Artículos
Effect of nitrates alone or with paclobutrazol on flowering induction and production in mango cv. Tommy Atkins
Efecto de nitratos solos o con paclobutrazol en la inducción floral y producción en mango cv. Tommy Atkins
Effect of nitrates alone or with paclobutrazol on flowering induction and production in mango cv. Tommy Atkins
Biotecnia, vol. 22, no. 2, pp. 20-27, 2020
Universidad de Sonora, División de Ciencias Biológicas y de la Salud
Received: 23 May 2019
Accepted: 22 November 2019
Funding
Funding source: CONACYT
Contract number: 598682
Abstract: The flowering induction in mango (Mangifera indica L.) orchards is an agricultural practice carried out on tropical regions to obtain fruits out- of-season looking to reach better sale prices. The objective of this research was to evaluate the effect of potassium (PN), ammonium nitrate (AN) and paclobutrazol (PBZ) on flowering induction and fruit production in mango cv. Tommy Atkins. The experiment included fourteen treatments with 2, 4, and 6 % PN, and 2, 3 and 4 % AN applied in combination with PBZ (1 g of a.i. m-1 of canopy diameter), paclobutrazol alone (1 g of a.i. m-1 of canopy diameter), and a control (water), which were arranged in a completely randomized design with three replicates. Results show that floral induction and fruit production were improved: PBZ followed by foliar application PN 2 %, 4 % or 6 % induced flowering 16 days after treatments. Likewise, the major number of emerged panicles were obtained with PBZ + PN 6 %. An increase on fruit weight and size reduction was observed at harvest. PBZ followed by foliar application of nitrates induced flowering and enhanced the number developed panicles in mango cv. Tommy Atkins.
Keywords: potassium nitrate, ammonium nitrate, floral induction, fruit quality.
Resumen: La inducción floral en mango (Mangifera indica L.) es una práctica agrícola común en regiones tropicales, tendiente a obtener frutos fuera de temporada para lograr mejores precios de la cosecha. Este trabajo tuvo como objetivo evaluar el efecto de tratamientos de nitrato de potasio (PN), nitrato de amonio (AN) y paclobutrazol (PBZ) sobre la inducción floral y producción de fruto en mango cv. Tommy Atkins. Los tratamientos con PN al 2, 4, y 6 % y AN al 2, 3 y 4 % fueron aplicados solos o combinados con PBZ (1 g de i.a. m-1 de diámetro de copa), PBZ solo y un testigo (agua) bajo un diseño completamente al azar, con tres repeticiones. Se midieron variables de inducción floral y producción de fruto. Los resultados muestran que aplicación foliar de PBZ seguida de PN (2 %), (4 %) o (6 %) indujeron floración 16 días después del tratamiento. El mayor número de panículas emergidas se obtuvieron con PBZ + PN 6 %. Se observó una reducción de peso y tamaño de fruto a la cosecha. El PBZ seguido de aplicaciones foliares con NP y AN induce floración y aumenta el número de panículas desarrolladas en mango cv. Tommy Atkins.
Palabras clave: nitrato de potasio, nitrato de amonio, inducción floral, calidad de fruto.
Introduction
Mango (Mangifera indica L.) is the fifth most cultivated fruit in the world (Normand et al., 2015) and is considered the king of tropical fruits (Tharanathan et al., 2006), being cultivated in more than 100 countries (Mitra, 2016). The total world fruit production in 2017 was 50.6 million t and India as the main producer country with about 40 % of the total mango produced worldwide (FAO, 2019). Mexico ranks the fifth place contributing with the 3.8 % of the world production being the principal exporter, presumably due to its proximity to the USA which is the biggest importer of mango fruit.
Mango flowering is a physiological process that onset the fruit production (Ramírez and Davenport, 2010) and it is the first of several events that set the stage for mango production each year (Rani, 2018). It also influences the quality and quantity of fruits (Tiwari et al., 2018). Mango flowering depends on the geographical location where orchard is established more than other factors as photoperiod (Ramírez and Davenport, 2010). The flowering in mango has distinct behavior in the tropical regions compared with the subtropical regions. For instance, in the subtropical regions mango flowering is given in response to cool temperature exposure (Sukhvibul et al., 1999; Davenport, 2007; Sandip et al., 2015). On the contrary, in tropical regions where cool temperatures are absent, mango flowering is governed by the stem age from the last vegetative flush (Davenport, 2007; Ramírez et al., 2014; Sandip et al., 2015). Floral induction has been intensively studied in mango, more under subtropical than under tropical environments (Guevara et al., 2012).
Flowering induction in mango orchards is an agricultural practice carried out on tropical conditions to obtain fruits out-of-season and reach better sale prices. The induction substances regularly applied are potassium nitrate (PN) (Quijada et al., 2008; Sarker and Rahim, 2013; Maloba et al., 2017), ammonium nitrate (AN) (Salazar-García et al., 2000; Silva et al., 2013) and PBZ (Yeshitela et al., 2005; Narvariya et al., 2014; Shinde et al., 2015; Srilatha et al., 2015; Vijaykrishna et al., 2016; Bindu et al., 2017; Narvariya and Singh, 2018), which are applied to improve yield and flowering in the tropics. Several researches have shown that chemical substances are capable to induce flowering in mango. Yeshitela et al. (2005) observed flowering 85 d after foliar application of KNO3 at 4 % in mango cv. Tommy Atkins. Likewise, plants treated with 4 %KNO3 showed earlier panicle appearance by 17 d respect to control plants in cv. Amrapali (Sarker and Rahim, 2013). Moreover, foliar application of potassium nitrate stimulates flowering in sufficiently mature stems (Afiqah et al., 2014). A more recent research work found that PN at 4 % significantly shortened flowering time by 39 and 36 days on cv. ‘Ngowe’ and ‘Apple’ of mango, respectively, compared to the non-treated control (Maloba et al., 2017). In contrast, Salazar-García et al. (2000) reported that treatments with ammonium nitrate did not induce flowering in mango cv. Tommy Atkins. The application of nitrate to induce flowering is also complemented by plant growth regulators (PGR). One of this PGR is paclobutrazol (PBZ), a gibberellin synthesis inhibitor, used to effectively control plant vigor and to promote flowering shoots in mango (Kishore et al., 2015; Shinde et al., 2015). PBZ not only stimulates flowering but also can improve mango yield and quality (Kishore et al., 2015). However, Narvariya et al. (2014) and Srilatha et al. (2015) did not find effect of PBZ on floral induction. Discrepancies observed in research results seem to be related to different environmental conditions, geographical zone, cultivar, dose, application interval and age of flush. Also, little information about the effect of nitrates and PBZ application on the flowering induction and production is documented in the tropical region of Mexican southern.
For the above mention, this research was conducted in a tropical condition at San Francisco Ixhuatán, Oaxaca, Mexico to determinate the effect of treatments with potassium and ammonium nitrate applied alone or with PBZ on the flowering and production variables at harvest in mango cv. Tommy Atkins. Thus, the application of PBZ followed by potassium and ammonium nitrate could induce early flowering and improve fruit production in mango cv. Tommy Atkins.
Materials And Methods
Site and plants
This study was conducted on mango cv. Tommy Atkins at a commercial orchard located at the municipality of San Francisco Ixhuatán, Oaxaca, Mexico (16°19’41.59’’N, 94°28’55.76’’O) during the 2016-2017 season. The plants were seven years old and planted at distance of 10x10m without irrigation, and prevalent disease and pest management were followed according to agronomic management recommended for the region.
Experimental design and treatments
The experimental design was a completely random. The experimental unit was integrated by two mango trees and each treatment assessed in triplicate. The treatments were the following: (1) water (control), (2) 2 % KNO3 (PN 2 %), (3) 4 % KNO3 (PN 4 %), (4) 6 % KNO3 (PN 6 %), (5) paclobutrazol at 1 g of a.i. m-1 of canopy diameter plus 2 % KNO3 (PBZ + PN 2 %), (6) paclobutrazol at 1 g of a.i. m-1 of canopy diameter plus 4 % KNO3 (PBZ + PN 4 %), (7) paclobutrazol at a 1 g of a.i. m-1 of canopy diameter plus 6 %KNO3 (PBZ + PN 6 %), (8) 2 % NH-4NO3 (AN 2 %), (9) 3 % NH4NO3 (AN 3 %), (10) 4 % NH4NO3 (AN 4%), (11) paclobutrazol at 1 g of a.i. m-1 of canopy diameter plus 2 % NH4NO3 (PBZ + AN 2 %), (12) paclobutrazol at 1 g of a.i. m-1 of canopy diameter plus 3 % NH4NO3(PBZ + AN 3 %), (13) paclobutrazol at 1 g of a.i. m-1 of canopy diameter plus 4 % NH4NO3 (PBZ + AN 4 %), and (14) paclobutrazol at 1 g of a.i. m-1 of canopy diameter (PBZ).
Treatments preparation and application
The application of PBZ (4-chlorophenyl-4, 4-dimeth-yl-2 (1-H-1,2,4-triazole-IL) pentan-3-0, (Syngenta®, USA) to the soil (in drencher) was carried out when the second vegetative flush emerged after the previous harvest which was on July 6, 2016. First, a representative random sampling of tree canopy diameter was carried out in order to calculate an average of canopy diameter (it was obtained a tree canopy diameter of 3.4 m). The dose of PBZ was applied once when soil was at field capacity, at a concentration of 1 g of a.i. m-1 of canopy diameter (Kumbhar et al., 2009). The aqueous solution was prepared using 3.4 g of a.i. of PBZ in 5 L of clean water, spreading the aqueous solution volume evenly into 5 ditches of 30 cm long by 10 cm depth, located at one meter far from trunk.
The potassium (KNO3) and ammonium (NN4NO3) nitrate applications were carried out when the buds of the last vegetative flush reached the second stage of development (Pérez-Barraza et al., 2009). Both nitrates were applied twice; the first one on September 16 and the second one on September 21, 2016. These treatments were applied with a power backpack sprayer ensuring a homogenous application over the mango tree foliage until the solutions run-off.
Assessment of floral induction variables
When the inflorescence emerged, days to flowering (d) and panicle number were recorded. Days to flowering were obtained counting the days elapse after the last application of nitrate to blooming beginning. Panicle number were registered each seven days at morning since the first panicle was observed, quantifying the total number of panicles per tree.
Production variables at harvest
Fifteen panicles were tagged on each mango tree at chest height distributed uniformly around the mango tree. The fruits from the tagged panicles were harvested 105-115 days after the flowering and transported immediately to the Food Laboratory at Colegio de Postgraduados Campus Tabasco for the assessment of the production variables. Before measuring the production variables, the fruit was washed with tap water to remove mango sap and dust, selected, randomized and then air-dried at room temperature.
Fruit weight and size
Twenty mangoes randomly selected from the harvested fruit of each treatment were used to determine fruit weight and size (equatorial and polar diameter). The fruit size (mm) and weight (g) were measured with a digital caliper CALDI-6MP® and with a Pioneer® electronic balance (OHAUS Corporation, U.SA), respectively.
Statistical analysis
Data were statistically analyzed by ANOVA employing SAS software (SAS® for Windows, 9.0.) and significance was for p ≤ 0.05. When appropriated, the Fisher’s Protected Least Significant Difference test was used to separate mean values.
Results And Discussion
Effect of nitrates alone or with PBZ on the floral induction and panicle development
All treatments with potassium nitrate significantly reduced the number of days for flowering beginning (p < 0.05) with respect to the control treatment, except the PN 2 % and PBZ treatments. The potassium nitrate with PBZ (PBZ + PN 2 %, PBZ + PN 4 % and PBZ + PN 6 %) treatments were significantly the most effective in reducing the number of days for flowering beginning, with value of 16.0 d, while in the control treatment was observed a number of days to the flowering beginning of 107.0 d after the last application of treatment, followed by the PN 4 % and PN 6 % treatments, with a number of days to the flowerimg beginning of 54.5 and 61.5 d after last application of treatment (Table 1).

In contrast, Yeshitela et al. (2005) observed flowering 85 days after foliar application of KNO3 at 4 %, but a higher panicle number was observed in mango cv. Tommy Atkins. Likewise, Sarker and Rahim (2013) reported that plants sprayed with KNO3 at 4 % expressed earlier panicle appearance by 17 days respect to control plants in cv. Amrapali. In addition, Maloba et al. (2017) found that PN at 4 % significantly shortened flowering time on cv. ‘Ngowe’ and ‘Apple’ of mango. The PBZ application to soil followed by PN (2, 4 and 6 %) foliar spray allowed the first panicles 90 days (16 to 20 days after the last nitrate spraying) before natural flowering (non-treated trees; Table 1).
PBZ plus PN applications induced flowering, although not all dosage produced a similar number of developed panicles, in fact, the best treatment in this research work was the PBZ plus PN 6 %, since not only induce early flowering but also reached a major number of panicles (Table 2).

These results are in agreement with those obtained by Oosthuyse (2015) who reported a similar effect on plants treated with PBZ plus PN in mango cv. Nam Doc Mai Si Thong in Thailand. Likewise, paclobutrazol (soil application) at 1.0 g a.i m-1 of canopy diameter plus PN at 2 % recorded the highest flowering intensity (Gopu et al., 2017). Also these same results in this study, were similar to those revealed by Rebolledo-Martinez et al. (2008) and Pérez-Barraza et al. (2009) who found that the application of PBZ plus PN and PBZ plus PN at 4 % allowed flowering 51 days before the regular flowering time of non-treated plants in cv. Manila in tropical conditions of Nayarit Mexico and 37 days respect to the natural flowering in cv. Manila, respectively. It is known that nitrates have action on the bud dormancy breaking (Ionescu et al., 2017) by increasing the activity of nitrate reductase and stimulating the production of ethylene (Patoliya et al., 2017). We confirmed in this research work that the application of PBZ in sequential combination with PN suggests a synergistic effect between them, which is in agreement with Rebolledo-Martínez et al. (2008) who mentioned that the earlier appearance of the inflorescences in treated plants with PBZ plus PN might be due to the synergistic action between PBZ and nitrate to induce flowering. Also, it is generally believed that PBZ is a gibberellin inhibitor reducing the vegetative promoter level and thus stimulates flowering shoots of fruit crops (Guevara et al., 2012; Kishore et al., 2015; Burondkar et al., 2016). Likewise, more recent studies revealed that mango flowering coincides with increase in nonenzymatic and enzymatic antioxidant activities, and a high antioxidant status induced by paclobutrazol is responsible for its floral responses (Bindu et al., 2018). Potassium nitrate stimulates early flowering and increase number of panicles in trees growing in tropical and subtropical regions (Tiwari et al., 2018). The efficacy of flowering inducing chemicals is dependent on several factors including mango variety, dose, time of application and stage of development, among others.
In this research the PBZ treatment applied alone did not shorten the period for the beginning of flowering on Tommy Atkins mango with respect to the control treatment (Table 1). Our results are in agreement with other researcher. For instance, soil application of PBZ to 3 mL m-1 canopy diameter did not significantly affect the floral induction (138.3 days) when compared to the control treatment (152.6 days) in mango cv. Raspuri (Srilatha et al., 2015). Moreover, several treatments with PBZ applied in soil drencher did not induce flowering in mango cv. Dashehari (Narvariya et al., 2014). Conversely, treatments of PBZ caused earlier panicle emergence in mango cv. Rosa and Alphonso compared with control treatment (Shinde et al., 2015).
Regarding the effect of ammonium nitrate treatments to induce flowering, the PBZ + AN 3 %, PBZ + AN 2 %, and PBZ + AN 4 % treatments significantly induced flowering 17.8, 18.3, and 19.5 days to flowering after last treatment aplication, respectively, compared to the control treatment (107.0 days to flowering). Contrarily, ammonium nitrate treatments applied alone had no effect (p < 0.05) on the floral induction in mango cv. Tommy Atkins (Table 1). These findings coincide with those reported by Salazar-García et al. (2000) in cv. Tommy Atkins. On the contrary, plants treated with PBZ plus AN (2, 3 or 4 %) emitted early panicles similar to those observed with PBZ plus PN, but the number of emerged inflorescences was not different to non-treated plants. This latter differs with the reported by Silva et al. (2013) who informed that plants treated with PBZ plus AN increased 85 % the panicles appearance when compared to the non-treated plants.
For the number of developed panicles, in our study, there were highly significant differences (p < 0.05) for treatments with PN. Only the PBZ + PN 6 % treatment significantly increased the number of developed panicles (288.5) with respect to the control treatment. Although the number of developed panicles in PBZ + PN 2 % and PBZ + 4 % treatments were higher than those of the control treatment, no significant difference was observed among them, with values of 156.6, 103.0 and 136.0 developed panicles, respectively. A minor number of panicles was observed with the PN 2 %, PN 4 %, and PN 6 % treatments (Table 2). On the other hand, the PBZ + AN 4 % treatment produced the higher number of developed panicles (136.5), however it was statistically equal to that obtained by the control treatment (136.0). Trees treated with the different concentrations of AN (AN 2 %, AN 3 % and AN 4 %) without application of PBZ emitted a sparse flowering (Table 2).
Effect of nitrates alone or with paclobutrazol on produc-tion variables at harvest
Treatments with potassium nitrate had a significant effect (p < 0.05) on weight and size of mango fruit (production parameters) cv. Tommy Atkins at harvest. All treatments with potassium nitrate significantly reduced the equatorial diameter of mango fruit with respect to the control treatment (equatorial diameter of 160.65 mm), with the exception of the PN 2 % treatment (equatorial diameter of 171.34 mm). The lowest equatorial diameters of mango fruit were observed with the PBZ + PN 2 %, PBZ + 4 %, and PBZ + 6 % treatments, with values of 91.94, 92.99 and 90.61 mm of equatorial diameter (Figure 1). Moreover, the effect of treatments with potassium nitrate had a similar trend on the polar diameter of mango fruit with respect to the control treatment. The highest polar diameter of mango fruit was observed with the PN 2 % treatment, with a value of 183.51 mm. Conversely, the lowest polar diameter was observed in PBZ + PN 2 %, PBZ + PN 4 %, and PBZ + PN 6 % treatments, with values of 114.20, 108.64 and 111.11 mm, respectively. Surprising, the highest fruit weight (665.9 g) was observed with the control treatment, while the rest of treatments with potassium nitrate reduced or not the fruit weight of mango. The lowest fruit weight was registered with the PBZ + PN 2 %, PBZ + PN 4 %, and PBZ + PN 6 % treatments, with values of 502.89, 469.54 and 471.12 g, respectively (Figure 1C). Even though the fruit weight in the PN 2 % treatment was statistically equal to the control treatment, the equatorial and polar diameters (171 and 183 mm, respectively) were significantly larger compared to the control treatment (160 and 169 mm, respectively) (Figure 1A-B).

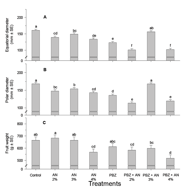
Treatments with ammonium nitrate had a significant effect (p < 0.05) on the weight and size of mango fruit (production variables) cv. Tommy Atkins at harvest. All ammonium nitrate treatments significantly reduced the equatorial diameter of mango fruit with respect to the control treatment (equatorial diameter of 160.65 mm), with the exception of the PBZ + AN 3 % treatment (equatorial diameter of 156.21 mm). The lowest equatorial diameters of mango fruit were observed with the PBZ + AN 2 % and PBZ + AN 4 % treatments, with values of 101.1 and 102.0 mm of equatorial diameter (Figure 2A). Moreover, the effect of treatments with ammonium nitrate had a similar trend on the polar diameter of mango fruit with respect to the control treatment. The lowest polar diameters of mango fruit were observed with the PBZ + AN 2 % and PBZ + AN 4 % treatments, with values of 113.5 and 119.4 mm, respectively (Figure 2B). Likewise, the lowest fruit weight was observed in the PBZ + AN 4 %, AN 4 %, and PBZ + AN 2 % treatments, with values of 518.34, 567.88 and 583.54 g, respectively (Figure 2C), while, the mango fruit weight in the rest of the treatments with ammonium nitrate did not significantly differ to the control treatment (665.86 g) (Figure 2C). According to our above mentioned results, the sequential treatments of PBZ plus PN or AN significantly reduced the mango cv. Tommy Atkins fruit weight and size (Figure 1 and 2). These results agree with those found by Oosthuyse and Jacobs (1997) in cv. Tommy Atkins who conclude that fruit weight decrease as PBZ concentration increase, they interpret this fact as due to fruit overcrowding resulting in more competition for the available resources. These effects are also reported in other horticultural crops as cucumber, tomatoes and avocado (Magnitskiy et al., 2006). Although in mango cv. Manila, Sensation and Kent the weight of fruit was not affected by PBZ treatments (Rebolledo-Martínez et al., 2008). Likewise, we found that PN 2 % or PN 4 % did not affect the fruit weight (Figure 1) which coincide with those reported by Ataide and Jose (2000) and Burondkar et al. (2013) where foliar spray of PN at 3 % did not influence the fruit weight on ‘Tommy Atkins’ and ‘Alphonso’ mango, respectively.

Another fact in this research is that the bigger weight and size of fruit from the non-induced plant could be attributed to the water supply by rainfall and solar radiation on the period of fruit development on the trees concurring with the rainy season from the region (Spreer et al., 2009). followed by reviews of plant water relations, water requirements, water productivity and water management. This long-lived tree is well adapted to a wide range of tropical and subtropical environments. In the low-latitude tropics, flowering is initiated after a period of water stress (at least six weeks durationEven though the fruit weight was affected negatively by several flowering inducer treatments, fruit were in the acceptance category of the required by the Mexican norms of mango fruit quality.
Conclusions
PBZ followed by foliar application of nitrates, induced flowering and enhanced the number developed panicles and it might be used as an alternative to induce flowering of mango trees cv. Tommy Atkins in the mango growing tropical regions of the world.
Acknowledgements
This work was funded by the Colegio de Postgraduados Campus Tabasco. Thanks to Mr. Antonio Castillo Castillejos, owner of the mango orchard where this study was performed. The Master program of Moises Morales-Martínez was supported by a scholarship by the “Consejo Nacional de Ciencia y Tecnología” (CONACYT-598682-México).
References
Afiqah, A.N., Nulit, R., Hawa, Z.E.J. and Kusnan, M. 2014. Improving the yield of ‘Chok Anan’ ( MA 224 ) mango with potassium nitrate foliar sprays. Int. J. Fruit Sci. 14: 416-423.
Ataide, E. and Jose, A. 2000. Effect of different intervals of potassium nitrate spraying on flowering and production of mango trees (Mangifera indica L.) cv. Tommy Atkins. Acta Hort. 509: 581-585.
Bindu, G.V., Sharma, M. and Upreti, K.K. 2017. Polyamine and ethylene changes during floral initiation in response to paclobutrazol in mango (Mangifera indica L.). Int. J. Environment. Agric. Res. 3: 34-40.
Bindu, G.V., Upreti, K.K. and Sathisha, G.J. 2018. Effects of paclobutrazol on non-enzymatic and enzymatic antioxidants during floral bud development in mango (Mangifera indica L.) cv. Totapuri. Int. J. Curr. Microbiol. App. Sci. 7: 1608-1617.
Burondkar, M.M., Rajan, S., Upreti, K.K., Reddy, Y.T.N., Singh, V.K., Sabale, S.N., Naik, M.M., Nigade, P.M. and Saxena, P. 2013. Advancing Alphonso mango harvest season in lateritic rocky soils of Konkan region through manipulation in time of paclobutrazol application. J. Appl. Hort. 15: 178-182.
Burondkar, M.M., Upreti, K.K. and Bhave, S.G. 2016. Hormonal changes during flowering in response to paclobutrazol application in mango cv. Alphonso under konkan conditions. Indian J. Plant physiol. 21: 306-311.
Davenport, T. L. 2007. Reproductive physiology of mango-Review. Braz. J. Plant Physiol. 19: 363-376.
FAO. 2019. Food and Agriculture Organization of the United Nations. http://www.fao.org/faostat/es/#data/QC. (Access: march 2019).
Gopu, B., Balamohan, T.N., Swaminathan, V., Jeyacumar, P. and Soman, P. 2017. Effect of Growth Retardants on Yield and Yield Contributing Characters in Mango (Mangifera indica L.) cv. Alphonso under Ultra High Density Plantation. Int. J. Curr. Microbiol. Appl. Sci. 6: 3865-3873.
Guevara, E., Jiménez, V.M. and Bangerth, F.K. 2012. Response of Endogenous Hormone Concentrations to Two Floral Inductive Treatments, viz. KNO3 and PBZ, in Mango cv. “Tommy Atkins” Growing Under Tropical Conditions. Trop. Plant Biol. 5: 253-260.
Ionescu, I.A., Moller, B.L. and Sanchez-Perez, R. 2017. Chemical control of flowering time. J. Exp. Botany 68: 369-382.
Kishore, K., Singh, H.S. and Kurian, R.M. 2015. Paclobutrazol use in perennial fruit crops and its residual effects: A review. Indian J. Agr. Sci. 85: 863-872.
Kumbhar, A.R., Gunjate, R.T., Thimaiah, I.M. and Amin, S.M. 2009. Comparison of Cultar and Austar as source of paclobutrazol for flowering and fruiting in Kesar mango. Acta Hort. 820: 403-406.
Magnitskiy, S.V., Pasian, C.C., Bennett, M.A. and Metzger, J.D. 2006. Effects of Soaking Cucumber and Tomato Seeds in Paclobutrazol Solutions on Fruit Weight, Fruit Size, and Paclobutrazol Level in Fruits. HortScience 4: 11446-11448.
Maloba, S., Ambuko, J., Hutchinson, M. and Owino, W. 2017. Off-Season Flower Induction in Mango Fruits Using Ethephon and Potassium Nitrate. J. Agr. Sci. 9: 158-167.
Mitra, S.K. 2016. Mango production in the world - present situation and future prospect. Acta Hortic. 1111: 287-296.
Narvariya, S.S., Singh, C.P., Sing, A.K., Dhami, V. and Sharma, A. 2014. Response of cultar on growth, flowering and yield behaviour of mango (Mangifera indica L.) cv. Dashehari. Prog. Hortic. 46: 61-64.
Narvariya, S.S. and Singh, C.P. 2018. Cultar (P333) a boon for mango production- a review. Int. J. Curr. Microbiol App. Sci. 7: 1552-1562.
Normand, F., Lauri, P.E. and Legave, J.M. 2015. Climate change and its probable effects on mango production and cultivation. Acta Hortic. 1075: 21-31.
Oosthuyse, S.A. 2015. Spray application of KNO3, low biuret urea, and growth regulators and hormones during and after flowering on fruit retention, fruit size and yield of mango. Acta Hort. 1075: 135-141.
Oosthuyse, S.A. and Jacobs, G. 1997. Effect of soil applied paclobutrazol on fruit retention, fruit size, tree yield and tree revenue in ‘Sensation’ and ‘Tommy Atkins’ mango. Acta Hort. 455:431-440.
Patoliya, R.M., Tandel, B.M., Patil, S.J. and Patel, N.K. 2017. Response of foliar spray of different chemicals on flowering and fruit retention of dashehari mango under ultrahigh density plantation. Int. J. Chem. Studies. 5: 1285-1287.
Pérez-Barraza, M.H., Vázquez-Valdivia, V. and Osuna-García, J.A. 2009. Floral bud development of “Tommy Atkins” mango under tropical condition in Nayarit, Mexico. Acta Hort. 820: 197-204.
Quijada, O., Herrero, B., González, R., Casanova, A. and Camacho, R. 2008. Influence of the Pruning and Potassium Nitrate and Potassium Tiosulphate on the quality of some promissory varieties of mango (Manngifera indica L.) in the plain of Maracaibo, Venezuela. Rev. Iber. Tecnología Postcosecha 9: 121-130.
Ramírez, F. and Davenport, T.L. 2010. Mango (Mangifera indica L.) flowering physiology. Scientia Hort. 126: 65-72.
Ramírez, F., Davenport, T.L., Fischer, G., Pinzón, J.C.A. and Ulrichs, C. 2014. Mango trees have no distinct phenology: The case of mangoes in the tropics. Scientia Hort. 168: 258-266.
Rani, U.K. 2018. Advances in crop regulation in mango (Mangifera indica L.). Int. J. Curr. Microbiol. App.Sci. 7: 35-42.
Rebolledo-Martínez, A., Del Ángel-Pérez, A.L. and Moreno, J.R. 2008. Effects of Paclobutrazol and KNO3 over flowering and fruit quality in two cultivars of mango Manila. Interciencia 33: 518-522.
Salazar-Garcia, S., Pérez-Barraza, M.H. and Vázquez-Valdivia, V. 2000. Effect of ammonium nitrate sprays on flowering and harvest time of ‘Manila’, ‘Ataulfo’, and ‘Tommy Atkins’ mango in Nayarit, México. Acta Hort. 509: 573-580.
Sandip, M., Makwana, A.N., Barad, A.V. and Nawade, B.D. 2015. Physiology of Flowering- The Case of Mango. Int. J. Appl. Res. 1: 1008-1012.
Sarker, B.C. and Rahim, M.A. 2013. Yield and quality of mango (Mangifera indica L.) as influenced by foliar application of potassium nitrate and urea. Bangladesh J. Agr. Res. 38: 145-154.
Shinde, V.K., Manjarekar, R.G., Kadam, C.S. and Dubale, J.J. 2015. Response of Paclobutrazol Application Time on Flowering, Fruiting and Yield of Mango cv. Alphonso. Remarking 1: 1-6.
Silva, G.J.N., Souza, E.M., Rodrigues, J.D., Ono, E.O. and Mouco, M.A.C. 2013. Floral induction of mango “Tommy Atkins” at submedio Sao Francisco Region, Brazil. Acta Hort. 992: 149-153.
Spreer, W., Ongprasert, S., Hegele, M., Wünsche, J.N. and Müller, J. 2009. Yield and fruit development in mango (Mangifera indica L. cv. Chok Anan) under different irrigation regimes. Agr. Water Manage 96: 574-584.
Srilatha, V., Reddy, Y.T.N., Upreti, K.K. and Jagannath, S. 2015. Pruning and paclobutrazol induced vigour, flowering and hormonal changes in mango (Mangifera indica L.). The Bioscan. 10: 161-166.
Sukhvibul, N., Whiley, A.W., Smith, M., Hetherington, S.E. and Vithanage, V. 1999. Effect of temperature on inflorescence and floral development in four mango (Mangifera indica L.) cultivars. Scientia Hort. 82: 67-84.
Tharanathan, R.N., Yashoda, H.M. and Prabha, T.N. 2006. Mango (Mangifera indica L.), “The King of Fruits”-An Overview. Food Rev. Int. 22: 95-123.
Tiwari, D.K., Patel, V.B. and Pandey, K. 2018. Floral induction in mango: physiological, biochemical and molecular basis. Int. J. Chem. studies 6: 252-259.
Vijaykrishna, G., Bhagwan, A., Raj Kumar, M. and Siva Shankar, A. 2016. Effect of flower enhancing plant growth regulators and fruit set improving chemicals on flowering and fruit set of mango (Mangifera indica L.) cv. Banganpalli. Int. J. Sci. Nature 7: 81-88.
Yeshitela, T., Robbertse, P.J. and Stassen, P.J.C. 2005. Potassium nitrate and urea sprays affect flowering and yields of ‘Tommy Atkins’ (Mangifera indica L.) mango in Ethiopia. S. Afric. J. Plant Soil 22: 28-32.
Author notes
*Autor para correspondencia: moscoso@colpos.mx