Review papers
Anomalies in quantum field theories
Аномалии в квантовых теориях поля
Аномалије у квантним теоријама поља
Anomalies in quantum field theories
Vojnotehnicki glasnik/Military Technical Courier, vol. 71, no. 1, pp. 100-112, 2023
University of Defence

Received: 30 May 2022
Revised document received: 28 January 2023
Accepted: 29 January 2023
Abstract:
Introduction:purpose: Noether’s theorem connects symmetry of the Lagrangian to conserved quantities. Quantum effects cancel the conserved quantities. Methods: Triangle diagram, Path integral, Pauli-Villars regularisation. Results: Quantum effects that spoil conserved quantities of local gauge symmetries endager renormalisability. Conclusion: A careful treatment of anomalies is needed in order to obtain correct results. The π0→γγ decay is perhaps the most notable “impossible” effect allowed by anomalies.
Keywords: symmetry, quantum anomalies.
Pезюме:
Введение/цель: Теорема Нётер (Nöther) устанавливает соответствие между обобщёнными симметриями Лагранжа и сохраняемыми величинами. Квантовые эффекты отменяют законсервированные величины. Методы: Треугольная диаграмма, интеграл по траекториям, регуляризация Паули-Вилларса. Результаты: Квантовые эффекты, влияющие на законсервированные величины локальной калибровочной симметрии ставят под угрозу перенормируемость. Выводы: Для получения точных результатов необходимо провести тщательные исследования. Распад π0→γγ вероятно является самым уникальным ”невозможным” эффектом, допускаемым аномалиями правильные результаты
Ключевые слова: симметрия, квантовые аномалии.
Abstract:
Увод/циљ: Нетерина (Nöther) теорема повезује симетрије Лагранжијана са конзервираним величинама. Квантни ефекти поништавају конзервиране величине. Методе: Дијаграм троугла, интеграл пута, ПаулиВиларсова регуларизација. Резултати: Квантни ефекти који кваре конзервиране величине симетрија локалне калибрације угрожавају ренормализабилност. Закључак: Аномалије је потребно пажљиво третирати како би се добили тачни резултати. Распад π0→γγ је можда најнаглашенији „немогући” ефекат који дозвољавају аномалије.
Keywords: симетрија, квантне аномалије.
Noether’s theorem
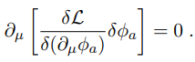
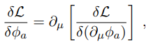
What happens when a Lagrangian is invariant under certain symmetry? It happens that there is a conserved quantity, as stated by Noether’s theorem (Noether, 1918), which is perhaps the most important theorem in theoretical physics. We have a generic Lagrangian with fields ϕa that undergo an infinitesimal transformation δϕa after applying the symmetry. The Lagrangian is invariant by the hypothesis, so we have (summation is understood on repeated indices a)
(1)where the order swapping of δ and ∂µ is possible because δϕa is a functional variation. There are also equations of motion that read
(2)and by combining the two, we obtain
(3)Defining a current
(4)from eq. (3), we see that is conserved, i.e., ∂µJµ = 0.
In QED, for example, the wave function ψ is invariant under the phase transformations ψ → eiαψ, for which we have the conserved current
(5)There is also the global chiral transformation ψ → eiβγ5ψ which has a conserved current only in the massless limit,
(6)Quantum symmetries
In the previous section we have discussed the invariance of the La- grangian under symmetry transformations and its consequences. There was no mention of quantum effects in Noether’s theorem, which are not relevant for its proof. In fact, it was tacitly assumed that classi- cal and quantum symmetries are the same thing. This belief was shattered in the late 60-ies when it was discovered that quantum effects could indeed spoil classical symmetries. Such symmetries that are broken by quantum effects are called anomalies.
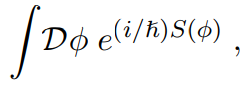
A posteriori, this belief had actually no grounds. While classically there is a transformation δϕ that implies δL = 0, at the quantum level, by means of a path integral, the things are different. One computes
(7)and, while under the transformation δϕ the action is also invariant, δS = 0, there remains the Jacobian of the transformation in Dϕ which in general will not equal unity. Therefore, classical symmetry has in general no reasons to survive quantisation. For a brief review of path integrals, see (Fabiano, 2022a).
Anomalies are bad when they afflict symmetries necessary to renor- malise the theory: their presence disallows the possibility of obtaining finite predictions (Schwinger, 1959). This case happens when local gauge symmetry is anomalous. Anomalies of global symmetries, on the other hand, are considered relatively harmless because they contribute finitely to physical processes.
U (1) anomaly
Consider a theory with massless fermions, where
(8)whose conserved currents we have already encountered in the section entitled Noether’s theorem. We already know that U(1) symmetry is conserved and for massless fermions both vector current and axial current are conserved, ∂µJµ = 0 and ∂µJµ5 = 0.
For this theory, we will now calculate the three point function
(9)In plain language, the vector current causes a fermion–antifermion pair creation at the point x1 and another such creation at the point x2, then a fermion from one pair and an antifermion from another pair annihilate, while at the point 0 the chiral current annihilates the remaining fermion - antifermion pair.
Two relevant Feynman diagrams for this process are two triangles represented in Figures 1 and 2.
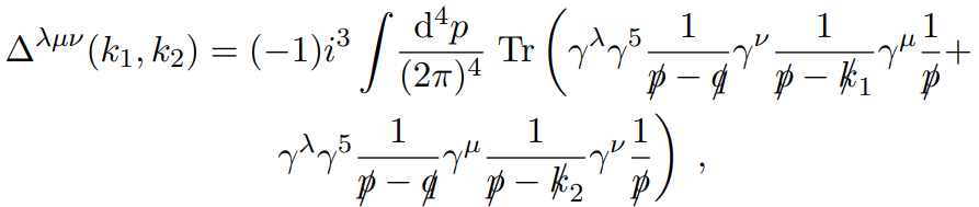
The Fourier transform of the three point function (9) is written as
(10)

Рис. 1 − Треугольная диаграмма, 1
Слика 1 – Дијаграм троугла, 1

Рис. 2 − Треугольная диаграмма, 2
Слика 2 – Дијаграм троугла, 2
the first part belonging to the first diagram, the other part on the last line describing the second diagram, with q = k1 + k2. The overall minus sign comes from the closed fermion loop. Both diagrams are needed in order to obtain Bose statistics.
An immediate observation is that the integral of eq. (10) is linearly di- vergent because it contains three fermionic propagators. This linear diver- gency is at the origin of the breaking of U(1) symmetry, i.e. some current will not be conserved anymore at the quantum level.
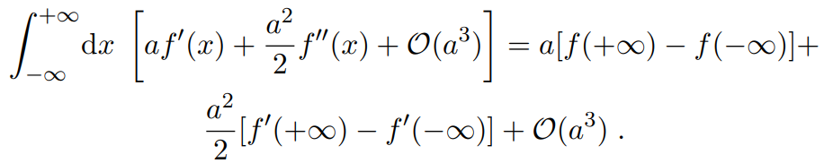
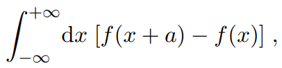
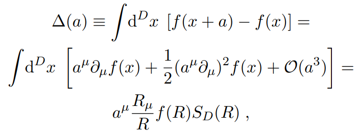
Consider an integral of a function over the whole real line
(11)and then shift the variable, x → x + a. The possible consequences of this action will be evidenced by this integral
(12)this action is usually harmless and eq. (12) would be zero. Expanding this expression with the Taylor series, we obtain
(13)If the integral converges, the variable shift has no consequences, but if the integral is linearly divergent, the result is given from eq. (13), and equals a[f(+∞) − f(−∞)].
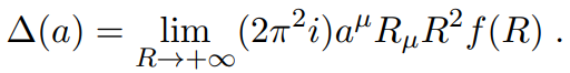
This ambiguity can be generalised to an arbitrary (Euclidean) dimension. Define the function
(14)applying the Gauss theorem. All terms except the first vanish when integrating over the surface R → +∞. SD(R) = 2πD/2R(D−1)/Γ(D/2) is the surface of the D–dimensional sphere. In the four dimensional Minkowskian case, we have
(15)Triangle diagram
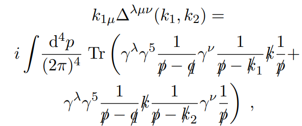
The conservation of two classical currents ∂µJµ = 0 and ∂µJ5µ = 0 translates respectively to the equations
(16)for the pseudovector one. The first of eq. (16) is given by the expression
(17)for the pseudovector one. The first of eq. (16) is given by the expression
(18)by substituting the first occurrence of
and the second occurrence of
, we obtain
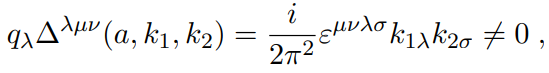
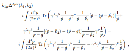
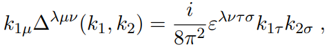
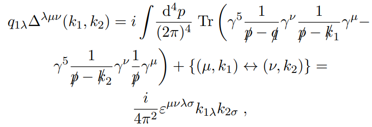
(19)and an analogous expression is obtained for k2ν∆λµν(k1, k2) by exchanging k1 ↔ k2 and µ ↔ ν.
When observing the last line of eq. (19), we see that the second term is obtained by the first term by shifting the integration variable p → p − k1, so one would infer that the net result is zero and the vector current is conserved. However, by virtue of eq. (13), this deduction is wrong.
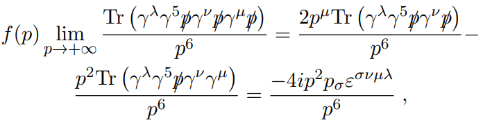
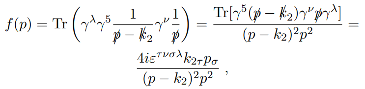
Define the integrand function present in eq. (19)
(20)where ετνσλ is the totally antisymmetric Levi–Civita tensor, with ε0123 = +1, and from eqs. (12) and (15), we obtain
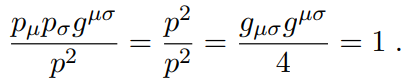
(21)Above, we have used the expression pµpσ/p2 = gµσ/4: by contracting both sides with the inverse gµσ, we have
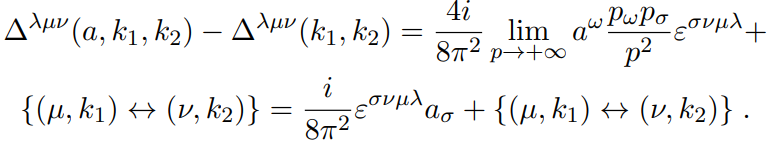
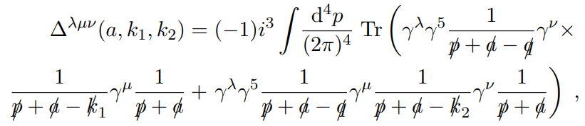
(22)We will now verify the behaviour of eq. (10) with respect to a different choice of the shift in the integrand. Define the function of an arbitrary vector a
(23)and compute ∆λµν(a, k1, k2) − ∆λµν(k1, k2) with the aid of eq. (15) applied to the function
(24)We have the following property:
(25)so we obtain
(26)We can parametrise the shift vector a by the two independent momenta k1 and k2 in the following manner:
(27)and by inserting back this expression into eq. (26), we obtain
(28)We notice that the dependence from α drops out and the result depends only on the difference k1 − k2.
We will now impose the conservation of the vector current in eq. (16). Not doing so would in fact lead to the non conservation of electric charge Q: fermions would be created out of nowhere. As this violation has never been observed in Nature, this constraint on the Jµ current is of paramount importance and can not be avoided. Recalling from eq. (21) that
(29)we have
(30)and by choosing β = −1/2, we obtain the vector current conservation.
A possible way of understanding this phenomenon is that the Feynman rules as such are not enough to determine the three point function of eq. (9). Because of its ambiguity, one has also to impose the constraint of the vector current conservation.
Chiral current
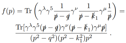
So far, we have discussed the conservation of the vector current. Is it possible to impose also the chiral current conservation in the massless limit? We have already encountered all the necessary machinery necessary to compute the expression ∂µJ5µ:
(31)
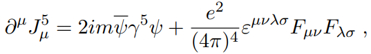
(32)in a fashion analogous to eq. (18). Eventually, for the chiral current, we obtain:
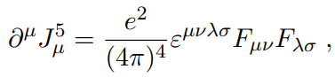
(33)i.e., the chiral current is not conserved even in the massless limit. This phenomenon is known as the chiral anomaly, the axial anomaly or the Adler– Bell–Jackiw (ABJ) U(1) anomaly (Adler, 1969; Bell & Jackiw, 1969). For the path integral formulation, see (Fujikawa, 1979).
Consequences of the chiral anomaly
We have just seen how the triangle diagrams are dependent upon a variable shift, and that it is impossible to impose both constraints of the con- servation of a vector and chiral current at the same time. This leads to the breaking of U(1) symmetry and has many consequences. Some of them will be illustrated briefly.
Add photons - We could add photons to our naive theory of eq. (8), i.e.
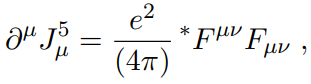
. It is equivalent to adding two external photon lines attached to the vertices µ and ν of Figs. 1–2. Of course, classically, the J5 current is still conserved, as we did not add the mass term. At the quantum level, eq. (33) becomes
(34)which is an operator that produces two photons. This term is very often written as
(35)where ∗Fµν ≡ εµνλσFλσ is the dual electromagnetic tensor .
π0 → γγ decay - With the argument shown in the Triangle diagram section, attaching an external line of a pseudoscalar π0 at the two vertices of Figs. 1–2 and two photons as described above, one can calculate the decay rate of π0 → 2γ. Historically, people used the erroneous quantum conservation of the chiral current to prove that this decay cannot occur at all! It is interesting to note a posteriori that Γ(π0 → 2γ) ≈ 7.82 eV, and that its branching ratio is B = Γ(π0 → 2γ)/Γ ≈ 99%, for a “non existing” decay channel.
Add a mass term - Our Lagrangian becomes
, and explicitly spoils the conservation of J5 as illustrated in eq. (6). So we have
(36)i.e. the classical explicit mass term that violates the chiral current con- servation and the quantum term with the analogous effect add up.
Regularisation - Since the triangular diagrams in Figs. 1–2 are linearly divergent, one could wonder whether some sort of regularisation would be able to cancel the anomaly. Dimensional regularisation (Bollini & Giambiagi, 1972; ’t Hooft & Veltman, 1972) cannot be used this time, because the γ5 matrix in D dimensions defined as γ5 = iγ0γ1 . . . γD−1 , in the odd dimensional spacetime still obeys the Clifford algebra {γµ, γν} = 2gµν and {γµ, γ5} = 0, but is inconsistent with the trace properties, i.e. does not obey the relation
(37)One could use the Pauli–Villars regularisation (Pauli & Villars, 1949) discussed in (Fabiano, 2022b). Keeping to 0 the electron mass and introducing a regulator mass M, the behaviour of the integrand in the three point function of eq. (10) is unchanged for p ≪ M and is superficially logarithmically divergent, so one is allowed to shift the integrand variable. Yet the chiral current is again not conserved after the introduction of M, as precisely this mass term violates the chiral symmetry. This breaking still persists even after the regulator M → +∞.
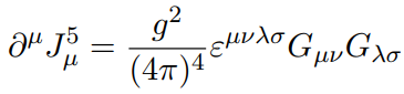
Yang–Mills theory - Consider the massless version of the Lagrangian (Yang & Mills, 1954) of eq. (20) of (Fabiano, 2022c), i.e.
The difference with the Abelian case is that we insert a factor Ta at the vertex labelled by µ and a factor Tb at the vertex labelled with ν. For a non Abelian gauge theory, one obtains
(38)where Gµν = GµνaTa. Because the field strength defined in eq. (21) of (Fabiano, 2022c) contains also the terms cubic and quartic in A, beyond the triangle anomaly, we also have square and pentagon anomalies.
References
Adler, S.L. 1969. Axial-Vector Vertex in Spinor Electrodynamics. Physical Review, 177(5), pp.2426-2438. Available at: https://doi.org/10.1103/PhysRev.177.2426
Bell, J.S. & Jackiw, R. 1969. A PCAC puzzle: π0→γγ in the σ−model. Il Nuovo Cimento A (1965-1970), 60(1), pp.47-61. Available at: https://doi.org/10.1007/BF02823296
Bollini, C.C. & Giambiagi, J.J. 1972. Dimensional renorinalization: The number of dimensions as a regularizing parameter. Il Nuovo Cimento B (1971-1996), 12(1), pp.20-26. Available at: https://doi.org/10.1007/BF02895558
Fabiano, N. 2022a. Path integral in quantum field theories. Vojnotehnički glasnik/Military Technical Courier, 70(4), pp.993-1016. Available at: https://doi.org/10.5937/vojtehg70-35882
Fabiano, N. 2022b. Regularization in quantum field theories. Vojnotehnički glasnik/Military Technical Courier, 70(3), pp.720-733. Available at: https://doi.org/10.5937/vojtehg70-34284
Fabiano, N. 2022c. Beta functions in the quantum field theory. Vojnotehnički glasnik/Military Technical Courier, 70(1), pp.157-168. Available at: https://doi.org/10.5937/vojtehg70-32131
Fujikawa K. 1979. Path Integral Measure For Gauge Invariant Fermion Theories. Physical Review Letters, 42(18), pp.1195-1197. Available at: https://doi.org/10.1103/PhysRevLett.42.1195
’t ’Hooft, G. & Veltman, M. 1972. Regularization and renormalization of gauge fields. Nuclear Physics B, 44(1), pp.189–213. Available at: https://doi.org/10.1016/0550-3213(72)90279-9
Noether, E. 1918. Invariante Variationsprobleme. Nachrichten von der Gesellschaft der Wissenschaften zu Göttingen, Mathematisch-Physikalische Klasse, 1918, pp.235-257 [online]. Available at: https://eudml.org/doc/59024 [Accessed: 25 April 2022].
Pauli, W. & Villars F. 1949. On the Invariant Regularization in Relativistic Quantum Theory. Reviews of Modern Physics, 21(3), pp.434-444. Available at: https://doi.org/10.1103/RevModPhys.21.434
Schwinger, J. 1959. Field Theory Commutators. Physical Review Letters, 3(6), p.296. Available at: https://doi.org/10.1103/PhysRevLett.3.296
Yang, C.N. & Mills, R. 1954. Conservation of Isotopic Spin and Isotopic Gauge Invariance. Physical Review, 96(1), pp.191-195. Available at: https://doi.org/10.1103/PhysRev.96.191
Author notes
Additional information
FIELD: Mathematics
ARTICLE TYPE: Review paper
Alternative link
https://scindeks.ceon.rs/article.aspx?artid=0042-84692301100F (html)
https://aseestant.ceon.rs/index.php/vtg/article/view/38164 (pdf)
https://doaj.org/article/e4c216e55bd64664829ca179e1c135a4 (pdf)
https://www.elibrary.ru/item.asp?id=50193873 (pdf)
http://www.vtg.mod.gov.rs/archive/2023/military-technical-courier-1-2023.pdf (pdf)