Abstract:
Introduction/purpose: Motor vehicles are complex dynamic systems due to spatial displacements, changes in the characteristics of components during their lifetime, a large number of influences and disturbances, the appearance of backlash, friction, hysteresis, etc. The aforementioned dynamic phenomena, especially vibrations, cause driver and passenger fatigue, reduce the lifetime of the vehicle and its systems, etc. Methods: In general, the movement of vehicles is carried out on uneven roads and curvilinear paths in the road. Not only do oscillatory movements cause material fatigue of vehicle parts, but they also have a negative effect on people's health. That is why special attention must be paid to the coordination of the mutual movement of the subsystems, and in particular, the vehicle suspension system, even at the stage of the motor vehicle design. For these purposes, theoretical, experimental or combined methods can be used. Therefore, it is very useful to have the experimental results of the oscillations of the vehicle subsystem in operating conditions, so the aim of this work was to use the movement of the 4x4 drive FAP 1118 vehicle in operating conditions (due to higher speeds - in road conditions) to define the conditions for testing oscillatory loads in laboratory conditions. Results: This is made possible by registering and identifying statistical parameters of registered quantities. Conclusion: Based on the measured data, the research can be programmed on shakers in laboratory conditions, and, at the same time, the size to be reproduced can be chosen as well.
Keywords: motor vehicle, sprung and unsprung masses, oscillatory loads, laboratory tests.
Pезюме:
Введение/цель: Автомобили представляют собой сложные динамические системы, обусловленные пространственными перемещениями, изменением характеристик деталей в процессе их эксплуатации, большим количеством воздействий и возмущений, появлением люфтов, трения, гистерезиса и т. д. Вышеупомянутые динамические явления, особенно вибрации, вызывают усталость водителя и пассажиров, сокращают срок службы автомобиля и его систем и т. д. Методы: В основном движение автотранспорта осуществляется по неровным дорогам и криволинейным участкам. Колебательные движения вызывают усталость материала деталей машины, а также оказывают негативное влияние на здоровье людей. Вот почему еще на этапе проектирования автомобиля особое внимание необходимо уделять согласованию взаимодействия движений подсистем, и в частности, системы подвески автомобиля. Для этих целей могут быть использованы теоретические, экспериментальные или комбинированные методы. Именно поэтому очень полезно иметь экспериментальные результаты колебаний подсистемы автомобиля в условиях эксплуатации. Целью данного исследования было использование движения грузового автомобиля ФАП 1118 с полным приводом в условиях эксплуатации (из-за более высокой скорости в дорожных условиях) для определения условий испытаний колебательных нагрузок в лабораторных условиях. Результаты: Это стало возможным благодаря регистрации и идентификации статистических параметров зарегистрированных величин. Выводы: Основываясь на измеренных данных, исследование можно запрограммировать на пульсаторах в лабораторных условиях и при этом выбрать значения, которые будут воспроизводиться.
Ключевые слова: грузовой автомобиль, подрессоренные и неподрессоренные массы, колебательные нагрузки, лабораторные испытания.
Abstract:
Увод/циљ: Моторна возила су сложени динамички системи због просторних померања, промене карактеристика компоненти током животног века, великог броја утицаја и сметњи, појаве зазора, трења, хистерезиса итд. Поменуте динамичке појаве, посебно вибрације, изазивају замор возача и путника, смањују век возила и његових система. Методе: Моторна возила често се крећу по неравном путу и криволинијским путањама у равни пута. Осцилаторна кретања изазивају замор материјала делова возила, али негативно утичу и на здравље људи. Због тога се, још у фази пројектовања моторног возила, мора посветити посебна пажња усаглашавању међусобног кретања подсистема, а посебно система за ослањање возила. У те сврхе могу се користити теоријске, експерименталне или комбиноване методе. Због тога је веома корисно поседовати и експерименталне резултате осциловања подсистема возила у експлоатационим условима. Стога је циљ овог рада био да се кретање возила ФАП 1118, формуле точкова 4x4, у експлоатационим условима (због већих брзина ‒ у условима на путу) искористи за дефинисање услова за испитивање осцилаторних оптерећења у лабораторијским условима. Резултати: То је омогућено регистровањем и идентификацијом статистичких параметара регистрованих величина. Закључак: На основу измерених података истраживање се може програмирати на пулсаторима у лабораторијским условима, а истовремено је могуће изабрати величину која ће се репродуковати.
Keywords: теретно моторно возило, ослоњене и неослоњене масе, осцилаторна оптерећења, лабораторијска испитивања.
Original scientific papers
Contribution to the research of oscillatory loads of sprung and unsprung masses in order to create conditions for laboratory tests of heavy motor vehicles
Вклад в исследование колебательных нагрузок подрессоренных и неподрессоренных масс с целью создания условий для лабораторных испытаний грузовых автомобилей
Прилог истраживању осцилаторних оптерећења ослоњене и неослоњених маса ради стварања услова за лабораторијска испитивања теретних моторних возила

Received: 04 March 2023
Revised document received: 13 June 2023
Accepted: 15 June 2023
Motor vehicles are complex dynamic systems due to the appearance of spatial vibrations in movement, changes in the characteristics of components during their lifetime, a large number of influences and disturbances, the appearance of clearances, friction, hysteresis, etc. (Demić, 1997, 2006, 2008; Demić & Diligenski, 2003; Abe, 2009; Ellis, 1969; Milliken & Milliken, 1994; Genta, 1997; Gillespie, 1992; Rajamani, 2006). The aforementioned dynamic phenomena, especially vibrations, cause driver and passenger fatigue, reduce the lifetime of the vehicle and its systems, etc.
In general, the movement of vehicles is carried out on uneven roads (terrain) and curvilinear paths in the road (terrain). Oscillatory movements cause load on vehicle parts, but also have a negative effect on human health (Demić, 2008; Hachaturov, 1976; Fiala, 2006; Simić, 1980). That is why special attention must be paid to the coordination of the mutual movement of the vehicle subsystems, and in particular, the suspension system, even at the stage of designing a motor vehicle (Demić, 1997). For these purposes, theoretical, experimental or combined methods can be used, and it is very useful to have experimental results of vehicle subsystem oscillations in operational conditions.
The road (terrain) can be identified based on its spatial geometry (macrorelief) and microbumps (microrelief) (Jovanović & Đurić, 2009; Demić et al, 2022).
The movements of the vehicle subsystem are conditioned, first of all, by the shape and size of bumps as an external factor and oscillatory-inertial characteristics, the torque of the engine and the vehicle velocity as the phenomena related to the vehicle itself. Based on this, it can be concluded that careful research and definition of the characteristics of microbumps of roads on which vehicles drive, both from the aspect of the characteristics of periodicity and from the aspect of energy levels, elaboration and automation of the process of measuring bumps and the mathematical apparatus for processing the obtained data, contribute to reliability, optimality and safety of the construction of the vehicle itself. As the description of road parameters and their identification are given in detail in (Demić, 1997, 2008; Demić et al, 2022; Abe, 2009; Jovanović & Đurić, 2009; Genta, 1997; Gillespie, 1992; ISO, 1995), there will be no more talk about it in this paper.
As it is known (Cox & Reid, 2000), in laboratory conditions, signals recorded during exploitation can be reproduced on pulse generators. Therefore, the aim of this work was to establish the oscillatory movements of sprung and unsprung masses of the vehicle in operational conditions (when driving in road conditions), FAP 1118 vehicle, in order to create the conditions for laboratory tests.
In order to determine oscilatory loads of sprung and unsprung masses of a vehicle, we need to measure specific parameters in real conditions of vehicle exploitation. Experiment design is a complex issue (Cox & Reid, 2000). In this specific case, the subject of the research was a FAP 1118 motor vehicle with 4x4 drive and a load capacity of 4t. The maximum mass of the test vehicle is 11,000 kg, and during the test the vehicle was partially loaded (total mass 7,800 kg - the static load of the front axle was 4,200, and at the rear axle it was 2,850 daN). The measuring chain for measuring the dynamic parameters of the vehicle consisted of the following elements:
- Kistler Correvit S-350 sensors, manufactured by Kistler group, Switzerland, for direct slip-free measurement of longitudinal and transverse vehicle dynamic studying and experimenting (taking into account overall interactions of a complex system or a subsystem within a complex system),
- HBM Quantum MX 840B, made by HBK from Germany, a universal measuring acquisition system,
- B-12 acceleration sensor, made by HBK, Germany, located in the center of gravity of the rear truck bridge, and
- SST 810 dynamic inclinometer, manufactured by Vigor Technology, Greece, placed in the center of gravity of the vehicle.
The measurement was done in Catman software, developed by HBK, Germany.
Based on previous experience and the measurements made at the Military Academy during tests for regular classes and research studies for some doctoral dissertations (Grkić, 2015; Muždeka, 2008), it was considered expedient to test the vehicle while driving in real operational conditions, on an asphalt regional road near Belgrade (maximum driving speed, 56.2 km/h - maximum vehicle speed 80 km/h). During the experiment, the weather was nice and the road was dry. The length of time records was 260 s (13000 points and a discretization step of 0.02 s).
The scheme of measuring points is given in Fig. 1 and for further analysis, Figs. 2 - 4 partially show changes in the vehicle speed over time and the oscillatory movements of the drive axles.
Analyzing all the registered values, partially shown in Figs. 2-4, one can notice that the registered parameters of the vehicle movement depend on time. At the same time, they belong to the group of random processes (Bendat & Piersol, 2000). There is a whole range of methods for processing such signals (Bendat & Piersol, 2000), and we will use some of them in this paper.

Рис. 1 – Схема точек измерения на ФАП 1118 при испытаниях
Слика 1 – Шема мерних тачака на возилу ФАП 1118 током испитивања

Рис. 2 – Изменение скорости автомобиля во время движения
Слика 2 – Промена брзине возила током вожње

Рис. 3 – Продольное, поперечное и вертикальное ускорение передней неподрессоренной массы
Слика 3 – Подужно, бочно и вертикално убрзање предње неослоњене масе возила

Рис. 4 – Скорость крена, тангажа и рыскания задней неподрессоренной массы транспортного средства
Слика 4 – Угаоне брзине ваљања, галопирања и вијугања задње неослоњене масе возила
There are several methodes for data processing in the literature. In (Bendat & Piersol, 2000), it is suggested that the identification of random processes is performed in the time, frequency and amplitude domains. This approach is also adopted in this work.
Having in mind the random character of all registered quantities, it was considered expedient to calculate the parameters in the time domain that will later be used for analysis (especially during amplitude identification, and the calculations were performed using Statisdem software developed in Pascal). This primarily refers to the threshold, the mean value and the standard deviation of all registered quantities. For the sake of illustration, Tables 1, 2 and 3 show the calculated values.
In order to determine the character of the registered values (stationarity), with use of Analisigdem software developed in Pascal, the autocorrelation functions were calculated and partially shown in Figs. 5, 6 and 7 and shown in Tables 1, 2 and 3.

Таблица 1 – Характерные значения зарегистрированных размеров подрессоренной массы транспортного средства
Табела 1 – Карактеристичне вредности регистрованих величина ослоњене масе возила

Таблица 2 – Характерные значения зарегистрированных значений передней неподрессоренной массы транспортного средства
Табела 2 – Карактеристичне вредности регистрованих величина предње неослоњене масе возила

Таблица 3 – Характерные значения зарегистрированных размеров задней неподрессоренной массы транспортного средства
Табела 3 – Карактеристичне вредности регистрованих величина задње неослоњене масе возила

Рис. 5 – Автокорреляционная функция скорости (B), вертикального ускорения (C) и угла крена (D) подрессоренной массы
Слика 5 – Аутокорелациона функција брзине (B), вертикалног убрзања (C) и угла ваљања (D) ослоњене масе

Рис. 6 – Автокорреляционная функция бокового ускорения (B), угловой скорости крена (C) и тангажа (D) передней неподрессоренной массы
Слика 6 – Аутокорелациона функција бочног убрзања (B), угаоне брзине ваљања (C) и угаоне брзине галопирања (D) предње неослоњене масе

Рис. 7 – Автокорреляционная функция продольного ускорения (B), поперечного ускорения (C) и шага (D) задней неподрессоренной массы
Слика 7 – Аутокорелациона функција бочног убрзања (B), угаоне брзине ваљања (C) и угаоне брзине галопирања (D) предње неослоњене масе
Frequency analysis was performed using Analsigdem software (Demić et al, 2001) with 8192 points and a discretization step of 0.02 s, which enabled a reliable analysis in the region of 0.061 to 25 Hz (Bendat & Piersol, 2000).
The analysis of random and bias errors, for the number of data used, showed that a sufficient number of averaging is 100 for one signal and 138 for two signals, which achieves a minimum reliable frequency of 0.049 Hz (this is acceptable in this experiment because it is lower than the one that is obtained based on the length of the signal (Bendat & Piersol, 2000). Bearing in mind that the phases of the calculated spectra do not allow the analysis of the energy carried by the signal, it was considered expedient to observe only the magnitudes of the calculated spectra, which are partially shown in Figs. 8, 9 and 10.

Рис. 8 – Амплитудный спектр подрессоренной массы: продольное (B), поперечное (C) и вертикальное ускорение (D)
Слика 8 – Магнитуда спектра ослоњене масе: подужно (B), бочно (C) и вертикално убрзање (D)

Рис. 9 – Амплитудный спектр передней неподрессоренной массы: боковое ускорение (B), крен (C) и тангаж (D)
Слика 9 – Магнитуда спектра предње неослоњене масе: бочно убрзање (B), угаона брзина ваљања (C) и угаона брзина галопирања (D)

Рис. 10 – Амплитудный спектр задней неподрессоренной массы: вертикальное ускорение (B), крен (C) и тангаж (D)
Слика 10 – Магнитуда спектра задње неослоњене масе: вертикално убрзање (B), угаона брзина ваљања (C) и угаона брзина галопирања (D)
After all data analysis previously mentioned and given in (Bendat & Piersol, 2000; Demić et al, 2001; Vukadinović, 1973; O`Connor & Kleyner, 2012), more amplitude analyses were carried out for all registered values. More precisely, the probability of occurrence of the observed quantity was calculated by levels (Probability density-histogram, %), with the use of a specially developed program in Pascal, Statistdem. The calculated values are, for the sake of illustration, partially shown in Figs. 11-17.

Рис. 11 – Плотность распределения продольных ускорений подрессоренной массы транспортного средства
Слика 11 – Густина расподеле подужних убрзања ослоњене масе возила

Рис. 12 – Плотность распределения боковых ускорений подрессоренной массы транспортного средства
Слика 12 – Густина расподеле бочних убрзања ослоњене масе возила

Рис. 13 – Плотность распределения подрессоренной массы транспортного средства по углу крена
Слика 13 – Густина расподеле угла ваљања ослоњене масе возила

Рис. 14 – Плотность распределения вертикальных ускорений передней неподрессоренной массы транспортного средства
Слика 14 – Густина расподеле вертикалних убрзања предње неослоњене масе возила

Рис. 15 – Плотность распределения угловых скоростей рыскания передней неподрессоренной массы транспортного средства
Слика 15 – Густина расподеле угаоне брзине вијугања предње неослоњене масе возила

Рис. 16 – Плотность распределения боковых ускорений задней неподрессоренной массы транспортного средства
Слика 16 – Густина расподеле бочних убрзања задње неослоњене масе возила

Рис. 17 – Плотность распределения угловых скоростей рыскания задней неподрессоренной массы транспортного средства
Слика 17 – Густина расподеле угаоне брзине вијугања задње неослоњене масе возила
Based on Tables 1-3, it is obvious that there are differences in the levels of the registered values for both unsprung and sprung masses, which indicates the necessity of performing more detailed analyses.
Analyzing all the calculated values of the autocorrelation functions, partially for the sake of illustration, shown in Figs. 5-7, it was determined that they decrease with increasing time delay, or slightly oscillate around the zero value (the exception is the case of velocity). Bearing in mind (Bendat & Piersol, 2000), it can be concluded that all the values, except the vehicle velocity, can be considered as stationary and the theory of stationary random processes can be used for their identification.
The analysis of all calculated spectrum modules, partially shown in Figs. 8-10, showed that the largest amplitudes are not unique: they depend on the measuring place (sprung and unsprung mass), as well as on the registered value.
In the spectrograms, there are usually three areas where extreme values are expressed, approximately in 1-2, 9-11 and 17-24 Hz. Based on (Simić, 1980), it can be argued that the resonances in the 1-2 Hz range originate from the sprung mass, 9-11 from the drive group, and in the range of 17-24 Hz from the unsprung masses. This statement is important for programming the test of the observed vehicle in laboratory conditions. It should be noted that, in practice, the vehicle suspension system is usually designed according to the resonance of the vertical vibrations of the sprung and unsprung masses of the vehicle (Mitschke, 1972), which will not be discussed here.
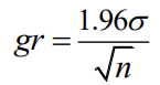
It is usual to start the initial statistical analysis by applying the so-called Null hypotheses (Vukadinović, 1973; O`Connor & Kleyner, 2012). In this particular case, the normality of the distribution of the mean value of the measured quantities was tested, in relation to the basic set (with an infinite number of members), with a significance level of 5%.
Namely, for the adopted significance level of 0.05, the value gr was calculated according to the expression (Vukadinović, 1973; O`Connor & Kleyner, 2012):
(1)where
σ - standard deviation, and
n - number of samples in the set.
The hypothesis is confirmed if the absolute value of the mean value of the registered quantity is smaller than the size gr (Vukadinović, 1973; O`Connor & Kleyner, 2012).
More precisely, using the Statisdem program, an analysis of the correctness of the adopted Null hypothesis (in the specific case for the mean value of 0) was performed for all measured quantities (Tables 4, 5 and 6).

Таблица 4 – Тест на нормальность - масса, зависящая от нулевой гипотезы- подрессоренная масса: уровень значимости 0,05
Табела 4 – Тест нормалности ‒ нулта хипотеза ‒ ослоњена маса: ниво значајности 0,05

Таблица 5 – Тест на нормальность - Нулевая гипотеза - Передняя неподрессоренная масса: уровень значимости 0,05
Табела 5 – Тест нормалности ‒ нулта хипотеза ‒ предња неослоњена маса: ниво значајности 0,05

Таблица 6 – Тест на нормальность - Нулевая гипотеза - Задняя неподрессоренная масса: уровень значимости 0,05
Табела 6 – Тест нормалности ‒ нулта хипотеза ‒ задња неослоњена маса: ниво значајности 0,05
By analyzing the data from Tables 4, 5 and 6, it can be concluded that the Null hypothesis was not satisfied in any case, for the significance level of 0.05 (Vukadinović, 1973). Therefore, alternative hypotheses must be used, which will be discussed later.
In statistics, there is often a task to define intervals that satisfy the probability of 0.95 (the significance level of 0.05). The calculations were performed using the Statisdem program, and the values are shown in Tables 7, 8 and 9.

Таблица 7 – Предельные значения измеренных величин подрессоренной массы по уровню значимости 0,05
Табела 7 – Граничне вредности измерених величина ослоњене масе за ниво значајности 0,05

Таблица 8 – Предельные значения измеренных величин передней неподрессоренной массы по уровню значимости 0,05
Табела 8 – Граничне вредности измерених величина предње неослоњене масе за ниво значајности 0,05

Таблица 9 – Предельные значения измеренных величин задней подрессоренной массы по уровню значимости 0,05
Табела 9 – Граниче вредности измерених величина задње неослоњене масе за ниво значајности 0,05
The data from Tables 7, 8 and 9 can be useful when defining the test conditions of an observed test vehicle in laboratory conditions.
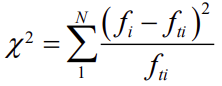
A very important step in amplitude identification is hypothesis testing. There are several tests for that purpose, but the so-called The Romanovsky test was used as a simple test and as a superstructure for the test. X2 which will be briefly explained. The X2 test (Vukadinović, 1973) is defined as:
(2)where
fi - frequency of the i-th class,
fti - theoretical frequency of the i-th class, and
N - number of classes.
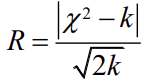
In (Vukadinović, 1973), a simple Romanovski criterion is given, which is defined by the expression:
(3)where
(4)In expression (4):
– N - number of additions in (1) and
– l - the number of unknown parameters in the assumed probability distribution.
The hypothesis is accepted if R<3, and rejected if R>3.
Bearing in mind that the mean values of the registered values are not always positive, it was considered expedient to perform hypothesis tests with Gaussian and Laplace distributions (Vukadinović, 1973; O`Connor & Kleyner, 2012). Previously, based on experimental and theoretical distribution functions, using the method of minimizing the square of the difference, the parameters of the Laplace distribution were identified (this procedure is based on the application of the Hooke-Jeves method and is covered in detail in (Demić, 1997), so it will not be discussed further). Using Statistdem software, the values for R were calculated and given in Tables 10, 11 and 12.

Таблица 10 – Значения критерия Романовского для подрессоренной массы
Табела 10 – Вредности критеријума Романовског за ослоњену масу

Таблица 11 – Значения критерия Романовского для передней неподрессоренной массы
Табела 11 – Вредности критеријума Романовског за предњу неослоњену масу

Таблица 12 – Значения критерия Романовского для задней неподрессоренной массы
Табела 12 – Вредности критеријума Романовског за задњу неослоњену масу
By analyzing the data from Tables 10-12, it can be determined that not a single registered value is subject to the Gaussian and two-parameter Laplace distribution. Moreover, in most cases, there is a better match with the Laplace distribution. Bearing this in mind, it was considered expedient to perform an additional check using the Kolmogorov-Smirnov test (Vukadinović, 1973; O`Connor & Kleyner, 2012), the idea of which will be briefly explained.
First, the difference between theoretical and experimental cumulative probability is formed, and its maximum absolute value is calculated, i.e:
(5)where
Pt and Pe – theoretical and experimental cumulative distributions, respectively, and
x – the variable whose probability is being analyzed.
The criterion for testing the hypothesis is given by the expression:
(6)where
λ – evaluation parameter,
k – index, and
Q – probability function.
The procedure consists of calculating the size 𝐷𝑛√𝑛 and then for the adopted significance level, e.g. α=0.05, it is calculated by the desired probability, i.e.:
(7)Based on expression (7), from the series of the values calculated for Q as a function of λ (calculated using Statistdem software, and there are also Tables in (Vukadinovic, 1973; O`Connor & Kleyner, 2012), the quantity corresponding to the probability of 0.95 is determined, i.e. λ0.95. In this specific case, for the probability of 0.95 (the significance level of 0.05), λ0.95=1.363. Now comparing the sizes 𝐷𝑛√𝑛 with λ0.95. If 𝐷𝑛√𝑛 is bigger than 1.363, then the hypothesis is rejected.
For further analysis, a value was calculated for all registered sizes 𝐷𝑛√𝑛 and shown in Tables 13, 14 and 15.
Bearing in mind the data from Tables 13, 14 and 15, as well as the Kolmogorov-Smirnov criterion, it can be claimed that not a single registered quantity is subject to the Gaussian and Laplace distribution (as well as in the case of applying the Romanovsky criterion). It was considered expedient to show some of the approximate results in Figs. 18- 23 for the sake of illustration.

Таблица 13 – Значения макс. по тесту Колмогорова-Смирнова для подрессоренной массы
Табела 13 – Вредности макс. за Колмогоров-Смирнов тест за ослоњену масу

Таблица 14 – maкс. значения по тесту Колмогорова-Смирнова для передней неподрессоренной массы
Табела 14 – Вредности макс. Error! Bookmark not defined.за Колмогоров-Смирнов тест за предњу неослоњену масу

Таблица 15 – макс. по тесту Колмогорова-Смирнова для задней неподрессоренной массы
Табела 15 – макс. за Колмогоров-Смирнов тест за задњу неослоњену масу

Рис. 18 – Гауссова аппроксимация боковых ускорений подрессоренной массы (B-эксперимент, C-теория)
Слика 18 – Гаусова апроксимација бочних убрзања ослоњене масе (B ‒експеримент, C ‒ теорија)

Рис. 19 – Аппроксимация Лапласа поперечных ускорений подрессоренной массы (B-эксперимент, C-теория)
Слика 19 – Лапласова апроксимација бочних убрзања ослоњене масе (B ‒експеримент, C ‒теорија)

Рис. 20 – Гауссова аппроксимация угловой скорости качения передней неподрессоренной массы (B-эксперимент, C-теория)
Слика 20 – Гаусова апроксимација угаоне брзине ваљања предње неослоњене масе (B ‒ експеримент, C ‒теорија)

Рис. 21 – Аппроксимация Лапласа угловой скорости качения передней неподрессоренной массы (B-эксперимент, C-теория)
Слика 21 – Лапласова апроксимација угаоне брзине ваљања предње неослоњене масе (B ‒ eксперимент, C ‒ теорија)

Рис. 22 – Гауссова аппроксимация вертикальных ускорений передней неподрессоренной массы (B-эксперимент, C-теория)
Слика 22 – Гаусова апроксимација вертикалних убрзања предње неослоњене масе (B ‒ експеримент, C ‒ теорија)

Рис. 23 – Аппроксимация Лапласа вертикальных ускорений передней неподрессоренной массы (B-эксперимент, C-теория)
Слика 23 – Лапласова апроксимација вертикалних убрзања предње неослоњене масе (B ‒ eксперимент, C ‒ теорија)
Based on the data from Tables 13-15, as well as on illustrative Figures 18-23, it can be considered useful to accept the position that the obtained results can be approximated by the Laplace distribution, in the initial stages of designing laboratory research of heavy motor vehicles.
We note that the Gaussian distribution is defined by two parameters: the mean value and the standard deviation given in Tables 1-3. In this paper, the two-parameter Laplace distribution was used, the parameters of which were identified by the optimization method and given in Tables 16 and 17.

Таблица 16 – Параметры распределения Лапласа для подрессоренной массы: x1/x2
Табела 16 – Параметри Лапласове расподеле за ослоњену масу: x1/x2

Таблица 17– Параметры распределения Лапласа для неподрессоренных масс: x1/x2
Tабела 17 – Параметри Лапласове расподеле за неослоњене масе: x1/x2
The values from Tables 16 and 17 make it possible to generate the Laplace distribution during laboratory tests.
Based on the results of the performed analyses (the time identification parameters - mean values and autocorrelation function, the amplitude identification parameters - probability density, and the frequency identification parameters - spectra) it is possible to program research in laboratory conditions - on shakers. At the same time, depending on the available types of pulsators, the size that will be reproduced should be selected. Most often, these are vertical oscillations, but it can be some other oscillatory movements (it should be noted that pulsators which can simultaneously generate six excitations are rare).
In order to understand the possibility of creating conditions for testing oscillatory loads of sprung and unsprung masses of heavy vehicles in laboratory conditions, tests were carried out on the FAP 1118 vehicle with 4x4 drive, where the oscillatory parameters were measured in the operating conditions of the vehicle. The measurements for this research and the analysis of the change in vehicle velocity, longitudinal, lateral and vertical acceleration of the front and rear unsprung masses as well as in the roll, pitch and yaw of the front and rear unsprung masses of the vehicle showed that the observed measured values belong to the group of random processes which were identified using time, amplitude and frequency parameter identification. Mean values, autocorrelation functions, amplitude spectra and probability density and mean probability were calculated in the time domain. Frequency analysis was performed using Analsigdem software, observing the magnitude of the calculated spectra of longitudinal, lateral and vertical accelerations and roll, pitch and yaw. Amplitude analysis, i.e. the probability of occurrence of the observed quantity by levels, was performed for all registered quantities.
After the performed analyses, it was determined that there are differences in the levels of the registered sizes for both unsprung and sprung masses. By analyzing all the calculated values of autocorrelation functions, it was determined that they decrease with increasing time delay, or slightly oscillate around the zero value (the exception is the case of velocity), so it can be concluded (Bendat & Piersol, 2000) that all variables, except the vehicle velocity, can be considered stationary and for their identification the theory of stationary random processes can be used. The analyses of all calculated spectrum modules have shown that the highest amplitudes are not unique, but depend on the measurement location (sprung or unsprung mass), as well as on the registered size. In spectrograms, there are usually three areas where extreme values are expressed; therefore, based on (Simić, 1980), it can be claimed that the resonances in the area of 1-2 Hz originate from the sprung mass, the resonances in the area of 9-11 originate from the drive group, and those in the area of 17-24 Hz originate from the unsprung masses. The statistical analysis of the data began with the analysis of the correctness of the adopted Null hypothesis, after which the intervals that meet the probability of 0.95 (the significance level of 0.05) were defined. After this, the hypothesis was tested using the Romanovski test which represents the superstructure for the test X2 . The analysis of the obtained data found that not a single registered quantity is subject to the Gaussian and two-parameter Laplace distribution, and in most cases, the agreement with the Laplace distribution is better. With an additional check using the Komogorov-Smirnov test, one can accept the position that the obtained results can be approximated by the Laplace distribution, in the initial stages of designing laboratory research of heavy motor vehicles. The values of longitudinal, lateral and vertical acceleration, roll, pitch and vehicle velocity were obtained as the parameters of the Laplace transformation for sprung and unsprung vehicle masses.
Depending on the available types of pulsators in laboratories, but also on the necessary analyses of oscillatory load parameters of sprung and unsprung vehicle masses, it is necessary to choose an adequate size that will be reproduced. Most often, these are vertical oscillations, but it can also be some other oscillatory movement. Values of vertical oscillations are most commonly used since they can be reproduced relatively easily on pulsators with a single excitation. Such laboratory tests in most cases give high-quality results of oscillatory loads of supported and unsupported masses of freight vehicles and are used most often.
For more complex research and experiments, data were obtained for longitudinal and lateral accelerations as well as for angular speeds of rolling and galloping of the supported and unsupported mass of a vehicle. However, the use of all the mentioned quantities in laboratory conditions can be realized by using special pulsators which can generate six excitation types. Such pulsators are rare and are used for complex tests in laboratories.
FIELD: mechanical engineering
ARTICLE TYPE: original scientific paper
https://scindeks.ceon.rs/article.aspx?artid=0042-84692303647D (html)
https://aseestant.ceon.rs/index.php/vtg/article/view/43221 (pdf)
https://doaj.org/article/8df977cca96440cf858850247ddf3133 (pdf)
https://elibrary.ru/item.asp?id=53973014 (pdf)
http://www.vtg.mod.gov.rs/archive/2023/military-technical-courier-3-2023.pdf (pdf)
aleksandar_djrc@yahoo.com

Рис. 1 – Схема точек измерения на ФАП 1118 при испытаниях
Слика 1 – Шема мерних тачака на возилу ФАП 1118 током испитивања

Рис. 2 – Изменение скорости автомобиля во время движения
Слика 2 – Промена брзине возила током вожње

Рис. 3 – Продольное, поперечное и вертикальное ускорение передней неподрессоренной массы
Слика 3 – Подужно, бочно и вертикално убрзање предње неослоњене масе возила

Рис. 4 – Скорость крена, тангажа и рыскания задней неподрессоренной массы транспортного средства
Слика 4 – Угаоне брзине ваљања, галопирања и вијугања задње неослоњене масе возила

Таблица 1 – Характерные значения зарегистрированных размеров подрессоренной массы транспортного средства
Табела 1 – Карактеристичне вредности регистрованих величина ослоњене масе возила

Таблица 2 – Характерные значения зарегистрированных значений передней неподрессоренной массы транспортного средства
Табела 2 – Карактеристичне вредности регистрованих величина предње неослоњене масе возила

Таблица 3 – Характерные значения зарегистрированных размеров задней неподрессоренной массы транспортного средства
Табела 3 – Карактеристичне вредности регистрованих величина задње неослоњене масе возила

Рис. 5 – Автокорреляционная функция скорости (B), вертикального ускорения (C) и угла крена (D) подрессоренной массы
Слика 5 – Аутокорелациона функција брзине (B), вертикалног убрзања (C) и угла ваљања (D) ослоњене масе

Рис. 6 – Автокорреляционная функция бокового ускорения (B), угловой скорости крена (C) и тангажа (D) передней неподрессоренной массы
Слика 6 – Аутокорелациона функција бочног убрзања (B), угаоне брзине ваљања (C) и угаоне брзине галопирања (D) предње неослоњене масе

Рис. 7 – Автокорреляционная функция продольного ускорения (B), поперечного ускорения (C) и шага (D) задней неподрессоренной массы
Слика 7 – Аутокорелациона функција бочног убрзања (B), угаоне брзине ваљања (C) и угаоне брзине галопирања (D) предње неослоњене масе

Рис. 8 – Амплитудный спектр подрессоренной массы: продольное (B), поперечное (C) и вертикальное ускорение (D)
Слика 8 – Магнитуда спектра ослоњене масе: подужно (B), бочно (C) и вертикално убрзање (D)

Рис. 9 – Амплитудный спектр передней неподрессоренной массы: боковое ускорение (B), крен (C) и тангаж (D)
Слика 9 – Магнитуда спектра предње неослоњене масе: бочно убрзање (B), угаона брзина ваљања (C) и угаона брзина галопирања (D)

Рис. 10 – Амплитудный спектр задней неподрессоренной массы: вертикальное ускорение (B), крен (C) и тангаж (D)
Слика 10 – Магнитуда спектра задње неослоњене масе: вертикално убрзање (B), угаона брзина ваљања (C) и угаона брзина галопирања (D)

Рис. 11 – Плотность распределения продольных ускорений подрессоренной массы транспортного средства
Слика 11 – Густина расподеле подужних убрзања ослоњене масе возила

Рис. 12 – Плотность распределения боковых ускорений подрессоренной массы транспортного средства
Слика 12 – Густина расподеле бочних убрзања ослоњене масе возила

Рис. 13 – Плотность распределения подрессоренной массы транспортного средства по углу крена
Слика 13 – Густина расподеле угла ваљања ослоњене масе возила

Рис. 14 – Плотность распределения вертикальных ускорений передней неподрессоренной массы транспортного средства
Слика 14 – Густина расподеле вертикалних убрзања предње неослоњене масе возила

Рис. 15 – Плотность распределения угловых скоростей рыскания передней неподрессоренной массы транспортного средства
Слика 15 – Густина расподеле угаоне брзине вијугања предње неослоњене масе возила

Рис. 16 – Плотность распределения боковых ускорений задней неподрессоренной массы транспортного средства
Слика 16 – Густина расподеле бочних убрзања задње неослоњене масе возила

Рис. 17 – Плотность распределения угловых скоростей рыскания задней неподрессоренной массы транспортного средства
Слика 17 – Густина расподеле угаоне брзине вијугања задње неослоњене масе возила

Таблица 4 – Тест на нормальность - масса, зависящая от нулевой гипотезы- подрессоренная масса: уровень значимости 0,05
Табела 4 – Тест нормалности ‒ нулта хипотеза ‒ ослоњена маса: ниво значајности 0,05

Таблица 5 – Тест на нормальность - Нулевая гипотеза - Передняя неподрессоренная масса: уровень значимости 0,05
Табела 5 – Тест нормалности ‒ нулта хипотеза ‒ предња неослоњена маса: ниво значајности 0,05

Таблица 6 – Тест на нормальность - Нулевая гипотеза - Задняя неподрессоренная масса: уровень значимости 0,05
Табела 6 – Тест нормалности ‒ нулта хипотеза ‒ задња неослоњена маса: ниво значајности 0,05

Таблица 7 – Предельные значения измеренных величин подрессоренной массы по уровню значимости 0,05
Табела 7 – Граничне вредности измерених величина ослоњене масе за ниво значајности 0,05

Таблица 8 – Предельные значения измеренных величин передней неподрессоренной массы по уровню значимости 0,05
Табела 8 – Граничне вредности измерених величина предње неослоњене масе за ниво значајности 0,05

Таблица 9 – Предельные значения измеренных величин задней подрессоренной массы по уровню значимости 0,05
Табела 9 – Граниче вредности измерених величина задње неослоњене масе за ниво значајности 0,05

Таблица 10 – Значения критерия Романовского для подрессоренной массы
Табела 10 – Вредности критеријума Романовског за ослоњену масу

Таблица 11 – Значения критерия Романовского для передней неподрессоренной массы
Табела 11 – Вредности критеријума Романовског за предњу неослоњену масу

Таблица 12 – Значения критерия Романовского для задней неподрессоренной массы
Табела 12 – Вредности критеријума Романовског за задњу неослоњену масу

Таблица 13 – Значения макс. по тесту Колмогорова-Смирнова для подрессоренной массы
Табела 13 – Вредности макс. за Колмогоров-Смирнов тест за ослоњену масу

Таблица 14 – maкс. значения по тесту Колмогорова-Смирнова для передней неподрессоренной массы
Табела 14 – Вредности макс. Error! Bookmark not defined.за Колмогоров-Смирнов тест за предњу неослоњену масу

Таблица 15 – макс. по тесту Колмогорова-Смирнова для задней неподрессоренной массы
Табела 15 – макс. за Колмогоров-Смирнов тест за задњу неослоњену масу

Рис. 18 – Гауссова аппроксимация боковых ускорений подрессоренной массы (B-эксперимент, C-теория)
Слика 18 – Гаусова апроксимација бочних убрзања ослоњене масе (B ‒експеримент, C ‒ теорија)

Рис. 19 – Аппроксимация Лапласа поперечных ускорений подрессоренной массы (B-эксперимент, C-теория)
Слика 19 – Лапласова апроксимација бочних убрзања ослоњене масе (B ‒експеримент, C ‒теорија)

Рис. 20 – Гауссова аппроксимация угловой скорости качения передней неподрессоренной массы (B-эксперимент, C-теория)
Слика 20 – Гаусова апроксимација угаоне брзине ваљања предње неослоњене масе (B ‒ експеримент, C ‒теорија)

Рис. 21 – Аппроксимация Лапласа угловой скорости качения передней неподрессоренной массы (B-эксперимент, C-теория)
Слика 21 – Лапласова апроксимација угаоне брзине ваљања предње неослоњене масе (B ‒ eксперимент, C ‒ теорија)

Рис. 22 – Гауссова аппроксимация вертикальных ускорений передней неподрессоренной массы (B-эксперимент, C-теория)
Слика 22 – Гаусова апроксимација вертикалних убрзања предње неослоњене масе (B ‒ експеримент, C ‒ теорија)

Рис. 23 – Аппроксимация Лапласа вертикальных ускорений передней неподрессоренной массы (B-эксперимент, C-теория)
Слика 23 – Лапласова апроксимација вертикалних убрзања предње неослоњене масе (B ‒ eксперимент, C ‒ теорија)

Таблица 16 – Параметры распределения Лапласа для подрессоренной массы: x1/x2
Табела 16 – Параметри Лапласове расподеле за ослоњену масу: x1/x2

Таблица 17– Параметры распределения Лапласа для неподрессоренных масс: x1/x2
Tабела 17 – Параметри Лапласове расподеле за неослоњене масе: x1/x2