Reportes de investigación
Tipos de discriminación y acoso recogidos en los códigos éticos: 2021 versus 2015
Types of discrimination and harassment included in ethical codes: 2021 versus 2015
Tipos de discriminación y acoso recogidos en los códigos éticos: 2021 versus 2015
Trascender, contabilidad y gestión, vol. 9, no. 25, pp. 18-52, 2024
Universidad de Sonora, División de Ciencias Económicas y Administrativas
Received: 05 November 2023
Accepted: 18 January 2024
Resumen:
En este estudio se comparan los tipos de acoso y discriminación recogidos en los códigos éticos de las empresas cotizadas en la Bolsa española a 2021 con 2015. Los resultados muestran que ha aumentado el porcentaje de empresas con códigos de conducta, siendo en 2021 de un 90,24% frente a un 65,89% en 2015. Esta tendencia alcista se ha observado también en todos los sectores económicos. Asimismo, en 2021 se ha observado que las empresas en los códigos éticos han incluido más tipos de acoso y discriminación que en 2015, y, con excepción de dos tipos de discriminación, el resto ha aumentado su presencia en estos documentos. El análisis por sectores, en líneas generales, se puede considerar positivo a este respecto.
JEL: J71, Discriminación.
Palabras claves: Acoso, discriminación, códigos éticos.
Abstract:
This study compares the types of harassment and discrimination included in the ethical codes of companies listed on the Spanish Stock Exchange in 2021 with 2015. The results show that the percentage of companies with codes of conduct has increased, reaching 90.24% in 2021 compared to 65.89% in 2015. This upward trend has also been observed in all economic sectors. Likewise, in 2021 it has been observed that companies have included more types of harassment and discrimination in their ethical codes than in 2015, and, except for two types of discrimination, the rest have increased their presence in these documents. The analysis by sector, in general terms, can be considered positive in this regard.
Keywords: Harassment, discrimination, ethical codes.
Introducción
En el ámbito laboral, las relaciones entre las personas no siempre se realizan de forma respetuosa, pues puede que acontezcan comportamientos discriminatorios y/o de acoso. La creciente diversidad de la fuerza de trabajo puede agudizar estas prácticas dañinas e incorrectas, dando lugar a que se produzca, por ejemplo, discriminación hacia un trabajador por su orientación sexual o religión, o por cualquier otro motivo. Por ello, las empresas deben garantizar a sus trabajadores un entorno libre de discriminaciones y acosos, a fin de que el clima de trabajo sea sano, lo cual es beneficioso para las personas que trabajan en la misma, y también para la propia compañía al dar una imagen de tolerancia cero ante tales prácticas.
Las empresas pueden elaborar un código ético o de conducta en el que recojan los comportamientos y valores éticos que desean que rijan su funcionamiento. Por lo que este documento ofrece a una compañía la oportunidad de incluir una amplia variedad de tipos de acoso y discriminación que no desea que tengan lugar en su seno.
El objetivo de este trabajo es analizar si se ha producido variación en la importancia de los tipos de acoso y discriminación que han incluido en sus códigos éticos las empresas cotizadas en el mercado continuo en la Bolsa española a 31 de diciembre de 2021, respecto a los recogidos a igual fecha de 2015.
En cuanto a la estructuración del trabajo, este se divide en cinco apartados. Tras la introducción, el segundo apartado recoge los aspectos generales de los códigos éticos de las empresas y el objetivo del presente estudio. El apartado tercero está dedicado a comentar la muestra analizada y la metodología que se ha utilizado. Los resultados obtenidos tras el análisis efectuado se incluyen en el cuarto apartado, dedicándose el último a las conclusiones.
1. Aspectos generales de los códigos éticos. Objetivo del estudio
Un paso previo a comentar los aspectos claves de los códigos éticos que las empresas elaboran de forma voluntaria ha de ser la definición de ética. Drane (2004, p. 18) afirma que la ética es “una disciplina compuesta de principios morales, normas y procedimientos para el análisis de los hechos y teorías sobre el significado y el propósito de la vida”. Por tanto, “la ética se pregunta acerca de lo bueno y lo malo, lo correcto y lo incorrecto” (p. 18). Por su parte, Rodríguez Córdoba et al. (2006, p. 27) entienden la ética como “una ciencia práctica que sigue un proceso de reflexión sobre los diferentes cursos de acción de las personas y analiza si los comportamientos de un agente determinado son buenos o malos, correctos o incorrectos”. A lo anterior, se pueden añadir las palabras de Savater (2000, p. 172), quien señala que “no hay ley de obediencia de vida en la ética. Al contrario, el único deber que existe en la ética es precisamente la capacidad de criticar, de examinar por uno mismo y de valorar aunque luego llegues a la conclusión de que efectivamente la opinión mayoritaria es la mejor, pero tienes primero que haberla valorado por ti mismo”.
En opinión de Kliksberg (2003, p. 40), lo que una sociedad “hace respecto a los valores éticos puede tener importancia decisiva en su economía”, y si cultiva buenos valores éticos obtendrá buenos resultados. Este autor señala que “la ética incide todos los días en la economía” (p. 39), por lo que debería haber una estrecha relación entre valores éticos y comportamientos económicos, y es que “la ética importa” (p. 41).
En el mundo de los negocios, la ética no es un tema nuevo, y ha ido evolucionando desde los años veinte del siglo pasado (Orozco Martínez, 2020, p. 80). El concepto de ética empresarial es definido por Verstraeten (1998, p. 112) como “una "ciencia de lo moral", una investigación de las opiniones objetivas, los valores y los patrones de comportamiento de los empresarios, directivos y empleados, así como de las consecuencias objetivas del comportamiento ético o no ético en las empresas”. Así, en ellas, la ética “debe institucionalizarse para fortalecer la integridad del carácter organizacional y mantener una cultura responsable que esté presente en todos los ámbitos de la vida empresarial y se extienda a la existencia humana” (Rodríguez Córdoba et al., 2006, p. 26). El hecho de que la ética esté presente en la actividad diaria de una empresa, no le va a perjudicar, todo lo contrario, le beneficiará, y sería deseable que las organizaciones empresariales hicieran suyas las palabras de Navarro García (2012, p. 33), quien afirma que “la ética es hoy más rentable que nunca y su ausencia, al final, pasa una factura que pagamos todos”.
En su trabajo, Orozco Martínez (2020, pp. 86-87) señala que hay una creciente preocupación por parte de las empresas de comportarse de forma más ética, debido a que no hacerlo puede provocar, entre otros, impactos negativos en su reputación y en su beneficio al final del ejercicio económico. Así, actuar éticamente se convierte para la empresa no en una opción sino en una necesidad (Muñoz-Martín, 2013, p. 78), por lo que comportarse de forma ética y responsable en su gestión diaria es la mejor manera de garantizar su supervivencia en el tiempo (p. 86).
Por ello, cada compañía debe tener un conjunto de valores éticos y conseguir que sus empleados, de cualquier nivel, “compartan esos valores y realicen su trabajo teniéndolos presente, y en el proceso de toma de decisiones consideren la ética como un criterio más, como tienen en cuenta, por ejemplo, criterios de tipo económico” (Verona-Martel y Sosa-Breyer, 2014, p. 24). Tales valores se pueden recoger en los documentos denominados códigos éticos o códigos de conducta, que representan “una de las formas de institucionalización de la ética en la empresa más común y extendida” (García-Marzá, 2004, p. 245), señalizando la preocupación de la empresa por la ética. Orozco Martínez (2020, p. 87) afirma que, al estar las empresas formadas por muchos individuos, cada uno con su conjunto de valores propio, es “de vital importancia que las empresas implementen un código de ética con la suficiente claridad y difusión”.
El código ético de una empresa es definido por Olcese et al. (2008, p. 69) como “una herramienta de gestión por la que el máximo órgano de gobierno de una empresa comunica a todos sus miembros el comportamiento que éstos han de seguir en sus relaciones con los diferentes grupos de interés de la compañía”, constituyendo así, una de las formas más habituales en las que “se explicita y aclara el patrimonio moral de una empresa” (Rodríguez y Díaz, 2004, p. 42). Asimismo, Orozco Martínez (2020, p. 94) señala que el código ético de una compañía recoge los pilares de esta, sirviéndole de “directriz tanto en los tiempos de éxito, como de crisis”. Por lo que es “una declaración sobre el compromiso de la organización ante todos sus stakeholders” (p. 94).
Este documento debe ser elaborado colectivamente por todos los miembros de la empresa (Ayuso y Garolera, 2012, p. 81; Rodríguez y Díaz, 2004, p. 43), y no debe permanecer sin renovaciones, sino que la empresa debe ir actualizándolo con los años.
Al recoger la empresa en su código de conducta los valores y comportamientos éticos que desea que rijan las actuaciones de la compañía, se está ofreciendo a los empleados una guía a seguir, que puede ayudar a que no se produzcan actos que perjudiquen a la empresa. Al mismo tiempo, el hecho de tener publicado este documento puede contribuir a mejorar la imagen de la empresa tanto ante la sociedad como ante todos los demás grupos de interés vinculados con ella. Sin embargo, aunque el código ético de una compañía es un medio que permite establecer que conductas son permitidas dentro de la empresa y cuales no, este no se puede considerar que vaya a conseguir que el 100% de los trabajadores se comporten tal cual lo establecido, pues quien quiera realmente incumplirlo lo hará. Tal como dice Lozano Aguilar (2007, p. 235), “quien quiera actuar mal seguirá haciéndolo (aunque lo tendrá más difícil) y quienes tengan un elevado compromiso ético verán reforzada su actuación”. Al existir un código ético en la empresa cualquier trabajador puede denunciar los incumplimientos de este, y la empresa puede sancionar a quien lo ha incumplido, llegando incluso a poder despedirle. En este sentido, Benatti (2020, p. 89) señala que los códigos éticos son una “expresión del poder del empresario para organizar la actividad, identificando la conducta a la que están obligados los empleados”.
Si una empresa ha tomado la decisión de tener un código ético es muy importante que lo dé a conocer a todos los empleados, de la mejor forma posible, incluso estableciendo la medida de que el trabajador en el momento de firmar el contrato con la empresa firme también que se compromete a cumplir el código de conducta de esta. Además, para que un código tenga más peso en la organización debe indicar cómo denunciar su incumplimiento.
Cada empresa elabora su código ético incluyendo todos los aspectos que considera de interés, por lo que, en principio, puede pensarse que el código de una empresa es diferente al de las demás. No obstante, coinciden en incluir determinadas cuestiones de relevancia, como, por ejemplo, el rechazo a prácticas de acoso y discriminación en su seno. Este trabajo centra su interés en esta cuestión, concretamente, en los diferentes tipos de acoso y discriminación que la empresa declara por escrito en su código ético que no están permitidas.
A este respecto existen distintas normativas en España que establecen claramente una tolerancia cero hacia la discriminación y el acoso en los centros de trabajo al prohibir estas conductas. Una normativa clave en España en el ámbito laboral es el Estatuto de los Trabajadores, el cual en el artículo 4, punto 2, apartados del c) al e) recoge que:
La igualdad entre hombres y mujeres en territorio español ha sido fuertemente apoyada con la aprobación de la Ley Orgánica 3/2007, de 22 de marzo, para la igualdad efectiva de mujeres y hombres. En el artículo 3 señala que no se permite discriminar por razón de sexo, por estado civil, por maternidad y por asunción de obligaciones familiares. En el 7.3 recoge que se considera discriminación el acoso por razón de sexo y el acoso sexual, y el 8 explicita que es discriminación por razón de sexo el trato desfavorable a la mujer que esté relacionado con el embarazo o la maternidad.
El Código Penal español, por su parte, considera delitos dos tipos de acoso ampliamente demostrados que ocurren en el mercado laboral actual, como son el acoso sexual y el mobbing. El primero está recogido en el artículo 184, mientras que el segundo lo está en el artículo 173.1.
España, como país democrático, cuenta con una Constitución Española (1978), en la cual también se señalan tipos de discriminaciones que no se permiten. Así, el artículo 14 recoge que: “Los españoles son iguales ante la ley, sin que pueda prevalecer discriminación alguna por razón de nacimiento, raza, sexo, religión, opinión o cualquier otra condición o circunstancia personal o social”. A este hay que añadir el artículo 15 que señala el derecho a la integridad física y moral, el 16 que garantiza la libertad ideológica, y el 28 que reconoce el derecho a la afiliación sindical.
Objetivo del estudio
El presente trabajo persigue el siguiente objetivo:
Analizar si se ha producido variación en la importancia de los distintos tipos de discriminación y acoso recogidos en los códigos éticos de las empresas cotizadas en la Bolsa española en el mercado continuo a 31-12-2021 respecto a la situación existente a 31-12-2015.
Este estudio es de interés porque permite conocer a una fecha bastante actual, 31 de diciembre de 2021, qué tipos de acoso y discriminación declaran las empresas cotizadas en sus códigos éticos que no están dispuestas a permitir, y además esa información se compara con la situación que existía a último día de 2015, lo que posibilita determinar cómo ha evolucionado la importancia otorgada por las compañías a los diferentes tipos de acoso y discriminación laboral, lo cual envía una señal de las prácticas en este tema que las firmas consideran más y menos relevantes.
2. Muestra objeto de estudio y metodología utilizada
2.1. Muestra objeto de estudio
En el presente trabajo la muestra objeto de estudio está compuesta por las empresas que cotizaban en la Bolsa española en el mercado continuo a 31 de diciembre de 2015 y 2021, siendo 129 en 2015, y 123 en 2021. Se han elegido las empresas cotizadas en Bolsa en el mercado continuo porque son de las que se dispone de más información, al ser el requisito de transparencia uno de los exigidos para cotizar.
2.2. Metodología utilizada
Para el año 2021, se ha obtenido de la Bolsa de Madrid las empresas que cotizaban en el mercado continuo. Posteriormente, se ha acudido a la página web oficial de cada empresa para conseguir su código ético. Tras realizar esta búsqueda, se ha pasado a analizarlos a fin de conocer los aspectos más destacados de los mismos (nombre del documento, número de páginas…), así como los diferentes tipos de acoso y discriminación que aparecían recogidos en estos códigos. En cuanto al año 2015, la mayoría de la información pertinente se encuentra recogida en el artículo de Verona Martel y De León Santana (2018), por lo que se ha acudido al mismo. La que no se recogía en él y era necesaria para este trabajo, ha sido facilitada por la autora común en ambos trabajos. Asimismo, se ha considerado que una empresa tiene código ético cuando está visible para el público en general, coincidiendo con lo señalado por García Sánchez et al. (2008, p. 106), y Verona Martel y De León Santana (2018, p. 6).
En los códigos éticos se suelen utilizar, con frecuencia, los términos acoso y discriminación como sinónimos, pero en este trabajo se reserva el primero solo para el acoso físico, sexual y psicológico en el trabajo (mobbing), y el segundo para el resto de los casos, tales como, la discriminación por género/sexo, por religión… Asimismo, solo se considera que un determinado tipo de acoso o de discriminación se recoge en un código ético cuando así se indica expresamente. Ambas reglas se han seguido también en el trabajo de Verona Martel y De León Santana (2018, p. 7).
3. Resultados obtenidos
A 31 de diciembre de 2021, las empresas que cotizaban en la Bolsa española en el mercado continuo eran 123, de las cuales 111 poseían código ético, mientras que a 31 de diciembre de 2015 cotizaban 129 empresas contando con código de conducta 85 de ellas. Por tanto, el porcentaje de empresas cotizadas que cuentan con este este documento se ha movido al alza, pues ha pasado de un 65,89% en 2015 a un 90,24% en 2021. Lo cual pone de manifiesto que se ha producido un incremento relevante con respecto a la importancia que las empresas cotizadas otorgan a este documento, ya no solo por el claro aumento producido en el porcentaje de compañías que cuentan con códigos éticos, sino porque se ha podido observar que algunas de ellas han dado el paso de hacer visible para el público en general el código que tenían no visible, permitiendo así que cualquier persona pueda conocer el contenido del documento en el que recogen las normas éticas que quieren que rijan a la organización, lo que contribuye a mejorar su imagen, así como a diferenciarse de aquellas empresas que no lo poseen.
La clasificación de las empresas con y sin código ético en función del sector de actividad al que pertenecen permite conocer si en todos los sectores las empresas tienen la misma inclinación a tener un código ético, y, además, al hacer la comparación de 2021 con 2015 se puede observar cómo ha sido la tendencia seguida. El cuadro 1 recoge esta información para 2021 y 2015, siendo agrupadas las empresas cotizadas en base a la clasificación sectorial que estuvo en vigor en la Bolsa de Madrid hasta el 31-12-2018.

En el año 2021, como muestra el cuadro 1, hay dos sectores en el que todas las empresas tienen código ético, que son Petróleo y Energía, y Tecnología y Telecomunicaciones. Del resto de sectores destaca, por un lado, el de Bienes de Consumo al tener el 91,30% de las empresas con dicho documento. Y, por otro lado, el sector Servicios de Consumo al ser el que cuenta con un menor porcentaje de compañías con código de conducta, aunque su porcentaje se puede considerar alto, pues es un 83,33%. Los otros dos sectores restantes (Materiales Básicos, Industria y Construcción, y Servicios Financieros e Inmobiliarios), toman valores cercanos al 90%, concretamente, un 88,57% el primero y un 89,29% el segundo.
Al comparar estos resultados del 2021 con los pertenecientes al 2015, se observa que en todos los sectores se ha incrementado el porcentaje de empresas que cuentan con código ético, con lo cual parece que las empresas con independencia del sector económico al que pertenecen consideran que poseer este documento es relevante.
En 2015 destacaban por ser los de más alto porcentaje los sectores, Petróleo y Energía y Tecnología y Telecomunicaciones, con un 90,91%, y un 87,50%, respectivamente, que suben hasta el 100% en 2021, y siguen ocupando los primeros puestos. El sector Bienes de Consumo era en 2015 el que tenía un menor porcentaje de compañías que poseían código ético, concretamente un 51,72% de las empresas englobadas en él contaban con este documento. Pero en el año 2021, pasa a ser el tercer sector con más empresas con código de conducta, subiendo hasta un 91,30%, lo que parece indicar la elevada importancia que las firmas del sector están otorgando al hecho de tener publicado y visible para el público en general un código de conducta. El segundo sector que en 2015 tenía un porcentaje más bajo era el de Servicios de Consumo, que experimenta un crecimiento significativo para el 2021 pasando de un 61,11% a un 83,33%, pero que no es suficiente para salir del grupo de sectores con menor nivel de empresas en posesión de un código ético.
En cuanto a los sectores Materiales Básicos, Industria y Construcción, y Servicios Financieros e Inmobiliarios, el segundo ocupaba en 2015 el cuarto puesto dentro de los sectores que tenían un mayor porcentaje de compañías con código de conducta y en 2021 sigue en el mismo, pero con un porcentaje mayor (de un 63,33% sube a un 89,29%). En cambio, el sector Materiales Básicos, Industria y Construcción estaba bien posicionado en 2015 ocupando el tercer puesto, pero a pesar de que el porcentaje de empresas en este sector con código ético ha aumentado en 2021 (de un 69,70% se eleva a un 88,57%), no lo ha hecho en un número suficiente, y ha pasado a ocupar el penúltimo puesto dentro del total de los seis sectores económicos considerados.
3.1. Características generales de los códigos éticos a 31-12-2021
En este apartado se comentan las características principales de los códigos de conducta de las empresas cotizadas en la Bolsa española en el mercado continuo a 2021, ofreciéndose así información actual, no haciéndose comparación con 2015. El análisis se centra en los siguientes aspectos: a) el nombre dado a este documento por las distintas empresas; b) el número de páginas de que consta; c) la mención en el código a cómo hacer la denuncia de su incumplimiento y el detalle del canal de denuncias; y, d) las renovaciones realizadas del código.
En el cuadro 2 se indican los nombres con los cuales las empresas designan el documento en el que recogen los valores éticos que quieren que rijan el comportamiento de la compañía. Los nombres más utilizados son código de conducta y código ético, con un peso de un 42,34% el primero y un 34,24% el segundo. El tercer lugar, con un porcentaje de un 16,22%, lo ocupa una denominación que utiliza ambas palabras: conducta y ético, resultando la expresión: código ético y de conducta. Con un porcentaje mucho menor, un 1,80%, hay dos empresas que también utilizan ambas palabras para referirse a este documento, resultando el nombre: código de conducta ética. Además de los nombres anteriores se han encontrado otras seis denominaciones, las cuales están compuestas por las palabras código de conducta o código ético, y un complemento, como, por ejemplo, “y buenas prácticas”, o “y prácticas responsables”. Asimismo, se ha de destacar el caso de una empresa que no utiliza ninguna de las expresiones anteriores, sino que otorga un nombre totalmente personal para este documento, denominándolo: “Los absolutos de (empresa X)”.

Al principio de este trabajo se indica que se va a utilizar indistintamente las denominaciones código de conducta y código ético, y tal como se ha podido comprobar son los nombres más utilizados por las empresas para referirse al documento que se analiza en este estudio.
La información relativa al número de páginas que contiene el código ético de una empresa es de interés conocerla, pues un código con muy pocas páginas no podrá ser muy detallado. El número de páginas promedio que contienen los códigos éticos de las empresas cotizadas en la Bolsa española a 31-12-2021 es de 21,53 páginas, siendo la cifra menor igual a siete páginas y la mayor de 64.
Por otro lado, otra cuestión relevante cuando una empresa posee un código ético es que debe dar a conocer con claridad la forma en que se pueden denunciar los incumplimientos de este. Para ello, las empresas deben establecer un protocolo concreto y específico que se ha de seguir cuando se quiere poner una denuncia, el cual se suele denominar canal de denuncias o canal ético; información que debería incluirse en el propio código ético.
De las 111 empresas que poseen código de conducta a 31-12-2021, son 109 (98,20%) las que incluyen en el propio código la forma de denunciar cuando este no se cumpla, siendo 105 (94,59%) las que poseen un canal ético o de denuncias para ello, que se menciona y explica en el mismo código. Por tanto, se observa que las empresas se inclinan claramente por incluir en su código la información relativa a la forma de denunciar y a su canal de denuncias. Las dos empresas que no indican en su código como denunciar, sí lo hacen en su página web oficial y tienen un canal de denuncias creado para ello. De las seis que no tienen explicado su canal de denuncias en su código ético, dos lo explican en la web oficial, como se ha indicado, y otra también explica en la web oficial cómo se puede denunciar, pero no tiene creada la figura de un canal ético como tal; las tres restantes indican en su código ético que tienen un canal de denuncias, pero no lo explican ni dentro ni fuera de él1.
Centrando el análisis en las 105 empresas que sí comentan con detalle su canal de denuncias en el código de conducta, se ha podido observar que 45 (42,86%) de ellas indican expresamente una dirección de correo electrónico a la que se ha de enviar la denuncia. De estas, un total de 30 (66,67%) complementan el uso del email con otras formas, siendo estos otros medios, principalmente, el correo postal, el teléfono, la intranet corporativa y la utilización de un cuestionario que tienen habilitado en su página web oficial. En cuanto a las 60 empresas (57,14%) que no indican un correo electrónico para hacer la denuncia, los métodos que más se señalan que ha de utilizar el denunciante son los indicados anteriormente para complementar el uso del correo electrónico.
En general, es frecuente que las empresas indiquen como mínimo dos formas que se pueden utilizar cuando se quiere presentar una denuncia. Se ha de mencionar especialmente que, entre los medios señalados para denunciar se indique, con frecuencia, el tradicional correo postal, aunque si bien, cuando se cita también se ofrecen otras formas, normalmente, electrónicas. Con el fin de averiguar el uso de estas últimas, se ha hecho un análisis más profundo de los medios que se pueden utilizar para denunciar, obteniéndose los siguientes resultados: a) 15 empresas solo utilizan el correo electrónico; b) de las 30 empresas que usan además del correo electrónico otros medios para atender las denuncias, estos son electrónicos en 15 de ellas; y, c) de las 60 que no utilizan el correo electrónico, 38 han elegido otros medios electrónicos. Por tanto, un total de 83 empresas de las 105, es decir, el 79,05%, utilizan algún mecanismo electrónico para que se pueda presentar la denuncia. El resto utiliza formas tales como dirigirse personalmente o en ocasiones por escrito, a un superior jerárquico, al departamento de recursos humanos, a la unidad de cumplimiento y a la asesoría jurídica.
También, es de interés conocer si las empresas permiten que las denuncias se presenten de forma anónima, u obligan a que sean nominativas teniéndose que indicar los datos de identificación del denunciante, o bien, son flexibles en este punto y admiten ambas. De las 105 empresas que explican su canal de denuncias en su código de conducta, un 71,43% exigen que sean nominativas, un 9,52% permiten que sean anónimas, y un 19,05% aceptan ambas opciones. Si bien, en estos dos últimos casos, aunque se permiten que las denuncias puedan ser anónimas, las empresas indican que prefieren que sean nominativas. Hay que puntualizar que en los códigos éticos se indica que en todos aquellos casos en los que se aporten los datos del denunciante se garantizará la confidencialidad de esta información.
Ante estos resultados se puede afirmar que las empresas otorgan una especial importancia a que los denunciantes aporten su identidad al realizar una denuncia. El motivo de ello quizás sea el evitar que se realicen denuncias por motivos que no son relevantes o incluso falsos, con lo cual se podría producir una saturación del sistema con denuncias sin fundamento, y al disponer de los datos del denunciante se puede sancionar a las personas que lleven a cabo estas acciones.
En cuanto a las seis empresas que no explican su canal de denuncias en su código ético, se conoce información acerca de la forma de denunciar de tres de ellas, utilizando dos de estas medios electrónicos, pero no la tercera. En cuanto a si es necesario que se identifique la persona que hace la denuncia, una de ellas exige la denuncia nominativa y la otra admite ambas formas, no teniéndose información de la tercera. Por tanto, se puede considerar que, en general, siguen la misma línea que las empresas que explican su canal de denuncias dentro de su código ético.
A continuación, se procede a comentar el último aspecto que se ha indicado al comienzo del apartado, que es el que hace referencia a las renovaciones realizadas en los códigos éticos. Tales documentos deben ser dinámicos, no estáticos, por lo que han de ser renovados con el paso del tiempo, para que así recojan en cada momento los valores éticos que la empresa quiere que imperen en su seno. Además, el hecho de que una empresa renueve su código de conducta puede ser interpretado como una señal de que la organización se preocupa por la ética corporativa, introduciendo modificaciones cada cierto tiempo en el documento que recoge sus valores en este sentido.
Se ha de tener presente que con el paso de los años el mundo va evolucionando y se les da voz a temas que en años anteriores ni se nombraban, lo que da lugar a que se produzcan cambios e incluso se aprueben nuevas normativas o se amplíen las actuales, ejemplos de ello son la ley aprobada en España que lucha contra la desigualdad de género tanto dentro como fuera del mercado laboral, y el artículo del Código Penal español que reconoce el mobbing como delito. Por ello, es importante que las empresas a medida que se producen estos avances realicen renovaciones en sus códigos éticos en un intento de estar lo más actualizadas posible en lo que se refiere a todos los nuevos temas que van cobrando protagonismo.
Centrando el análisis en los 111 códigos éticos correspondientes a las empresas cotizadas a 31-12-2021, se ha de señalar que 69 (62,16%) han experimentado una primera renovación, 39 (35,14%) una segunda, siendo menor el número de códigos que han sido renovados una tercera vez ya que es tan solo de catorce (12,61%), menor aún son aquellos que han experimentado una cuarta renovación pues son tres (2,70%).
Las empresas que no han realizado ninguna renovación en su código son, principalmente, las que publicaron este documento en 2015 o en años posteriores; apuntar que las que poseen este código desde 2020 son ocho empresas, mientras que en 2021 lo publicaron siete, con lo cual el número total de empresas sin renovación en su código, si se excluyen estas 15 al considerar que a fecha de 31-12-2021 les hubiese sido difícil realizar una modificación, se reduce a 27 que supone un 24,32% del total de empresas con este documento. En cuanto, a las que han realizado solo una renovación se ha de señalar que algunas tienen código desde 2003, pero otras lo publicaron en 2013 o posteriormente. Las que han hecho dos o más renovaciones son, fundamentalmente, las que tienen código desde el 2003 en adelante.
El hecho de que, de 111 empresas con código, un 24,32% (si se hace la matización anteriormente mencionada), no hayan realizado al menos una renovación no es un dato muy favorable, aunque se puede considerar que peor es la situación de aquellas compañías que todavía no cuentan con este documento.
3.2. Resultados obtenidos del análisis comparativo de los tipos de acoso y discriminación recogidos en los códigos éticos en 2015 y 2021
En este apartado se recogen los resultados obtenidos en relación con los tipos de acoso y discriminación incluidos por las empresas cotizadas en la Bolsa española en el mercado continuo a 31 de diciembre de 2021 en sus respectivos códigos éticos, a la vez que se procede a realizar una comparación con los que se incluían en dichos documentos a último día de 2015.
El cuadro 3 contiene los tipos de acoso y discriminación que las empresas cotizadas en la Bolsa española, a último día de 2021 y 2015, han recogido en sus códigos éticos con la indicación de que no se permiten en la organización, añadiéndose además la importancia que cada uno de ellos tiene en la muestra total y la tasa de variación que han experimentado.

A fecha de 2021, hacían referencia al tema del acoso y la discriminación el 99,10% de los códigos de conducta, especificando los tipos que se rechazaban el 92,79% de ellos, y en conjunto mencionaban 23 tipos diferentes de acoso y discriminación. Si se comparan estos porcentajes con los del 2015, la situación ha mejorado, pues en dicho año, aunque el 95,29% de los códigos hacían referencia a este tema, el porcentaje de los que presentaban detalle era de un 84,71%, siendo menor también el número de prácticas discriminatorias y de acoso que señalaban que estaban prohibidas, pues eran 17.
Las empresas al recoger en sus códigos éticos los tipos de acoso y discriminación que no toleran, se refieren al comportamiento de los empleados entre sí, aunque algunas de ellas lo hacen extensivo al comportamiento de los empleados con el exterior, por ejemplo, con los clientes.
Se puede observar en el cuadro 3 que, a excepción del rechazo a la discriminación por afiliación sindical y por idioma, el resto de los tipos de discriminación y acoso ha aumentado su porcentaje de presencia en 2021 con relación a 2015. Así, por ejemplo, aquellos que poseían un porcentaje igual o mayor a un 40% en 2015 tienen un peso superior al 54% en 2021; es más, en 2015 solo cuatro de ellos tenían un porcentaje superior al 61%, y en 2021 son diez. No obstante, no todos han incrementado su presencia por igual.
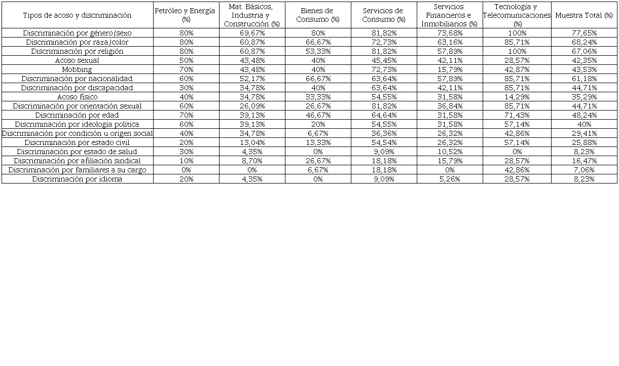
Los tres tipos de discriminación que están más presentes en los códigos éticos, tanto en 2015 como en 2021, son en primer lugar, el rechazo a la discriminación por género/sexo, seguidos por los que hacen referencia a la raza/color y a la religión. En 2021, el primero está presente en el 84,68% de los códigos, mientras que los otros dos lo están en el 81,08%. En 2015, sus porcentajes eran inferiores, 77,65%, 68,24%, y 67,06%, respectivamente. Hay que apuntar, no obstante, que estos tipos de discriminación, junto al rechazo a la discriminación por nacionalidad, son los que experimentan un menor crecimiento de 2015 a 2021. Al estar en los puntos altos del ranking, su tasa de incremento no puede ser tan elevada como los que ocupan puestos bajos, pero existe la posibilidad de que hubiesen crecido más que lo que lo han hecho.
En las décadas más recientes se ha producido un relevante movimiento de reivindicación en aras a conseguir la igualdad entre hombres y mujeres, habiéndose aprobado incluso leyes al respecto, y esto puede haber impulsado a un porcentaje elevado de empresas a incluir en su código ético que este tipo de discriminación no se permita, lo que puede explicar que ya en 2015 fuera el tipo de discriminación más recogido en los códigos, y siga siéndolo en 2021. Aunque, se ha de mencionar que es el segundo tipo que experimenta una menor subida de 2015 a 2021, siendo esta de solo un 9,05%.
El rechazo a prácticas de acoso sexual y acoso psicológico en el trabajo (mobbing) son dos de los cuatro tipos que han experimentado un mayor incremento en 2021 respecto a 2015. Ambos tipos de acoso son recogidos como delito en el Código Penal español, y han cobrado gran importancia en los últimos años con la denuncia de numerosos casos. Tal vez por ello, haya aumentado el porcentaje de empresas que han decidido incluirlos en sus códigos éticos. El rechazo al acoso sexual en 2015 se recogía solo en el 42,35% de los códigos de conducta, y en 2021 el porcentaje sube a un 76,58%, un incremento de un 80,83%. En cuanto a la no tolerancia de prácticas de mobbing, en 2021 aparece en el 71,17% de los códigos, y en 2015 lo hacía en el 43,53% de ellos, con lo cual ha experimentado una subida de un 63,50%; es menor que la del rechazo al acoso sexual, pero sigue siendo destacable. Otro tipo de acoso recogido en los códigos es el rechazo al acoso físico, que ha experimentado un mayor crecimiento de 2015 a 2021 que los dos tipos de acoso anteriores, pues lo ha hecho en un 86,37%. En 2015, el rechazo al acoso físico estaba presente tan solo en el 35,29% de estos documentos, mientras que en 2021 el porcentaje se eleva a un 65,77%.
La comunidad LGTB+ en los años más recientes ha intensificado sus demandas de igualdad de derechos. Tal vez esto ha dado lugar a que el porcentaje de empresas que han decidido incluir en su código de conducta el rechazo a la discriminación por orientación sexual haya subido, dando lugar a que el rechazo a este tipo de discriminación pase de tener una presencia de un 44,71% en 2015 a un 65,77% en 2021, con una tasa de variación de un 47,10%.
Otro tema relevante en los últimos años es el relativo a que las personas que sufren una discapacidad no sean discriminadas en el mundo laboral. Con los resultados mostrados en el cuadro 3, cuadroque las empresas lo han tenido en cuenta, incrementándose el porcentaje de ellas que han tomado la decisión de que forme parte de su código ético que no se puede discriminar a una persona por su discapacidad. Este ítem aparece con un peso de un 65,77% a fecha de 2021, con un incremento de un 47,10% respecto a 2015.
En un país con un sistema democrático, son derechos fundamentales de los ciudadanos la libertad de ideología política y afiliación sindical. Sin embargo, cuando se observan en los códigos de conducta la frecuencia con la que se recoge el rechazo a la discriminación por ambas cuestiones, tanto en 2015 como en 2021, no se les otorga la importancia que se debería. En 2015, el 40% de los códigos rechazaban discriminar por ideas políticas, pero en 2021 la situación mejora al estar presente en el 54,05% de ellos, con una subida de un 35,13%. La situación no es tan positiva para el rechazo a discriminar por afiliación sindical, pues en 2015 el 16,47% de los códigos indicaban que no se podía discriminar por ello, pero en 2021 dicho porcentaje desciende hasta un 13,51%, una caída de un 17,97%.
En cuanto a los tipos de discriminación que tienen menor presencia en los códigos éticos, se va a considerar como tales los que en 2015 tienen un peso inferior a un 29,41% que su equivalente en 2021 son aquellos cuyo porcentaje es inferior al 44,15%, lo que ya ofrece una imagen de lo que han aumentado los porcentajes de presencia de los tipos de acoso y discriminación desde el año 2015 a 2021. A este respecto, hay que señalar primeramente que los tipos que estaban en este grupo en 2015 lo siguen estando en 2021, pero con mayores porcentajes, excepto el rechazo a la discriminación por afiliación sindical, comentada anteriormente, y por motivos de idioma, la cual pasa de tener una presencia de un 8,23% en 2015 a un 5,41% en 2021, lo que supone un descenso de un 34,26%.
A este grupo de los menos representados se unen seis nuevos tipos de discriminación detectados en los códigos en 2021, que son el rechazo a la discriminación por etnia (25,23%), por posición económica (4,50%), por identidad de género (4,50%), por embarazo (1,80%), por apariencia física (1,80%), y por aptitudes y cualidades (0,90%). A excepción del primero, el resto tiene los porcentajes más bajos del conjunto de tipos de discriminación y acoso recogidos en los códigos éticos, por lo que, de momento, se puede decir que algunas empresas los consideran tan importantes como para incluirlos en sus códigos de conducta, y que quizás en un futuro se incremente su relevancia en este documento.
De los tipos de discriminación que ya figuraban en los códigos éticos en 2015 y, que están incluidos en el grupo de los que ostentan menor peso, hay que destacar la subida que experimentan tres de ellos. En primer lugar, el no permitir discriminar por estado de salud que en 2021 llega a tomar un porcentaje de un 16,22%, cuando en 2015 era tan solo de un 8,23%, siendo el tipo de discriminación que más se incrementa, pues lo hace en un 97,08%. En segundo lugar, el rechazo a la discriminación por condición u origen social, que pasa de un 29,41% en 2015 a un 44,14% en 2021, con un aumento de un 50,09%. Y, en tercer lugar, el rechazo a discriminar por estado civil, que en 2015 estaba presente en el 25,88% de los códigos, y en 2021 lo está en el 35,14% de ellos, por lo que tiene una subida de un 35,78%.
Anteriormente, se ha comentado la normativa española en la que se recogen los tipos de acoso y discriminación que no están permitidos en territorio español. Atendiendo a lo expuesto en el Estatuto de los Trabajadores, se puede decir que los códigos éticos a 31- 12-2021 recogen todos los tipos señalados, y con un porcentaje superior al 25,22%, excepto en lo que se refiere a la discriminación por afiliación sindical (13,51%), y por idioma (5,41%).
La Ley Orgánica 3/2007, de 22 de marzo, para la igualdad efectiva de mujeres y hombres, no solo hace mención de que no exista discriminación por sexo, sino también por embarazo, por maternidad, por obligaciones familiares y estado civil. En los códigos éticos a 31-12- 2021 se mencionan todas menos la de maternidad, aunque esta podría estar incluida en la referida a tener familiares a su cargo. Hay que apuntar también que, si bien el rechazo a discriminar por género/sexo es la más recogida en los códigos de conducta, el resto ocupa puestos bajos en el ranking de los tipos de discriminación recogidos en ellos.
En relación con lo comentado por la Constitución Española sobre el tema tratado, el artículo 14 no es fácil de acotar pues indica: “Los españoles son iguales ante la ley, sin que pueda prevalecer discriminación alguna por […] opinión o cualquier otra condición o circunstancia personal o social”. En este artículo también hace referencia a que no se puede discriminar por razón de nacimiento, raza, sexo y religión, y esto si está recogido en los códigos éticos a fecha de 2021, y con porcentajes superiores a un 66,66%. Lo establecido en el artículo 15 y 16 relativo al derecho a la integridad física y moral, y a la libertad ideológica, y lo indicado en el artículo 28 respecto al derecho a la afiliación sindical, también se recoge en los códigos éticos a fecha de 2021, y con porcentajes superiores al 50%, con excepción de la libertad de sindicación, cuyo peso en los códigos éticos es de un 13,51%, y además es uno de los dos únicos tipos de discriminación que disminuye en relación con 2015.
Tras lo expuesto en relación con los tipos de acoso y discriminación que se recogen en los códigos éticos a fecha de 31-12-2021, los mismos se pueden considerar documentos mucho más completos que a igual fecha de 2015, y además más favorables para los trabajadores de estas empresas, al contar con códigos de conducta en los que se han puesto por escrito un mayor número de tipos de acoso y discriminación que se rechazan en la organización.
A continuación, se analiza la evolución experimentada en la importancia de los diferentes tipos de acoso y discriminación clasificados por sectores de actividad, recogiéndose en el cuadro 4 la información referida a 31-12-2021, y en el cuadro 5 la correspondiente al último día de 2015. La cual es completada con los seis cuadros que se recogen en el anexo, en los que se ha explicitado la tasa de variación de 2021 a 2015 para cada tipo de acoso y discriminación, por sectores económicos.


Comenzando con el sector Petróleo y Energía, se observa que en 2021 presenta mayor peso para todos los tipos de acoso y discriminación recogidos en 2015, excepto para tres de ellos en los que se produce un descenso, siendo estos el rechazo a la discriminación por condición u origen social, estado de salud e idioma. El primero de los citados tiene una tasa de variación de un - 16,68%, el segundo presenta una tasa más elevada, pues toma un valor de -72,23%, mientras el relativo al idioma desaparece de los códigos éticos de las empresas del sector (cuadro A1, ver anexo).
En 2021 se añaden dos nuevos tipos de discriminación que se rechazan, que son por motivos de etnia, cuyo peso es de un 41,67%, y por tener familiares a su cargo con una presencia de un 8,33%, siendo el único sector de los seis que ha incluido solo dos tipos nuevos, pues el resto de los sectores ha incluido más de dos, aunque ninguno ha incorporado todos los nuevos.
En el año 2021, tres tipos pasan a estar recogidos en todos los códigos de este sector, lo que no ocurría en 2015; estos son el rechazo a la discriminación por género/sexo, raza/color y religión. En cuanto al tipo que ha experimentado un mayor crecimiento, es el rechazo a la discriminación por discapacidad, con una tasa de variación de un 177,77%, pasando de pertenecer al grupo con menor peso en 2015, pues tenía un 30%, a colocarse en el que ostentan un porcentaje superior al 83,30%.
Si se comparan los resultados del sector en 2015 con la muestra total de ese año, se comprueba que tiene menores porcentajes para cinco tipos (de un total de 17), y, concretamente, para el rechazo a la discriminación por tener familiares a su cargo toma un valor de 0%, sin embargo, otorga mayores porcentajes para todos los demás. La situación en el sector en 2021 en comparación con la muestra total de ese año da resultados más negativos que los anteriores, ya que el sector está por debajo de los porcentajes de la muestra total en nueve tipos (en seis con un peso de 0%), de un total de 23.
Anteriormente, se ha apuntado que, en el caso de la muestra total, la comparación de 2021 con 2015 indica que solo se produce una tendencia descendente en dos tipos, que son los relativos al rechazo a discriminar por afiliación sindical y por idioma. A este respecto, hay que señalar que el sector Petróleo y Energía en 2021, coincide en la tendencia descendente de la muestra total para el segundo, pero no para el primero, y otorga al rechazo a la discriminación por afiliación sindical un mayor peso que en la muestra total en ese año (16,67% frente a un 13,51%).
El sector Materiales Básicos, Industria y Construcción presenta en 2021 mayores pesos para todos los tipos de acoso y discriminación recogidos a 2015, aunque ninguno de ellos esté presente en todos los códigos éticos de las empresas englobadas en el sector. Este es el único sector en el que todos los tipos presentan una tasa de variación positiva. Además, ha incorporado tres tipos nuevos, a saber, el rechazo a la discriminación por etnia (29,03%), por tener familiares a su cargo (6,45%), y por identidad de género (3,23%). El tipo que más ha incrementado su peso es el rechazo a la discriminación por idioma, con una tasa de variación de un 196,55% (cuadro A2, ver anexo), aunque sigue estando, al igual que en 2015, dentro del bloque de tipos con menos importancia en este sector, pues en 2015 su peso era de 4,35%, pasando en 2021 a un 12,90%.
Al comparar los datos del sector en 2015 con la muestra total en ese año, los resultados son desfavorables porque el sector tiene valores menores para todos los tipos excepto para dos, que son el rechazo a prácticas de acoso sexual y de discriminación por condición u origen social, con lo cual está por debajo en los restantes quince. En 2021, la comparación con la muestra total del año deja como resultado que el sector está por encima solo en cinco tipos (por debajo en 18), que no coinciden con los señalados para 2015.
En cuanto a los dos tipos que bajan sus porcentajes en la muestra total en 2021 al compararse con 2015, a saber, el rechazo a discriminar por afiliación sindical y por idioma, el sector Materiales Básicos, Industria y Construcción presenta tendencia ascendente para los dos, pero solo para el rechazo por motivos de idioma otorga mayor peso que la muestra total (12,90% frente a un 5,41%).
Pasando al sector Bienes de Consumo, en el año 2021 para todos los tipos de acoso y discriminación recogidos en 2015 se presentan valores superiores, excepto en tres, que son, por un lado, la no discriminación por afiliación sindical y por tener familiares a su cargo en los que el peso desciende, pero en cuanto a no permitir prácticas discriminatorias por idioma se mantiene igual (en 0%). En el primero, la tasa de variación es de un -46,42%, mientras que en el segundo es de -28,64% (cuadro A3, ver anexo).
En este sector a fecha de 2021 no hay ningún tipo que aparezca en todos los códigos éticos. Además, se han incluido cuatro tipos nuevos, no discriminación por etnia con un peso de un 28,57%, por estado de salud que ostenta una importancia de un 23,81%, y con un porcentaje de un 4,76% la no discriminación por posición económica y por identidad de género. En cuanto al tipo que ha tenido un mayor incremento, ha sido el no permitir discriminar por condición u origen social con una tasa de variación de un 756,67%, pasando de un 6,67% en 2015 a un 57,14% en 2021.
La comparación con los datos de la muestra total a 2015, indica que este sector está por debajo en 14 tipos, y solo por encima en 3. En cambio, en el año 2021, haciendo la comparación con la muestra total de ese año se observa que el sector ha dado a 18 tipos más peso que los que tienen en la muestra total, y en cinco se coloca con valores inferiores.
Respecto a los tipos en los que la muestra total presenta tendencia descendente de 2015 a 2021, la no discriminación por afiliación sindical y por idioma, el sector Bienes de Consumo también tiene un movimiento a la baja para el primero, pero se queda con un valor superior al de la muestra total (14,29% frente a un 13,51%).
En cuanto al sector Servicios de Consumo, se observa que, para los tipos incluidos en 2015, el año 2021 ostenta menores pesos para 11 de ellos, y además desaparece de los códigos éticos el rechazo a la discriminación por afiliación sindical y por idioma. De los seis sectores, es el que ha experimentado una mayor disminución, lo que significa que se ha producido un descenso preocupante en la importancia otorgada por este sector al tema relacionado con el acoso y la discriminación en sus códigos éticos.
En este sector, ninguno de los tipos alcanza un peso del 100%, aunque suben 12 tipos, siendo la mayor subida para el referido al rechazo al acoso sexual, con una tasa de variación del 76,02%, pasando de un 45,45% a un 80% (cuadro A4, ver anexo).
En cuanto a los tipos nuevos que se incorporan en 2021 son: el rechazo a la discriminación por etnia que toma un valor de 13,33%, por identidad de género con igual peso (13,33%), mientras que por motivos de embarazo y apariencia física tienen un peso cada uno de un 6,67%.
Comparando los resultados del sector en 2015 con los de la muestra total en ese año, este ostenta en todos los tipos un mayor peso. En cambio, en 2021, la comparación con la muestra total del año indica una situación muy diferente, ya que el sector presenta menor peso para 14 tipos, siendo superior el porcentaje solo en nueve.
En el sector Servicios Financieros e Inmobiliarios, en el año 2021 para los tipos que estaban recogidos en los códigos éticos de las empresas de este sector a 2015, se observa que el peso ha mejorado para todos los tipos, excepto para dos que son el rechazo a la discriminación por nacionalidad y por idioma, desapareciendo este último de los códigos éticos de las empresas del sector. Hay que señalar también que ninguno de los tipos consigue un peso del 100%, siendo el rechazo al acoso psicológico en el trabajo o mobbing el que presenta una mayor tasa de variación positiva, concretamente, un 279,99%, pasando de estar en 2015 en un 15,79%, a un 60% en 2021 (cuadro A5, ver anexo). Los nuevos tipos que se incluyen en los códigos éticos en 2021 en este sector se elevan a cinco, que son el rechazo a la discriminación por etnia (16%), por posición económica (12%), y tres que ostentan el mismo peso (4%), que son los referidos a tener familiares a su cargo, embarazo y apariencia física.
Al comparar los valores del sector en 2015 con la muestra total de este año, se observa que el sector solo da mayor importancia que la muestra total a dos tipos de discriminación que son los relativos al rechazo a discriminar por estado civil y estado de salud; en los 15 tipos restantes presenta valores inferiores. La situación de la comparativa del sector en 2021 con la muestra total en ese año sigue siendo desfavorable, presentando menores valores el sector en 18 tipos, y solo mayores en cinco.
Respecto a los dos únicos tipos de discriminación que presentan tendencia descendente en la comparación de la muestra general 2021-2015, rechazo a discriminar por afiliación sindical y por idioma, el sector Servicios Financieros e Inmobiliarios tiene la misma tendencia bajista solo para la no discriminación por idioma, pero con un resultado peor que el que presenta en la muestra total, pues como se ha indicado anteriormente, el rechazo a este tipo de discriminación en el sector toma un valor de 0%.
En cuanto al último sector que falta por comentar, que es el de Tecnología y Telecomunicaciones, los tipos de acoso y discriminación recogidos en 2015 presentan la siguiente situación en 2021: a) tres han seguido una tendencia a la baja (rechazo a discriminar por orientación sexual, afiliación sindical y por tener familiares a su cargo); b) seis permanecen con el mismo peso; y, c) el resto (ocho tipos) suben. Se ha de destacar en este sector que se produce una subida hasta el 100% de los tipos relativos a no permitir la discriminación por raza/color y por discapacidad, y permanecen con tal porcentaje la no discriminación por género/sexo y religión. Hay que señalar también que, el tipo que presenta una mayor tasa de variación es el referido a no tolerar el acoso físico, con un 299,86%, pasando de un 14,29% a un 57,14% (cuadro A6, ver anexo).
En 2021 se añaden a los códigos éticos de este sector cinco nuevos tipos, que son no permitir la discriminación por etnia y por estado de salud con igual peso cada uno, un 28,57%, y tres tipos que ostentan el mismo peso, un 14,29%, que son la no discriminación por posición económica, identidad de género y aptitudes y cualidades.
La comparación de los valores de este sector en 2015 con los de la muestra total de ese año, pone de manifiesto que presenta porcentajes por encima de los de la muestra total para todos los tipos, excepto para cuatro (rechazo al acoso sexual, mobbing, acoso físico y discriminación por estado de salud), por lo que es superior en 13. La situación en 2021, tras la comparación sector-muestra total, indica que el sector supera a la muestra en 20 tipos, pues solo en tres, toma valores inferiores.
Para los dos tipos de discriminación que en la comparación 2021-2015 en la muestra total han presentado una tendencia negativa (rechazo a discriminar por afiliación sindical y por idioma), el sector Tecnología y Telecomunicaciones, al igual que la muestra total ha presentado una tendencia bajista para el rechazo a la discriminación por afiliación sindical, pero le otorga en 2021 un mayor peso que el que tiene en la muestra total (14,29% frente a un 13,51%).
En general, del análisis comparativo por sectores económicos se deduce que la tendencia seguida de 2015 a 2021 por los distintos tipos de acoso y discriminación recogidos en los códigos éticos se puede considerar positiva, ya que, se ha observado que ha aumentado el peso de muchos tipos en los distintos sectores, y también se han incluido en los códigos éticos nuevos tipos que no se tolerarán en los sectores de actividad considerados.
No obstante, se ha de señalar que el sector Servicios de Consumo presenta una tendencia diferente al resto de sectores, pues, a pesar de incorporar cuatro nuevos tipos de acoso y discriminación en los códigos éticos, tiene una tendencia a la baja en la importancia que otorga a once tipos, mientras que, en el resto de los sectores, a excepción del de Materiales Básicos, Industria y Construcción en el que no baja ninguno, el máximo número de tipos que han visto disminuir su porcentaje es de tres.
En cambio, en líneas generales, la comparación de los datos de los sectores con los de la muestra total, ya sea para 2015 o 2021, no son tan positivos, pues los distintos sectores económicos han obtenido porcentajes que han quedado por debajo para bastantes tipos, a pesar de haber mejorado en relación con 2015. Sin embargo, se puede apuntar que la comparativa sector-muestra total en 2015, resulta relativamente favorable para los sectores Petróleo y Energía, Tecnología y Telecomunicaciones, y, en especial para Servicios de Consumo que tiene porcentajes superiores a la muestra total en todos los tipos de acoso y discriminación considerados. Pero al realizar tal comparativa para el 2021, solo dos sectores se colocan en una posición relativamente positiva, que son el sector Tecnología y Telecomunicaciones, y Bienes de Consumo.
4. Conclusiones
En el presente estudio se analiza si ha habido variación en la importancia de los tipos de acoso y discriminación que han incluido en sus códigos éticos las empresas cotizadas en la Bolsa española en el mercado continuo a 31-12-2021 respecto a igual fecha de 2015.
Los resultados obtenidos muestran que se ha producido un aumento en el porcentaje de empresas que han elaborado y hecho visible su código ético, pues en 2015 contaban con tal documento un 65,89% de las empresas cotizadas, elevándose a un 90,24% en 2021. Al hacer el análisis sector por sector, se ha comprobado que en todos ellos se ha incrementado el porcentaje de empresas con este documento. La mayor tendencia alcista la ha experimentado el sector Bienes de Consumo, pasando de tener un 51,72% de empresas con códigos de conducta en 2015 a un 91,30% en 2021. También, es de destacar que en 2021 hay dos sectores (Petróleo y Energía, y Tecnología y Telecomunicaciones) que tienen el 100% de sus empresas con este documento, mientras que esta situación no se presentó en 2015 para ningún sector.
En este trabajo se han analizado las principales características de los códigos éticos a 2021. Así, se ha observado que las empresas utilizan distintos nombres para denominar estos documentos, siendo los más utilizados el de código de conducta (42,34%) y código ético (34,24%), teniendo este documento un número medio de páginas de 21,53.
Los códigos éticos deben contener la forma en que se puede denunciar los incumplimientos de este, y también han de ser renovados a lo largo de los años. En relación con el primer aspecto, de 111 empresas con este documento en 2021, son 109 (98,20%) las que incluyen en los códigos la forma de denunciar, y 105 (94,59%) las que cuentan con un canal ético o de denuncias, exigiendo el 71,43% de las empresas que la denuncia sea nominativa. En cuanto al segundo aspecto, un 62,16% han experimentado una primera renovación, un 35,14% una segunda y un 12,61% una tercera, siendo solo un 2,70% en los que se ha hecho una cuarta.
Continuando con las conclusiones obtenidas, en relación con el apartado relativo al análisis comparativo de los tipos de acoso y discriminación recogidos en los códigos éticos en 2015 y 2021, se ha podido observar que todos han incrementado su presencia, excepto dos, que son los referidos al rechazo a las prácticas discriminatorias por afiliación sindical y por idioma que han visto disminuir su porcentaje, pero aún siguen estando presentes en estos documentos.
Los tipos de discriminación que son incluidos con mayor frecuencia en los códigos éticos, tanto en 2015 como en 2021, son el rechazo a la discriminación por género/sexo, por raza/color y por religión. Hay que apuntar que los tipos que han experimentado un mayor crecimiento han sido los relativos al rechazo a la discriminación por estado de salud y a prácticas de acoso sexual y físico. El primero pasa de un 8,23% en 2015 a un 16,22% en 2021. Los dos siguientes tienen una tasa de variación similar, pues el rechazo al acoso sexual sube de un 42,35% en 2015 a un 76,58% en 2021, mientras que el relativo a no tolerar prácticas de acoso físico tiene en 2021 un peso de 65,77%, subiendo desde un 35,29% que ostentaba en 2015.
Aparte de lo anterior, también se ha observado que en 2021 las empresas han recogido en sus códigos de conducta tipos de discriminación que no figuraban en 2015, como son el no permitir la discriminación por etnia, posición económica, identidad de género, embarazo, apariencia física, y aptitudes y cualidades. Con ello, las compañías están ampliando la relación de las prácticas discriminatorias rechazadas a las que les dan importancia, y ante las cuales declaran tener una tolerancia cero.
Al realizar el análisis de la evolución del 2015 al 2021 de la importancia de los tipos de acoso y discriminación desde un punto de vista sectorial, considerando seis sectores económicos: Petróleo y Energía, Materiales Básicos, Industria y Construcción, Bienes de Consumo, Servicios de Consumo, Servicios Financieros e Inmobiliarios, y Tecnología y Telecomunicaciones; la tendencia que han seguido dichos tipos, en líneas generales, se puede considerar positiva, pues ha aumentado la importancia otorgada a muchos de los tipos considerados en los distintos sectores, y además se han incluido nuevos tipos que las empresas consideran que no van a tolerar. Sin embargo, hay un sector, que es el de Servicios de Consumo, que se ha comportado de forma distinta al resto, dado su movimiento descendente en el peso otorgado a un elevado número de tipos, aunque, si bien, al igual que los otros ha incorporado en 2021 tipos de discriminación que no tenía a fecha de 2015. Hay que apuntar también, el caso del sector Materiales Básicos, Industria y Construcción en el que no se ha producido disminución de 2015 a 2021 en el peso de ninguno de los tipos recogidos en los códigos éticos.
En resumen, se ha podido comprobar una tendencia al alza en relación con el porcentaje de empresas cotizadas en posesión de un código de conducta, así como, la mayor importancia otorgada, de forma global y en muchos sectores, a un número significativo de tipos de acoso y discriminación. Los resultados que se han obtenido, en su mayoría, se pueden calificar de positivos, aunque existen algunas excepciones, como las mencionadas anteriormente respecto al análisis por sectores económicos que en determinados aspectos no muestran datos que puedan ser considerados favorables.
Como último apunte, hay que señalar que sería conveniente que continuase en el futuro la tendencia creciente en la posesión de códigos éticos por parte de las empresas cotizadas, y además que se extendiera al resto de compañías del país, incluyéndose en dicho documento la mayor cantidad posible de tipos de acoso y discriminación no tolerados. De esta forma, los empleados estarían mucho más cubiertos, siendo beneficioso para ambos, empresa y trabajador, consiguiendo esta mejorar su imagen corporativa frente a los stakeholders, al mismo tiempo que otorgan seguridad y respaldo a sus trabajadores.
Referencias. Consulta general
Ayuso, S., & Garolera, J. (2012). Códigos éticos de las empresas españolas: ¿qué compromisos contienen? Revista de Responsabilidad Social de la Empresa, 4(2), 77-103. https://www.accioncontraelhambre.org/sites/default/files/documents/11_1.pdf
Benatti, F. (2020). Códigos éticos de empresa: función y remedios. Revista de Ciencias Sociales, (77), 82- 100. https://doi.org/10.22370/rcs.2021.77.2961
Drane, J. F. (2004). La ética como carácter y la investigación médica. Acta Bioethica, (1), 17-25. http://dx.doi.org/10.4067/S1726-569X2004000100003
García Sánchez, I. M., Rodríguez Domínguez, L., & Gallego Álvarez, I. (2008). La influencia del Consejo de Administración en la adopción de un código ético. Revista de Contabilidad-Spanish Accounting Review, 11(2), 93-120. https://revistas.um.es/rcsar/article/view/382801
García-Marzá, D. (2004). Ética empresarial: del diálogo a la confianza. Editorial Trotta.
Kliksberg, B. (2003). Ética y gerencia de organizaciones. Innovar, Revista de Ciencias Administrativas y Sociales, (22), 39-42. http://www.jstor.org/stable/23741364
Lozano Aguilar, J. F. (2007). Códigos éticos y auditorías éticas. Veritas, Revista de Filosofía y Teología, 2(17), 225-251. https://www.redalyc.org/pdf/2911/29112292400 3.pdf
Muñoz-Martín, J. (2013). Ética empresarial, responsabilidad social corporativa (RSC) y creación de valor compartido (CVC). Revista Globalización, Competitividad y Gobernabilidad, 7(3), 76-88. https://doi.org/10.3232/GCG.2013.V7.N3.05
Navarro García, F. (2012). Responsabilidad Social Corporativa: Teoría y práctica. ESIC Editorial.
Olcese, A, Rodríguez, M. A., & Alfaro, J. (2008). Manual de la empresa responsable y sostenible. Conceptos, ejemplos y herramientas de la Responsabilidad Social Corporativa o de la Empresa. Editorial McGraw Hill.
Orozco Martínez, I. (2020). De la ética empresarial a la sostenibilidad, ¿por qué debe interesar a las empresas? The Anáhuac Journal: Business and Economics, 20(1), 76-105. https://doi.org/10.36105/theanahuacjour.2020v20n1.03
Rodríguez Córdoba, M. P., & Díaz B., A. F. (2004). Códigos éticos: construcción colectiva del carácter organizacional. El caso de la Universidad Nacional de Colombia, sede Manizales. Innovar, Revista de Ciencias Administrativas y Sociales , (24), 39-58. http://www.jstor.org/stable/23741233
Rodríguez Córdoba, M. P. , Castaño Vélez, C. F., Osorio Gómez, V., Zuluaga Arcila, H. F., & Duque Uribe, V. (2006). La auditoría ética: herramienta para fortalecer la integridad del carácter organizacional. Innovar, Revista de Ciencias Administrativas y Sociales , 16(27), 25-46. http://www.jstor.org/stable/23741213
Savater, F. (2000). Ética y ciudadanía. Revista de Humanidades: Tecnológico de Monterrey, (8), 155-172. https://www.redalyc.org/articulo.oa?id=384008 09
Verona Martel, M. C., & De León Santana, S. (2018). Análisis de los tipos de acoso y discriminación recogidos en los códigos de conducta de las empresas cotizadas en la Bolsa española en el mercado continuo a 31-12-2015. Trascender, Contabilidad y Gestión, (9), 2-18. https://doi.org/10.36791/tcg.v0i9.33
Verona Martel, M., & Sosa-Breyer, M. (2014). Códigos éticos de las empresas cotizadas españolas: análisis de su contenido. Vértice Universitario, (61), 23-38. http://hdl.handle.net/10553/128650
Verstraeten, J. (1998). From business ethics to the vocation of business leaders to humanize the world of business. Business Ethics: A European Review, 7(2), 111-124. https://doi.org/10.1111/1467-8608.00096
Leyes y reglamentos
Constitución Española. (1978). BOE núm. 311, de 29 de diciembre de 1978. España. https://www.boe.es/eli/es/c/1978/12/27/(1)/con
Ley Orgánica 10/1995, de 23 de noviembre, del Código Penal. Última modificación: 28 de abril de 2023. BOE núm. 102, de 29 de abril de 2023. España. https://www.boe.es/eli/es/lo/1995/11/23/10/con
Ley Orgánica 3/2007, de 22 de marzo, para la igualdad efectiva de mujeres y hombres. BOE núm. 71, de 23 de marzo de 2017. España. https://www.boe.es/eli/es/lo/2007/03/22/3/con
Real Decreto Legislativo 2/2015, de 23 de octubre, por el que se aprueba el texto refundido de la Ley del Estatuto de los Trabajadores. BOE núm. 255, de 24 de octubre de 2015. España. https://www.boe.es/eli/es/rdlg/2015/10/23/2/con
ANEXO






Notes