Articles
Business performance during the COVID-19 crisis: a major contribution of entrepreneurial resilience
Wydajność biznesowa w czasie kryzysu związanegoz COVID-19. Wkład w przedsiębiorczą rezyliencję
Business performance during the COVID-19 crisis: a major contribution of entrepreneurial resilience
Studia z Polityki Publicznej, vol. 9, núm. 2, pp. 63-82, 2022
Szkoła Główna Handlowa w Warszawie

Financiamiento
Fuente: Community Service and Scientific Publication Center Unit (LPPM)
Beneficiario: Puteri Andika Sari, Wiendy Puspita, Sari Dito Rinaldo
Nº de contrato: 045. D/EKUITAS/ A-3/I/2021
Abstract: COVID-19 affected the entire world, culminating in a devastating worldwide disaster. The crisis had a major impact on Indonesia, both in terms of health and economic concerns. As economic support in Indonesia, micro, small and medium-sized enterprises (MSMEs) are also impacted. This study was carried out in the West Java Province, including respondents among MSME actors. The aim of this study was to see how entrepreneurial resilience and self-efficacy affected company performance during the COVID-19 crisis. To assess the connection between variables, this research technique uses a quantitative methodology. The partial least squares path modeling (PLS-SEM) is used to validate the model’s hypothesis, which is based on its association in a literature study done by numerous prior researchers. The findings of this study show that, as compared to entrepreneurial self-efficacy, entrepreneurial resilience has a substantial impact on MSME company performance during the COVID-19 pandemic. Based on the evaluation of the results of the research on the resilience of MSME owners, it must be supported by external variables such as government policies.
Keywords: COVID-19 crisis, entrepreneurial resilience, entrepreneurial self-efficacy, small business performance, West Java MSMEs.
Streszczenie: Pandemia COVID-19 w sposób katastrofalny wpłynęła na cały świat. Kryzys dotknął również Indonezję, jeśli chodzi zarówno o stan zdrowia ludności, jak i kwestie gospodarcze. Oddziaływał także na wsparcie gospodarcze dla mikroprzedsiębiorstw oraz małych i średnich przedsiębiorstw (MMSP). Przedstawione badanie zostało przeprowadzone w prowincji Jawa Zachodnia z udziałem respondentów z MMSP. Celem było sprawdzenie, w jaki sposób przedsiębiorcza rezyliencja i poczucie własnej sprawczości wpłynęły na wyniki firm podczas kryzysu związanego z COVID-19. Do oceny związku między zmiennymi wykorzystano metodologię ilościową. Częściowe modelowanie metodą najmniejszych kwadratów (PLS-SEM) posłużyło do walidacji hipotezy modelu, który opiera się na studiach literaturowych przeprowadzonych wcześniej przez wielu innych badaczy. Wyniki tego badania pokazują, że w porównaniu z przedsiębiorczą samowystarczalnością przedsiębiorcza rezyliencja ma znaczący wpływ na wyniki MMSP podczas pandemii COVID-19. Na tej podstawie należy stwierdzić, że niezbędne jest wspieranie zmiennych zewnętrznych, takich jak polityka rządu.
Słowa kluczowe: kryzys COVID-19, przedsiębiorcza odporność, przedsiębiorcza samowystarczalność, wydajność małych firm, MMSP w Jawie Zachodniej.
COVID-19 was declared a worldwide pandemic by the World Health Organization (WHO) in 2020. As a result, all human activities are affected. Not only does this influence have a negative impact on health, but also it has a knock-on effect on economic difficulties (Adam & Alarifi, 2021: 1). This economic issue also has an impact on business players, both large and small, in this instance micro, small, and medium-sized firms (Tanaya & Ekyawan, 2020: 2). At the start of the 2020 quarter, Indonesia’s economic growth slowed by up to 4.7% – 4.8% (Purnamasari et al., 2020: 151).
However, with situations quite different from the monetary crisis compared to the COVID-19 pandemic, where the end of the pandemic is still unknown, it may have an influence on company failure. Because not all micro, small and medium-sized enterprises (MSMEs) industries are afflicted by the COVID-19 pandemic. The ramifications of the COVID-19 pandemic problem are a mix of market demand and market supply crises. Consumer demand fell primarily in MSMEs in the processing industry (goods and services) that depended on traditional business procedures, i.e., did not use digital technology (offline). Their market share has been “lost” as a result of the Indonesian government’s policy requiring individuals not to generate crowds (physical distancing) and to stay at home (Tambunan, 2020: 96).
The same thing happened to MSMEs in the West Java Province. According to the West Java Provincial Government’s official website, the information about MSMEs affected by COVID-19 is that 47% of MSMEs stopped operating; those that survived experienced an average income decrease of up to 30% and 50% of MSMEs laid off their employees, reducing their workforce by up to 30% (Jabar Prov, 2022).
This study aims to uncover the business performance of MSMEs in Indonesia, particularly in the West Java Province, as impacted by the resilience and self-efficacy of MSME entrepreneurship amid the COVID-19 crisis. This study attempts to relate the entrepreneurial resilience variable to company success in the COVID-19 situation, whereas other studies concentrate on other crisis circumstances such as the economy (Pal et al., 2014; Sabatino, 2016) or natural disasters (Linnenluecke & McKnight, 2017; Martinelli et al., 2018; Monllor & Murphy, 2017).
Because entrepreneurs and business are intertwined, the chaotic situations during the COVID-19 pandemic will have an impact on their mental health. During the crisis, people’s quality of life and stress levels deteriorated (Stephan et al., 2020: 9). As a result, entrepreneurial skills alone are insufficient to manage a firm amid the current situation. In other words, it deprives entrepreneurs of their self-efficacy. Hernández-Sánchez et al. (2020: 2–3) discovered that psychological variables (optimism and proactiveness) might enhance the mental health and well-being of Latin American students planning to become entrepreneurs. Several publications from Indonesian writers expand on the notion of entrepreneurial self-efficacy for students who plan to establish a business during the COVID-19 period (Hapuk et al., 2020; Mauludiana et al., 2020; Widianingrum, 2020).
This study seeks a wider sample, not just of students, but also of MSME actors fighting to keep their businesses running in the midst of the COVID-19 crisis connected to their business performance. Some prior research has shown that entrepreneurial self-efficacy factors are more connected to the desire to establish a business; few studies credit it to their business performance rather than the COVID-19 issue.
Literature review
Entrepreneurial resilience and business performance
Entrepreneurs are more sensitive to disruption during a crisis and they are also impacted by surges and the onerous impact of many linked limitations, notably those connected to human and financial resources (Pal et al., 2014: 410). As a result, people, organizations, and communities must be resilient in order to tackle health issues and resist the new economic and social impacts that are taking place (Castro & Gómez Zermeño, 2020: 4). Resilience will be critical in overcoming the COVID-19 pandemic catastrophe that has swept the globe (Sawalha, 2020: 8).
Resilience is a necessary trait for any entrepreneur. Entrepreneurs’ resilience is their capacity to adapt to change (Salisu et al., 2020: 1). Resilience is a quality that helps an entrepreneur to adjust even when confronted with obstacles and adversity. Individuals with resilience will be able to regulate their emotions and broaden their focus of attention. Resilience is also a developmental process in which entrepreneurs acquire skills, knowledge, and unclear future abilities while maintaining confidence, inventiveness, attitude, and optimism in their resource use (Hadi & Abdullah, 2018: 318).
During the crisis era, entrepreneurs must be able to react to dynamic internal and external conditions. According to Salisu et al. (2020: 296), resilience has an impact on the success of an entrepreneur’s career. The findings of Ayala and Manzano (2014) and Fisher et al. (2016) show that resilience can predict business success. In his research, Fatoki (2018: 9) also discovered that entrepreneurial resilience has a positive and substantial effect on the performance of small and medium-sized enterprise (SME) individuals and organizations in South Africa. Based on prior research, the first hypothesis may be stated as follows:
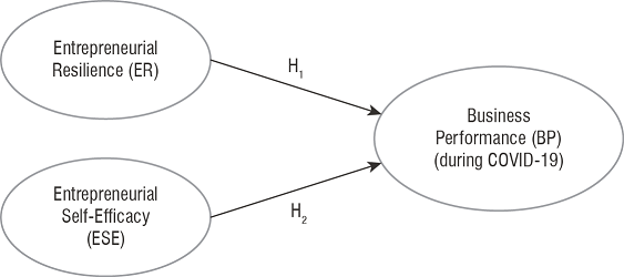
H1: Entrepreneurial resilience has a positive and significant impact on business performance
Entrepreneurial self-efficacy (ESE) and business performance
Understanding human motivation, emotions, and behaviors is based on social and cognitive processes, which are essential to the social cognitive theory, as proposed by Albert Bandura. According to this theory, human behavior is a component of a model that interacts to impact each other with environmental situation components and human person components such as affection/emotions and individual cognition (Abdullah, 2019: 85–86). In other words, the notion of this theory describes how a person’s perspective is influenced by their surroundings.
According to the social cognitive theory, self-efficacy is an individual’s judgment of their capacity to carry out some of the activities required to attain a goal. It is a person’s assessment of their capacity to convert into expected results or to appraise their ability to arrange and carry out specified tasks. According to the idea, the notion is the most significant of the cognitive elements that influence human function (Herath et al., 2013: 2).
The self-efficacy approach is well suited to the study of self-employment. Firstly, because the self-efficacy theory is a task-specific construct rather than a global disposition, it can assist solving the lack of specificity in entrepreneurial personalities. Secondly, entrepreneurial self-efficacy is more general than task self-efficacy as a conviction in one’s specific skill. As a result, it should be somewhat steady but not fixed, allowing entrepreneurs to acquire, change, and improve their success in constant interaction with their surroundings. The third point is that self-efficacy is the most closely related to action and action intentionality. Finally, in high-risk, uncertain settings, the link between self-efficacy and behavior is best defined as an entrepreneurial attribute (Chen & Greene, 1998: 300–301).
In general, self-efficacy is an important component of one’s behavioral goals and entrepreneurial outcomes (Shinnar et al., 2014: 2). Furthermore, self-efficacy has a significant impact on the business objectives, learning behavior, tenacity, and growth ambitions of persons who start or operate a firm (Chen & Greene, 1998: 310). Entrepreneurs with high levels of self-efficacy, on average, feel they are capable of taking risks in order to succeed, even in an increasingly competitive and unpredictable environment. Someone with strong cognitive abilities can make sense of unclear and dangerous situations (Kazumi & Kawai, 2017: 350). According to Piperopoulos and Dimov (2015: 3), someone with strong self-efficacy will attain high performance and vice versa.
Entrepreneurial self-efficacy is defined by some academics as an entrepreneur’s self-assurance in accomplishing a variety of entrepreneurial activities (Chen & Greene, 1998; Miao et al., 2017). Entrepreneurial self-efficacy is the strength of an individual’s confidence that he or she can fulfil successfully the tasks and obligations of an entrepreneur (Boyd & Vozikis, 1994: 73). Entrepreneurial self-efficacy (ESE) might have an impact on business choices for a variety of reasons:
2.Even while everyone perceives the same reality of uncertainty, danger, and difficulty, individuals with high ESE will feel more prepared to confront it than those with low ESE.
3.Persons with high ESE have different expectations than people with low ESE.
According to the Miao et al. (2017: 12) meta-analysis research, ESE has a favorable association with corporate performance. Other studies show that the stronger the entrepreneur’s self-efficacy, the better the firm will function and rebound in a constrained setting (Herath et al., 2013: 3). Then, the five-year research by McGee et al. (2009: 982–983) indicates that a company owner/manager with strong self-efficacy will lead their firm to good performance; this is most common in new enterprises (start-ups), but it will fade as their business ages. However, according to Hallak et al. (2011: 594), ESE is a major predictor of the performance of small and medium-sized companies in Australia’s tourist sector. As a result, we get the following conclusion for the second hypothesis:
H2: Entrepreneurial self-efficacy (ESE) has a positive and significant effect on business performance
Theoretical framework
The link between the independent and dependent variables investigated in this study is seen in Figure 1 (entrepreneurial resilience, entrepreneurial self-efficacy, and business performance). This model is being developed by testing assumptions based on the findings of past research, which are presented in the literature review section. This model investigates the direct link between the independent variable of entrepreneurial resilience and the examined MSME business performance (H1). The second direct connection test is between the independent variable of entrepreneurial self-efficacy and the MSME business performance (H2).

Methods
Data collection and sample
This study is limited to the owners of MSMEs in the West Java area. We offered an online questionnaire to collect data on the state of SMEs in relation to the three factors examined (entrepreneurial self-efficacy, entrepreneurial resilience, and business performance). We used Google Forms instead of email to distribute surveys, since MSME owners in Indonesia are typically less comfortable with email. Furthermore, the convenience of filling out the online questionnaire with Google Forms stems from the fact that business owners may do it straight from their smartphone. The Indonesian government establishes restrictions for observing physical distance during the COVID-19 pandemic and analyzes the cost and time efficiency aspects for a study; online distribution of surveys is the best option. This study divides respondents into samples based on Law Number 20 of 2008, which governs MSMEs (Ismail, 2014: 180). These categories include:
It takes around a month to distribute this online questionnaire. With the aid of data from the West Java Chamber of Commerce and Industry and several of our colleagues, we sent questionnaires to MSME owners. 145 of the 300 questionnaires distributed to the respondents were returned with complete responses. The total number of the questionnaires is sufficient for the sample size utilized in the partial least squares path modelling (PLS-SEM) analysis. According to Hair et al. (2019: 5), researchers can utilize PLS-SEM if they have a restricted number of samples. A majority of the respondents (66.2%) were women, their age varied from 20 to 30 years (53.8%), they had a bachelor’s degree (49%) and had been in business for more than three years (44.1%), and they were classified as microbusiness owners (73.1%).
Measurement
The measurement of each variable in this study is a variation of prior research tailored to the objectives of this investigation. The measuring instrument in the form of a questionnaire statement was delivered to the respondent immediately and then the validity and reliability test phase was performed to shorten the time required for data collection. The next section discusses the measurement of each variable (dependent and independent).
Dependent variable
In this study, the dependent variable is business performance. The measuring scale for this variable is based on the Hadi and Abdullah (2018: 319) research. The components of the company performance measuring scale are as follows: sales, profit, asset increase, and cash flow increase.
Some of these items were assessed in the questionnaire utilizing a 5-point Likert scale ranging from strongly agree, agree, neutral, disagree, and strongly disagree with the questionnaire statement supplied.
Independent variables
The first independent variable is entrepreneurial resilience. The assessment of this variable is based on a research question questionnaire developed by Renko et al. (2021: 14). The measurement scale of this variable uses a Likert scale. This variable is measured using the following statement components:
Entrepreneurial self-efficacy is the second independent variable. We chose to adapt the measurement scale of this variable to a study question questionnaire developed by Herath et al. (2013: 27–28), which is a Likert scale. This variable measures a variety of dimensions, including:
The path diagram of the research model depicts the link between exogenous and endogenous variables in this study (see Figure 2).
Results
The measurement model (outer model)
Measurement model testing is performed to check the validity of the model construct, specifically on the reflective and latent variables. Factor loadings, composite reliability (CR), average variance extracted (AVE), and discriminant validity were all evaluated. A majority of the loading factor numbers are more than 0.708, indicating that it is recommended and reliable (Hair et al., 2019: 15), except for the ESE 3 loading factor of 0.482, which is removed to enhance the reliability of the construct. While the AVE for each construct is more than 0.50, it is acceptable since the convergent construct may explain the variance of the items. The composite reliability value in Table 1 is greater than 0.70, ranging from 0.933 to 0.952, indicating that it has exceeded the requirements (Adam & Alarifi, 2021; Hair et al., 2019).

The discriminant validity value is shown in Table 2, where the diagonal value reflects the square root of the AVE latent variable, which represents the maximum value in each column.


The structural model is assessed as the following stage in analyzing the PLS-SEM results. At this point, the coefficient of determination (R2), Q2 (blindfolding-based cross-validated redundancy), and Goodness of Fit must be examined (GoF). These measurements are used to test the hypotheses of the latent variables of the structural model (Adam & Alarifi, 2021: 10).

R2 tests indicate how well the exogenous latent variable explains the variance of the endogenous variable; this value is classified as considerable (value=0.75), moderate (value=0.50), or weak (value=0.25) (Hair et al., 2019: 15), while Adam and Alarifi (2021: 12) employ Chin’s method to classify R2 as considerable (value=0.67), moderate (value=0.33), or weak (0.19). The R2 value of this study was tested and found to be 0.296, indicating that the endogenous business performance variable only achieves a weak to moderate value. We may infer that exogenous factors (entrepreneurial resilience and self-efficacy) can explain 29.6 percent of endogenous variables (business performance). The rest are impacted by other factors that were not investigated in this study.
In addition to predictive accuracy, the Q2 score reflects predictive significance outside of the sample. Values larger than zero for endogenous latent variables imply that the path model has excellent predictive relevance on the dependent construct (Hair et al., 2017: 131). In this investigation, the Q2 test resulted in a value of 0.238, which explains the predictive significance of the dependent construct.
The value of Goodness of Fit (GoF) by calculating the average construct outside the AVE, and the root of the average construct in R2 provide further information on assessing this structural model (Adam & Alarifi, 2021: 12). A GoF value of 0.36 falls under the category of adequate value (Wetzels et al., 2009: 187). The GoF value in this study is 0.895, indicating that the model has a perfect fit.
The structural model (inner model)
The inner model test is a hypothesis testing technique that employs the t-test (t statistic) (Ikhsania, 2015: 66). The outcomes of the hypothesis are shown in Table 3. The findings support H1, implying that entrepreneurial resilience has a significant and positive impact influence on business performance (Coeff-Path = 0.368; t statistic = 2.759; p-value = 0.006). Another finding confirmed that H2 is rejected and has no significant impact because the p-value is greater than 0.05. As a result, entrepreneurial self-efficacy has no statistically significant impact on business performance.

Discussion and evaluation of the findings
The positive influence of entrepreneurial resilience on business performance
This study revealed that entrepreneurial resilience has a positive and significant influence on the performance of micro, small and medium-sized enterprises (p-value 0.05). Furthermore, the findings of this study show that MSME owners, given the resilience they possess, can keep their businesses running throughout the COVID- 19 pandemic. In practice, MSME owners may discover innovative methods to deal with tough conditions, get control of what is happening, have the courage to pursue a positive path, and actively seek ways to make up for losses sustained during the COVID-19 pandemic. The findings of this study are further supported by the research of Hadi and Abdullah (2018: 327), which indicates that resilience, a feature of entrepreneurial skills, has been shown to lead to company success, similarly to what was disclosed by Salisu et al. (2020: 296).
The majority of the MSME owners have a bachelor’s degree (49%). It becomes the foundation of the attitude to endure amid hardship with sufficient education and information. This is supported by the findings of Sun et al. (2011: 194), who discovered that higher education credentials enhance company resilience. An entrepreneur’s educational background will assist him or her to be able to survive amid a crisis (Castro & Gómez Zermeño, 2020: 19).
The Indonesian government is trying to suppress the rate of the increase in its citizens infected with COVID-19 by implementing a large-scale and gradual social restriction policy at the regional scale (regional lockdown) (Roziqin et al., 2021: 95–96). Based on the respondent’s profile, most MSME owners between the ages of 20 and 30 are able to find strategies to keep their businesses running when COVID- 19 creates adjustments, for example, by digitizing traditional patterns of face-to-face trade with customers. Even though they do not yet have an official website, this young MSME owner uses social media, allowing the business to continue amid the COVID-19 pandemic. The respondents in this survey suggest that a majority of MSME owners are women, which is consistent with the findings of the study conducted by Sultan and Sultan (2020: 1073) that found women will utilize social media more than other promotional tactics to minimize sales shortages during a crisis.
Empirically, based on the item’s greatest loading factor (0.891), the MSME owners are certain that their firm would endure difficult conditions, as during the COVID- 19 crisis. For example, they may use technology to reach out to their customers. According to the research done by Bai et al. (2021: 1989) on micro and small business owners, digital transformation is required for long-term business success following the pandemic of COVID-19. Era 4.0 ushers in technological disruption, emphasizing the growth of digital transformation amid COVID-19, causing a revolution in digitalization in all aspects of human existence. While the lowest loading factor is in “the reaction control item to business problems faced during the COVID- 19 pandemic” (0.871), this is reasonable since unfavorable circumstances such as the COVID-19 pandemic vary from previous crises in that they cannot be anticipated when they would cease
The influence of entrepreneurial self-efficacy on business performance
In contrast to the entrepreneurial resilience construct, which has a substantial impact on business performance, the entrepreneurial self-efficacy construct has no effect (p-value > 0.05). Entrepreneurial self-efficacy has no significant direct influence on business performance. The findings of this study contradicted the prior research by Herath et al. (2013: 27–28). Renko et al. (2021: 19) experimentally demonstrate that in an unfavorable environment entrepreneurial resilience is more influential than ESE on the desire to start a firm in developing countries, but the opposite is true in developed countries.
As can be seen in Table 1, the largest loading factor value is in the “deal with unexpected challenges” dimension, implying that the MSME owners were able to overcome challenges they could not have anticipated previously. According to the evidence, 44.1% of the respondents can sustain their firm for at least three years. However, when the loading factor for the first stage of the third dimension (initiating investor connections; loading factor = 0.464) was calculated, it did not fulfil the minimal validity test criteria (0.70), therefore, this dimension was omitted (see Figure 2). In the second stage, which can be seen in Figure 3, bootstrapping is performed. The invalidity of the third dimension is conceivable since a majority of the respondents (73.1%) are classified as micro-businesses, which implies that micro-businesses continue to rely on money from the inner circle (family) of a given business. They also lack a well-organized and appropriate accounting system and financial report, making it difficult to attract investors. As shown in the research conducted by Susan (2020: 43–47), MSMEs in Indonesia continue to struggle with financial management and knowledge issues. Despite having the lowest loading factor in the ESE construct, the dimensions of “creating an inventive environment” and “creating critical human resources” are nonetheless valid as ESE reflectors.
Implications
Due to the dynamics of external forces that business owners cannot foresee, such as the COVID-19 pandemic crisis, business owners’ capacity to manage their firm alone is insufficient. Furthermore, this type of crisis has an effect on the mental health of business owners. In this study, we looked at the psychological aspects that affect company owners’ internal characteristics, such as entrepreneurial resilience and self-efficacy. The findings of this study are essential for managers/business owners, higher education institutions, and the other entities (external factors).
In terms of company owners’ resilience and self-efficacy in this moment of crisis, creativity and invention are required so that they can control and overcome their reactions to the business they are running. According to Thukral (202: 154), some MSMEs are innovative to continue operating under the constraints of COVID-19. As a result of this, institutions can play a role in supporting MSMEs. Although mostly the respondents in this survey had an undergraduate educational background, entrepreneurship education is especially required to operate their firm effectively. Entrepreneurial education also encourages and fosters resilience in entrepreneurs (Renko et al., 2021: 19). Especially in terms of establishing a financial and accounting system, which makes it difficult for businesses, particularly micro-businesses, to expand and investors to participate in them. Furthermore, Latifah et al. (2021: 1) discovered that innovation and accounting information systems are moderating variables that relate company strategy to improved business performance.
Moreover, based on empirical data from the study findings, external help is required, such as on the side of the government and other relevant supporting parties like chambers of commerce and training providers for MSME owners. The government, as the top policymaker in a country, can enact rules that will assist MSMEs in surviving the COVID-19 pandemic. According to the Rahmi and Yuzaria (2021: 6–7) research, government policies have a direct impact on SME internal variables (human resources, financial, production technology, market, and marketing). Other external variables, such as socio-cultural and associated institutions, have a direct impact on the performance of small enterprises.
The findings of this study, in addition to having practical consequences, also contribute to the development of knowledge. According to the findings of this study, entrepreneurial resilience has a significant influence on MSME company performance in the face of the COVID-19 pandemic. In other words, when changes occur, such as the COVID-19 pandemic, the capacity of the business owner to adapt is required in order to survive.
Limitation
Due to the COVID-19 crisis, in which all Indonesian residents must follow the laws of social limitations and the conditions that are rather challenging in the data collecting procedure, this research is hampered by the small number of respondents and the fact it was carried out in one region in Indonesia. Furthermore, because the ESE construct has no direct effect on MSMEs’ business performance, future researchers can utilize other testing techniques or other factors to refine the MSME resilience model when confronted with the COVID-19 pandemic crisis. Other variables, such as external support factors, might be incorporated as moderating variables to give a better model of entrepreneurial resilience.
***
We have done research on the business sector, namely on micro, small, and medium-sized enterprises in West Java, Indonesia. The present worldwide problem are health concerns and the country’s economy, and we all know how important MSMEs are in a developing country. As a result, our study focuses on how MSME business performance may survive the COVID-19 pandemic by putting entrepreneurial resilience and entrepreneurial self-efficacy to the test. According to the findings of the study, entrepreneurial resilience has a direct and significant positive impact on the business performance of MSMEs. Entrepreneurial self-efficacy, on the other hand, has no direct effect on it. More research is needed to improve this model by paying attention to the reasons that have already been addressed.
Acknowledgments
This article is part of the report on research results funded by the Research, Community Service and Scientific Publication Center Unit (LPPM) of Ekuitas Economics College (STIE Ekuitas) Bandung, with grant decision number: 045. D/EKUITAS/A-3/I/2021, as well one of the outputs of a grant from the Ministry of Education and Culture, Research and Technology, Higher Education Indonesia.
References
Abdullah, S. M. (2019). Social Cognitive Theory: A Bandura Thought Review published in 1982–2012. Psikodimensia, 18 (1), 85–100. DOI: 10.24167/psidim.v18i1.1708
Adam, N. A., & Alarifi, G. (2021). Innovation practices for survival of small and medium enterprises (SMEs) in the COVID-19 times: The Role of External Support. Journal of Innovation and Entrepreneurship, 6, 1–22.
Ayala, J. C., & Manzano, G. (2014). The resilience of the entrepreneur: Influence on the success of the business. A longitudinal analysis. Journal of Economic Psychology, 42, 126–135. DOI: 10.1016/j.joep.2014.02.004
Bai, C., Quayson, M., & Sarkis, J. (2021). COVID-19 pandemic digitization lessons for sustainable development of micro-and small-enterprises. Sustainable Production and Consumption, 27, 1989–2001. DOI: 10.1016/j.spc.2021.04.035
Boyd, N. G., & Vozikis, G. S. (1994). The Influence of Self-Efficacy on the Development of Entrepreneurial Intentions and Actions. Entrepreneurship Theory and Practice, 18 (4), 63–77. DOI: 10.1177/104225879401800404
Castro, M. P., & Gómez Zermeño, M. G. (2020). Being an entrepreneur post-COVID-19 – resilience in times of crisis: a systematic literature review. Journal of Entrepreneurship in Emerging Economies, 13 (4): 721–746. DOI: 10.1108/JEEE-07-2020–0246
Chen, C. C., & Greene, P. G. (1998). Does Entrepreneurial Self Efficacy Distinguish Entrepreneurship from Manager? Journal of Business Venturing, 13, 295–316.
Fatoki, O. (2018). The impact of entrepreneurial resilience on the success of small and medium enterprises in South Africa. Sustainability, 10 (7). DOI: 10.3390/su10072527
Fisher, R., Maritz, A., & Lobo, A. (2016). Does individual resilience influence entrepreneurial success. Academy of Entrepreneurship Journal, 22 (2), 39–53.
Hadi, N. U., 7 Abdullah, N. (2018). The leverage of entrepreneur skills and entrepreneur traits to business success: A case study of Pakistan’s marble industry. International Journal of Entrepreneurship and Small Business, 33 (3), 315–334. DOI: 10.1504/IJESB.2018.090216
Hair, J. F., Hult, G. T. M., Ringle, C. M., & Sarstedt, M. (2017). A Primer on Partial Least Squares Structural Equation Modeling (PLS-SEM). Thousand Oaks, LA: Sage Publishing.
Hair, J. F., Risher, J. J., Sarstedt, M., & Ringle, C. M. (2019). When to use and how to report the results of PLS-SEM. European Business Review, 31 (1), 2–24. DOI: 10.1108/EBR-11-2018–0203
Hallak, R., Lindsay, N. J., & Brown, G. (2011). Examining the role of entrepreneurial experience and entrepreneurial self-efficacy on SMTE performance. Tourism Analysis, 16 (5), 583–599. DOI: 10.3727/108354211X13202764960744
Hapuk, M. S. K., Suwatno, S., & Machmud, A. (2020). Efikasi diri dan motivasi: sebagai mediasi pengaruh pendidikan kewirausahaan terhadap minat berwirausaha. Jurnal Riset Pendidikan Ekonomi, 5 (2), 59–69. DOI: 10.21067/jrpe.v5i2.4577
Herath, H. M. A., & Mahmood, R. (2013). Dimensions of Entrepreneurial Self-Efficacy and Firm Performance. Global Journal of Management and Business Research, 13 (4), 23–30.
Hernández-Sánchez, B. R., Cardella, G. M., & Sánchez-García, J. C. (2020). Psychological factors that lessen the impact of covid-19 on the self-employment intention of business administration and economics’ students from Latin America. International Journal of Environmental Research and Public Health, 17 (15), 1–22. DOI: 10.3390/ijerph17155293
Ikhsania, Z. (2015). Pengaruh Implementasi Internal Marketing Terhadap Kinerja Melalui Kepuasan Tenaga Kependidikan Di Fakultas Ekonomi Dan Bisnis Universitas Brawijaya Malang. Jurnal Ilmiah Administrasi Publik, 1 (2), 59–69. DOI: 10.21776/ub.jiap.2015.001.02.9
Ismail, V. Y. (2014). The Comparison of Entrepreneurial Competency in Woman Micro-, Small-, and Medium-scale Entrepreneurs. Procedia – Social and Behavioral Sciences, 115 (Iicies 2013), 175–187. DOI: 10.1016/j.sbspro.2014.02.426
Jabar Prov (2022). Jabar Prov, https://jabarprov.go.id (accessed: 09.04.2022).
Kazumi, T., & Kawai, N. (2017). Institutional support and women’s entrepreneurial self-efficacy. Asia Pacific Journal of Innovation and Entrepreneurship, 11 (3), 345–365. DOI: 10.1108/apjie-12-2017-041
Latifah, L., Setiawan, D., Aryani, Y. A., & Rahmawati, R. (2021). Business strategy – MSMEs’ performance relationship: innovation and accounting information system as mediators. Journal of Small Business and Enterprise Development, 28 (1), 1–21. DOI: 10.1108/JSBED-04-2019-0116
Linnenluecke, M. K., & McKnight, B. (2017). Community resilience to natural disasters: the role of disaster entrepreneurship. Journal of Enterprising Communities, 11 (1), 166–185. DOI: 10.1108/JEC-01-2015-0005
Martinelli, E., Tagliazucchi, G., & Marchi, G. (2018). The resilient retail entrepreneur: dynamic capabilities for facing natural disasters. International Journal of Entrepreneurial Behaviour and Research, 24 (7), 1222–1243. DOI: 10.1108/IJEBR-11-2016-0386
Mauludiana, M. S., Supriatna, N., & Sojanah J. (2020). The Influence Of Entrepreneurship Knowledge And Self Efficacy Towards Entrepreneurial Intention Students Of Class Xi Ips Senior High School. Jurnal Masyarakat Mandiri, 4 (3): 7–8.
McGee, J. E., Peterson, M., Mueller, S. L., & Sequeira, J. M. (2009). Entrepreneurial self-efficacy: Refining the measure. Entrepreneurship: Theory and Practice, 33 (4), 965–988. DOI: 10.1111/j.1540-6520.2009.00304.x
Miao, C., Qian, S., & Ma, D. (2017). The Relationship between Entrepreneurial Self-Efficacy and Firm Performance: A Meta-Analysis of Main and Moderator Effects. Journal of Small Business Management, 55 (1), 87–107. DOI: 10.1111/jsbm.12240
Monllor, J., & Murphy, P. J. (2017). Natural disasters, entrepreneurship, and creation after destruction: A conceptual approach. International Journal of Entrepreneurial Behaviour and Research, 23 (4), 618–637. DOI: 10.1108/IJEBR-02-2016-0050
Pal, R., Torstensson, H., & Mattila, H. (2014). Antecedents of organizational resilience in economic crises – An empirical study of Swedish textile and clothing SMEs. International Journal of Production Economics, 147 (PART B), 410–428. DOI: 10.1016/j.ijpe.2013.02.031
Piperopoulos, P., & Dimov, D. (2015). Burst Bubbles or Build Steam? Entrepreneurship Education, Entrepreneurial Self-Efficacy, and Entrepreneurial Intentions. Journal of Small Business Management, 53 (4), 970–985. DOI: 10.1111/jsbm.12116
Purnamasari, D. I., Herianto, & Simanjuntak, O. S. (2020). Factors Affecting the Use of Online Applications for Business Process Reengineering (BPR) Acceleration in Micro, Small and Medium Enterprises (MSMEs) as a Consequence of Covid-19 Pandemic. Archives of Business Research, 8 (8), 151–158. DOI: 10.14738/abr.88.8832
Rahmi, E., & Yuzaria, D. (2021). The government support model on the development of SMEs in West Sumatera Province. Indonesia. IOP Conference Series: Earth and Environmental Science, 757 (1), 1–9. DOI: 10.1088/1755-1315/757/1/012005
Renko, M., Bullough, A., & Saeed, S. (2021). How do resilience and self-efficacy relate to entrepreneurial intentions in countries with varying degrees of fragility? A six-country study. International Small Business Journal: Researching Entrepreneurship, 39 (2), 130–156. DOI: 10.1177/0266242620960456
Roziqin, A., Mas’udi, S. Y. F., & Sihidi, I. T. (2021). An analysis of Indonesian government policies against COVID-19. Public Administration and Policy, 24 (1), 92–107. DOI: 10.1108/pap-08-2020-0039
Sabatino, M. (2016). Economic crisis and resilience: Resilient capacity and competitiveness of the enterprises. Journal of Business Research, 69 (5), 1924–1927. DOI: 10.1016/j.jbusres.2015.10.081
Salisu, I., Hashim, N., Mashi, M. S., & Aliyu, H. G. (2020). Perseverance of effort and consistency of interest for entrepreneurial career success: Does resilience matter? Journal of Entrepreneurship in Emerging Economies, 12 (2), 279–304. DOI: 10.1108/JEEE-02-2019–0025
Sawalha, I. H. (2020). A contemporary perspective on the disaster management cycle. Foresight, 22 (4), 469–482. DOI: 10.1108/FS-11-2019-0097
Shinnar, R. S., Hsu, D. K., & Powell, B. C. (2014). Self-efficacy, entrepreneurial intentions, and gender: Assessing the impact of entrepreneurship education longitudinally. International Journal of Management Education, 12 (3), 1–10. DOI: 10.1016/j.ijme.2014.09.005
Stephan, U., Zbierowski, P., & Hanard, P.-J. (2020). Entrepreneurship and Covid-19: Challenges and opportunities. King’s Business School Impact Paper, 2: 1–18, https://www.kcl.ac.uk/business/assets/PDF/research-papers/country-report-uk-entrepreneurship-and-covid-19-challenges-and-opportunities-an-assessment-of-the-short-and-long-term-consequences-for-uk-small-businesses.pdf (accessed: 09.04.2022)
Sultan, S., & Sultan, W. I. M. (2020). Women MSMEs in times of crisis: challenges and opportunities. Journal of Small Business and Enterprise Development, 27 (7), 1069–1083. DOI: 10.1108/JSBED-06-2020-0226
Sun, J., Buys, N., Wang, X., & McAuley, A. (2011). Using the concept of resilience to explain entrepreneurial success in China. International Journal of Management and Enterprise Development, 11 (2–4), 182–202. DOI: 10.1504/IJMED.2011.044637
Susan, M. (2020). Financial literacy and growth of micro, small, and medium enterprises in West Java, Indonesia. In W. A. Barnett, B. S. Sergi (Eds.), Advanced Issues in the Economics of Emerging Markets, International Symposia in Economic Theory and Econometrics (pp. 39–48). Bingley, UK: Emerald. DOI: 10.1108/S1571-038620200000027004
Tambunan, T. (2020). MSMEs in Times of Crisis: Evidence From Indonesia. Journal of Developing Economies, 5 (2), 89–102. DOI: 10.20473/jde.v5i2.20848
Tanaya, D. R., & Ekyawan, F. (2020). Empowerment Strategy on Micro, Small, and Medium Enterprises (MSMEs) during COVID-19 Pandemic in Indonesia: A Case Study of BRI Microfinance Center. E3S Web of Conferences ICENIS, 202, 1–15. DOI: 10.1051/e3sconf/202020203022
Thukral, E. (2021). COVID-19: Small and medium enterprises challenges and responses with creativity, innovation, and entrepreneurship. Strategic Change, 30 (2), 153–158. DOI: 10.1002/jsc.2399
Wetzels, M., Odekerken-Schröder, G., & Oppen, C. Van. (2009). Assessing Using PLS Path Modeling Hierarchical and Empirical Construct Models: Guidelines. MIS Quarterly, 33 (1), 177–195.
Widianingrum, E. (2020). Pengaruh Efikasi Diri Dan Lingkungan Keluarga Terhadap Minat Wirausaha Siswa Smk Di Masa Pandemi Covid-19. Point, 2 (2), 133–141. DOI: 10.46918/point.v2i2.726
Información adicional
Author Contributions: PAS was in charge of developing hypotheses, writing first drafts, analyzing data, evaluating research findings, identifying appropriate references, and reviewing the final article version. WPS was in charge of locating appropriate references and evaluating research findings. DR was in charge of evaluating research findings and assessing article analysis.
Conflict of Interest: This study was carried out in the absence of any business or financial links that may be interpreted as a possible conflict of interest. The authors declare that the research was conducted in the absence of any commercial or financial relationships that could be construed as a potential conflict of interest.
Ethics Statement: The consent of the ethics committee at our university and organization was not required for this study
Research Data Availability Statement: The original contributions presented in the study are included in the article. Further inquiries can be directed to the corresponding authors.