Abstract:
Introduction/purpose: The theory of direct firing of armored units deals with the calculation of the probability of hitting the target depending on the number of projectiles fired, in certain combat circumstances as well as under certain meteorological conditions. Successful performance of the combat task of armored units in defensive actions against stationary targets depends to the greatest extent on the effectiveness of fire of tank weapons. Under the tactical assumptions that define real combat conditions, i.e., that the attacking formation opens fire from small arms and anti-tank weapons, that the defense is organized in a timely manner on maneuvering ground and in optimal meteorological conditions, and that the tank squad opens fire while stationary, the scientific goal of the research is to determine the probability of hitting and destroying the target as closely as possible depending on the method of determining the distance to the target and the number of projectiles fired. Methods: Mainly applying the method of situation modeling in scientific research, the authors try to determine, as precisely as possible, the percentage of the probability of hitting (destroying) a stationary target, with the first, second, or third projectile. Results: The main scientific contribution of the research would be the determination of various quantitative indicators as significant parameters necessary for a successful design of defense operations of ground army units. Conclusion: By creating an appropriate model for a specific situation in order to solve a problem (combat task), it is possible to precisely determine the probability of hitting and the probability of destroying the target in relation to the number of projectiles fired, as well as the expected consumption of ammunition.
Keywords: firing theory, tank, tank squad, modeling.
Pезюме:
Введение/цель: Теория стрельбы прямой наводкой танковых подразделений основана на расчете вероятности поражения цели, которая зависит от количества выпущенных снарядов в определенных боевых, а также метеорологических условиях. Успешное выполнение боевой задачи танковыми подразделениями при выполнении боевых действий против неподвижной цели в наибольшей степени зависит от эффективности огня танкового вооружения. Исходя из тактической гипотезы, определяющей реальные боевые условия, которая предполагает, что атакующее подразделение открывает огонь из стрелкового оружия и противотанкового вооружения, при этом оборона хорошо и своевременно организована на маневренной местности и в оптимальных метеорологических условиях, а также что танковое подразделение достигает эффективности огня с места, научная цель данного исследования состоит в определении наиболее точной вероятности поражения и уничтожения цели, в зависимости от метода определения расстояния до цели и количества выпущенных снарядов. Методы: Преимущественно применяя метод ситуационного моделирования в научном исследовании, авторы стараются как можно точнее определить процент вероятности поражения (уничтожения) неподвижной цели первым, вторым или третьим снарядом. Результаты: Основным научным вкладом данного исследования является определение различных количественных показателей и значимых параметров, необходимых для успешного планирования оборонительных операций, совершаемых подразделениями сухопутных войск. Выводы: Благодаря созданию соответствующей модели для конкретной ситуации с целью решения проблемы (боевой задачи), можно с точностью определить вероятность поражения и уничтожения цели в зависимости от количества выпущенных снарядов, а также сделать точный прогноз расхода боеприпасов.
Ключевые слова: теория стрельбы, танк, танковые войска, моделирование.
Abstract:
Увод/циљ: Теорија непосредног гађања оклопних јединица бави се израчунавањем вероватноће поготка циља, у зависности од броја испаљених пројектила, у одређеним борбеним околностима, као и под одређеним метеоролошким условима. Успешност извршења борбеног задатка оклопних јединица у извођењу одбрамбеног дејства на непокретни циљ у највећој мери зависи од ефикасности ватреног дејства тенковског оруђа. Тактичком претпоставком дефинисани су реални борбени услови ‒ да нападачка формација наступа отварајући ватру из стрељачког и противоклопног наоружања, да је одбрана организована правовремено, на маневарском земљишту и у оптималним метеоролошким условима, као и да тенковско одељење остварује ватрено дејство са места. Циљ истраживања јесте да се што приближније одреди вероватноћа погодка и уништења циља, у зависности од начина одређивања даљине до циља и броја испаљених пројектила. Методе: Тежишном применом методе ситуационог моделовања у научном истраживању, настојано је да се што прецизније одреди проценат вероватноће поготка (уништења) непокретног циља ‒ првим, другим, односно трећим пројектилом. Резултати: Главни научни допринос истраживања представља одређивање различитих квантитативних показатеља као значајних параметара неопходних ради успешног пројектовања одбрамбених операција јединица копнене војске. Закључак: Креирањем одговарајућег модела за одређену ситуацију, ради решавања проблема (борбеног задатка), могуће је прецизно одредити вероватноћу погађања и уништења циља у односу на број испаљених пројектила, као и очекивани утрошак муниције.
Keywords: теорија гађања, тенк, тенковско одељење, моделовање.
Original scientific papers
Application of the modeling method to the calculation of the probability of hitting a stationary target during the fire action of a tank squad in defense
Применение метода моделирования при расчете вероятности огневого поражения неподвижной цели танковым подразделением в обороне
Примена методе моделовања на израчунавање вероватноће поготка непокретног циља приликом ватреног дејства тенковског одељења у одбрани

Received: 24 December 2022
Revised document received: 12 June 2023
Accepted: 14 June 2023
An attack is a decisive type of combat operations and the most frequently applied type of combat operations of tank units; however, tank units can be used very successfully in defensive operations. Tank units are the basic maneuver formations of the Serbian Armed Forces, which are primarily characterized by armor, maneuver, and firepower. When carrying out defensive operations, armored units most often use direct fire.
Direct fire is achieved by directly aiming at the target and it is a basic way of firing from a firearm characterized by laid trajectories. In principle, it is carried out at distances of one to two cleared ranges while the observation of the target and the hits - correction and assessment of shooting efficiency - is performed from the firing position. During direct fire, there is an increased risk that the weapon opening it will be more easily discovered and exposed to enemy fire (Kokelj & Ranđelović, 2018).
The most significant advantages of direct compared to indirect fire are: simpler, faster, and more accurate determination of firing elements; faster and more accurate aiming of the weapon at the target and opening fire; simpler, faster, and more accurate execution of correction; high hit probability within the limits of the cleared range, as well as greater speed, efficiency and economy of task execution.
One of the most important elements in the process of developing firepower of armored units was the modernization of sighting and observation equipment and fire control systems, which is a direct prerequisite for the successful exploitation of weapons. Also, due to the development of armored combat vehicles, well-trained personnel are necessary so that the technique can be used as correctly and efficiently as possible, and this was best proven in the Arab-Israeli war when Israel won victories over much more powerful Arab countries.
The method of modeling is a research procedure that generates a sign system, a model, that can replace a real phenomenon and by which we can, experimentally or by simulation, investigate and transfer the obtained data from the model to the real phenomenon (Bešić, 2019). Considering all the above mantioned, the method of modeling is very applicable in various scientific fields (Nikolic & Kostic-Stankovic, 2022; Stojković et al, 2022; Janković, 2004; Varecha & Majchút, 2019; Drakulić et al, 2023; Projović et al, 2014), as well as in firing theory and warfare in general. The basic characteristic of the modeling method is the close unity of theory and scientific practice.
The modeled situation of the M-84 tank conflict against artillery weapon was carried out under the following assumptions (Janković, & Nikolić, 2009):
- Tank is well protected and camouflaged in a squad defense area;
- Tank and artillery weapon have observation and aiming devices which are used for observation and fire control;
- Tank and artillery weapon can hit the enemy with probabilities as a function of distance. Average weapon preparation times, projectile flight speeds to the target, and ammunition combat kit sizes are not taken into account;
- Conflict begins when the tank crew spots the enemy using their observation-aiming device;
- Artillery gun return fire is not considered until the end of the conflict; and
- Conflict ends when the third projectile is fired by the tank crew.
An M-84 tank squad occupies the defense area designated by the platoon commander. The commander of the tank squad opens fire, with the fire control system turned on, from the artillery weapon observed at landmark number 1 (distance 1800 meters), left 0-30, further 100 meters (Fig. 1). Ammunition produced in the Republic of Serbia (high explosive shell -TFP M86) is fired by the decision of the tank commander based on the characteristics of the target.
The dimensions of the target, which is provided by the model (artillery weapon), are: width: 1.8m and height: 1.75m.
The following parameters are necessary to be determined: initial elements for firing, the probability of hitting and destroying the target with three projectiles (given the well-camouflaged firing position, the enemy is not expected to detect the tank before the third projectile is fired), and the mathematical expectation of ammunition consumption.
The already known data:
- average number of hits to destroy the target 𝜔 = 1.1 (Kokelj & Ranđelović, 2016);
- target shape coefficient k f =0.81( √𝑘𝑓= 0.9) (Kokelj & Ranđelović, 2016);
- radius of the explosion cloud r=10m (Medija centar „Odbrana“, 2017).

Рис. 1 – Эскиз моделируемой ситуации
Слика 1 – Скица моделоване ситуације
Firing while not on the move is the most effective way of firing. It enables the highest speed of firing and the probability of hitting the target because all actions of preparation and execution of shooting are done on the spot. The weakness of this firing method is that only fire is used from the combat characteristics of the armored fighting vehicle. Firing from a stationary tank is mainly used in: defense, ambush, repelling counterattacks, and when shooting at long distances, but firing from a halt is possible and very applicable when performing offensive actions.
The firing theory considers this shooting as basic:
- because the distance and direction to the target do not change, and
- the data obtained when considering this firing mode is used to explain the other firing modes.
Firing preparation
It aims to obtain the maximum probability of hitting the target with the first projectile. The firing preparation includes:
- preliminary preparation and
- immediate preparation.
Preliminary preparation is done before the combat and includes:
- preparation of weapons and aiming devices,
- ammunition preparation,
- determination of ballistic and meteorological conditions,
- terrain study, selection of landmarks and determination of the distance to individual lines, points and local facilities, and
- preparation of the crew.
Immediate preparation includes:
- the choice and arrangement of the firing position,
- observation of the battlefield and detection of targets,
- determining the distance, direction and speed of the target,
- target display,
- choice of target, weapon, projectile and igniter,
- choice of the firing mode,
- determining the direction and speed of own combat vehicle movement,
- determination and adjustments due to the deviation of firing conditions from the firing tables conditions,
- determination of the initial elements, and
- issuing the fire command.
Even with the most careful fire preparation, random errors occur. These errors are subject to the normal law of errors and are characterized by certain mean probable errors affecting the flight of the projectile in height, distance and direction.
Firing preparation errors include:
- errors of technical preparation,
- errors in determining the distance to the target,
- rounding errors,
- meteorological preparation errors,
- ballistic preparation errors, and
- errors due to tank leaning.
Errors of technical preparation (Etp) - primarily include errors in checking and adjusting aiming devices and weapons, as well as tolerance errors in the manufacture of aiming devices (NS) and the application of scales. Technical preparation errors affect the distance error Extp, direction Eztp, and height Eytp.

Таблица 1 – Ошибки технической подготовки (Savić, 1996, p.103)
Табела 1 – Грешке техничке припреме (Savić, 1996. p.103)
Errors in determining the distance to the target (Ed)
Determining the distance to the target must be done quickly and as accurately as possible. Errors in determining the distance are subject to the normal law of errors and are characterized by the mean probable error Ed, which depends on the means and the method of determining the distance to the target, and whose values are determined empirically and experimentally.

Таблица 2 – Ошибки определения дистанции до цели (Savić, 1996, p.103)
Табела 2 – Грешке у одређивању даљине до циља (Savić, 1996, p.103)
Rounding errors (Exzkr)
The rounding of elements is subject to the law of equal probability whose parameters are: 2𝑙 =Δx milliradians, and since E=0.39, it follows that

Errors of meteorological preparation (Exm,Ezm)
The size of the meteorological preparation errors is affected by the direction of crosswind and by the distance of longitudinal wind, barometric air pressure and air temperature, so the mean probable errors are:
- along the direction: Ezm =0.6 milliradians, and
- by distance: Exm =0.6%.
Ballistic preparation errors (Exb,Ezb)
The magnitude of the ballistic preparation error is affected by the derivation in direction and by distance: the initial velocity V0, the temperature of the powder charge, and the weight of the projectile for one weight mark.
The mean probable errors are:
- by direction: Ezb =0.25 milliradians, and
- by distance: Exb =0.7%.
Tank leaning errors (Eznt)
In terms of height and distance, the errors are negligible, and in terms of direction, they amount to:
Eznt =0.2 milliradians.
Summarized mean errors in target preparation
Errors by distance:
(1)Errors by direction:
(2)If we calculate the values of the total error by distance Exp and by direction Ezp, for different distances and different degrees of distance determination accuracy, we will get the following values:

Таблица 3 – Суммарные ошибки по расстоянию (Savić, 1996, p.105)
Табела 3 – Сумарне грешке по даљини (Savić, 1996, p.105)
Ezp - the size of the mean probable error by direction and firing preparation is always 0.74 milliradians and is calculated in meters.
(3)Analyzing the table, we can conclude that the size of errors in preparation, and the preparation and accuracy of long-range shooting, depends mainly on the accuracy of determining the distance to the target and the accuracy of technical preparation, to a lesser extent on rounding errors, while the errors caused by meteorological and ballistic preparation are almost negligible.
a) the distance to the target was measured with a laser rangefinder
The initial elements:
- Starting distance: 1880m (determined with a laser rangefinder),
- Sight mark: the tip of the main arrow, and
- Aiming point: the center of the target.
The data from the firing tables for the 125mm HE M86 round (Medija centar „Odbrana“, 2017, p.56):

Таблица 4 – Данные из таблицы стрельбы для 125-мм орудия
Табела 4 – Подаци из таблице гађања за топ 125 мм
First projectile
Preparation error by direction:

Remote preparation error:

Total errors for the 1st firing:
- by direction:
(4)- by distance:
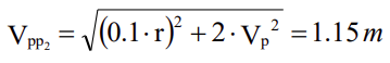
(5)Hit probability with the 1st projectile:
(6)2m=1.8m m=0.9m
(7)

For the second and the third projectile, the distance is only checked again with the laser rangefinder, which implies that the hit probabilities are approximately the same as for the first projectile.
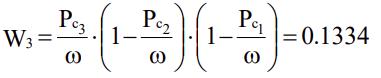
Precise probability of destroying the target with:
- 1st projectile:
(8)- 2nd projectile:
(9)- 3rd projectile:
(10)Full target destruction probability:
(11)

Mathematical expectation of ammunition consumption (Tomović, 1998):
(12)
(13)

b) fire control system on - cannot enter range to the target manually, a faulty laser rangefinder. The distance to the target determined by eye, during daylight from a combat vehicle.
The initial elements:
- Starting distance :1900m,
- Sight mark: the 3rd lower auxiliary dash (table angle 0-14), and
- Aiming point: top of the target.
The data from the firing tables for the 125mm HE M86 round (Medija centar „Odbrana“, 2017, p.56):

Таблица 5 – Данные из таблицы стрельбы для 125-мм орудия
Табела 5 – Подаци из таблице гађања за топ 125 мм
(14)First projectile
Preparation errors by direction:

Preparation errors by distance:
(15)Total errors for the 1st firing:
- by direction:
(16)- by distance:
(17)Hit probability with the 1st projectile:
(18)Second projectile
(19)
(20)Total errors for the 2nd firing:
- by direction:
(21)- by distance:
(22)Hit probability for the 2nd projectile:
(23)

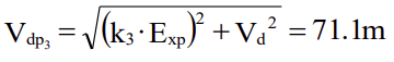
Third projectile
Total errors for the 3rd firing:
- by direction:
(24)- by distance:
(25)Hit probability with the 3rd projectile:
(26)Target destruction probability as mentioned in equations (8-11):

Mathematical expectation of ammunition consumption:
(27)
(28)

It should be taken into account that the target hit and destruction probability is calculated for a direct hit of the projectile on the target. With each hit of a projectile within a diameter of 14 meters from the target (surface of strong impact – 80 percent of the manpower destroyed), it is considered destroyed (Medija centar „Odbrana“, 2017).

Таблица 6 – Сравнительный анализ стрельбы по неподвижной цели
Табела 6 – Упоредна анализа гађања са места непокретног циља
A comparative analysis of the obtained results leads to the conclusion that the probability of destroying the target with three projectiles is 2.7 times higher when using a laser rangefinder to obtain the distance to the target. The probability of destruction of the target when determining the distance to the target by eye, during daylight from a combat vehicle and due to the impossibility of entering the distance manually into the computer, is 19.42%.
The probability of destroying the target is small because the error of preparation for distance shooting (Exp) is much higher when the laser rangefinder is defective and, in this case, it is 209.31 meters, while when determining the distance with a laser rangefinder it is 5 meters.
The biggest impact on the distance firing preparation error (Exp) is the error in determining the distance to the target (Ed) and the rounding error (Exzkr) due to the absence of a target mark for the given firing distance, so the marksman is forced to take approximate values.
The importance of a correct laser rangefinder is also reflected in the consumption of ammunition, which is directly related to the probability of destroying the target (Janković & Nikolić, 2009).
The low values of the probability of destruction of the target, shown in Table 6, are explained, in addition to the reasons mentioned in the analysis of the results, by the small dimensions of the target, which at a given distance is considered a target of small dimensions.
By applying the method of modeling to calculate the probability of hitting a stationary target, during the fire action of a tank squad in defense, we can provide relatively precise numerical indicators expressed by a certain mathematical probability. In the paper, by applying exact mathematical calculations, the probabilities of hitting (destroying) the target are obtained, depending on the number of fired projectiles, while their comparative analysis provides an additional quality of scientific research.
The scientific paper specifically points to some possibilities of applying the method of modeling, which is inherent in the research of social phenomena, in a specific case applied to the firing theory as one of the scientific sub-disciplines of the art of war.
This way of modeling combat operations of armored, as well as other ground units to which tanks have been added, is a research procedure by which a sign system, a model, is generated in order to replace a real phenomenon and by means of which we can experimentally or by simulation research and transfer the obtained data from the model to a real combat situation, i.e., solve a specific combat task. The method provides the possibility of a better prediction of the development of the operation and, therefore, the possibility of a better assessment, which is the basis of quality planning of combat operations of tank units.
We can consider it a special benefit that a similar model, almost in its original form, can be applied to other real problems and situations that arise when designing combat operations of armored units.
The assumptions of the above-discussed model and calculations are limited by the initial assumption and represent the basis for expanding the research in the direction of determining the possibility of survival of the tank crew on the battlefield in more complex conditions than those described in this paper.
FIELD: firing theory, probability theory, military science
ARTICLE TYPE: original scientific paper
https://scindeks.ceon.rs/article.aspx?artid=0042-84692303722O (html)
https://aseestant.ceon.rs/index.php/vtg/article/view/44670 (pdf)
https://doaj.org/article/e7b592e234904a7abda8ed2171ca2068 (pdf)
https://www.elibrary.ru/item.asp?id=53973017 (pdf)
http://www.vtg.mod.gov.rs/archive/2023/military-technical-courier-3-2023.pdf (pdf)
bane.nnv@gmail.com

Рис. 1 – Эскиз моделируемой ситуации
Слика 1 – Скица моделоване ситуације

Таблица 1 – Ошибки технической подготовки (Savić, 1996, p.103)
Табела 1 – Грешке техничке припреме (Savić, 1996. p.103)

Таблица 2 – Ошибки определения дистанции до цели (Savić, 1996, p.103)
Табела 2 – Грешке у одређивању даљине до циља (Savić, 1996, p.103)

Таблица 3 – Суммарные ошибки по расстоянию (Savić, 1996, p.105)
Табела 3 – Сумарне грешке по даљини (Savić, 1996, p.105)

Таблица 4 – Данные из таблицы стрельбы для 125-мм орудия
Табела 4 – Подаци из таблице гађања за топ 125 мм

Таблица 5 – Данные из таблицы стрельбы для 125-мм орудия
Табела 5 – Подаци из таблице гађања за топ 125 мм

Таблица 6 – Сравнительный анализ стрельбы по неподвижной цели
Табела 6 – Упоредна анализа гађања са места непокретног циља