Artículos
Ahorro energético en vivienda social mediante la implementación de materiales regionales
Energy saving in social housing through the implementation of regional materials
Ahorro energético en vivienda social mediante la implementación de materiales regionales
Vivienda y Comunidades Sustentables, núm. 8, pp. 59-80, 2020
Universidad de Guadalajara
Recepción: 28 Enero 2020
Aprobación: 21 Abril 2020
Resumen: Los materiales con que habitualmente se construye la envolvente de la vivienda social en clima cálido subhúmedo, al ser evaluados por su conductividad térmica, son ineficientes, porque afectan la habitabilidad interior. Para revertir el estado de ineficiencia térmica de la vivienda se introdujo en la industria de la construcción el uso de materiales termoaislantes que se evalúan por su capacidad de resistir el flujo de calor (resistencia térmica); sin embargo, esta adecuación en la envolvente involucra aumentar la energía incorporada del sistema. El objetivo de esta investigación fue determinar la posibilidad del uso de materiales regionales para su potencial uso como aislante. Las configuraciones de materiales para cubierta fueron seleccionadas por su coeficiente de conductividad térmica y evaluadas por la capacidad de aislamiento según la NMX-C-460-ONNCCE que involucra el cálculo de la resistencia térmica (R). Se identificó de adecuado el desempeño del carrizo (Arundo Donax) y caña maíz (Zea Mays) para elaborar una cubierta para una región específica, que cumple con ahorro de energía al ser evaluada por la NMX-C460-ONNCCE. Se discute el análisis térmico de los materiales solo por su conductividad, ya que existen otras propiedades, como densidad y calor específico, que se relacionan de manera dinámica, independientemente de que no se consideren en la evaluación de la resistencia térmica. Se concluye que el análisis de las propiedades térmicas, previo al diseño, permite seleccionar materiales para configurar envolventes con respuesta térmica eficiente en la región.
Palabras clave: aislamiento, ahorro energético, materiales regionales.
Abstract: The materials with which the social housing envelope is usually constructed in sub humid warm climate are thermally inefficient because they lead heat to interior space which affects thermal habitability. To reverse the state of thermal inefficiency of the house was introduced in the construction industry the use of thermo-insulating materials that are evaluated for their ability to resist the heat flow (Thermal Resistance), however, this adequacy in the envelope involves an additional economic cost in a context of shortage. Therefore, the objective of this research was to determine the possibility of the use of materials from the region for potential use as an insulator. Selecting the configurations of roofing materials by their coefficient of thermal conductivity and evaluating by the insulation capacity according to the NMX-C460-ONNCCE involving the calculation of the Thermal Resistance (R); The performance of carrizo (Arundo Donax), corn cane (Mayz Zea) and the soil was evaluating to develop a roof for the region, according to the NMX-C460-onncce meets for energy savings. Thermal analysis of materials is discussed only for their conductivity as there are other properties such as density and specific heat, that are dynamically related, independently that are not considered in the evaluation of thermal resistance. It is concluded that the analysis of predesign thermal properties allows to select materials with adequate thermal response in the region to build efficient architectural envelopes.
Keywords: isolation, energy saving, regional materials.
Introducción
El uso eficiente de la energía en la vivienda ocupa un lugar primordial en la agenda internacional para lograr los objetivos de desarrollo sustentable, al considerar que el 40% del consumo mundial y un tercio /3 de los gases efecto invernadero (GEI) son responsabilidad de las edificaciones (DOE, 2012; CONUEE, 2018), por lo que México se ha comprometido a reducir en un 25% sus emisiones de GEI en el periodo 2020-2030 (CEPAL, 2018). Para ello se debe mejorar el modelo constructivo de vivienda, que ha ido incrementado su consumo energético cada año (SENER, 2015). Parte del problema es el deficiente desempeño térmico de la envolvente de vivienda y los materiales que la configuran, ya que no logran habitabilidad (INECC/PNUD, 2012) y sí gastos económicos por adecuaciones en busca de confort (SENER, 2015).
Uno de los materiales más significativos para elaborar cubiertas es el concreto (Bedoya, 2003), el cual posee un coeficiente de conductividad de 1.40 w/mK (ONNCCE, 2009), lo que lo describe como un material que no responde apropiadamente a los estímulos térmicos (ISO, 2001; ISO, 2000), sobre todo en climas cálidos, por lo que causa calentamiento del espacio interior (Castañeda y Vecchia, 2007), por ello es importante tener un conocimiento de las propiedades térmicas de los materiales.
En el mundo se han creado políticas dirigidas al sector constructivo para mejorar el comportamiento térmico de las edificaciones (UE, 2013; IPCC, 2014; PHI, 2009), mediante estrategias que involucran el aislamiento (CTE, 2013; Papadopoulos, 2007; Shnieders, 2003), con el fin de mejorar las condiciones del consumo de energía (BRE, 2009; Calkins, 2009; Marszal et al., 2011). En México se evalúa el aislamiento de la envolvente utilizando el valor de resistencia térmica (R) obtenido mediante el procedimiento que establece la NMX-C460-ONNCCE (2009).
Materiales termoaislantes
Los materiales aislantes sirven como barrera al paso del calor y se emplean en las envolventes arquitectónicas como una capa continua de baja conductividad. El uso de materiales aislantes se ha generalizado en el mundo (Zuo y Zhao, 2014; Asdrubali, 2009; Nyers et al., 2015; Schmidt, Jensen y Clausen, 2004), y se emplean como una estrategia para construir viviendas de bajo consumo de energía (Marszal et al., 2011). Normas internacionales como la ASTM-C518 o la ISO 6946-2007 son instrumentos de evaluación arquitectónica del desempeño energético que se basan en las conductividades térmicas de los materiales (ISO, 2017). Un material debe contar con una conductividad por debajo de 0.070 W/mK para ser considerado termoaislante (Cengel, Asshin y Ghanarr, 2015), aunque existen criterios normativos que establecen ese valor en 0.050 W/mK (CTE, 2013). En la tabla 1 se exponen los valores de conductividad térmica de diferentes materiales de construcción; también su densidad y calor específico, para identificar si es aislante o no por su valor de conductividad.

Pero el aislamiento no es algo nuevo, ya que desde los orígenes del hombre se usaban pieles, tierra en forma de lodo, arcilla, paja, trapos, fibras y madera para protegerse del ambiente exterior; los materiales regionales conformaban la cubierta para protegerse del clima. Cuando se observó la relación entre aislamiento, control de temperaturas, reducción en el consumo de combustible y ahorro de energía, se provocó la búsqueda de materiales con mejor eficiencia térmica y comenzó la necesidad de aislamiento térmico (Cengel, Asshin y Ghanarr, 2015). Hoy (2020) el uso de materiales termoaislantes se relaciona con la eficiencia energética en arquitectura, porque logra regular la temperatura interior, disminuir el consumo energético y las emisiones de CO2, con lo que coadyuva a la habitabilidad y la reducción de impactos ambientales (Calkins, 2009).
Estándares constructivos de vivienda, como Passivhaus® o Net Zero Energy Buildings (NZEB), consideradas buenas prácticas en eficiencia energética (Sartory et al., 2010; Torcellini et al. 2006), utilizan envolventes con varias capas de distintos materiales y diferente espesor y en la configuración de la envolvente se identifica una capa de aislamiento (Schnieders, 2003). En la tabla 2 se relacionan diversos materiales termoaislantes junto con sus coeficientes de conductividad, producción de CO2 y energía incorporada.

Según la tabla 2, cada material presenta valores de conductividad diferentes, así como una variación de impacto ambiental, por producción de CO2, reconociendo que los termoaislantes de origen natural tienen menor impacto, por emisión de CO2 y energía incorporada. Cada material aislante se comporta de manera diferente en función de los coeficientes de conductividad y de la posición en la multicapa, al exterior, intermedia o al interior (Barrios et al., 2011); aunque todos tienen en común su bajo valor de conductividad térmica, existen otras consideraciones para caracterizarlos (CTE, 2013; NOM, 2011), como:
Transmitancia térmica (U)
Factor de resistencia a la difusión del vapor agua (
)
Densidad (p)
Calor especifico (cp)
Resistencia térmica (R)
El sistema multicapa es evaluado por la transmitancia térmica (U) en W/m2K (CTE, 2013; PHI, 2009), y en México por R en m2K/W (NMX, 2009). El cálculo de U y de R requiere conocer el coeficiente de conductividad de los materiales (tabla 1) (ONNCCE, 2011).
La resistencia térmica determina cuánto un sistema constructivo delimita el flujo de calor por la suma de R de sus componentes asignando por región climática parámetros de cumplimiento, habitabilidad y ahorro energético (NMX, 2009).
Resulta de importancia determinar el espesor óptimo del aislamiento para su uso en la edificación (Schnieders, 2003), ya que, mientras más grueso sea el aislamiento, menor será la transferencia de calor, pero también mayor será el costo de ese aislamiento, por factor económico, por energía incorporada o por emisiones de CO2 provocadas en su elaboración (Cengel, Asshin y Ghanarr, 2015; Rockwool, 2016). Emplear una capa de material aislante convencional resulta una inversión inicial que no podría ser asumida en todas las viviendas de México por las condiciones de pobreza de la población (CONEVAL, 2017).
El reto de vivienda en México y los materiales regionales
La situación de aproximadamente la mitad de las viviendas en el país es de vulnerabilidad; en ellas, 64,000 personas habitan espacios sin las características mínimas de habitabilidad (CONEVAL, 2017). En total se registran nueve millones de acciones de vivienda como reto para enfrentar en los próximos años, para atender al 50.6% de población en situación de pobreza con vivienda informal (CONEVAL, 2017). En la región sur del país (Chiapas, Oaxaca y Guerrero) la mayoría de los grupos indígenas y poblaciones rurales habita en estado vulnerable, según informe del CONEVAL (2017).
Se reconoce que el problema para atender la vivienda vulnerable es multifactorial, pero tiene en el uso de recursos regionales un área de oportunidad para reducir la brecha de la pobreza y mejorar la habitabilidad térmica de las viviendas en México. Ya que los materiales regionales y de origen natural son reconocidos por su baja energía incorporada y asequibilidad (Chuchi, 2005, Manohar, 2012; Pinto, 2011)
Los materiales regionales se adaptan a las condiciones del medio y han sido ampliamente usados en vivienda vernácula para la construcción de muros y cubiertas. Tienen la característica de ser accesibles y poseer propiedades térmicas equivalentes a los materiales aislantes (Asdrubali et al., 2015). Los estudios en materiales regionales han permitido introducir alternativas de aislamiento que comenzaron por conocer los coeficientes de conductividad térmica (Webb, 2002; Kymalainen, 2008; Murphy y Norton, 2008; Wimmer, Hohensinner y Janisch, 2000; Pruteanu, 2010; Ye, 2006, Nicolajsen, 2005).
En esta investigación se analizó la conductividad térmica de diversos materiales de uso común en vivienda para la construcción de muros y cubiertas, incluyendo al carrizo (Arundo Donax) y rastrojos de maíz (Zea Mays), por ser fibras naturales de baja energía incorporada (Chuchi, 2005), con el objetivo de seleccionar aquellos que permitan configurar sistemas en capas homogéneas para lograr ahorro energético en la envolvente, mediante el uso de la resistencia térmica como indicador.
Marco teórico
El debate de la huella ecológica por actividades constructivas, para reducir el consumo de energía y lograr su uso eficiente, se plantea bajo estrategias de aislamiento para disminuir la transferencia térmica (Villegas, 2010; PHI, 2011; BRE, 200). La transferencia térmica es una ciencia que estudia la energía que pasa de un sistema a otro cuando existe diferencia de temperaturas, en función del tiempo y siguiendo las leyes de la termodinámica (Cengel, Asshin y Ghanarr, 2015), lo cual en arquitectura se relaciona con cómo las envolventes ganan o pierden energía según las características de los materiales portantes y su interacción con el medio, con la expectativa de reducir el flujo entre el espacio interior y el espacio exterior.
Un adecuado aislamiento logra ahorro energético y habitabilidad térmica, si se considera el valor de conductividad del material, y además por lograr eliminar puentes térmicos y evitar condensación superficial e intersticial (CTE, 2013). Definir el comportamiento térmico de la envolvente es multifactorial, por la geometría de la pieza, el espesor y las características microestructurales del componente, además de las propiedades térmicas. Propiedades térmicas en los materiales son la conductividad térmica, la densidad y el calor específico, los que, al combinarse, describen cómo un material absorbe, acumula y trasmite el calor (González, 1997). No obstante, en Arquitectura se ha generalizado la evaluación térmica de materiales utilizando solamente la conductividad para obtener R, desestimando el comportamiento dinámico (Barrios et al., 2011). Y las exigencias normativas internacionales han incrementado cada vez más el espesor del aislamiento, en busca de eficiencia energética (CTE, 2013). Pero se cuestiona que, al buscar altos valores de resistencia térmica, no se garantiza un adecuado desempeño térmico (Ruiz Torres et al., 2011), y que solo se considera la capacidad del material de conducir el calor, cuando el material tiene también la capacidad de almacenar parte del calor que después restituye al interior.
Por tanto, cada material presenta características particulares, lo cual provoca repercusiones diferenciadas en el control del flujo térmico (Pinto et al., 2011; Manohar, 2012; Khedari et al., 2004). Por este motivo, dos materiales con la misma resistencia térmica variarán su desempeño por la diferencia de valores de densidad y calor especifico (Huelzs et al., 2009 y 2010; González, 1997). Otra implicación de no incluir el calor específico y la densidad en el análisis de R es que no se puede estimar la inercia térmica, lo que implica que materiales elaborados a base de tierra cruda no se validen mediante el cálculo de R.
Otro aspecto es la ubicación del material aislante, que va en función de las necesidades del espacio, pero el cálculo de R no reconoce el orden de las capas que componen un sistema; es decir no importa dónde se ubique el material aislante, sea en el interior, sea en medio, sea en el exterior. En el caso de rehabilitación energética de vivienda es importante conocer el material que podría usarse y reconocer que la capa de aislamiento funciona mejor en el exterior (Barrios et al., 2011), aunque no siempre podrá ser usado de esa manera (Peruzzi et al., 2014; Alchapar, Correa y Cantón, 2013; Pinto et al., 2012; Barrios et al. 2011). Esto es importante al considerar el reto de acciones de vivienda en México por abandono (CONEVAL, 2017).
El método de cálculo de R se define de estado estático; es decir, es un procedimiento independiente del tiempo (ASTM, 2010; ISO, 1996; ISO, 2017; Asdrubali y Baldinelli, 2011; Baldinelli y Bianchi, 2014); ello contrasta con una realidad donde la envolvente interactúa con múltiples factores. En este sentido resulta un análisis parcial ya que no emplea la densidad o el calor específico para evaluar la transmisión del calor.
Huelsz et al. (2009; 2010) califican el cálculo de R, desarticulado de las variables dinámicas a que se exponen los materiales en la realidad, según lo analizado por Kuehn, Ramsey y Threllkeld (2001) y Barrios et al. (2011).
Aun así, el cálculo de la resistencia térmica en las envolventes es un acercamiento hacia el control del paso de calor, y resulta una herramienta útil de selección de materiales para configurar espacios con reducido intercambio térmico. El objetivo es lograr muros o cubiertas que resistan el flujo de calor utilizando materiales regionales con propiedades térmicas apropiadas y de baja energía incorporada.
Método
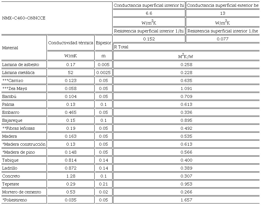
Se identificaron materiales de uso común en muros y techos para comparar conductividades. Se incluyó el valor de conductividad del carrizo (Arundo Donax) y de los rastrojos de maíz (Zea Mays), por ser recursos accesibles y de origen natural. Se obtuvo la resistencia térmica de cada uno. Se configuró cinco sistemas en capas homogéneas con diferentes materiales, empleando la losa de concreto en todos como elemento portante. Se comparó el comportamiento térmico en cubiertas, por R y relación de espesor, mediante un método analítico según la norma NMX-C460 ONNCCE, con la expectativa de lograr ahorro energético en el comportamiento de muros y cubiertas. Se determinó la región de Tuxtla Gutiérrez, México, clasificada de zona térmica 1 (ONNCCE, 2009), reconociendo índices para cumplimiento, habitabilidad y ahorro de energía, como se muestra en la tabla 3.
Cálculo analítico de R
Para determinar R de un sistema muro/techo compuesto de capas homogéneas se debe realizar la sumatoria de las resistencias parciales de cada capa al relacionar la conductividad térmica (λ) de cada material y el espesor por cada capa (L), además de considerar las resistencias superficiales exterior (rse) y la resistencia superficial interior (rsi), descritas como los coeficientes superficiales de transmisión del calor (hi, he). La expresión matemática (1) es el método para determinar el valor de resistencia térmica total de sistemas en capas homogéneas:
Cálculo de resistencia térmica bajo método simplificado de capas homogéneas
Para obtener la resistencia total se realiza la suma de las resistencias parciales (rse+R1+R2+Rn…+rse), considerando que la resistencia de la superficie exterior (rse = 1/he) he=13 W/m2K y la resistencia de la superficie interior (rsi=1/hi), el valor de hi para muro es de 8.1 W/ m2K, y para techo es de 6.6 W/m2K, según sea el caso. Después se identifica la conductividad térmica del material y el espesor en el “n” número de capas que conforman el sistema, para obtener la resistencia parcial de cada capa (Ln/. λn). El proceso utiliza un modelo físico unidimensional de carácter estacionario (ONNCCE, 2009).
La transmisión de calor depende de la cantidad de superficie en contacto con aire u otro fluido debido a la convección, radiación; por lo tanto, a mayor superficie expuesta existirá mayor intercambio de energía y, según posición, se pueden obtener diferentes valores de transmisión del calor (ONNCCE, 2009; ISO, 2017; CTE, 2013). Entre muros y cubiertas de vivienda, la superficie que cuenta con mayor exposición al calor es el techo, por consiguiente tiene mayor intercambio de energía; por esta razón, para la evaluación analítica se consideró el valor de h1 de 6.6 W/m2K. En las envolventes de vivienda, lograr valores R de ahorro de energía en la superficie horizontal acerca a la eficiencia energética.
Materiales
Primero se identificaron materiales de uso común en la construcción de muros y cubiertas en México (tabla 2). En la tabla 3 y 4 se relacionaron los materiales, clasificándolos en muros y techos, con el fin de determinar su resistencia térmica mediante el empleo de la fórmula (1). El espesor de cada material se determinó con relación a su uso generalizado en la construcción de manera cualitativa. Los valores de conductividad térmica se tomaron de trabajos previos de la ONNCCE (2009), Morillón, Saldaña y Tejeda (2004), Bojórquez, Milagrosa y Domínguez (2010), González (1997) y Guillén et al. (2018). Los coeficientes de conductancia superficial interior (hi) fueron 8.1 W/m2K para muros y 6.6 W/m2K para cubiertas, los cuales se toman de la NOM-018-ENER, al igual que la conductancia superficial exterior (he), considerada como una constante de 13 W/m2K en muros y cubiertas. Se empleó una hoja de cálculo de Microsoft® Excel® para Office 365 mso, donde se realizó el cálculo matemático.
Los resultados se compararon con los valores establecidos por la ONNCCE de cumplimiento, habitabilidad y ahorro energético, correspondientes a la ciudad de Tuxtla Gutiérrez, Chiapas, con zona climática 1 (ONNCCE, 2009). Después se modificó el espesor de los materiales de manera unificada para identificar el incremento de la resistencia térmica y contrastar con los parámetros de la norma. El análisis comparativo de los materiales se contrastó con un material aislante, como lo es el poliestireno. Para configurar envolventes que cumplan con el ahorro energético, se realizaron configuraciones de sistemas con diferentes materiales en capas homogéneas con diferentes espesores. Se consideró el uso de materiales naturales alternativos, Zea Mays y Arundo Donax por su el resultado de R., disponibilidad en la región y baja energía incorporada, la cual es incluso considerada de neutro (Chuchi, 2005). En la tabla 7 se observa que la energía incorporada en las fibras naturales se considera neutra. Se consideró la geometría del Arundo Donax, para incluir aire como parte del análisis de R de los sistemas.


Resultados
Se evaluó la resistencia térmica de los materiales de construcción más utilizados en muros y techos de vivienda para un clima cálido subhúmedo (tablas 5 y 6) utilizando como parámetro de comparación un material aislante, el poliestireno, que tiene bajo valor de conductividad (0.035 w/mK).
Como parámetro de cumplimiento se estableció el valor que establece la ONNCCE para la región con el mínimo de 1.0 W/m2K en muros, y cubiertas con un mínimo de 1.4 m2K/W (graficas 2 y 3). El espesor resultó muy importante, ya que, aunque existen materiales con coeficientes de conductividad que los clasifican de aislantes, es necesario determinar el espesor para lograr resistencia al flujo de calor (gráfica 4).




En el caso del poliestireno en muros, este tiene una R para ahorro energético; sin embargo, para cubiertas no cumple con el espesor propuesto de 0.05 m. Aunque un valor mayor del espesor incrementa la resistencia térmica, lleva implícita una mayor cantidad de material, lo que repercute en costo, peso y energía incorporada. Todos los materiales se evaluaron considerando el mínimo para muros (1.0 m2K/W) y techos (1.4 m2K/W), y ninguno cumple con la resistencia especificada (gráficas 2 y 3). En el caso de materiales como la tierra cruda, maderas y fibras, que tienen coeficientes de conductividad apropiados (por el espesor propuesto en el estudio), para mejorar su desempeño es necesario analizar el espesor óptimo para lograr ahorro energético según lo que establece la norma.
Ajustes por valoración de resultados
Se identificaron los materiales en muros y cubiertas de las gráficas 2 y 3 por origen vegetal (carrizo, bambú, palma, fibras leñosas, madera, madera de construcción, madera de pino), por ser elaborados con tierra cruda (embarro, bajareque, adobe, tierra muro portante), por ser de uso convencional en construcción (lámina de asbesto, lamina metálica, tabique, ladrillo, block hueco, cemento, mortero de cemento, piedra, tepetate), y se modificó por igual el espesor en 0.25 m para evaluar R en cubiertas en todos los materiales mencionados, comparando con el requerimiento de ahorro energético, habitabilidad y el mínimo requerido por la ONNCCE (2.65, 2.10, 1.40 m2K/W). En la gráfica 4 se observa que el espesor resulta muy importante para mejorar la resistencia térmica. No obstante, materiales a base de tierra cruda aún no cumplen los requisitos, debido a que el coeficiente de conductividad térmica no los califica como materiales aislantes, y por ser evaluados solo por su conductividad térmica. Propiedades complementarias para describir la inercia térmica son la densidad y el calor especifico.
Se realizó la selección de materiales para diseñar cinco configuraciones multicapa utilizando como base losas de concreto, impermeabilizadas con espesores especificados por capas homogéneas configurados con materiales alternativos, como el carrizo (Araundo Donax), Zea Mays (Caña maíz) y tierra cruda. Además, se consideró el valor de conductividad del aire, en una de las configuraciones para valorar la capacidad de aislamiento. Se evaluó en cubiertas por ser la parte de la vivienda con mayor exposición a estímulos térmicos, por considerar que, si se cumple en cubierta, también se cumple tambien en muros (tablas 5, 6, 7, 8 y 9).


Se empleó el poliestireno como parámetro de comparación y se establecieron los valores para cumplimiento, habitabilidad y ahorro de energía, según lo establece la normatividad. Los resultados se expresan en la gráfica 4. Todos los sistemas están en rangos de cumplimiento, y los sistemas S2 y S3 obtuvieron valores de R para ahorro de energía. Se puede apreciar que dos centímetros de aire atrapado resultan muy eficientes para incrementar la resistencia térmica de un sistema, lo que resulta una estrategia potencial para configurar sistemas constructivos con adecuado desempeño térmico. Los valores conductividad del impermeabilizante, tierra y aire, se obtuvieron de la ONNCCE (2009).




El Zea Mays resulto un material que califica como aislante y promueve ahorro de energía; configuró el S3 con un espesor de 0.256 m y una R de 2.657 m2K/W. El S2 obtuvo mejor R, 3.011 m2K/W, con un espesor de 0.212 m. S2 tiene mejor rendimiento que S3 en la relación resistencia*espesor. Zea Mays tiene un valor R mayor que el carrizo por la diferencia de conductividades. No obstante, es posible configurar envolventes que cumplan con el ahorro energético empleando ambos materiales. El poliestireno empleado en S1, con un espesor de 0.05 m, logra sumar para obtener un valor R de 2.27 m2K/W con espesor general de 0.156 m; tiene una relación adecuada, aunque solo se logre habitabilidad, pero con tan solo incrementar a 0.07 m; es decir, dos centímetros, se logra ahorro energético. Los materiales aislantes cumplen, pero llevan energía incorporada en su procesamiento que los hace ambiental y económicamente no viables.
Discusión
Los materiales de construcción convencionales, al ser evaluados por su valor R, no cumplen con el mínimo que la ONNCCE (2009) considera (1.0 m2K/W en muros y 1.4 m2K/W en cubiertas), para la localidad de Tuxtla Gutiérrez, clasificada como región climática 1. Por tal motivo, el uso de materiales convencionales no resulta suficiente como barrera contra el flujo térmico.
Incrementar el espesor de los materiales mejora la resistencia térmica, pero implica más peso, más energía incorporada y un mayor costo económico. Por tal motivo se reconoce que los materiales aislantes convencionales son, en términos de rendimiento térmico, una opción para mejorar la habitabilidad y reducir el consumo energético, aunque no son de uso cotidiano en la vivienda de la región por la inversión inicial que implica su uso.
Los valores de conductividad térmica clasifican de aislante un material, pero no determinan su comportamiento general. La grafica 6 describe la diferencia entre las conductividades de los materiales de construcción; comparada con la gráfica 7, donde se relaciona el valor de densidad, se aprecia que existen valores más cercanos entre los materiales por densidad que por conductividad, lo que determina variaciones de comportamiento. Se analiza en la gráfica 8 que el coeficiente de calor específico en los materiales es similar entre materiales aislantes y conductivos. Por lo tanto, este trabajo de investigación cuestiona la premisa de que dos materiales con igual R pueden comportarse de manera diferente, al no tener la misma densidad, lo que sugiere continuar investigaciones que complementen la valoración de R considerando la densidad y el calor especifico.



Se identificó adecuados valores para cumplir con el ahorro de energía en materiales alternativos, Arundo Donax, Zea Mays, los que, por su coeficiente de conductividad, resultan con potencial para generar envolventes con adecuado valor R mediante el ajuste del espesor. Se debe establecer envolventes configurados con diferentes materiales en capas o, cuando el sistema constructivo lo permita, incrementar el espesor útil en muros o cubiertas de un material con bajos valores de conductividad, como lo sería el aire. El reto radica en su manipulación o encapsulamiento, y en hacerlo compatible con sistemas constructivos alternativos en tierra y fibras naturales.
Conclusiones
El uso de la capa de aislamiento no es habitual en los sistemas constructivos de envolventes de vivienda social en México, y los materiales más usados en la construcción de envolventes no cumplen por sí solos para lograr habitabilidad del espacio interior. La propuesta del aislamiento con materiales normados y de venta en el mercado de la construcción no es redituable económica y ambientalmente para grupos vulnerables, por lo que la validación de materiales regionales por el estudio de sus propiedades térmicas significaría un área de oportunidad para el desarrollo de sistemas constructivos térmicamente eficientes.
La relación que existe entre el adecuado desempeño térmico de la envolvente y el ahorro energético es de importancia en los procesos de diseño; por lo tanto, es primordial para el proyectista el entendimiento de las propiedades térmicas de los materiales.
El análisis térmico de los materiales es esencial para conseguir diseños que logren ahorro energético y espacios habitables; actualmente existen métodos que simplifican el proceso y ayudan a entender cómo controlar, mediante el diseño de la envolvente y la selección de materiales, el desempeño térmico de los espacios arquitectónicos. Ante los retos económicos, es importante validar el uso en construcción de materiales no convencionales que posean capacidad de aislamiento, aunque aún deben afrontarse retos como la durabilidad y la identificación de opciones locales por región.
Existen materiales alternativos de origen natural, como el Arundo Donax y el Zea Mays, que tienen coeficientes de conductividad arriba de 0.05 w/mk, pero que con el espesor optimo funcionan como capa de aislamiento. Los coeficientes de conductividad en los materiales naturales varían, sea por la cantidad de aire interior, mejorando la resistencia, sea por la cantidad de agua contenida (acumula calor); dichas características modifican las propiedades térmicas del material. A mayor cantidad de agua, mayor calor especifico; a mayor cantidad de poros, menor densidad, y a mayor densidad, más conductivo. Las diversas variables por región determinan características heterogéneas en los materiales naturales. Por ello es importante homologar datos de conductividad térmica de los materiales naturales por región específica.
La construcción de envolventes con capa de aislamiento en regiones de vulnerabilidad, tiene el potencial de mejorar la habitabilidad térmica y conseguir ahorro energético, mediante el uso de materiales como Arundo Donax y Zea Mays, por sus adecuadas prestaciones térmicas.
Bibliografía
Alchapar, N.; Correa, E. y M. Cantón (2013), “Influencia del envejecimiento de los materiales en su desempeño térmico: El caso de revestimientos texturados para fachadas”. Revista Latinoamericana de Metalurgia y Materiales, 33 (2), 282-291.
American Society of Testing Materials (2010) ASTM C518-10, Standard Test Method for Steady-State Thermal Transmission Properties by Means of the Heat Flow Meter Apparatus.
Asdrubali, F. (2009), The Role of Life Cycle Assessment (LCA) in the Design of Sustainable Buildings: Thermal and Sound Insulating Materials Proceedings of Euronoise. Edinburg, Scotland.
Asdrubali, F. y G. Baldinelli (2011), “Thermal Transmittance Measurements with the Hot Box Method: Calibration, Experimental Procedures, and Uncertainty Analyses of Three Different Approaches”. Energy Build, 43, 1618-1626.
Asdrubali, F.; D´Alessandro, F. y S. Schiavoni (2015), “A Review of Unconventional Sustainable Building Insulation Materials”. Sustainable Materials and Technologies, vol. 4, julio, 1-17. Elservier. Disponible en: https://doi.org/10.1016/j.susmat.2015.05.002.
Baldinelli, G. y F. Bianchi (2014), “Windows Thermal Resistance: Infrared Thermography aided Comparative Analysis among Finite Volumes Simulations and Experimental Methods. Appl. Energy, 136, 250-258.
Barrios, G.; Huelsz, G.; Rechtman, R y Rojas. (2011), R. Wall/roof Thermal Performance Differences between Air-conditioned and Non-air-conditioned Rooms, Energy and Buildings.
Bedoya, C. M. (2003), El concreto reciclado con es-combros como generador de hábitats urbanos sostenibles. Tesis de Maestría. Universidad Nacional de Colombia, sede Medellín.
Bojórquez, B. I.; Milagrosa Pérez, Ma. y A. J. Domínguez (2010), Análisis de los comportamientos físicos y de durabilidad de muros construidos con fibras leñosas de la región. Fondo Sectorial de Desarrollo Científico y Tecnológico para el Fomento de la Producción y Financiamiento de Vivienda y el Crecimiento del Sector Habitacional. Primer encuentro académico CONAVI-CONACYT, México DF, 2 y 3 de febrero.
Building Research Establishment (2009), Frame-work Standard for the Responsible Sourcing of Construction Products. Bree Global, Watford. bes 6001: Issue 2.0.Calkins, M. (2009), Materials for Sustainable Construction Materials. Hoboken, NJ: Wiley.
Castañeda, N. G. y F. Vecchia (2007). “Sistema de techo alternativo para vivienda progresiva en Tuxtla Gutiérrez, Chiapas, México”. Ingeniería, Revista Académica de la fiuady, 11-2, 21-30.
Cengel Y. A. y Asshin J. Ghanarr (2015), Heat and Mass Transfer. Nueva York: McGraw Hill.
Código Técnico de la Edificación (2013), Documento básico he Ahorro de energía. Versión publicada en el “boe”, 12 de septiembre de 2013.
Comisión Económica para América Latina y el Caribe (2018), Informe nacional de monitoreo de la eficiencia energética de México.
Comisión Nacional para el Uso Eficiente de la Energía (2018), Análisis del impacto de las normas oficiales mexicanas de eficiencia energética en el ingreso-gasto del sector residencial de México a partir de datos de INEGI (1990-2016), Cuadernos de la CONUEE, núm. 9. Consejo Nacional de Evaluación de la Política de Desarrollo Social (2017). Resultados a nivel nacional y por entidad federativa 2008*2018. Disponible en: https://www.coneval.org.mx/Medicion/MP/Paginas/Pobreza-2018.aspx.
Cuchí Burgos, Albert (2005), Arquitectura i sostenibilitat. TTS. Barcelona: Ediciones UPC, p. 82.
González, E. (1997), Étude de matériaux et de techniques de refroidissement passif pour la conception architecturale bioclimatique en climat chaud et humide. Thése de doctorat en Energétique de l´Ecole des Mines de Paris, France.
Guillén, C.; Muciño, A.; Santa Ana, P. y G. Verduzco (2018), “Análisis de las propiedades térmicas del Arundo Donax (carrizo) y Zea Mays (caña maíz) para su uso como material aislante de cubiertas”. Academia XXII.
Huelsz, G.; Rechtman, R. y J. Rojas (2009), “Altos valores de la resistencia térmica no aseguran un buen desempeño térmico de la envolvente de una edificación”. Memorias de la XXXIII Semana Nacional de Energía Solar. 28 septiembre al 3 octubre. Guadalajara, Jalisco, México: ANES.
Huelsz, G.; Barrios, G; Rechtman, R. y J. Rojas (2010), “Importancia del análisis de transferencia de calor dependiente del tiempo en la evaluación del desempeño de la envolvente de una edificación”, Anuario de Arquitectura 2009, Universidad Autónoma Metropolitana, en prensa.
Instituto Nacional de Ecología y Cambio Climático/ Programa de las Naciones Unidas para el Desarrollo/ mgm Innova (2012). Estudio del impacto de medidas y políticas de eficiencia energética en los sectores de consumo, sobre el balance de energía y sobre los escenarios de emisiones de gases de efecto invernadero en el corto y mediano plazo.
Intergovernmental Panel on Climate Change (2014), Climate Change 2014: Mitigation of Climate Change: Contribution of Working Group III to the Fifth Assessment Report of the Intergovernmental Panel on Climate Change (IPCC). Cambridge: Cambridge University Press.
International Organization for Standardization (1996), ISO 8990 Thermal Insulation Determination of Steady-state Thermal Transmission Properties Calibrated and Guarded Hot Box (ISO 8990:1994).
______(2000), ISO12939-200. Thermal Performance of Building Materials and Products -Determination of Thermal Resistance by Means of Guarded Hot Plate and Heat Flow Meter Methods - Thick Products of High and Medium Thermal Resistance
______(2001), ISO12664-2001. Thermal Performance of Building Materials and Products -Determination of Thermal Resistance by Means of Guarded Hot Plate and Heat Flow Meter Methods - Dry and Moist Products of Medium and Low Thermal Resistance
______(2007), ISO6946 Building Components and Building Elements - Thermal Resistance and Thermal Transmittance - Calculation Method (2007)
______(2017), ISO6946: 2017. Componentes y elementos de construcción. Resistencia y transmitancia térmica. Métodos de cálculo
ITEC (2016) Banco de datos bedec, versión 33. Disponible en: http://itec.es/nouBedec.e/bedec.aspx . Consultado: 6 de mayo de 2020.
Khedari, N.; Nankongnab, J.; Hirunlabh, S y Teekasap. (2004), “New Low-cost Insulation Particleboards from Mixture of Durian Peel and Coconut Coir Build”. Environ, 39, 59-65 article download pdf view record in Scopus Google Scholar.
Kuehn, T. H.; Ramsey, W. W. y J. L. Threllkeld (2001), Thermal Environmental Engineering, Nueva Jersey: Prentice Hall.
Kymäläinen, H.-R. y A.-M. Sjöberg (2008), Flax and Hemp Fibres as Raw Materials for Thermal Insulations. Helsinki, Finlande: University of Helsinki - Department of Agrotechnology, pp. 1261-1269.
Manohar, K. (2012), “Experimental Investigation of Building Thermal Insulation from Agricultural By-products”. Br. J. Appl. Sci. Technol., 2 (3), 227-239.
Marszal, A. J.; Heiselberg, P.; Bourrelle, J. S.; Musall, E.; Voss, K.; Sartori, I. y A. Napolitano (2011), Energy and Buildings. Disponible en: https://www.elsevier.com/locate/enbuild.
Morillón-Gálvez, D.; Saldaña-Flores, R. y A. Tejeda-Martínez (2004), “Human Bioclimatic Atlas for México”, Solar Energy, vol. 76.
Murphy, R. J. y A. Norton (2008), Life Cycle Assessments of Natural Fibre Insulation Materials. Londres: National Non-Food Crops Centre - NNFCC, p. 79.
Nicolajsen, A. (2005), Thermal Transmittance of a Cellulose Loose-fill Insulation Material. Horsholm, Dinamarca: Department of Building Technology and Productivity - Danish Building and Urban Research, pp. 907-914.
Norma Oficial Mexicana (2011), NOM-018-EBER-2011. Aislantes térmicos para edificaciones. Características y métodos de prueba.
Normas Mexicanas (2009), NMX-C460-ONNCCE-2009 (2011): Secretaríaƈ de Gobernación,
Nyers, J.; Kajtar, L.; Tomi , S. y A. Nyers (2015). Investment-savings Method for Energy-economic Optimization of External Wall Thermal Insulation Thickness Energy Build, 86, 10.1016/j.en-build.2014.10.023, pp. 268-274.
Organismo Nacional de Normalización y Certificación de la Construcción y Edificación, S. C. (2009), Norma nmx460 Industria de la Cons-trucción- Aislamiento Térmico - Valor R para las Envolventes en Vivienda por Zona Térmica para la República Mexicana - Especificaciones y Verificación, México. Organismo Nacional de Normalización y Certificación de la Construcción y Edificación
Papadopoulos, M. (2007), “State of Art in Thermal Insulation Materials and Aims for Future Developments”. Energy and Buildings, vol. 37, núm. 1, 77-86, 2005Hill.
Passive Houses Passive House Institute, PHI (2009), Vienne, Autriche, p. 7.
Peruzzi, L. F.; Salata, A.; De Lieto Vollaro, R. y De Lieto Vollaro (2014), “The Reliability of Technological Systems with High Energy Efficiency in Residential Buildings”. Energy Build, 68, 19-24.
Pinto, J.; Paiva, A.; Varum, H.; Costa, A.; Cruz, D.; Pereira, S.; Fernández, L.; Tavares, P. y J. Agarwal (2011), “Corn’s Cob as a Potential Ecological Thermal Insulation Material”. Energy Build., 43, 1985-1990.
Pinto, D.; Cruz, A.; Paiva, S.; Pereira, P.; Tavares, L.; Fernandes, L. y H. Varum (2012), Characterization of Corn Cob as a Possible Raw Building Material Constr. Build. Mater., 34, 28-33.
Pruteanu, M. (2010), “Investigations Regarding the Thermal Conductivity of Straw”. Bulletin of the Polytechnic of Jassy, Constructions, Architecture Section.
Rivero Nogueiras, Verónica (2016). Análisis medioambiental de los aislamientos térmicos en la construcción. Tesis Doctoral. Universidade da Coruña. Rockwool. Tarifa 2016. Precios recomendados [S.l.]: Rockwool, 2015. Disponible en: http://download.rockwool.es/media/444219/tarifa_ROCKWOOL_2016_es.pdf. Consultado: 4 de mayo de 2020.
Ruiz Torres R. P., G. Castañeda Nolasco, T. Arguello Méndez, D. Morillón, & O. Reséndiz (2011) “Comparación del comportamiento térmico de una vivienda en clima cálido subhúmedo con la NOM-020-ENER”. Memorias de la XXXV Semana Nacional de Energía Solar, ANES, Chihuahua, Chihuahua, México, 3 al 7 de octubre.
Saint-Gobain (2016), ¿Qué es la Arlita Leca? Weber Saint-Gobain (s.n.). Disponible en: http://www. weber.es/soluciones-ligeras-con-arlitaregle-careg/ayuda-yconsejos/que-es-arlitaregle-careg.html . Consultado: 6 de mayo de 2020.
Sartori, I.; Napolitano, A.; Marszal, A. J.; Pless, S.; Torcellini, P. y K. Voss (2010), Criteria for Definition of Net Zero Energy Buildings. EuroSun Conference, Graz, Austria.
Schmidt, A.; Jensen, A. y A. Clausen, (2004), A comparative Life Cycle Assessment of Building Insulation Products made of Stone Wool, Paper Wool and Flax. Springer Berlin / Heidelberg, Berlin, pp. 53-66.
Schnieders, J. (2003), cepheus - Measurement Results from more than 100 Dwelling Units in Passive Houses. European Council for an-Energy Efficient Economy - Time to turn down energy demand, Vienne, Autriche, pp. 341-351.
Secretaría de Energía (2015), “Programa de Desarrollo del Sistema Eléctrico Nacional (prodesen) 2015-2029”. Sistema de Información Energética (SIE), Disponible en: <http://base.energia.gob.mx/prodesen/PRODESEN2015/PRODESEN_2015-2029.pdf>.
Torcellini, P. ; Pless, S.; Deru, M. y D. Crawley (2006), “Zero Energy Buildings: A Critical Look at the Definition”, en ACEEE Summer Stud, Pacific Grove, California, USA.
U.S. Department of Energy´s (DOE) (2012), Buildings Energy Data Book. Disponible en: https://openei.org/doe-opendata/dataset/6aaf0248-bc4e-4a33-9735-2babe4aef2a5/resource/3edf59d2-32be-458b-bd4c-796b3e14bc65/download/2011bedb.pdf.
Unión Europea (2013). Commission European, Decision no 1386/2013/eu of the European Parliament and of the Council of 20 November 2013 on a General Union Environment Action Programme to 2020 ‘Living Well, Within the Limits of Our Planet’ 7th Environmental Action Programme.
URSA (2016), Lista de precios recomendados. Marzo. Tarragona: ursa. Disponible en: http://www.ursa.es/es-es/productos/Documents/Tarifa_2016.pdf. Consultado: 6 de mayo de 2020.
Villegas, (2010), “La NMX-C460-ONNCCE-2009: un camino corto hacia la sustentabilidad”.
Webb, R. (2002), Insulation for Sustainability - A Guide, XCO2, Londres, p. 83.
Wimmer, R.; Hohensinner, H. y L. Janisch (2000), Heat Insulation Performance of Straw Bales and Straw Bale Walls. Viena: grat - Center for Appropriate Technology - Vienna University of Technology, p. 1.
Ye, Z.; Wells, C. M. y C. G. Carrington (2006), Thermal Conductivity of Wool and Wool-hemp Insulation, John Wiley & Sons, pp. 37-49.
Zuo, J. y Z. Y. Zhao (2014), Green Building Research- current Status and Future Agenda: A Review. Renew. Sustain. Energy Rev., 30, 271-281.
Notas de autor
acguillen@unam.mxbamucino@unam.mx