Artículos

Recepción: 21 Diciembre 2021
Aprobación: 28 Marzo 2022
DOI: https://doi.org/10.16967/23898186.766
Abstract: Objective. To evaluate the values of indicators describing the specific weights of growing and declining enterprises in the total number of active enterprises in Russia in 2020, as well as the number of growing enterprises and declining enterprises per thousand people living in each of the Russian regions. Methodology. The methodology is based on the models, which are density functions of normal distribution. Results. The research proved that growing and fading enterprises are relatively rare among commercial organizations, and there was a significant differentiation through the regions of the discussed indicators. The regions with the maximum and minimum values of indicators are given. Conclusions. The paper adds new knowledge about growing and declining enterprises in Russia. The work results can be applied by governments and public organizations when justifying measures to support enterprises characterized by an increase in the number of employees.
Keywords: Growing enterprises, declining enterprises, business demography, number of employees.
Resumen: Objetivo. Evaluar los valores de los indicadores que describen los pesos específicos de las empresas en crecimiento y en declive en el número total de empresas activas en Rusia en 2020, así como el número de empresas en crecimiento y en declive por cada mil personas que viven en cada una de las regiones de Rusia. Metodología. La metodología se basa en los modelos, los cuales son funciones de densidad de distribución normal. Resultados. La investigación demostró que las empresas en crecimiento y en declive son relativamente escasas entre las organizaciones comerciales, por lo que hay una diferenciación significativa a través de las regiones de los indicadores en discusión. Se presentan las regiones con los valores máximos y mínimos de los indicadores. Conclusiones. El trabajo aporta nuevos conocimientos sobre las empresas en crecimiento y en declive en Rusia. Los resultados del trabajo pueden ser aplicados por los gobiernos y las organizaciones públicas a la hora de justificar las medidas de apoyo a las empresas que se caracterizan por un aumento del número de empleados.
Palabras clave: empresas en crecimiento, empresas en declive, demografía empresarial, número de empleados.
Resumo: Objetivo. Avalie os valores dos indicadores que descrevem os pesos específicos das empresas em crescimento e em declínio no número total de empresas ativas na Rússia em 2020, bem como o número de empresas em crescimento e em declínio por mil pessoas que vivem em cada uma das regiões da Rússia. Metodologia. A metodologia é baseada em modelos, que são funções densidade de distribuição normal. Resultados. A pesquisa mostrou que negócios em crescimento e declínio são relativamente raros entre as organizações empresariais, portanto, há uma diferenciação significativa entre as regiões dos indicadores em discussão. São apresentadas as regiões com os valores máximos e mínimos dos indicadores. Conclusões. O trabalho traz novos insights sobre empresas em crescimento e declínio na Rússia. Os resultados do trabalho podem ser aplicados por governos e órgãos públicos ao justificar medidas de apoio às empresas que se caracterizam pelo aumento do número de funcionários.
Palavras-chave: empresas em crescimento, empresas em declínio, demografia empresarial, número de funcionários.
Introduction
Commercial organizations (enterprises) can be divided into three groups in the Russian economy in recent years, depending on the change in the number of their employees. First group includes enterprises in which the number of employees has not changed significantly over a number of years. Second group includes enterprises with significant increase in the number of employees. Accordingly, third group includes enterprises with decreasing number of employees. Further development of the Russian economy is associated with increasing volume of goods and services production, which requires rational distribution of labor resources between enterprises. Given this, suggest to discuss such relevant problem as estimating the number of enterprises belonging to each of these groups.
Scientific publications show that growing firms act as the dynamic core of modern national economies, because they have a disproportionate ability to generate additional production and create jobs. Although these firms account for a small proportion in the total number of enterprises through high-income countries, they account more than half of the increase in output and employment in these countries (Grover, Medvedev and Olafsen, 2019). Authors assumed that in developing countries, enterprises with high growth rates could become an important link for the implementation of government programs to improve the efficiency of economies (Amorós, Fernández and Tapia, 2012; Aggarwal and Sato, 2015).
Several studies show that the share of enterprises with high rates of growth in the number of employees has significant differences in economically developed countries. So in the paper Bravo-Biosca, Criscuolo and Menon (2016) shown that the share of these enterprises is 3 % in Austria and Norway and about 6 % in Spain and the United Kingdom. In Germany, Italy, the Netherlands and Poland, share of large and medium enterprises with high rates of development did not exceed 2 % (Goedhuys and Sleuwaegen, 2010). Significantly higher (about 10 %) was the share of such enterprises in the Republic of Korea (Choi et al., 2017), and the United States of America (Decker et al., 2014). According to Kylflheiko et al. (2011) most enterprises seek to achieve production growth by launching new products, attracting customers or have the combination of these factors. Cusolito and Maloney (2018) argue that production growth can be driven not only by high efficiency, but also by demand shocks, uncompetitive markets and political conditions. The predominance among fast-growing organizations of large enterprises that are not specialized in certain types of activities is emphasized in the paper of Leković and Berber (2019).
In modern studies, along with growing enterprises, there are also those in which there is a significant decrease in the number of employees. Such enterprises are called fading businesses. The peculiarities of their activities are reflected in a number of scientific publications, among which the most interesting are works of Ascigil et al. (2008), Park et al. (2019), and Reynaud (2010).
Main attention in domestic studies of enterprises that provide a high rate of increase in the number of employees and production volumes was paid to the so-called “gazelles.” These include large and medium enterprises that have been growing rapidly for five years. Studies have shown that such enterprises are not shown widely in our country, but they already demonstrate significant contribution to the economy of their regions, as well as to the active introduction of innovations (Bozhko, 2020; Yudanov, 2010). Kuzyk, Simachev and Fedyunina (2020) shows participation of fast-growing enterprises in various countries economic activity. Attention is drawn to their large export activity and orientation to the markets of Asian countries. It should be noted that Russian publications do not pay enough attention to the declining enterprises. Analysis of peculiarities development of growing enterprises in the regions was not considered.
Purpose of this paper is to evaluate the values of indicators describing specific weights of growing and declining enterprises in the total number of active enterprises in Russia in 20201, as well as the number of growing enterprises and declining enterprises per thousand people living in each of Russian region. The use of specific indicators by region seems more logical than absolute ones, since the regions of the country have significant differences in population, namely, people are the main consumers of goods and services generated by enterprises.
Methodology
When determining the number of enterprises belonging to the growing and declining ones, it is proposed to use threshold values. The structure of growing enterprises includes three types of them, which are characterized by an increase in the number of their employees: (i) with high growth potential — had increase in the number of employees of at least 10 % on average over the past 3 years; (ii) fast-growing — had over the past 3 years an increase in the number of employees more than 20 % on average per year; gazelles — enterprises aged 4 and 5 years with high annual increase in the number of employees of more than 20 % over a three-year period.
Enterprises that have been operating for at least three years and have experienced an average reduction in the number of employees by more than 15 % annually for two consecutive years are considered to be declining. The research process included six stages. At the first stage, formed initial data describing number of active, growing and declining enterprises, as well as the population in each of Russian regions. At the second stage, calculated specific weights of growing and declining enterprises in the total number of active enterprises in Russia were. At the third stage, determined indicators that characterize the number of growing and declining enterprises per thousand people living in each of Russian regions. At the fourth stage, evaluated distributions of these indicators values. At the fifth stage, determined average values of these indicators for the regions and located ranges in which the values of these indicators are for most of them. At the sixth stage, carried out comparative analysis, during which the regions with minimum and maximum values of the indicators were established.
The study used official statistical data for 82 regions of Russia as the initial information. Also evaluated following four indicators that characterize relative number of enterprises in which in 2020 had significant increase or decrease in the number of employees in enterprises by region: (i) specific weights of growing and declining enterprises in the total number of active enterprises in Russia; (ii) number of growing enterprises per thousand people living in each region; (iii) number of declining enterprises per thousand people living in each region; (iv) ratio of the number growing and declining enterprises for each region.
Also, study included testing of following four hypotheses: (i) how growing and fading enterprises in Russia appear relatively and rarely; (ii) values of four indicators under consideration have a significant differentiation in different regions of the country; (iii) in most regions number of growing enterprises exceeds number of declining enterprises; (iv) the territorial location of the country’s regions does not significantly affect maximum and minimum values for each indicator.
Made evaluation using economic and mathematical modeling for each indicator, the normal distribution functions were used. In Pinkovetskaia (2020) and Pinkovetskaia and Slepova (2018), are presents methodological approach to their development and use to determine specific values for the regions under consideration, as well as the ranges of variation of values for most regions. Note that such functions provide unbiased characteristics of the studied regularities. In the work, determined the regions with maximum and minimum values of indicators.
Results
According to official statistics, the total number of active enterprises in Russia in 2020 was 2821827 units. From these 95962 enterprises were considered to be growing and 83295 enterprises were considered to be declining. The share of growing enterprises in the total number of active enterprises in 2020 was 3.40 %. That is, every twenty-ninth enterprise belongs to the growing ones. The share of declining enterprises in the total number of active enterprises is 2.95 %. Accordingly, every thirty-fourth enterprise was classified as a dying one. Results show that both growing and declining enterprises in Russia appear relatively and rarely. So, the first hypothesis was confirmed.
It should be noted that share of enterprises in which there was a significant increase in the number of employees is slightly higher than that of enterprises in which there was a significant decrease in their number. In general, in absolute majority (93.65 %) of enterprises in Russia in 2020, there was no significant growth or decline in the number of employees.
In the course of computational experiment, economic and mathematical modeling was carried out on the basis of empirical data. Models that describe distribution of four indicators that characterize the relative number of enterprises with a significant increase and decrease in the number of employees in all 82 regions of Russia in 2020 are shown below:
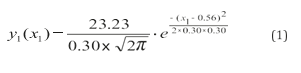
(i) number of growing enterprises per thousand people living in each region:

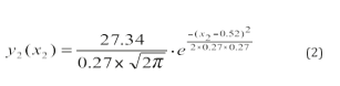
(ii) Number of declining enterprises per thousand people living in each region:

(iii) Ratio of the number of growing and declining enterprises for each region:

High quality of functions (1)-(3) was confirmed in the testing process according to Shapiro-Wilk, Pearson and Kolmogorov-Smirnov criteria.
At the next stage of study, patterns were identified that characterize the distribution of the indicators under consideration by region, shown in Table 1. Column 2 shows data describing the average values of indicators. Ranges in which the values of indicators for most regions are located show in the third column of the table.

Average number of growing enterprises per thousand people, reached less than 0.56 in 2020. The lowest value was observed in the Krasnodar region (0.05) and the highest in the Sakha republic (3.57). In most regions, this indicator did not exceed 0.86. Average number of declining businesses per thousand people was 0.52 in 2020. It is interesting to note that the lowest value was also in the Krasnodar region (0.05) and the highest in the Sakha republic (3.56). In most regions, value of this indicator did not exceed 0.79.
Discussion
Average value of the ratio between the number of growing and declining enterprises in the Russian regions was 1.10. The trend of exceeding the values for growing enterprises was observed in 2020 in 49 regions: cities Moscow; St. Petersburg; Sevastopol; republics Tyva, Crimea, Tatarstan, Karelia, Udmurtia, Chuvashia, Kalmykia, Buryatia, Arkhangelsk, Murmansk, Chelyabinsk, Voronezh, Ulyanovsk, Belgorod, Kursk, Kemerovo, Vologda, Novosibirsk, Saratov, Tver, Kaluga, Sverdlovsk, Penza, Amur, Oryol, Moscow, Tomsk, Tyumen, Kostroma, Volgograd, Leningrad, Ivanovo, Tula, Astrakhan, Magadan, Lipetsk, Bryansk, Nizhny Novgorod, Rostov, Novgorod Regions, Khabarovsk, Primorsky, Perm; Krasnoyarsk territories; Jewish Autonomous region; Chukotka Autonomous district. In two regions, Yaroslavl region and Sakha republic, the values of indicators for growing and declining enterprises were equal. In 31 regions, is have tendency to exceed the values for declining enterprises compared to growing enterprises. These included: republics Dagestan; North Ossetia-Alania; Ingushetia; Karachay-Cherkessia; Kabardino-Balkaria; Chechen; Khakassia; Komi; Altai; Mordovia; Mari El; Bashkortostan; Adygea; Tambov; Kurgan; Pskov; Omsk; Orenburg;
Irkutsk; Vladimir; Kaliningrad; Ryazan; Sakhalin; Smolensk; Kirov; Samara regions; Zabaykalsky; Altai; Kamchatka; Krasnodar; Stavropol territories. Thus, can conclude that the third hypothesis has been confirmed.
To test the second hypothesis that values of four indicators under consideration have significant differentiation by region, an analysis of the scope variation of each indicator presented in Table 1 was carried out. The coefficients of variation (the ratio of the mean square deviations to the average values of the indicators) were: for the first indicator, 55 %; for the second indicator, 52 %; for the third indicator, 33 %. Thus, the analysis showed a significant differentiation in the considered regions of the values for each indicator. Therefore, the second hypothesis was confirmed.
At the next stage, identified the regions with maximum and minimum values of each indicator. At the same time, maximum and minimum values are those that correspondingly exceed the upper limits of the ranges shown in the third column of Table 1 and are smaller than the lower limits of the ranges. Results of this analysis are shown in Table 2. Along with the lists of regions, this table also shows territorial location of the regions by federal districts.

Analysis showed that there is no connection between the territorial location of regions and maximum (minimum) values of the indicators. That is, regions with both high and low values of indicators are located in different federal districts. Thus, can state the confirmation of four hypotheses.
Conclusions
Results of the study, which contain scientific novelty, include the following: methodological approach is proposed to evaluate the values of indicators that characterize the number of growing and declining enterprises per thousand inhabitants in the Russian regions; developed economic and mathematical models that describe current distribution of the indicators values that characterize the number of growing and declining enterprises per thousand inhabitants, as well as the ratio of these indicators by region; proved that in the absolute majority of enterprises there was no significant increase or decrease in the number of employees; shown that the shares of both growing and declining enterprises in the total number of active enterprises are small (about 3 %); shown that the average value of the ratio between number of growing and declining enterprises in the Russian regions was 1.10; proved that in most regions the number of growing enterprises exceeds the number of declining ones, however, in a number of regions the opposite trend is observed; average values of the number of growing and declining enterprises per thousand inhabitants in the regions were determined, which amounted to 0.56 and 0.52, respectively; shown that the values of four indicators under consideration have significant differentiation in the regions of the country; shown that the territorial location of the country’s regions does not significantly affect maximum and minimum values for each of the four indicators.
The obtained results are of theoretical and practical significance. The proposed methodological approach and tools can be used in scientific research on the demography of enterprises. Namely, when monitoring the share of growing and declining enterprises in the Russian regions. The results of work can be applied in the current activities of state structures and public organizations, when justifying measures to support enterprises that are characterized by an increase in the number of employees. In addition, the information obtained can be used to solve problems of increasing the share of growing enterprises in regions where such enterprises are not widely developed. Results of the work are of interest to banks and credit institutions.
New knowledge related to the regional characteristics of activities growing and declining enterprises can be used in the training of undergraduate and graduate students at universities. Further studies can be conducted to assess the industry characteristics of enterprises with high rates of employee numbers. In the course of research, there were no restrictions on empirical data, since information was considered for all 82 regions of Russia.
References
Aggarwal, A. and Sato, T. (2015). Identifying High Growth Firms in India: An Alternative Approach. Kobe, Japan: Research Institute for Economics and Business Administration, Kobe University.
Amorós, J., Fernández, C. and Tapia, J.(2012). Quantifying die relationship between entrepreneurship and competitiveness development stages in Latin America. International Entrepreneurship and Management Journal, 8(3), 249-270.
Ascigil, S.F. et al. (2008). Downsizing and Restructuring in Smaller Firms: Survivors’ Perceptions. Business & Professional Ethics Journal, 27(1/4), 103-116.
Bozhko, L.M. (2020). Development of gazelle firms: features and success factors. Tver State University Bulletin. Series: Economics and Management, 3(51), 59-67.
Bravo-Biosca, A., Criscuolo, C. and Menon, C. (2016). What Drives the Dynamics of Business Growth? Economic Policy, 31(88), 703-742.
Choi, T. et al. (2017). The Effects of High Growth on New Business Survival. Review of Regional Studies, 47(1), 1-23.
Cusolito, A.P. and Maloney, W.F. (2018). Productivity Revisited: Shifting Paradigms in Analysis and Policy. Washington, USA: International Bank for Reconstruction and Development.
Decker, R. et al. (2014). The Role of Entrepreneurship in US Job Creation and Economic Dynamism. Journal of Economic Perspectives, 28(3), 3-24.
Goedhuys, M. and Sleuwaegen, L. (2010). High-Growth Entrepreneurial Firms in Africa: A Quantile Regression Approach. Small Business Economics, 34(1), 31-51.
Grover, A., Medvedev, D. and Olafsen, E. (2019). High-Growth Firms: Facts, Fiction, and Policy Options for Emerging Economies. Washington, USA: International Bank for Reconstruction and Development.
Kylflheiko, K. et al. (2011). Innovation and internationalization as growth strategies: The role of technological capabilities and appropriability. International Business Review, 20(5), 508-520.
Kuzyk, M.G., Simachev, Y.V. and Fedyunina, A.A. (2020). Specifics of participation of small and medium- sized fast-growing firms in international trade, possible consequences for state policy. NEA journal: the journal of the National Education Association, 1(45), 208-218.
Leković, B. and Berber, N. (2019). Determinants of early stage high-growth entrepreneurship: Evidence from South East Europe region. Journal for East European Management Studies, 24(2), 347-369.
Park, C. et al. (2019). Impact of Job Retention on Continuous Growth of Engineering and Informational Technology SMEs in South Korea. Sustainability, 11(5005), 1-19.
Pinkovetskaia, I. and Slepova, V. (2018). Estimation of Fixed Capital Investment in SMEs: The Existing Differentiation in the Russian Federation. Business Systems Research, 9(1), 65-78.
Pinkovetskaia, I.S. (2020). Assessment of regional features of state and municipal procurement. Regional Economic, 2(43), 122-128.
Reynaud, B. (2010). Workforce reduction and firm performance: Evidence from French firm data. Socio-Economic Review, 11(4), 711-737.
Yudanov, A.Y. (2010). Carriers of entrepreneurship: Gazelle firms in Russia. NEA journal: the journal of the National Education Association, 5(5), 91-108.