Artículos
Received: 04 November 2022
Accepted: 01 April 2023
Published: 16 November 2023
DOI: https://doi.org/10.36793/psicumex.v13i1.594
Resumen: El objetivo de la presente investigación fue validar la Escala de Resiliencia Sexual en hombres que viven con VIH (ERS-VIH). Participaron 621 hombres con diagnóstico de VIH, la aplicación se realizó de manera individual en una clínica especializada. El análisis factorial exploratorio agrupó los reactivos en tres factores que explican el 56.22 % de la varianza, quedando conformada por 16 reactivos; posteriormente el análisis factorial confirmatorio, estableció una estructura de tres factores. Además, se presentan evidencias de validez convergente, encontrando una relación positiva entre la consistencia del uso del condón y la escala. La consistencia interna fue superior a 0.70 en cada uno de los factores. Se discuten los términos en que la escala tiene propiedades psicométricas adecuadas y cómo puede utilizarse en hombres con diagnóstico de VIH.
Palabras clave: Resiliencia sexual, VIH, hombres, validación psicométrica, uso del condón.
Abstract: The objective of this research was to validate the Sexual Resilience Scale in men living with HIV (ERS-HIV). 621 men diagnosed with HIV participated, the application was carried out individually in a specialized clinic for the care of people with HIV. The AFE grouped the items into three factors that explain 56.22% of the variance, being made up of 16 items. Subsequently, the CFA was made, confirming the structure of three factors. In addition, evidence of convergent validity is presented, finding a positive relationship between the consistency of condom use and the Scale. The internal consistency was greater than 0.70 in each of the factors. Terms of how the scale has adequate psychometric properties and that it can be used in men diagnosed with HIV are discussed.
Key words: Sexual resilience, HIV, men, validation, condom use.
Introducción
La infección por el virus por inmunodeficiencia humana (VIH) es la causante del síndrome de inmunodeficiencia adquirida (SIDA); aunque actualmente esta enfermedad no tiene cura, las personas infectadas pueden vivir por muchos años con una buena calidad de vida a través de la adherencia al tratamiento antirretroviral (García y Tobón, 2020; López et al. 2018).
De acuerdo con las estadísticas del Programa Conjunto de las Naciones Unidas sobre el VIH/SIDA (ONUSIDA, 2022), a nivel mundial, lo padecen aproximadamente 38.4 millones de personas, de las cuales, se estima que 28.7 millones tienen acceso a una terapia antirretroviral. En México, actualmente se reportan 208 697 casos, siendo mayor la proporción de hombres, con el 81.6 % de registros, en comparación con las mujeres (Secretaría de Salud, 2022).
Los tratamientos antirretrovirales resultan muy efectivos para disminuir o suprimir la carga viral; sin embargo, no todas las personas tienen acceso, e incluso existen problemas relacionados con el estigma y discriminación que experimentan las personas que viven con VIH, situación que complejiza sus tratamientos (Feyissa et al. 2019). Al respecto, De los Ríos et al. (2021) señalan que las personas con VIH presentan una diversidad de problemas emocionales como, por ejemplo, enfrentar y aceptar el diagnóstico. Con el paso del tiempo, pasan por un proceso de toma de decisiones, relacionado con el tratamiento, la actividad sexual, la salud reproductiva, entre otros aspectos. De ahí la necesidad de que los pacientes reciban una atención continua e integral que promueva su salud física y mental que coadyuve en la mejora de su calidad de vida (Sabranski et al. 2021).
En el ámbito de la salud mental y sexual, se ha encontrado que la resiliencia tiene un papel importante en el tratamiento del VIH, interactuando tanto con factores protectores como de riesgo. Diversos estudios reportan que pacientes con mayores niveles de resiliencia presentan mejor adherencia al tratamiento (Sauceda et al. 2016; Tan et al. 2018), mejor percepción de apoyo social y calidad de vida (Millard et al. 2014), afrontan positivamente situaciones de estigma y discriminación (Logie et al. 2011), tienen comportamientos sexuales preventivos (Harper et al. 2014), reducen los riesgos de reinfección de VIH (Kaunda-Khangamwa et al. 2020) y asumen mayor responsabilidad frente al mantenimiento de su salud (Remien et al. 2015). También se observa una relación positiva entre la resiliencia y el uso del condón en relaciones sexuales, es decir, aquellos con puntuaciones altas de resiliencia tienen puntuaciones altas en el reporte de uso de condón (Harper et al. 2014; Hodder et al. 2018; Logie et al. 2019).
En cuanto a los factores de riesgo, percibir situaciones de estigma (Kalomo et al. 2020) y discriminación por vivir con VIH (Stockman et al. 2023), así como los síntomas de depresión (Batista y Pereira, 2020), se asocian de manera negativa con la resiliencia. Cabe señalar que los factores protectores de prevención y de riesgo están interrelacionados, como lo reportan Liboro et al. (2021), quienes encontraron que las creencias negativas hacia los hombres gais y al VIH se asocian como barreras para promover la resiliencia, mientras que la perseverancia de las personas y percibir el apoyo de los servicios de salud se relacionan como facilitadores que la promueven.
En este sentido, la resiliencia es entendida como un proceso dinámico que implica que las personas apliquen diversas habilidades que les ayuden a adaptarse a circunstancias del contexto en el que se encuentran (Fergus y Zimmerman, 2005). De modo que, a quienes han vivido situaciones adversas, y son resilientes, estas habilidades les permitan superarlas e incluso salir fortalecidos. No obstante, existen diversidad de definiciones y maneras de evaluar este constructo (Guerrero, 2014; Ruiz-Román et al. 2020), así como aproximaciones al mismo, ya sea desde una metodología cualitativa, a través de entrevistas o grupos focales (Emlet et al. 2011; Furlotte y Schwartz, 2017; Green y Wheeler, 2019; Harper et al. 2014; Millard et al. 2014; Tan et al. 2018), o desde una metodología cuantitativa mediante instrumentos de medición.
Sobre esto último, uno de los instrumentos más utilizados es la escala de resiliencia de Connor-Davidson (CD-RISC) en su versión de 25 reactivos (de Araújo et al. 2017; Sauceda et al. 2016), o en su formato breve (CD-RISC-10) de 10 reactivos (Dale, Cohen et al. 2014; Dale, Weber et al. 2014). En ambos casos se reportan propiedades psicométricas adecuadas con una consistencia interna de alrededor de 0.90. Este instrumento se sustenta en el concepto de resiliencia entendido como un conjunto de estrategias de afrontamiento y atributos personales para superar la adversidad. Existen otras escalas, como la Child and Youth Resilience Measure (CYRM-28), que consta de 28 ítems que miden los recursos disponibles de las personas para mantener su bienestar, reportando una consistencia interna de 0.90 (Kaunda-Khangamwa et al. 2020; Muldoon et al. 2017); la Resilience Assessment Scale (RAS) desarrollada en Brasil, que a través de 32 ítems evalúa la capacidad de las personas para superar las adversidades de la vida, con un alfa de 0.77 (Brito y Seidl, 2019). Grosso modo, estos instrumentos han sido utilizados para evaluar la resiliencia ante diversas situaciones adversas en general.
A pesar de los ya mencionados, no existe un instrumento particular para evaluar la resiliencia en las personas que viven con VIH. Para estos casos, se hizo un análisis de la conformación del constructo, una integración de sub escalas o una combinación de diferentes instrumentos, y se justifica la elección de reactivos para evaluarla (Hussen et al. 2017; Yang et al. 2018). Por ejemplo, Emlet et al. (2017) identifican la resiliencia percibida en esta población en particular a partir de tres reactivos, y reportan un alfa de 0.73, aunque no muestran evidencia de la construcción de la escala. Si bien este proceso es viable desde un punto de vista práctico, puede resultar contraproducente no tomar en cuenta el contexto y las circunstancias particulares (Ruiz-Román et al. 2020), como la infección por VIH y los factores asociados.
Un intento por responder al contexto se relaciona con las investigaciones que evalúan la resiliencia en el proceso de salud-enfermedad, aunque no exclusivo del VIH. Por ejemplo, se ha utilizado la Subscale of the Situated Subjective Resilience Questionnaire for Adults (SSRQA), la cual considera la percepción de resiliencia ante problemas de salud, y reporta una consistencia interna de 0.69 (Garrido-Hernansaiz et al. 2017); o la Pain Resilience Scale (PRS), que está centrada en la resiliencia ante el dolor con 14 ítems en formato tipo Likert con un alfa de 0.94 (González et al. 2019). Como se puede observar con estos estudios, es necesario tomar en cuenta las particularidades de la enfermedad, de tal manera que se pueda atender el contexto, es decir, no es lo mismo tratar un diagnóstico de cáncer que uno de VIH.
En esta línea, Castillo-Arcos y Benavides-Torres (2012) y Guerrero (2014) señalan la importancia del constructo de resiliencia sexual, y resaltan que no es un constructo estático, sino que es un proceso en el que la persona va utilizando los recursos disponibles o aprendiendo de ellos para disminuir los factores de riesgo sexual. Si bien, aunque estudios se centran en adolescentes sin VIH, esta evaluación resulta pertinente en personas que ya padecen VIH, dado que ya tienen una situación adversa que deben hacer frente.
Se han encontrado dos instrumentos que evalúan la resiliencia sexual en adolescentes y resiliencia al VIH. En el primero de ellos, Castillo-Arcos et al. (2012) realizaron una validación de la escala de resiliencia para sexo seguro en adolescentes mexicanos, la cual quedó conformada por 22 reactivos divididos en dos factores, competencia personal y aceptación de sí mismo y la vida, con un alfa de Cronbach de 0.87. Si bien es un instrumento con buenas propiedades psicométricas, está considerando para adolescentes, la gran mayoría sin experiencia sexual, por lo que no necesariamente está dirigido a personas que han presentado una situación adversa, como lo es la infección por VIH. Algunos autores apuntan que esta evaluación correspondería más hacia la predisposición a la resiliencia (Coppari et al. 2018).
En el caso particular de la evaluación de la resiliencia en personas que viven con VIH, Krause (2020) muestra la validación de una escala de 10 reactivos en los que se presentan situaciones relacionadas con lo que hacen las personas para afrontar el VIH, estos reactivos se dividen en tres factores: afrontamiento adaptativo, optimismo y afrontamiento eficaz; la escala en conjunto tiene un alfa de Cronbach 0.84. Aunque se podría adaptar esta escala al español, se prefirió la construcción de una nueva que fuese culturalmente válida en el contexto latinoamericano y dirigida a personas que viven con VIH, de tal forma que, como señalan Carvajal et al. (2011), se evita el uso indiscriminado de instrumentos para evitar sesgos que puedan afectar la interpretación de sus resultados.
Con base en lo anterior, en el presente estudio se entiende la resiliencia sexual como un proceso dinámico y modificable, donde las personas que tienen un diagnóstico de VIH utilizan diversas estrategias para evitar factores de riesgo sexual (nuevas infecciones o reinfecciones por VIH), que de llevarlas de manera constante pueden convertirse en una habilidad. Por consiguente, el objetivo de la presente investigación es diseñar y evaluar las propiedades psicométricas de una escala de resiliencia sexual en hombres que viven con VIH (ERS-VIH).
Metodología
Con base en la propuesta de clasificación de Montero y León (2007), se realizó un estudio de tipo instrumental, cuyo objetivo está centrado en el desarrollo de nuevos instrumentos de medición, así como en la presentación de sus propiedades psicométricas.
Participantes
621 hombres con diagnóstico de VIH participaron en la presente investigación, con una media de edad de 33 años (DE = 9.32, min. 18 años - máx. 50 años), con un tiempo de diagnóstico de 5.48 años (DE = 5.79, min. 1 año - máx. 25 años). Las características sociodemográficas pueden verse en la Tabla 1, en la cual se observa que la mayoría son solteros, homosexuales, con estudios universitarios y de preparatoria, y con ingresos mensuales variables. Como criterio de inclusión se tomó en cuenta a hombres mayores de 18 años y cuya vía de transmisión de VIH fue sexual, y como criterio de exclusión que no hayan respondido completos los instrumentos o que no aceptaran que su información fuera utilizada con fines estadísticos. A través de un muestreo intencionado, se invitó a los usuarios de una clínica especializada de atención de personas con VIH a participar en la investigación.

Instrumentos
Datos demográficos (DD). Se diseñó una ficha de datos demográficos, en la que se solicitó información sobre edad, estado civil, nivel de estudios, ingresos mensuales, tiempo de diagnóstico de VIH, presencia de ITS diferentes al VIH y orientación sexual.
Escala de Resiliencia Sexual (ERS-VIH). Para la validación del instrumento, se presentaron 28 reactivos en formato tipo Likert con cinco opciones de respuesta que van de 1 (nunca) a 5 (siempre), en las que se les pedía a los participantes que marcaran con una “X” sobre lo que hacen para protegerse sexualmente. El diseño y construcción de la escala se basó en el estudio previo de Sánchez et al. (2021), quienes evaluaron el significado de resiliencia sexual en una muestra de hombres con y sin diagnóstico de VIH a través de la estrategia de redes semánticas naturales modificadas, que les permitió conocer lo que hacen, piensan y sienten en torno a vivir con VIH, así como de las estrategias y habilidades con las que cuentan para hacerle frente. De acuerdo con Reyes-Lagunes (1993), estos indicadores permiten no solo explorar el significado psicológico de algunos constructos, sino que también pueden coadyuvar en la construcción de ítems que sean culturalmente válidos. Es precisamente con base en estos resultados que se retoman los hallazgos encontrados en hombres que viven con VIH para la construcción de la escala.
Consistencia del Uso del Condón (CUC). Se obtuvo un índice de consistencia en el uso del condón en relaciones sexuales con valores entre cero y uno, que es el resultado de dividir el número de veces de uso de condón en tres meses entre el número de relaciones sexuales en ese mismo periodo de tiempo (DiClemente y Wingood, 1995). Este instrumento fue utilizado para el análisis de la validez convergente, si bien en la introducción se presentan distintos factores protectores y de riesgo asociados a la resiliencia, se decidió utilizar el indicador de uso de condón por varias razones: a) se está considerando como variable principal la resiliencia sexual, que se refiere a las estrategias para evitar factores de riesgo sexual, como lo es el uso del condón, b) aunque existe evidencia empírica de la relación entre resiliencia sexual y uso de condón, esta se reportan en personas sin VIH (Castillo-Arcos et al. 2012), y c) en la prevención del VIH, en personas sexualmente activas, uno de los métodos más efectivos es el uso del condón en todas y cada una de las relaciones sexuales.
Procedimiento
Se estableció un convenio con una clínica especializada en la atención de personas con VIH en la Ciudad de México, cumpliendo con los estándares éticos para la realización de la investigación y aprobados por el comité de ética de la institución de los autores (CE/FESI/032022/1502). El consentimiento informado resalta la naturaleza, duración y propósito del estudio, así como la participación voluntaria, anónima y confidencial; se indica que su aceptación o no en este estudio no está condicionada al servicio que recibe en la clínica. De igual forma, se señala que la información proporcionada será resguardada por un periodo de cinco años, y que después de este lapso será destruida.
Antes de iniciar propiamente con el estudio, cinco hombres que viven con VIH comentaron sobre la claridad de los reactivos, lo cual fue tomado en cuenta para la mejora de la redacción de los ítems. Cabe señalar que todos los ítems se conservaron, únicamente se clarificaron cinco reactivos a partir de sus sugerencias. A continuación, se procedió al levantamiento de datos que responden al objetivo de la investigación. Los participantes respondieron de manera individual en las salas de espera de la clínica; para ello se invitó a participar a los usuarios que esperaban algún tratamiento. Un investigador previamente entrenado explicó el objetivo de la investigación y proporcionó el consentimiento informado; a quienes aceptaban, se les entregó la escala y una pluma para responder; en promedio tardaron 15 minutos en proporcionar la información solicitada.
Análisis de datos
Para obtener las propiedades psicométricas, de acuerdo con la American Education Research Association, American Psychological Association y National Council on Measurement in Education (2014) se presentan evidencias de validez basada en la estructura interna y en la relación con otras variables. Así, cada reactivo se sometió a un análisis descriptivo para identificar su asimetría, curtosis y la prueba de normalidad de Kolmogorov-Smirnov con corrección de significación de Lilliefors; se tomaron como criterio valores de -2 y 2 para asimetría y de -7 y 7 para la curtosis, y que la prueba de normalidad fuera significativa (Bandalos y Finney, 2010).
Con los reactivos que cumplieron con estas características se realizó un análisis paralelo (AP) para identificar el número de factores a extraer en el análisis factorial exploratorio (AFE). Después, se aplicó la prueba KMO y de esfericidad de Bartlett para identificar la pertinencia del tamaño de la muestra y del análisis factorial. Para el AFE se utilizó el método de componentes principales con rotación Varimax. De los factores extraídos, se tomaron en cuenta autovalores mayores a 1 y cargas factoriales mayores de 0.40 (Campo-Arias et al. 2012, Lloret-Segura et al. 2014).
Posteriormente, se realizó un análisis factorial confirmatorio (AFC), tomando en cuenta los siguientes parámetros: CFI con valores mayores a 0.90 (ajuste adecuado) o 0.95 (buen ajuste); RMSEA con valores menores a 0.08 (ajuste adecuado) o 0.05 (buen ajuste); GFI y TLI con valores entre 0.90 y 0.95 muestran un buen ajuste del modelo (Abad et al. 2011; Schumacker y Lomax, 2016). Con la escala final se hizo un análisis de correlación de Pearson para mostrar evidencias de validez convergente. Por último, se presenta el análisis de confiabilidad para cada factor, tomando en consideración el alfa de Cronbach con valores de 0.7 mínimo para considerarlo aceptable (Nunnally y Bernstein, 1995).
Resultados
En la Tabla 2 se presentan los estadísticos descriptivos de los 28 reactivos que conforman la ERS-VIH. Grosso modo se observa que todos los reactivos fueron significativos a partir de la prueba de normalidad de Kolmogorov-Smirnov; esto indica que los datos no se distribuyen de manera normal. En cuanto a los valores de asimetría y curtosis todos los reactivos cumplen con los criterios para proceder con los siguientes análisis.

Con base en los resultados reportados en la Tabla 2 se procedió a realizar el AFE. Previamente se aplicó la prueba KMO (0.891) y de esfericidad de Bartlett (3876.89), resultando significativo al 0.001, lo que significa que es pertinente el tamaño de la muestra y el AFE. Para la extracción del número de factores, de acuerdo con Lloret-Segura et al. (2014), existen dos formas de hacerlo, la más usual es someter todos los reactivos al análisis sin establecer criterios para identificar el número de factores; aunque se recomienda el AP como un método más robusto que coadyuva en una mejor toma de decisiones sobre la dimensionalidad del constructo.
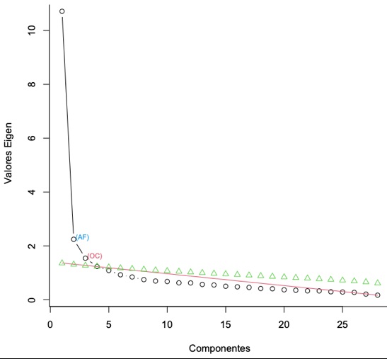
A modo de ejemplo, en un primer momento se realizó el AFE sin establecer el número de factores. Este primer análisis mostró que 27 de los 28 reactivos se agruparon en cinco factores que explican el 56.93 % de la varianza. Si bien con estos resultados es posible mostrar evidencias de validez, al proceder con el AFC, los resultados no resultaron significativos. Con base en lo anterior, se realizó el AP para determinar el número de factores a extraer, los resultados obtenidos indicaron que son tres los factores que se deben considerar en el AFE (ver Figura 1).

Considerando los resultados del AP, se procedió con el AFE. En la Tabla 3, se observa que la ERS-VIH quedó conformada por tres factores que explican el 56.22 % de la varianza. Cabe señalar que, de los 28 reactivos iniciales, se descartaron 12 reactivos, cinco de ellos porque compartían carga factorial y siete que compartían muchos errores en el AFC que evitaban que el modelo se ajustara de manera adecuada. De acuerdo con Lagunes (2017), aunque es pertinente valorar el contenido teórico de los reactivos para identificar en qué factor es más conveniente dejarlo, también señala que se deben eliminar reactivos que tienen una carga factorial ambigua (cargas superiores a 0.35 y 0.25 en cada factor); sobre el AFC, de acuerdo con este mismo autor, en la modificación del modelo propuesto se deben eliminar los reactivos con menores correlaciones o varianza explicada, de tal modo que el modelo se ajuste de manera adecuada.

El factor 1 se conforma de siete reactivos que hacen referencia a las estrategias de prevención del VIH, en las que se incluyen aspectos relacionados con el uso de condón en relaciones sexuales, cuidar la higiene genital, hablar con la pareja y hacerse pruebas de detección de VIH, este factor incluye una gran diversidad de conductas que, de acuerdo con Castillo-Arcos y Benavides-Torres (2012), son diversas las estrategias que se deben tomar en cuenta para reducir los riesgos de infección o reinfección por VIH.
El factor 2 agrupa cinco reactivos. Se refiere a las estrategias de afrontamiento ante el VIH. Este segundo factor es un área que suele evaluarse en otras escalas de resiliencia (de Araújo et al. 2017; Sauceda et al. 2016); pero en esta se aplican a un contexto del VIH, en la que se resalta que a pesar de tener la infección pueden llevar una vida normal, que se adhieren al tratamiento y saben qué hacer cuando se enfrentan a un riesgo sexual, tal y como lo señala Krause (2020).
Por último, el factor 3 tiene cuatro reactivos centrados en las estrategias de conducta sexual segura en contextos de riesgo, como evitar el consumo de alcohol y drogas, reducir el número de parejas sexuales y el uso de profilaxis prexposición (PrEP), de tal forma que es un área no contemplada en otras escalas de resiliencia, pero que resulta relevante, debido a que las personas con VIH deben tomar precauciones para reducir infecciones o reinfecciones por VIH (Garrido-Hernansaiz et al. 2017; Hussen et al. 2017).
Con base en los resultados obtenidos, se realizó el AFC. En la Tabla 4 se muestran los resultados obtenidos en cuatro modelos, siendo el último el que tuvo un mejor ajuste. De tal manera que la escala quedó conformada por 16 reactivos distribuidos en tres factores (ver Figura 2).


A continuación, para la validez convergente se realizó un análisis de correlación entre la ERS-VIH y la consistencia en el uso del condón (CUC), mostrando una relación positiva y significativa (r= 0.493, p < 0.001). Por último, para el análisis de consistencia interna se tomó en cuenta la correlación del ítem con el total y el alfa si se elimina el reactivo. Con base en los resultados obtenidos, se encontró un alfa de Cronbach para el factor 1 de 0.84, el factor 2 de 0.80 y el factor 3 de 0.70. La versión final de la ERS-VIH se muestra en la Tabla 5.

Discusión
Desde el diagnóstico hasta su etapa final, las personas con SIDA atraviesan no solo un duelo por su salud, también son más susceptibles de estigma y discriminación, en comparación con otras enfermedades (Feyissa et al. 2019), por lo que es necesario que cuenten con ciertas estrategias que los ayuden a mejorar su calidad de vida (Sabranski et al. 2021). Por esta razón, la evaluación de la resiliencia en personas que viven con VIH se torna relevante en la medida que se puede coadyuvar en el diseño de programas de intervención que la fomenten y que a través de un efecto de bola de nieve pueda contribuir en la adherencia al tratamiento, calidad de vida y a un mejor cuidado de su salud sexual.
Aunque se observa la importancia que tiene la resiliencia en las personas que viven con VIH, no hay un consenso en su definición, en cómo se evalúa y el contexto del cual parte cada instrumento. Por ello, y ante la falta de instrumentos culturalmente válidos en un contexto latinoamericano, se validó la escala de resiliencia sexual en hombres que viven con VIH (ERS-VIH). Con la escala ya construida, de acuerdo con Lloret-Segura et al. (2014), se procedió a obtener sus propiedades psicométricas. Se tomaron en cuenta dos criterios, primero someter todos los reactivos al análisis sin establecer el número de factores, y segundo, a través del AP se determinó el número de factores. El primer análisis mostró que 27 reactivos se distribuían en 5 factores con una adecuada varianza explicada, pero cuando estos mismos reactivos se sometieron al AFC se encontró que el modelo no ajustaba; de tal forma que al utilizar el AP se obtuvieron mejores resultados, tanto en el AFE como en el AFC; por lo que estos resultados muestran evidencia empírica de que, a nivel metodológico, hacer un AP para determinar el número de factores coadyuva en una mejor toma de decisiones respecto a la dimensionalidad del constructo y al mismo tiempo para tener mejores resultados en el AFC.
En esta línea, se precisa que tanto para el AFE como para el AFC se trabajó con la misma muestra, partiendo del supuesto que estos análisis son un continuo que responde a la rigurosidad de los análisis realizados (Ferrando y Anguiano-Carrasco, 2010), aunque también existen otras posturas en las que se propone dividir a la muestra en dos partes, en la primera hacer el AFE, y en la segunda, el AFC (Lloret-Segura et al. 2014). Lo anterior implica un proceso de toma de decisiones en las que se debe optar por la mejor opción, entre ellas el acceso a los participantes. Con base en lo anterior, y debido a que el trabajo se realizó con hombres que viven con VIH, se realizó el mismo análisis para la validez de constructo; sin embargo, se recomienda seguir probando en muestras similares el instrumento a partir del AFC y mostrar evidencia empírica de su validez.
Adicionalmente, se presentan evidencias de validez convergente. Para ello se tomó en cuenta la relación positiva que tiene el uso del condón en relaciones sexuales y la resiliencia, tal y como se ha observado en diversos estudios (Harper et al. 2014; Hodder et al. 2018; Logie et al. 2019). En la presente investigación, se encontraron resultados similares, pues hubo una relación entre la consistencia en el uso del condón (CUC) y la escala de resiliencia sexual (ERS-VIH). Un punto a considerar es que, aunque esta relación es constante, es necesario seguir presentando datos empíricos de esta relación. Se debe seguir mostrando evidencias de validez de la ERS-VIH con otros indicadores del uso del condón, con la relación que guarda la resiliencia con diferentes constructos, tomando en cuenta lo señalado sobre la asociación con diferentes factores protectores y de riesgo, e incluso mostrar evidencias de validez concurrente al evaluar su relación con alguna otra escala de resiliencia.
Respecto a la consistencia interna de cada uno de los factores, así como de la escala en general, fue adecuada ya que, como mencionan Nunnally y Bernstein (1995), valores mayores a 0.7 son considerados aceptables y la escala, tomando en cuenta los tres factores, tiene un alfa de 0.86. Con base en los resultados obtenidos tanto de validez como de confiabilidad, se infiere que la escala de resiliencia sexual (ERS-VIH) cuenta con propiedades psicométricas adecuadas, por lo cual puede ser utilizada en hombres con VIH.
Conclusiones
Dentro de las limitantes de esta investigación, se encuentra que solo se consideró a hombres que viven en un área metropolitana, por lo que no sería representativo considerar a hombres de otras partes de la república mexicana, siendo un área de oportunidad el considerar otras muestras de otros contextos diferentes al urbano. Es necesario resaltar que la muestra evaluada corresponde a hombres mexicanos, por lo que sería pertinente hacer AFC en otras muestras de hombres latinoamericanos, de tal forma que se contribuya a la evidencia de validez del instrumento.
De igual forma, este instrumento está solo dirigido hacia hombres, no permitiendo su generalización hacia mujeres que viven con VIH, razón por la que sería necesario analizar las propiedades psicométricas de la escala y mostrar evidencias de su utilidad en esta población. Sin embargo, no se debe pasar por alto considerar las posibles diferencias estructurales, sociales y culturales de las mujeres que viven con VIH (Dale, Weber et al. 2014).
De manera general, cuando se promueve la resiliencia, se fomenta la salud mental, lo cual coadyuva en una visión más positiva del proceso salud-enfermedad. Por lo tanto, este instrumento permitiría identificar las estrategias de afrontamiento más adecuadas de las personas que viven con VIH, e incluso, al considerar a la resiliencia como un proceso dinámico y cambiante, este instrumento no solo facilitaría identificar qué hacen las personas, sino en que aspectos se debería de intervenir.
Por último, se espera, a mediano plazo, proponer un modelo explicativo sobre los factores protectores y de riesgo asociados a la resiliencia sexual en hombres que viven con VIH. A largo plazo, diseñar programas de intervención para promover la resiliencia sexual, de tal forma que se contribuya en la reducción de nuevas infecciones por VIH y, en el caso de las personas ya infectadas, evitar nuevas reinfecciones.
Referencias
Abad, F., Olea, J., Ponsoda, V. y García, C. (2011). Medición en ciencias sociales y de la salud. Síntesis.
American Education Research Association, American Psychological Association and National Council on Measurement in Education. (2014). Standards for Educational and Psychological Testing 2014. American Education Research Association. https://www.testingstandards.net/uploads/7/6/6/4/76643089/standards_2014edition.pdf
Bandalos, D. L. & Finney, S. J. (2010). Factor Analysis: Exploratory and Confirmatory. In G. R. Hancock and R. O. Mueller (Eds.). Reviewer’s Guide to Quantitative Methods (pp. 93-114). Routledge.
Batista, I. C. & Pereira, H. (2020). Mental Health, Resilience and HIV in Older Gay and Bisexual Men. Educational Gerontology, 46(9), 525-539. https://doi.org/10.1080/03601277.2020.1785673
Brito, H. L. & Seidl, E. M. F. (2019). Resilience of People with HIV/AIDS: Influence of Religious Coping. Trends in Psychology, 27(3), 647-660. https://doi.org/10.9788/tp2019.3-04
Campo-Arias, A., Herazo, E. y Oviedo, H. (2012). Análisis de factores: fundamentos para la evaluación de instrumentos de medición en salud mental. Revista Colombiana de Psiquiatría, 41(3), 659-671. https://doi.org/10.1016/S0034-7450(14)60036-6
Carvajal, A., Centeno, C., Watson, R., Martínez, M. y Sanz, A. (2011). ¿Cómo validar un instrumento de medida de la salud? Anales del Sistema Sanitario de Navarra, 34(1), 63-72. https://recyt.fecyt.es/index.php/ASSN/article/view/10317
Castillo-Arcos, L. y Benavides-Torres, R. (2012). Modelo de resiliencia sexual en el adolescente: Teoría de rango medio. Aquichan, 12(2), 169-182. https://doi.org/10.5294/aqui.2012.12.2.7
Castillo-Arcos, L., Benavides-Torres, R. y López-Rosales, F. (2012). Validación de la escala de resiliencia para sexo seguro. En R. Díaz, S. Rivera y I. Reyes (Eds.). La psicología social en México (Vol. XIV, pp.398-402). Asociación Mexicana de Psicología Social.
Coppari, N., Barcelata, B. E., Bagnoli, L. y Codas, G. (2018). Efectos de la edad, el sexo y el contexto cultural en la disposición resiliente de los adolescentes de Paraguay y México. Revista de Psicología Clínica con Niños y Adolescentes, 5(1), 16-22. http://dx.doi.org/10.21134/rpcna.2018.05.1.2
Dale, S., Cohen, M., Weber, K., Cruise, R., Kelso, G. & Brody, L. (2014). Abuse and Resilience in Relation to HAART Medication Adherence and HIV Viral Load Among Women with HIV in the United States. AIDS Patient Care and STDs, 28(3), 136-143. https://doi.org/10.1089/apc.2013.0329
Dale, S. K., Weber, K. M., Cohen, M. H., Kelso, G. A., Cruise, R. C. & Brody, L. R. (2014). Resilience Moderates the Association Between Childhood Sexual Abuse and Depressive Symptoms Among Women with and At-Risk for HIV. AIDS and Behavior, 19(8), 1379-1387. https://doi.org/10.1007/s10461-014-0855-3
de Araújo, L.F., Teva, I., Hernandez, J., Ortega, A. & De la Paz, M. (2017). Analysis of resilience and sexual behavior in persons with HIV infection. Psicologia: Reflexao e Critica, 30(21), 1-9. https://doi.org/10.1186/s41155-017-0076-6
de los Ríos, P., Okoli, C., Castellanos, E., Allan, B., Young, B., Brough, G., Muchenje, M., Eremin, A., Corbelli, G., McBritton, M., Hardy, W. & Van de Velde, N. (2021). Physical, Emotional, and Psychosocial Challenges Associated with Daily Dosing of HIV Medications and Their Impact on Indicators of Quality of Life: Findings from the Positive Perspectives Study. AIDS and Behavior, 25(3), 961-972. https://doi.org/10.1007/s10461-020-03055-1
DiClemente, R. & Wingood, G. (1995). A Randomized Controlled Trial of an HIV Sexual Risk Reduction Intervention for Young African American Women. Journal of the American Medical Association, 274(16), 1271-1276. https://pubmed.ncbi.nlm.nih.gov/7563531/
Emlet, C. A., Tozay, S. & Raveis, V. H. (2011). "I'm not going to die from the AIDS": Resilience in Aging with HIV Disease. The Gerontologist, 51(1), 101-111. https://doi.org/10.1093/geront/gnq060
Emlet, C.A., Shiu, C., Kim, H. & Fredriksen-Goldsen, K. (2017). Bouncing Back: Resilience and Mastery Among HIV Positive Older Gay and Bisexual Men. Gerontologist, 57(1), 40-49. https://doi.org/10.1093/geront/gnw171
Fergus, S. & Zimmerman, M. A. (2005). Adolescent Resilience: A Framework for Understanding Healthy Development in the Face of Risk. Annual Review of Public Health, 26(1), 399-419. https://doi.org/10.1146/annurev.publhealth.26.021304.144357
Ferrando, P. J. y Anguiano-Carrasco, C. (2010). El análisis factorial como técnica de investigación en psicología. Papeles del Psicológo, 31(1), 18-33. https://www.papelesdelpsicologo.es/pdf/1793.pdf
Feyissa, G. T., Lockwood, C., Woldie, M. & Munn, Z. (2019). Reducing HIV-Related Stigma and Discrimination in Healthcare Settings: A Systematic Review of Quantitative Evidence. PLOS ONE, 14(1), e0211298. https://doi.org/10.1371/journal.pone.0211298
Furlotte, C. & Schwartz, K. (2017). Mental Health Experiences of Older Adults Living with HIV: Uncertainty, Stigma, and Approaches to Resilience. Canadian Journal on Aging/ La Revue Canadienne Du Vieillissement, 36(2), 125-140. https://doi.org/10.1017/S0714980817000022
García, P. J. J. y Tobón, B. A. (2020). El VIH: de la adherencia farmacológica a la calidad de vida. Psicología y Salud, 30(1), 83-94. https://doi.org/10.25009/pys.v30i1.2620
Garrido-Hernansaiz, H., Murphy, P. J. & Alonso-Tapia, J. (2017). Predictors of Resilience and Posttraumatic Growth Among People Living with HIV: A Longitudinal Study. AIDS and Behavior, 21(11), 3260-3270. https://doi.org/10.1007/s10461-017-1870-y
González, C. E., Okunbor, J. I., Parker, R., Owens, M. A., White, D. M., Merlin, J. S. & Goodin, B. R. (2019). Pain-Specific Resilience in People Living with HIV and Chronic Pain: Beneficial Associations with Coping Strategies and Catastrophizing. Frontiers in Psychology, 10, e2046. https://doi.org/10.3389/fpsyg.2019.02046
Green, D. C. & Wheeler, E. M. (2019). A Qualitative Exploration of Facilitators for Health Service Use Among Aging Gay Men Living with HIV. Journal of the International Association of Providers of AIDS Care (JIAPAC), 18, e232595821988056. https://doi.org/10.1177/2325958219880569
Guerrero, J. (2014). Resiliencia sexual en adolescentes: una revisión desde la psicología positiva. Realitas, Revista de Ciencias Sociales, Humanas y Artes, 2(1), 45-50. https://www.academia.edu/7364545/Resiliencia_Sexual_en_adolescentes_una_revisi%C3%B3n_desde_la_Psicolog%C3%ADa_Positiva
Harper, G. W., Bruce, D., Hosek, S. G., Fernandez, M. I. & Rood, B. A. (2014). Resilience Processes Demonstrated by Young Gay and Bisexual Men Living with HIV: Implications for Intervention. AIDS Patient Care and STDs, 28(12), 666-676. https://doi.org/10.1089/apc.2013.0330
Hodder, R. K., Homer, S., Freund, M., Bowman, J. A., Lecathelinais, C., Colyvas, K., Campbell, E., Gillham, K., Dray, J. & Wiggers, J. H. (2018). The Association Between Adolescent Condom Use and Individual and Environmental Resilience Protective Factors. Australian and New Zealand Journal of Public Health, 42(3), 230-233. doi: 10.1111/1753-6405.12744.
Hussen, S. A., Harper, G. W., Rodgers, C. R.R., van den Berg, J. J., Dowshen, N. & Hightow-Weidman, L. B. (2017). Cognitive and Behavioral Resilience Among Young Gay and Bisexual Men Living with HIV. LGBT Health, 4(4), 275-282. https://doi.org/10.1089/lgbt.2016.0135
Kalomo, E. N., Jun, J. S., Lee, K. & Kaddu, M. N. (2020). HIV Stigma, Resilience and Depressive Symptoms Among Older Adults Living with HIV in Rural Namibia. African Journal of AIDS Research, 19(3), 198-205. https://doi.org/10.2989/16085906.2020.1797841
Kaunda-Khangamwa, B. N., Kapwata, P., Malisita, K., Munthali, A., Chipeta, E., Phiri, S. & Manderson, L. (2020). Adolescents Living with HIV, Complex Needs and Resilience in Blantyre, Malawi. AIDS Research and Therapy, 17(1), 1-13. https://doi.org/10.1186/s12981-020-00292-1
Krause, K. D. (2020). Resilience as a Buffer Against Negative Health Sequelae in Older Gay Men Living with HIV/AIDS: Implications for Research and Practice [Doctoral Thesis]. Rutgers University. https://doi.org/10.7282/t3-c182-6557
Lagunes, R. (2017). Recomendaciones sobre los procedimientos de construcción y validación de instrumentos y escalas de medición en la psicología de la salud. Psicología y Salud, 27(1), 5-18. https://psicologiaysalud.uv.mx/index.php/psicysalud/article/view/2431
Lloret-Segura, S., Ferreres-Traver, A., Hernández-Baeza, A. y Tomás-Marco, I. (2014). El análisis factorial exploratorio de los ítems: una guía práctica, revisada y actualizada. Anales de Psicología, 30(3), 1151-1169. https://doi.org/10.6018/analesps.30.3.199361
Liboro, R. M., Bell, S., Ranuschio, B., Barnes, L., Despres, J., Sedere, A., Puno, T. & Shuper, P. A. (2021). Barriers and Facilitators to Promoting Resilience to HIV/AIDS: A Qualitative Study on the Lived Experiences of HIV-Positive, Racial and Ethnic Minority, Middle-Aged and Older Men Who Have Sex with Men from Ontario, Canada. International Journal of Environmental Research and Public Health, 18(15), e8084. https://doi.org/10.3390/ijerph18158084
Logie, C.H., James, L., Tharao, W. & Loutfy, M.R. (2011). HIV, Gender, Race, Sexual Orientation, and Sex Work: A Qualitative Study of Intersectional Stigma. Plos Medicine, 8(11), 1-12. https://journals.plos.org/plosmedicine/article?id=10.1371/journal.pmed.1001124
Logie, C. H., Lys, C. L., Okumu, M. & Fujioka, J. (2019). Exploring Factors Associated with Condom Use Self-Efficacy and Condom Use Among Northern and Indigenous Adolescent Peer Leaders in Northern Canada. Vulnerable Children and Youth Studies, 14(1), 50-62. https://doi.org/10.1080/17450128.2018.1554277
López, V. A., Troya, G. B., Varas, N. del R. y Guzmán, M. B. (2018). Algunas consideraciones sobre el VIH/SIDA. Recimundo, 2(4), 48-69. https://doi.org/10.26820/recimundo/2.(4).octubre.2018.48-69
Millard, T., McDonald, K., Elliott, J., Slavin, S., Rowell, S. & Girdler, S. (2014). Informing the Development of an Online Self-Management Program for Men Living with HIV: A Needs Assessment. BMC Public Health, 14, e1209. https://doi.org/10.1186/1471-2458-14-1209.
Montero, I. & León, O. G. (2007). A Guide for Naming Research Studies in Psychology. International Journal of Clinical and Health Psychology, 7(3), 847-862. https://www.aepc.es/ijchp/GNEIP07_es.pdf
Muldoon, A.L., Kuhns, L.M., Supple, J., Jacobson, K.C. & Garofalo, R. (2017). A Web-Based Study of Dog Ownership and Depression among People Living with HIV. JMIR Mental Health, 4(4), e8180. https://doi.org/10.2196/mental.8180
Nunnally, J. y Bernstein, I. (1995). Teoría psicométrica. Mc Graw-Hill.
ONUSIDA (2022). Hoja informativa - Últimas estadísticas sobre el estado de la epidemia de sida. https://www.unaids.org/es/resources/fact-sheet
Remien, R. H., Bauman, L. J., Mantell, J. E., Tsoi, B., Lopez-Rios, J., Chhabra, R., DiCarlo, A., Watnick, D., Rivera, A., Teitelman, N., Cutler, B. & Warne, P. (2015). Barriers and Facilitators to Engagement of Vulnerable Populations in HIV Primary Care in New York City. JAIDS Journal of Acquired Immune Deficiency Syndromes, 69, 16-24. https://doi.org/10.1097/qai.0000000000000577
Reyes-Lagunes, I. (1993). Redes semánticas para la construcción de instrumentos. Revista de Psicología Social y Personalidad, IX(1), 83 -99.
Ruiz-Román, C., Juárez Pérez-Cea, J. y Molina-Cuesta, L. (2020). Evolución y nuevas perspectivas del concepto de resiliencia: De lo individual a los contextos y relaciones socioeducativas. Educatio Siglo XXI, 38(2), 213-232. https://doi.org/10.6018/educatio.432981
Sabranski, M., Erdbeer, G., Sonntag, I., Stoehr, A., Horst, H.-A., Plettenberg, A., Lebherz, L., Stellbrink, H. J. & Hoffmann, C. (2021). Physical and Mental Health in HIV-Infected Patients with Virological Success and Long-Term Exposure to Antiretroviral Therapy. AIDS Care, 33(4), 453-461. https://doi.org/10.1080/09540121.2020.1733466
Sánchez, R., Alvarado, J., Enríquez, D. y Rosales, R. (2021). Resiliencia sexual en hombres: diferencias entre portadores y no portadores de VIH. En C. Armenta, A. Domínguez y C. Cruz (Coords.), Psicología Social Mexicana (pp.505-521). Universidad Iberoamericana.
Sauceda, J. A., Wiebe, J. S. & Simoni, J. M. (2016). Childhood Sexual Abuse and Depression in Latino Men Who Have Sex with Men: Does Resilience Protect Against Non Adherence to Antiretroviral Therapy? Journal of Health Psychology, 21(6), 1096-1106. https://doi.org/10.1177/1359105314546341
Schumacker, R. & Lomax, R. (2016). Beginner’s Guide to Structural Equation Modeling. Routledge.
Secretaría de Salud (2022). Sistema de vigilancia epidemiológica de VIH. Informe histórico de VIH 1er trimestre 2022. Dirección General de Epidemiología. https://www.gob.mx/cms/uploads/attachment/file/750178/Informe_Hist_rico_VIH_DVEET_1er_TRIMESTRE_2022_Frev.pdf
Stockman, J. K., Lucea, M. B., Cimino, A. N., Wood, B. A., Tsuyuki, K., Granger, D. A. & Campbell, J. C. (2023). Discrimination, Resilience, and HIV Testing Frequency Among Black Women Seeking Services from STD Clinics. Social Science & Medicine, 316, e115344. doi: 10.1016/j.socscimed.2022.115344.
Tan, J. Y., Campbell, C. K., Conroy, A. A., Tabrisky, A. P., Kegeles, S. & Dworkin, S. H. (2018). Couple-level Dynamics and Multilevel Challenges Among Black Men Who Have Sex with Men: A Framework of Dyadic HIV Care. AIDS Patient Care and STDs, 32(11), 459-467. https://doi.org/10.1089/apc.2018.0131
Yang, J.P., Simoni, J.M., Dorsey, S., Lin, Z., Sun, M., Bao, M., & Lu, H. (2018). Reducing Distress and Promoting Resilience: A Preliminary Trial of a CBT Skills Intervention Among Recently HIV-Diagnosed MSM in China. AIDS Care, 30(5), 39-48. https://doi.org/10.1080/09540121.2018.1497768
Cómo citar este artículo:
Conflicto de intereses
Financiamiento
Author notes
*Autor para correspondencia: Ricardo Sánchez-Medina e-mail: ricardo.sanchez@iztacala.unam.mx