
(9.7)
(9.8)
(9.9)At the end of the cantilever (element 2), there are two boundary conditions:
(9.10) (9.11)
(9.11)At the location of the flexibly connection between the main girder and the hinge leg (elements 1 and 4), the following boundary condition is valid:
(9.12)On the support of the hinge leg (element 4), there are two boundary conditions:
(9.13)
(9.14)The boundary condition on the basis of equality displacements of the end of rigid leg and the end of hinge-elastic leg reads:
(9.15)Finally, the dynamic boundary condition on the basis of the Law on motion of the centre of mass of the main girder (element 1) and the action of the transverse forces at the places of its connection with the rigid leg and the hinge leg (elements 3 and 4) reads:
(9.16i)This condition, after replacing v. and v. for Eq. (4) and Eq. (6) in Eq. (9.16i), obtains the following form:
(9.16)Frequency equation
From Eq. (7), the characteristic values
defined by
:
(10)From the defined boundary conditions (Eqs. (9.1-9.16)), a homogeneous system of linear equations is formed, from which the frequency equation follows:
(11)The notice
in Eq. (11) is defined by Eq. (12) and Eqs. (13.1) to (13.11). The frequency equation is very complex because the combinations of trigonometric and hyperbolic functions depend on a number of parameters, so that its solution in the algebraic form cannot be found.
(12)The vectors
in Eq. (12) read:
(13.1)
(13.2)
(13.3)
(13.4)
(13.5)
(13.6)
(13.7)
(13.8)
(13.9)
(13.10)
(13.11)Finite element models
For the gantry crane carrying structure, the finite element models were adopted:
Case I: model with 7 finite elements (Figure 4), and
Case II: model with 14 finite elements (Figure 5).
The finite element model is a model with consistent masses. The models are plane frames divided into beam finite elements (plane-frame element).
This element was adopted based on the following assumptions:
the axial deformations of the elements are in accordance with Hooke's law, and
the transverse deformations of the elements are in accordance with the Bernoulli-Euler theory.
The adopted finite element is a combination of a plane element of the bar type and the element of the carrier type. All elements of the plane frame are made of steel. The basic characteristics (mechanical and static) of the element
are:
– mass density of the material,
– elastic modulus,
– area of the cross-section, and
– moment of inertia of the cross-section.

Рис. 4 – Конечно-элементная модель – 7 КЭ
Слика 4 – Коначноелементни модел – 7 КЕ

Рис. 5 – Конечно-элементная модель – 14 КЭ
Слика 5 – Коначноелементни модел – 14 КЕ
The numerical method consists of determining the inertial load along the element during the movement of the girder, and then replacing the inertial load with the equivalent nodal load.
The formed reduced models are coarse models based on the methodology of the reduction of the number of degrees of freedom of the node, so the box-section is replaced by a beam element.
The carrying structure is modelled with two types of beam finite elements:

Рис. 6 – Типы конечных элементов
Слика 6 – Типови коначних елемената
The beam element type ik is a planar frame element with 3DOF in each node. The beam element type
is a planar frame element with 3DOF in the first node and 2DOF in the second node.
In case I, the girder of the carrying structure is divided into 5 finite elements, while both legs were modelled as one finite element.
In case II, the girder of the carrying structure is divided into 10 finite elements, while both legs were modelled as 2 finite elements.
The formed finite element models of the structure are relatively simple, but they enable sufficiently accurate static and dynamic analyses. In research, this is a common measure of discretization. Furthermore, increase in the number of finite elements relate to an increase in the number of programming operations. Also, the time required to obtain the dynamic parameters in the software package increases.
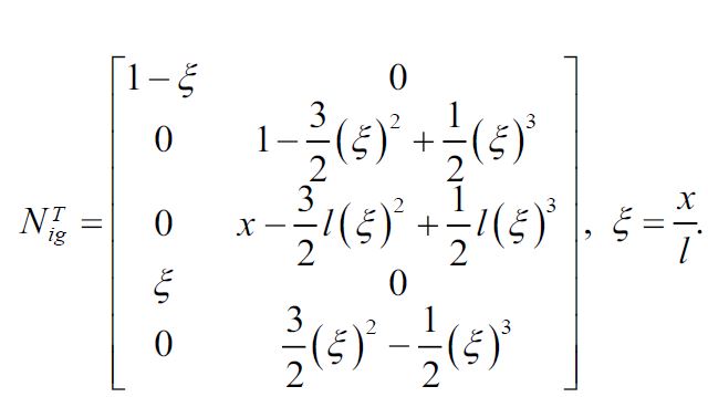
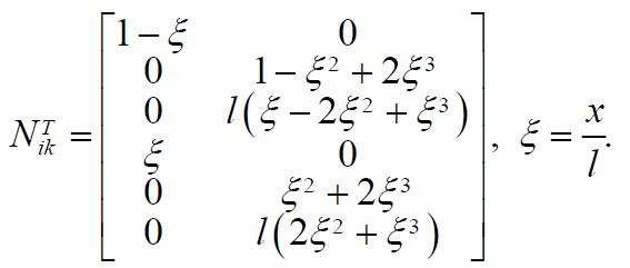
For the restrained element on both sides of the constant cross-section, the vector of the interpolation functions reads:
(14)For the element that is on the one side restrained and on the other side with a hinge connection, with a constant cross section, the vector of the interpolation functions reads:
(15)The corresponding matrix of masses and stiffness of the line element
are defined on the basis of the interpolation functions (Eq. (14) or Eq. (15)) and their first and second derivatives and they read:
(16)
(17)The transformation matrix element of the type
is:
(18)while the transformation matrix element of the type
is:
(19)The symbol in Eq. (18) and Eq. (19) takes the following values:
∎ Case I: 
∎ Case II: 
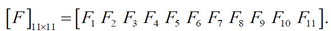
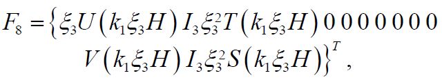
The mass matrix in the global coordinate system is equal to:
(20)The stiffness matrix in the global coordinate system is equal to:
(21)∎ Case I:
(20.I)
(21.I)∎ Case II:
(20.II)
(21.II)Similarly to the system mass matrix, the system stiffness matrix is also decomposed into submatrices. The submatrix of the system mass matrix by the unknown
is obtained by decomposing the matrix in Eq. (20.I) or in Eq. (20.II), while the submatrix of the system stiffness matrix per the unknown
is obtained by decomposing the matrix in Eq. (21.I) or the matrix in Eq. (21.II).
The circular frequencies of the carrying structure are obtained by solving the algebraic equations:
(22)Equation (22) is complex.
Numerical example
On the theoretical basis given in the previous sections, a numerical example was given for the derived solution for a gantry crane (Mašinska industrija Niš – Fabrika dizalica, 1981).
Starting data
| Technical characteristics | Value |
| Payload, Q | 10 [t] |
| Span of the main girder, L | 20 [m] |
| Span of the cantilever, L1 | 4 [m] |
| Height of legs, H | 8 [m] |
Таблица 1 – Общие сведения о козловом кране
Табела 1 – Опште информације за рамну дизалицу
The material of the carrying structure is steel S235J2G3. The main mechanical characteristics of the carrying structure are equal: 


Рис. 7 – Поперечные сечения: а) главной балки, б) жесткой опоры, в) шарнирно-подвижной
Слика 7 – Попречни пресеци: а) главни носач, б) крута нога, в) зглобно-еластична нога
Results of the continuous model
Table 2 presents the data for the continuous model of the carrying structure of the gantry crane.
| Element (i) | li [m] | Hn [mm] | Bn [mm] | bn [mm] |
| 1 | Z1 | 1000 | - | - |
| 2 | Z2 | 851 | - | - |
| 3 | Z3 | 570 | 587.5 | 557.5 |
| 4 | Z4 | - | 603.5 | 573.5 |
Таблица 2 – Характеристики непрерывной модели
Табела 2 – Карактеристике континуалног модела
Frequency equation (12) is solved using Mathematica software (Wolfram Research, Nd). In the first step, the characteristic values of k1 of the frequency equation are graphically determined (Figure 8).
In the second step, the characteristic values of
are localized first and then their exact values are determined using the command FindRoot. The first four values are
. Based on the characteristic values of
, according to Eq. (7), the first four own circular frequencies of the model of the gantry crane carrying structure are determined (Table 3).

Рис. 8 – Зависимость detF от k1
Слика 8 – Зависност detF од k1
| Mode No | Circular frequency [rad/s] | Frequency [Hz] | Period [s] |
| 1st | 12.710 | 2.023 | 0.4943 |
| 2nd | 54.882 | 8.735 | 0.1145 |
| 3rd | 106.146 | 16.894 | 0.0592 |
| 4th | 169.999 | 27.056 | 0.0367 |
Таблица 3 – Частоты непрерывной модели
Табела 3 – Фреквенције континуалног модела
Results of the finite element model
∎ Case I
Table 4 presents the data for the FE model with 7 finite elements of the gantry crane carrying structure.
| i Element (i) | li [m] | Hn [mm] | Bn [mm] | bn [mm] |
| 1…4 | 5 | 1000 | - | - |
| 5 | 4 | 851 | - | - |
| 6 | 8 | 570 | 587.5 | 557.5 |
| 7 | 8 | - | 603.5 | 573.5 |
Таблица 4 – Характеристики модели с 7 конечными элементами
Табела 4 – Карактеристике модела са 7 коначних елемената
Due to its complexity, equation (22) for case I is solved through the programming code
written in a Mathematica software package (Wolfram Research, Nd).
Table 5 shows the values of the first four frequency oscillating carrying structures of the gantry crane (model I - with 7 finite elements).
| Mode No | Circular frequency [rad/s] | Frequency [Hz] | Period [s] |
| 1st | 11.818 | 1.881 | 0.5317 |
| 2nd | 54.682 | 8.703 | 0.1149 |
| 3rd | 140.334 | 22.335 | 0.0448 |
| 4th | 170.249 | 27.096 | 0.0369 |
Таблица 5 – Частоты моделей с 7 конечными элементами
Табела 5 – Фреквенције модела са 7 коначних елемената
∎ Case II
Table 6 presents the data for the FE model with 14 finite elements of the gantry crane carrying structure.
| i Element (i) | li [m] | Hn [mm] | Bn [mm] | bn [mm] |
| 1...8 | 2.5 | 1000 | - | - |
| 9…10 | 2 | 851 | - | - |
| 11…12 | 4 | 570 | 587.5 | 557.5 |
| 13…14 | 4 | - | 603.5 | 573.5 |
Таблица 6 – Характеристики модели с 14 конечными элементами
Табела 6 – Карактеристике модела са 14 коначних елемената
Analogically, equation (22) for case II, due to the complexity, is solved through the programming code
written in Mathematica software.
Table 7 shows the values of the first four frequency oscillating carrying structures of the gantry crane (model II - with 14 finite elements).
| Mode No | Circular frequency [rad/s] | Frequency [Hz] | Period [s] |
| 1st | 12.525 | 1.993 | 0.5016 |
| 2nd | 56.226 | 8.949 | 0.1117 |
| 3rd | 109.350 | 17.404 | 0.0575 |
| 4th | 168.327 | 26.790 | 0.0373 |
Таблица 7 – Частоты моделей с 14 конечными элементами
Табела 7 – Фреквенције модела са 14 коначних елемената
Mode shapes
Figures 9 and 10 present the shapes of the first two eigenmodes of the oscillation of the carrying structure of the considered type of the gantry crane.
There are two main mode shapes of the considered structure which are of the greatest significance for the analysis of the structure dynamic behaviour. The first mode shape is called the basic form of oscillation.

Рис. 9 – 1 формa колебаний несущей конструкции крана
Слика 9 – Први облик осциловања носеће конструкције дизалице

Рис. 10 – 2 формa колебаний несущей конструкции крана
Слика 10 – Други облик осциловања носеће конструкције дизалице
Analysis of the results
The analysis of the results shows that the results for the natural frequencies of the numerical method correspond well with the results of the analytical method. For a greater accuracy in numerical methods, it is necessary to apply a greater number of finite elements.
From the aspect of modal analysis, the worst dynamic behaviour of the construction is reflected in the first mode of oscillation. Also, based on the same aspect, a good dynamic behaviour requests high first frequency. The first lowest (basic) vibration frequency of the gantry crane carrying structure is within the limits of 0.5-3.5 Hz, so the condition for small mass, or its slimness, is fulfilled. In accordance with these conclusions, the carrying structure of the considered gantry crane has the necessary dynamic stability.
The diagram in Figure 11 shows the influence of the number of finite elements of the carrying structure of the gantry crane on the accuracy results of the numerical method. This influence is particularly expressed in the third mode. Of particular importance is the accuracy of the first mode of oscillation.

Рис. 11 – Влияние количества конечных элементов на точность результатов
Слика 11 – Утицај броја коначних елемената на тачност резултата
Based on the results in the previous section, Table 8 shows the comparative results for the first four natural frequencies of the mathematical model. The disparity between the analytical method (AM) and the FEM method is calculated according to the expression:
| Frequency [Hz] | Continuous model | Finite element model – 14 FE | Disparity [%] |
| f1 | 2.023 | 1.993 | 1,48 |
| f2 | 8.735 | 8.949 | -2,45 |
| f3 | 16.894 | 17.404 | -3,02 |
| f4 | 27.056 | 26.790 | 0,98 |
Таблица 8 – Сравнительные значения частот по двум моделям
Табела 8 – Упоредне вредности фреквенција за два модела
Comparing the values of the natural frequencies obtained by the analytical method with those obtained by the numerical method leads to the conclusion that the maximum relative error for the first two modes is 1.48% and 2.45%. The results for the first and fourth frequencies match best.
Conclusion
The conclusions of the comparison of the continuous model and the finite element model of the carrying structure of a double girder gantry crane with one cantilever for modal analysis are:
Analytical approach is recommended for structures where it is possible to find solutions of dynamic parameters in the analytical form;
It is shown that the priority of the numerical approach is reflected in its possibility to view very complex structures as reduced models whose analysis results in an estimate that is precise enough from the aspect of engineering accuracy;
In the numerical method, it has been shown with high accuracy that the results are obtained by dividing a discretized model into a high number of finite elements;
It is shown that it is possible to detect the causes of undesirable behaviour of a structure with the numerical method;
It is shown that the numerical method can provide a reliable general estimate of the quality of structural behaviour from the aspect of modal analysis;
It was determined that the values of the modal parameters obtained by the analytical method and the numerical method (FEM) coincide well from the aspect of engineering accuracy;
For the first mode, a relative error of natural frequencies obtained by the FEM (method with consistent masses) in relation to the exact value (method with distributed masses) amounts to 1.48%;
The study in this paper can be useful in selecting methods for researching dynamic behaviours of carrying structures.
References
Alexandropoulo, A., Michaltsos, G. & Kounadis, А. 1986. The effect of longitudinal motion and other parameters on the bending eigenfrequencies of a simple frame. Journal of Sound and Vibration, 106(1), pp.153-159. Available at: https://doi.org/10.1016/S0022-460X(86)80179-1.
Bathe, K-J. 2016. Finite Element Procedures. New Jersey: Prentice-Hall. ISBN: 978-0-9790049-0-2.
Ćorić, B., Ranković, S. & Salatić, R. 1998. Dinamika konstrukcija. Belgrade: University of Belgrade (in Serbian). ISBN: 8681019732 9788681019733.
Filippov, A.P. 1970. Vibration of deformable systems. Moscow: Mashinostroenie (in Russian).
Karanovsky, I.A. & Lebed, O.I. 2004. Formulas for Structural Dynamics: Tables, Graphs and Solutions, 1st Edition. New York: McGraw-Hill.
Krodkiewski, J.M. 2008. Mechanical vibration. Melbourne: University of Melbourne. ISBN: 0-7325-1536-X.
Lazarević, Ž. & Lazarević, B. 2018. Determining the dynamic characteristics of hydraulic excavators. Vojnotehnički glasnik/Military Technical Courier, 66(1), pp.41-62. Available at: https://doi.org/10.5937/vojtehg66-14400.
-Mašinska industrija Niš - Fabrika dizalica. 1981. Projekat portalne dizalice nosivosti 10 t i raspona 20+4 m - PD-083. Niš, Serbia: Mašinska industrija Niš - Fabrika dizalica (in Serbian).
Milana, G., Banisoleiman, K. & Gonzalez, A. 2021. An investigation into the moving load problem for the lifting boom of a ship unloader. Engineering Structures, 234(art.number:111899), pp.1-20. Available at: https://doi.org/10.1016/j.engstruct.2021.111899.
Oguamanam, D.C.D., Hansen, J.S. & Heppler, G.R. 2001. Dynamics of a three-dimensional overhead crane system. Journal of Sound and Vibration, 242(3), pp.411-426. Available at: https://doi.org/10.1006/jsvi.2000.3375.
Ostrić, D. & Tošić, S. 2005. Dizalice. Belgrade: University of Belgrade, Faculty of Mechanical Engineering (in Serbian). ISBN: 978-86-7083-520-7.
Umar, S.U., Hamisu, M.T., Jamil, M.M. & Sa’ad, А. 2019. Dynamic responses of structures to moving bodies using combined finite element and analytical methods. Journal of Mechanical Design and Vibration, 7(1), pp.33-42. Available at: https://doi.org/10.12691/jmdv-7-1-5.
Vasiljević, R. 2019. Comparative Modal Analysis of the Portals of a Type “H” and “X” Portal Cranes. IMK–14 Research & Development in Heavy Machinery, 25(1), pp.13-20. Available at: https://doi.org/10.5937/IMK1901013V.
-Wolfram Research. Nd(a). FindRoot, Wolfram Language function, [online] Available at: https://reference.wolfram.com/language/ref/FindRoot.html. [Accessed: 6 june 2021].
-Wolfram Research. Nd(b) ProceduralProgramming, [online] Available at: https://reference.wolfram.com/language/guide/ProceduralProgramming.html. [Accessed: 18 October 2021].
Wu, J.J. 2008. Transverse and longitudinal vibrations of a frame structure due to a moving trolley and the hoisted object using moving finite element. International Journal of Mechanical Sciences, 50(4), pp.613-625. Available at: https://doi.org/10.1016/j.ijmecsci.2008.02.001.
Zaimović-Uzunović, N. & Lemeš, S. 2002. Metod konačnih elemenata. Zenica, Bosnia and Herzegovina: Dom štampe (in Serbian). ISBN: 9958-42-079-1.
Zienkiewicz, О.С., Taylor, R.L. & Zhu, J.Z. 2005. The Finite Element Method: Its Basis and Fundamentals, Sixth Edition. Oxford, UK: Elsevier Butterworth-Heinemann. ISBN-13: 978-0-7506-6320-5.
Additional information
FIELD: Mechanical engineering, Transportation devices, Mechanics
ARTICLE TYPE: Original scientific paper
Alternative link
https://scindeks.ceon.rs/article.aspx?artid=0042-84692203696V (html)
https://aseestant.ceon.rs/index.php/vtg/article/view/36051 (pdf)
https://doaj.org/article/02edfb4cb9a849cd9dc28deb5313a588 (pdf)
https://elibrary.ru/item.asp?id=48719263 (pdf)
http://www.vtg.mod.gov.rs/archive/2022/military-technical-courier-3-2022.pdf (pdf)