Research Article
Revisitando los contenidos curriculares y las actitudes bioéticas de los alumnos de la División de Ciencias Biológicas y de la Salud de la Universidad Autónoma Metropolitana-Iztapalapa
Revisiting curricula contents and bioethical attitudes of undergraduate students at the Biological Sciences and Health Division of the Universidad Autónoma Metropolitana-Iztapalapa
Revisitando los contenidos curriculares y las actitudes bioéticas de los alumnos de la División de Ciencias Biológicas y de la Salud de la Universidad Autónoma Metropolitana-Iztapalapa
Biotecnia, vol. 26, e2346, 2024
Universidad de Sonora, División de Ciencias Biológicas y de la Salud
Received: 31 May 2024
Accepted: 01 July 2024
Published: 22 August 2024
Resumen: En México la bioética ha tenido un enfoque predominantemente médico, pero una perspectiva más amplia sobre esta temática ha cobrado relevancia en las últimas décadas. Bajo este enfoque, el objetivo del presente trabajo es analizar el contenido de bioética en los planes y programas de estudio de las licenciaturas de la División de Ciencias Biológicas y de la Salud (DCBS) en la Universidad Autónoma Metropolitana-Iztapalapa (UAM), así como evaluar, a través de un cuestionario ad hoc, los componentes cognitivos, afectivos y conductuales de las actitudes de los alumnos de sus 6 licenciaturas en relación con problemáticas bioéticas, buscando correlaciones entre los contenidos curriculares y las actitudes de los alumnos, así como comparar estos resultados con los obtenidos en un estudio previo (Contreras Islas et al., 2016). Los resultados muestran un panorama general de actitudes favorables de los encuestados, con algunas diferencias entre los alumnos de las distintas licenciaturas, una situación en general, similar a la observada en el estudio previo. Al igual que en el estudio anterior, los resultados sugieren que los contenidos oficiales de los planes de estudio han tenido muy poco que ver con la adquisición de dichas actitudes por parte de los alumnos.
Palabras clave: Actitudes, Bioética, Educación Superior.
Abstract: Bioethics has been discussed predominantly as a medical issue, although a broader perspective for its study has recently become important. Under this context, the purpose of this investigation was to evaluate the bioethical content of official undergraduate studies programs of the Biological and Health Sciences Division (DCBS) at the Universidad Autónoma Metropolitana, Iztapalapa Campus (UAMI), as well as the cognitive, affective and active components of the attitudes of the undergraduate students of their six graduate programs, as well as to compare these results with those obtained in a previous study (Contreras Islas et al., 2016). Data show predominantly favorable attitudes towards a bioethical perspective, with some differences between students from different programs, a similar result to that previously obtained. Thus, these results suggest that the contents within the curricula seem to have little influence on the acquisition of these attitudes.
Keywords: Attitudes, Bioethics, Higher Education.
Introducción
La ética del uso de seres vivos en la experimentación tuvo sus raíces en la década de los 30, cuando se elaboran normas al respecto en países europeos y en Estados Unidos. La visión original se vio modificada como resultado de la Segunda Guerra Mundial que puso en la palestra la necesidad de profundizar en la ética médica, buscando si no prohibir, al menos orientar las decisiones relacionadas con la justificación de los seres humanos como sujetos de experimentación.
Un concepto más amplio de bioética se encuentra en la obra de Potter. Para él, “la bioética se esfuerza por engendrar una sabiduría, un saber relacionado con la manera de utilizar el conocimiento para un bien social, sobre la base de un conocimiento realista de la naturaleza biológica del hombre y del mundo biológico” (Potter, 1971). Potter concibe una bioética global, que atraviesa todas las dimensiones de la vida humana. No se trata sólo de generar marcos éticos para el trato con animales y humanos en situaciones de investigación, sino integrar los conocimientos científicos - especialmente biológicos, ecológicos y clínicos - en los procesos de toma de decisión políticos, institucionales e individuales. Esta perspectiva amplia de bioética ha cobrado mayor relevancia en las últimas décadas (González Valenzuela y Linares Salgado, 2013; UNESCO, 2015).
Siguiendo a Álvarez Díaz, “la bioética contemporánea, como disciplina consolidada, puede dividirse en una microbioética, una mesobioética y una macrobioética” (Álvarez Díaz, 2021). A cada uno de estos niveles competen temas y problemáticas particulares. El enfoque clínico y antropocéntrico de la ética médica, por ejemplo, sería característico de la microbioética, centrada en la toma de decisiones respecto al propio cuerpo. La mesobioética, en cambio, se enfoca en temas relacionados con “la toma de decisiones institucionales y estructurales” en cuestiones de salud humana. Finalmente, la macrobioética “abarca el grado propio de una bioética global, en la cual debe considerarse la ecoética o ética ecológica […], cuestiones de justicia global (con problemas tales como el turismo de salud, el turismo médico, etc.) y las relaciones entre bioética y biopolítica, así como la posibilidad de construir una bioética cívica mundial” (Álvarez Díaz, 2015).
En México la bioética comenzó a tener fuerza en los años 80 a partir de una serie de reformas a la Ley General de Salud en respuesta a las declaraciones y recomendaciones de organizaciones internacionales. Este proceso desemboca en la creación de la Comisión Nacional de Bioética (CONBIOÉTICA) en el año 1992. Siguiendo con la tendencia internacional, la CONBIOÉTICA ha priorizado la atención de temas y preguntas al nivel de la microbioética. Paralelamente, han surgido grupos de investigación interesados en cuestiones meso y macrobioéticas, como el Seminario Permanente de Bioética y el Programa Universitario de Bioética de la Universidad Nacional Autónoma de México.
En la Universidad Autónoma Metropolitana, Unidad Iztapalapa (UAMI) existen planes de estudio que forman profesionales con actividades relacionadas con el estudio de los seres vivos y la salud humana. Desde una perspectiva bioética, la formación de estos profesionales debería orientarlos hacia el cumplimiento con las normas y legislaciones internacionales respectivas y, en general, brindarles las herramientas para tomar decisiones profesionales (y personales) consistentes con este enfoque. Esta perspectiva es consistente, además, con los planteamientos de interdisciplinariedad y responsabilidad social que se pueden encontrar en la legislación universitaria (Contreras Islas, 2018).
Adicionalmente, la División de Ciencias Biológicas y de la Salud (DCBS) aprobó los Lineamientos para la Conducción Ética de la Investigación, la Docencia y la Difusión, y constituyó la Comisión de Ética encargada de “emitir dictámenes sobre los problemas éticos planteados por los procedimientos de investigación, docencia y difusión en las ciencias de la vida y la salud” (UAM, 2010). En función de lo anteriormente mencionado, sería interesante indagar tanto los contenidos curriculares, como los conocimientos y actitudes de los alumnos en relación con la bioética.
Con este propósito, ente 2011 y 2013, nuestro grupo de trabajo analizó el contenido de bioética en los planes y programas de estudio de las 6 licenciaturas de la División de Ciencias Biológicas y de la Salud (DCBS). En un segundo paso, se aplicaron encuestas para evaluar los componentes cognitivos, afectivos y conductuales de las actitudes de los alumnos de dichas licenciaturas y su relación con temas y problemáticas bioéticas. En un tercer paso, se buscaron correlaciones entre los contenidos curriculares y las actitudes de los alumnos, con miras a proponer modificaciones a los planes y programas de estudio. Los resultados de estos estudios (Contreras Islas et al., 2016; 2017a; 2017b) se difundieron entre la población universitaria con el objeto de impulsar cambios curriculares para fortalecer los contenidos de bioética e incidir positivamente en las actitudes de los alumnos.
Los planes y programas de estudio de las licenciaturas fueron modificados sustancialmente al año siguiente, por lo que consideramos relevante volver a realizar este estudio, considerando la posibilidad de que los cambios introducidos, así como las repercusiones de eventos traumáticos (la pandemia de COVID19), se vieran reflejados en los afectos y las actitudes de los alumnos hacia la problemática bioética.
Dada la importancia actual de la bioética para toda comunidad que desempeñe actividades docentes, de investigación o profesionales en el campo de las ciencias biológicas y de la salud, los involucrados en el presente estudio consideramos que el desarrollo de este tipo de proyectos resulta valioso y enriquecedor. Consideramos que los resultados obtenidos de un estudio semejante podrán servir, además, para revalorizar y, en su caso, mejorar las actitudes que la DCBS transmite a su comunidad y que deberían ser coherentes con los principios y conceptos plasmados, tan acertadamente, en sus documentos oficiales.
Materiales y métodos
Concepto y contenido de bioética en los planes y programas de las licenciaturas de la DCBS, UAM-I
Para determinar la formación bioética que se pretende impartir a los alumnos de la DCBS, y en función de que nuevos planes y programas de estudio entraron en vigencia completa 4 años después de concluido el estudio previo, se analizaron los contenidos en los planes de estudio y los programas de las Unidades de Enseñanza-Aprendizaje (UEA) de las licenciaturas e ingenierías vigentes en 2021, utilizando las mismas 20 palabras clave, establecidas con base en el contenido de los Lineamientos de la Comisión de Ética de la DCBS (2010): autoconciencia, bioética, compromiso, conciencia, convivencia, cooperación, dignidad, equidad/igualdad, ética, justicia, legislación, ley, libertad, moral, norma, principio, regla, respeto, responsabilidad y tolerancia. Dichos términos pueden agruparse como propios del discurso de la bioética o la (bio)moral, si bien varios de ellos pueden considerarse igualmente válidos para referirse tanto a temáticas éticas en sentido amplio como a cuestiones propias de la moral, que son los mismos términos utilizados en el estudio previo (Contreras-Islas et al., 2016). Estas palabras clave se encuentran también en las Políticas de Docencia y en el Plan de Desarrollo Institucional (2011-2024) de la UAM.
De igual forma, se mantuvo la organización original de las seis licenciaturas de la DCBS (B = Biología, BE = Biología Experimental, H = Hidrobiología, IA = Ingeniería de los Alimentos, IBI = Ingeniería Bioquímica Industrial, y PA = Producción Animal) en tres grupos, de acuerdo con su enfoque particular plasmado en los objetivos generales de su currículo, agregando cinco palabras adicionales para el análisis de los planes de estudio y programas de cada uno de ellas, relacionadas con sus respectivas problemáticas y campos de trabajo (Tabla 1).

La búsqueda de palabras clave en los documentos se realizó utilizando la función de búsqueda avanzada de Acrobat Reader Pro DC, introduciendo una lista con las 25 palabras específicas para cada bloque, más otros términos relacionados semántica y etimológicamente con las palabras de búsqueda. Se determinaron las coincidencias con los términos buscados, además de analizar su contexto semántico para determinar si su uso aludía o no, efectivamente, al campo semántico de la ética.
Además, se cuantificaron aquellos casos donde una misma palabra apareciera de manera recurrente en distintas secciones del programa (p. ej. Objetivo General, Contenido Sintético, Bibliografía), por considerarlo un signo de mejor integración del concepto al mismo, en contraste con una mención meramente “formal” del concepto (p. ej. cuando éste aparece en la sección de Objetivo General, pero no surge nuevamente en ninguna parte del programa).
Diagnóstico de componentes bioéticos en los alumnos de las licenciaturas de la DCBS, UAM-I
Para determinar si las actitudes de los alumnos de las licenciaturas de la DCBS son favorables o desfavorables a la temática bioética, se consideraron elementos cognitivos, afectivos y conductuales, mismos que se reflejan finalmente en una predisposición a responder de cierta manera a los estímulos del entorno (Castro de Bustamante, 2003; Sánchez Fernández y Mesa Franco, 1998). Para la evaluación de elementos cognitivos, se consideró el conocimiento de los alumnos en torno al contenido de los Lineamientos de la Comisión de Ética, además de aspectos regulativos institucionales, nacionales e internacionales que en ellos se mencionan. En el caso de los componentes afectivos, se evaluó, ante todo, la preocupación y el sentido de responsabilidad, principalmente como miembro de una comunidad moral, que despiertan en él las cuestiones bioéticas, tanto dentro del campus universitario como en el plano de su vida cotidiana, así como su buena disposición a conocer y aceptar la importancia de las regulaciones bioéticas. Por último, el componente conductual buscará reflejar qué tan a menudo los alumnos incurren en acciones que sean coherentes con la responsabilidad hacia el entorno social y natural, el respeto a la vida en todas sus formas, la precaución y la prevención de riesgos.
En consecuencia, se considerará en este estudio como una actitud bioética favorable, aquélla que refleje más afinidad por conocimientos, afectividades y conductas coherentes con los principios planteados, directa o indirectamente, por la Comisión de Ética de la DCBS en sus documentos oficiales (Reglamento interno y Lineamientos), perspectiva semejante a la utilizada en el estudio anterior (Contreras Islas et al., 2017a; 2017b).
Composición de la muestra y método de muestreo
Considerando los datos de alumnos inscritos en cada licenciatura durante los trimestres 23-P y 23-O, proporcionados por la Coordinación de Sistemas Escolares, y siguiendo las consideraciones de Babbie (2000), Baena (1996), Rojas Tejada et al. (1998) y Sulbarán (2009), se determinó un tamaño de muestra que abarcara entre el 5 % y el 10 % de la población total. Adicionalmente, la muestra debería reflejar de forma aproximada los porcentajes que el número de alumnos de cada licenciatura aportan al total de alumnos de licenciatura en la DCBS. Finalmente, por consideraciones operativas, el cuestionario fue aplicado a un total de 207 alumnos de las 6 licenciaturas de la DCBS, de manera presencial en la mayoría de los casos, o bien en línea utilizando un formato digital en la plataforma de Google Forms, habiendo recabado previamente el consentimiento informado de todos los participantes en el estudio.
El número total de alumnos que contestaron el cuestionario se muestra en la Tabla 2. Cabe señalar que la matrícula de las Ingenierías representa cerca del 50 % del total de los alumnos de la DCBS, por lo que existe una subrepresentación de la muestra originalmente planteada para el estudio, si bien los resultados obtenidos no parecen mostrar sesgo alguno debido a esta circunstancia.

La distribución de los alumnos con respecto a su trayectoria escolar fue también homogénea., ya que la muestra incluyó alumnos inscritos en los primeros trimestres (menos de 125 créditos cursados), intermedios (entre 126 y 375 créditos) y los que ya se encontraban cursando el último año de sus licenciaturas (más de 376 créditos).
Elaboración y validación del instrumento
Se elaboró el cuestionario compuesto por 47 preguntas y dividido en cuatro secciones empleado en el estudio anterior (Contreras Islas et al., 2017a). En la primera sección, se preguntaba al alumno si conocía el concepto de bioética y, en caso de recibir una respuesta afirmativa, se le pedía que escribiera brevemente lo que entendía por dicho concepto (pregunta 2), y que realizara una asociación de palabras sobre el mismo (pregunta 3) y que pasara a la siguiente sección.
La segunda sección, compuesta por diez preguntas, era relativa a la información en materia de bioética recibida por el alumno a lo largo de su formación académica, dentro y fuera de la UAM-I. Se pedía al alumno que contestara, primero, si había recibido información en materia de bioética durante su formación académica y, en caso de haberla recibido, se le pedía especificar en qué parte y por qué medios
La tercera sección estaba compuesta por 30 ítems de una escala tipo Likert para la medición de actitudes, elaborada con base en el manual de Méndez Hinojosa et al. (2006) y las apreciaciones de Sulbarán (2009) para la medición de actitudes. Los 10 primeros ítems fueron destinados a evaluar componentes cognitivos, los siguientes 10, componentes afectivos y los últimos 10, componentes conductuales de la actitud bioética, con base en los elementos señalados al principio de este inciso.
Las escalas tipo Likert se construyen generando un elevado número de afirmaciones que califican al objeto de una actitud. Para ello, se generó una matriz de respuestas para cada ítem con una escala continua de valores del 1 al 5, donde 1 es totalmente en desacuerdo y 5 totalmente de acuerdo. Un grupo de ítems puede representar una variable o la dimensión de una variable, que recibe el valor de la sumatoria de los valores asignados a cada ítem.
La última sección se componía de 4 preguntas sobre datos académicos del encuestado, básicamente: licenciatura, trimestre de ubicación, créditos acumulados y áreas de interés. Se trataba básicamente de preguntas de opción múltiple y algunas respuestas abiertas, que se manejaron siempre como valores de variables nominales durante el análisis.
La principal característica del método de Likert es que prescinde del método de validación por jueces, optando, en cambio, por la realización de una prueba piloto del instrumento. En este sentido, se realizó una prueba piloto con una versión del cuestionario que incluía una amplia sección de comentarios, en la que la persona encuestada pudiera opinar respecto a la estructura, claridad y pertinencia de los ítems. Participaron 40 alumnos y 5 profesores de la DCBS. Se eligieron profesores que tuvieran experiencia trabajando con cuestionarios. Los resultados de la prueba piloto se incorporaron a la versión final del instrumento.
Análisis de datos
Los datos obtenidos de los 207 cuestionarios se procesaron y analizaron empleando el programa IBM SPSS V. 21. Los ítems de las secciones uno, dos y cuatro se manejaron como variables nominales, mientras que los ítems de la escala de Likert se manejaron como variables ordinales.
Para el análisis de las escalas de Likert, se obtuvieron los promedios de los diferentes ítems asignando valores numéricos a las respuestas y se consideraron éstas como “muy malas” (1), “malas” (2), “neutras” (3), “buenas” (4) o “muy buenas” (5). Para la calificación de las respuestas, éstas se consideraron como favorables solamente cuando sus promedios eran mayores de 3. Los resultados para los componentes cognoscitivos, afectivos y conductuales se compararon utilizando los promedios de las preguntas consideradas como significativas para cada uno de estos grupos, y se compararon los resultados obtenidos entre los alumnos de las diversas licenciaturas.
La escala tipo Likert para la medición de actitudes (sección tres del cuestionario) se validó empleando la prueba de T de Student, realizando la prueba por duplicado para las respuestas de 50 y 120 cuestionarios elegidos al azar, respectivamente. De acuerdo con lo estipulado por Méndez Hinojosa et al. (2006), se consideraron válidos únicamente aquellos ítems que tuvieron un valor de T mayor al reportado en las tablas estándar en al menos una de las pruebas.
La escala compuesta únicamente por los ítems validados mediante la prueba de T de Student fue sometida a la prueba de Alfa de Cronbach obteniendo un valor de 0.708, mismo que refleja una adecuada correlación entre los componentes de la escala, corroborando su validez (Ander-Egg, 1995; Babbie, 2000; Rojas Tejada et al., 1998). Únicamente estos ítems fueron considerados para el resto del análisis de esta sección.
La tabla 3 indica los ítems de cada sección del cuestionario que obtuvieron una Chi Cuadrada menor a 0.05 al correlacionarse con la variable “Licenciatura que cursa”, en la que se reunieron los datos de las licenciaturas a las que estaban inscritos los encuestados. Por su relevancia estadística, el análisis y la discusión de los resultados se enfocan exclusivamente en estos elementos.

Se buscaron correlaciones entre los ítems de la sección cuatro del cuestionario (referentes a datos académicos del encuestado) y los ítems de las primeras tres secciones empleando la prueba de Chi Cuadrada. Para aquellos casos en los que el valor de Chi Cuadrada fue menor a 0.05, los datos fueron transformados a un formato de Microsoft Excel 2010 y procesados para obtener representaciones gráficas que permitieran visualizarlos de forma más clara.
Resultados y discusión
Concepto y contenido de bioética en los planes y programas de las UEA.
El análisis muestra que las 20 palabras clave planteadas para todos los planes y programas de estudio tienen poca presencia en los contenidos y objetivos de todas las licenciaturas, y que la mayoría de las coincidencias se relacionaron más bien con las cinco palabras adicionales propuestas para cada licenciatura e ingeniería (Tabla 4). Estas diferencias son particularmente evidentes para el caso de BE, IA y PA, donde el porcentaje de UEA con coincidencias para palabras clave específicas llega a duplicar el que se presenta para las palabras clave comunes. Cabe señalar también que PA es la única licenciatura que cuenta una UEA optativa con el nombre especifico de Bioética en su currículo, y que su contenido sintético se corresponde directamente con la temática.

En cuanto al número total de UEA que presentan coincidencias (Figura 1), la mayor proporción se encuentra para PA y H, mientras que se observa el menor número de coincidencias para ambas Ingenierías (IA e IBI). En este último caso, la mayoría de las coincidencias se concentran en sus UEA optativas; de tales coincidencias, los tópicos con mayor frecuencia fueron los relacionados con Normas y Responsabilidad Social, y Principio e Interés Colectivo, formando un 75.43 % de todas las coincidencias encontradas.

En el estudio previo realizado en 2013, Contreras Islas et al. (2016) encontraron una presencia claramente diferente de la temática bioética para las distintas licenciaturas, siendo posible ubicar a H y PA en un grupo con alta inclusión (alrededor de la mitad de sus UEA contiene alguna palabra clave), a B e IA en un grupo con una inclusión media (con presencia de palabras clave en alrededor de la tercera parte de sus UEA) y a IBI y BE en un grupo con una inclusión baja (menos de esta proporción).
Cuando se contrastan los datos con los planteamientos bioéticos contemplados explícitamente en los planes y programas de estudio de las licenciaturas, es interesante que el menor número de UEA con recurrencias (considerado el criterio más directo de compromiso con los conceptos en el marco bioético) se presenta para los alumnos de BE y de IBI (Figura 1). Los primeros aparentemente obtendrían sus nociones bioéticas a través de la UEA del mismo nombre, la cual es considerada como optativa en su plan de estudios, pero no es claro cuál sería la fuente de información para el caso de IBI. Este fenómeno no se observa para B ni para H, que presentan una recurrencia de entre el 20 y el 25 % de sus UEA. En relación con el estudio anterior, la inclusión recurrente sigue aproximadamente el mismo patrón, aunque en porcentajes considerablemente más bajos, menores del 20 % del total de UEA, con excepción de PA que alcanza alrededor del 35 %.
Los resultados obtenidos en el estudio anterior sugieren que, en aquel momento, la temática bioética no se había incluido como un elemento formativo sólido dentro de los planes y programas de estudio de las licenciaturas de la DCBS, además de haberse incorporado de forma desigual a licenciaturas que supuestamente deberían ser cercanas por los perfiles de egreso de sus alumnos, como es el caso de B y BE, o de IBI e IA.
Si bien en términos generales todos los planes de estudio actuales han incrementado la presencia de conceptos relacionados con la bioética, los porcentajes de recurrencia que se consideran un mejor indicador de la relevancia de la inclusión temática en los programas a nivel de objetivos y contenidos sintéticos, siguen siendo de alrededor del 12 % en promedio, e incluso menores del 10 % en el caso de BE (Figura 2).

Diagnóstico de actitudes bioéticas de los alumnos Secciones I/II: Concepto de bioética, formación académica y conocimientos sobre el tema
En la Tabla 5 se muestran los porcentajes de alumnos que respondieron de forma positiva a las preguntas: ¿Has escuchado, leído o utilizado el término bioética?, ¿Has recibido información sobre bioética en tu formación académica? y ¿Has recibido información sobre bioética en la UAM?

Alrededor del 75 % de los alumnos tuvieron una respuesta afirmativa cuando se les preguntó si habían escuchado, leído o utilizado el termino de bioética, si bien había alumnos que no conocían el término, e incluso pedían una introducción sobre lo que se preguntaba en el cuestionario.
Aproximadamente la mitad de los alumnos señalaron no haber recibido información sobre bioética. Debe resaltarse la percepción de los alumnos acerca de no haber recibido información sobre el tema en la UAM, pero algunos ya traían conocimientos desde la secundaria, aunque en un porcentaje muy pequeño.
Se pudo observar que las principales fuentes de información de los alumnos, previo a su ingreso a la UAM, son las páginas de internet, así como algunas experiencias propias a través de talleres y prácticas ilustrativas en el ámbito de la educación ambiental. Un número pequeño señaló que había recibido información acerca del tema en la secundaria y en la preparatoria o directamente a través de pláticas con profesores, sobre todo en las materias relacionadas con Ciencias Naturales, lo que parece indicar la importancia de una primera aproximación al tema desde un ámbito no formal.
Para el caso de los que sí habían tenido información previa, se observó que las principales fuentes de información de los alumnos son la UEA de Bioética y otros cursos optativos en la UAM, que parecen ser más atendidos por los alumnos de BE y PA. Llama la atención que aproximadamente una cuarta parte de los encuestados no contestó esta pregunta, particularmente los alumnos de B, por lo que parece posible la existencia de un sesgo en las respuestas a este ítem.
Es importante señalar que, a pesar de esta falta de aproximación a los temas bioéticos, la totalidad de los encuestados consideró necesaria la existencia de un abordaje formal de éstos en algún momento de su formación académica.
Los resultados del estudio previo (Contreras Islas et al., 2016) mostraron que solamente un 54 % de los encuestados tenía conocimientos previos sobre bioética, y de éstos prácticamente ninguno había obtenido la información directamente en la UAM, porcentaje que, como se mencionó anteriormente, aumentó al 75 % en estudio. Estos datos parecen indicar que la presencia formal de conceptos relacionados con la temática se incrementó con el cambio de planes y programas de estudio (a nivel de coincidencias), si bien habría que determinar si la falta de recurrencia de éstos permitiría a los alumnos fijar de manera significativa la importancia del enfoque bioético en su formación. Un punto importante a resaltar es que, a pesar de la falta de información consistente sobre el tema, nuevamente todos los alumnos encuestados, manifestó que la bioética debería formar parte de su formación.
Andino (2015) discute acerca del lugar de la ética en el marco de los saberes técnicos y señala, junto con Hortal (2010), que “ser competentes técnicamente es una condición necesaria, aunque no suficiente, para ser moralmente responsables en el ejercicio profesional”. En este sentido, valdría la pena cuestionarse si el enfoque formal del estudio de la bioética (a través de programas específicamente diseñados para ello) o el abordaje de la temática a través del planteamiento de dilemas (Hirsch Adler, 2020), un enfoque más empírico, serían la mejor forma de generar actitudes favorables en los alumnos.
Otro elemento que llama la atención es que un 74 % de los encuestados desconoce la existencia de una Comisión de Ética en la DCBS, una proporción, si bien menor al 93 % detectado hace 10 años, habla de la falta de impacto de la estructura institucional diseñada para guiar el enfoque bioético en la División, particularmente si se considera que dicha Comisión debería encargarse de “suministrar información y organizar debates, talleres o encuentros entre docentes, estudiantes e investigadores…de suerte que la observancia de las normas se conviertan en un hábito…auspiciando una visión ética sobre el desarrollo científico” (UAM, 2010). Sin embargo, parecería que algún efecto, por pequeño que sea, se está logrando por vías no necesariamente institucionales.
Si la presencia de temáticas bioéticas en los programas de las UEA de los planes de estudio de cada licenciatura fuera por sí sola una garantía de que los alumnos recibirán dicha información, podríamos esperar una cierta proporción entre el porcentaje de UEA con contenido bioético dentro del plan de cada licenciatura y el porcentaje de alumnos de cada licenciatura que han recibido información del tema en la UAM. Sin embargo, como se verá en el inciso siguiente, dicha correlación no existe, o al menos no es lo suficientemente clara, lo que sugiere que la relación entre contenidos curriculares y actitudes es compleja, y no lineal.
Sección III: Análisis de la escala de medición de actitudes
En esta sección del cuestionario únicamente se analizaron los ítems que cumplieron los criterios señalados para establecer como válida su correlación con la variable “licenciaturas a las que estaban inscritos los encuestados”. Cabe señalar que, en algunos casos que se señalan de manera específica, los valores de las escalas se invirtieron para calcular, a través de la suma de los 3 enfoques, las actitudes consideradas como favorables.
Componentes cognitivos
Con respecto al ítem 4 (El concepto de bioética se refiere al estudio de los problemas éticos, sociales, humanísticos y legales de la biotecnología, la biología, la medicina, la genética y el manejo de organismos vivos), el porcentaje de respuestas favorables fue mayor del 50 % para todas las licenciaturas, siendo particularmente elevado en el caso de B, con un 60 % de respuestas “muy buenas” (Figura 2, Panel A).
De manera sorprendente, las respuestas a la otra pregunta analizada (La bioética se fundamenta en principios y valores que son más religiosos que científicos) fue muy diversa, desde solamente un 40 % de respuestas favorables para PA hasta más del 80 % para el caso de B. Llama también la atención que, para todas las licenciaturas con excepción de B, el porcentaje de respuestas “neutras” fue de alrededor del 25 % (Figura 2, Panel B).
Para la determinación del porcentaje de respuestas que reflejaron conocimientos favorables y desfavorables en esta categoría, se promediaron los resultados de ambas preguntas. El porcentaje de respuestas que indican conocimientos favorables se mantuvo alrededor del 50 % para toda la muestra, si bien existen variaciones de casi un 10 % entre la licenciatura con mayor número de respuestas favorables (H, con 53 % de respuestas favorables) y la de menor número (IA, con sólo 44 % de respuestas favorables) (Figura 3).

Cuando se comparan las calificaciones totales para esta sección, aparecen más claramente diferencias entre las licenciaturas, particularmente cuando se separan ambas preguntas en el análisis. Es interesante notar que la posición de los alumnos de la mayoría de las licenciaturas al respecto de si la bioética se apoya en principios religiosos más que científicos, es valorada de una manera más neutral, con respecto a la otra pregunta de este inciso. Esta diferencia es más notoria para PA e IBI, aunque no parece ser significativa para B y BE.
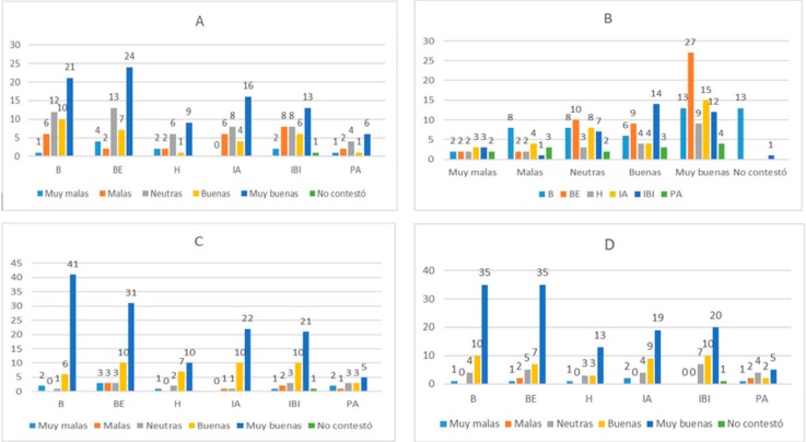
Componentes afectivos
De acuerdo a lo mencionado anteriormente, en este rubro solamente se consideraron las preguntas 12, 13, 14 y 20, para las que se incluyen los resultados correspondientes. Cabe señalar que uno de los alumnos de la licenciatura de IBI no contestó ningún de los ítems de esta sección del cuestionario.
Para la pregunta 12 (Las normas bioéticas complican y entorpecen la investigación científica) y 13 (La implementación de normas bioéticas implica gastos innecesarios), la categorización de respuestas se consideró de forma invertida, ya que las preguntas se plantearon en forma negativa, mientras que para las preguntas 14 (Me molesta cuando alguien no toma en cuenta las consecuencias de sus acciones sobre el medio ambiente) y 20 (Me siento satisfecho cuando influyo en que compañeros, familiares y amigos actúen de manera más responsable hacia el entorno social y natural), los valores se consideraron en el orden normal.
Con respecto al ítem 12, las respuestas favorables se presentan entre el 50 y el 60 % para todas las licenciaturas, si bien debe señalarse que entre el 20 y el 30 % de todos los alumnos optaron por la valoración “neutra” del enunciado, y que hasta un 25 % de los alumnos de IBI estuvieron de acuerdo con la noción de que las normas bioéticas no favorecen el desarrollo de las investigaciones científicas, comparado con el 12 % presente en alumnos de BE (Figura 4, Panel A).

En lo que corresponde al ítem 13, B, BE e IBI presentan alrededor del 70 % de valoraciones favorables, siendo este último caso particularmente interesante, ya que no muestra el mismo comportamiento que se observa para la pregunta anterior. Otro elemento que debe resaltarse es el hecho de que solamente el 50 % de los alumnos de PA indicaron respuestas favorables a este ítem (Figura 4, Panel B).
Las otras 2 preguntas analizadas en este inciso presentan en general una valoración más favorable para todas las licenciaturas, con más del 80 %, si bien debe notarse el caso de PA, con alrededor del 50 % de opiniones positivas y un número significativo de valoraciones neutras (Figura 4, Paneles C y D).
El porcentaje de respuestas que indican afectividades favorables se mantuvo alrededor del 50 % para la mayoría de las licenciaturas, si bien PA y BE presentan una mayor proporción de respuestas desfavorables (59 y 54 %, respectivamente) y la de menor número (IA, con sólo 44 % de respuestas favorables) (Figura 5).

Cuando se comparan las calificaciones totales para esta sección, aparece más claramente la diferencia existente entre las evaluaciones de todas las licenciaturas con respecto a PA, que presenta el puntaje más bajo para casi todos los ítems. particularmente cuando se separan ambas preguntas en el análisis. Es interesante notar que cuando los planteamientos se expresan en forma negativa (Ítems 12 y 13), la posición de los alumnos de todas las licenciaturas es valorada de una manera más neutral, si bien esto no se aprecia para PA.
Componentes conductuales
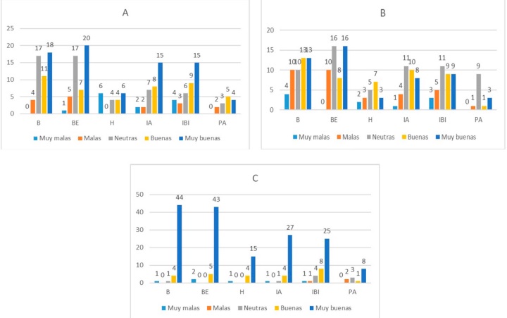
Para este rubro solamente se consideraron los ítems 22, 25 y 26, para las que se incluyen los resultados correspondientes. Cabe señalar que los enunciados de esta sección pretenden analizar la predisposición de los encuestados para realizar o no ciertas conductas que se valorarían como “correctas” desde una perspectiva bioética, más que determinar si las llevarían realmente a cabo o no.
Con respecto a la pregunta 22 (Apoyo la elaboración de protocolos de investigación que minimicen el uso de seres vivos como modelos experimentales), las respuestas favorables se presentan entre el 50 y el 68 % para todas las licenciaturas, si bien debe señalarse que entre el 20 y el 30 % de los alumnos de las licenciaturas en B y BE optaron por la valoración “neutra” del enunciado, una proporción significativamente diferente de la presente para los alumnos de las demás licenciaturas (Figura 6, Panel A). Este comportamiento es interesante, ya que el perfil curricular de los egresados de BE se orienta específicamente hacia la experimentación utilizando seres vivos, algo que no corresponde al de los alumnos de B.

En lo que corresponde al ítem 25 (Siempre externo mi opinión cuando me parece que algún miembro de mi comunidad actúa de forma no ética), llama la atención el caso de la licenciatura en PA, cuyos alumnos eligieron la opción “neutral” en una proporción del 60 %. Para el resto de las licenciaturas, la proporción de valoraciones favorables se situó alrededor del 50 % (Figura 6, Panel B).
Finalmente, el trato respetuoso a los animales planteado en el ítem 26 (Figura 6, Panel C), es claramente un aspecto incorporado en el imaginario de todos los estudiantes de la DCBS.
En consecuencia, esto parece indicar que los alumnos no participarían en proyectos de investigación en los cuales no se tengan las normas bioéticas necesarias para el uso de animales y su relación con el medio ambiente, aunque es interesante detectar que algunos alumnos sí consideran la posibilidad de su participación en investigaciones que no cumplan con las normas bioéticas.
El porcentaje de respuestas que indican afectividades favorables se mantuvo alrededor del 50 % para la mayoría de las licenciaturas, si bien PA presenta una proporción equivalentes para ambos tipos de conductas, y por otra parte IA sólo muestra alrededor de un 25 % de conductas no favorables.
Cuando se comparan las calificaciones totales para esta sección, aparece más claramente la diferencia existente entre las evaluaciones de todas las licenciaturas con respecto a PA, que presenta el puntaje más bajo para dos de los tres ítems, particularmente cuando se separan ambas preguntas en el análisis. Es interesante resaltar la baja puntuación para la pregunta relacionada con la actitud proactiva de todos los alumnos ante la posibilidad de manifestar su opinión cuando las acciones de los demás no corresponden a su posición personal.
Perfil actitudinal
La combinación de los componentes cognitivos, afectivos y conductuales expuestos hasta el momento permite hacer referencia a la actitud bioética de los alumnos de las diferentes licenciaturas. La figura 8 presenta los promedios de los puntajes obtenidos para los componentes cognitivos, afectivos y conductuales (Panel C), así como la calificación promedio para los alumnos de cada licenciatura.


De manera general, puede decirse que la mayoría de los encuestados presenta actitudes favorables a la perspectiva bioética, lo que se ve reflejado en un puntaje promedio de alrededor de 4. Como se esperaría, los alumnos de B tuvieron el puntaje más elevado (4.28), pero es interesante que para H el promedio es de 3.9 y que PA reflejara el menor nivel de actitudes favorables con un puntaje de 3.64.
Cuando se analizan los resultados por categorías, la parte cognitiva parece ser homogénea en todas las licenciaturas, aunque nuevamente PA obtiene el puntaje más bajo. Este resultado se reproduce para el caso de los componentes afectivos, donde nuevamente B representa los puntajes más elevados y PA los más bajos. Sin embargo, cuando se revisan los componentes conductuales, las diferencias son más notorias ya que, por una parte, los puntajes son menores, y por otra los alumnos de H muestran una proporción menor de conductas favorables, incluso por debajo de los de PA.
Al plantear los resultados en términos porcentuales (Figura 9), alrededor del 60 % de los alumnos de la DCBS presenta una actitud favorable hacia la bioética. Nuevamente, los alumnos de PA parecen ser los menos enfocados hacia actitudes bioéticamente favorables, en la forma en que se conceptualizó en este estudio.

En el trabajo realizado anteriormente (Contreras Islas et al., 2016), los resultados mostraron que más del 65 % de los alumnos de la DCBS presentaba una actitud favorable hacia la bioética como es entendida dentro de los lineamientos de la Comisión de Ética, una proporción que no parece haber cambiado de manera significativa en estos años. En aquel momento, B presentó el mayor porcentaje (79 %), mientras que sólo el 67 % de los alumnos de IBI presentaron este tipo de actitudes. Si bien los alumnos de PA obtuvieron valores bajos (60 %), éstos fueron mayores a los de las Ingenierías, que se mantuvieron en niveles semejantes a los obtenidos en el estudio actual.
Los resultados obtenidos en este trabajo se prestan para diferentes interpretaciones. Primero que nada, es posible asumir que, aunque la comunidad de alumnos de licenciatura de la DCBS presenta, en efecto, actitudes favorables a la visión de bioética de la propia institución, esta última ha contribuido muy poco a fomentar dicho aspecto dentro de la formación de aquéllos, si se considera para ello el porcentaje de UEA que presenta recurrencias con respecto a las palabras clave generales., una situación que incluso empeoró cuando se consideran los planes de estudio actualmente vigentes. Sin embargo, no puede descartarse del todo que la formulación de los ítems, o su interpretación por parte de los encuestados, pudieran afectar los resultados.
En la mayoría de los casos, la buena disposición ante cuestiones bioéticas por parte de los alumnos se deberá entonces, probablemente, a otros factores como intereses personales u otros factores presentes en su entorno social que contribuyen a configurar sus actitudes bioéticamente favorables desde un paradigma educativo mayormente informal, aun cuando la disposición de incluir estos temas como parte de su formación profesional sea muy favorable, como muestran las respuestas recibidas a la pregunta específicamente dirigida a ello.
Otra interpretación sale a relucir cuando se relaciona lo anterior con el gran porcentaje de respuestas desfavorables recibidas para el ítem 17 (Nadie se toma en serio las regulaciones bioéticas) para el cual el análisis estadístico no consideró significativo para el análisis. A pesar de esto, las respuestas a dicho ítem invitan a reflexionar e indagar sobre qué experiencias concretas dentro de la vida de los alumnos los llevaron a emitir semejantes respuestas. ¿Han sido situaciones que viven de forma cotidiana dentro de sus actividades en la DCBS, en la UAM o, en general, en los ámbitos más personales de su entorno sociocultural? ¿Tendrá alguna relación con la falta de información que la mayoría de los encuestados encuentran dentro de su formación académica en la universidad? Sin duda hace falta más información para poder aventurar una respuesta a estas interrogantes. Sin embargo, la situación invita a reflexionar sobre el papel que la propia DCBS, o incluso la Comisión de Ética, podría o debería tomar en la difusión de estos temas entre los miembros de la comunidad.
Si la presencia de temáticas bioéticas en los programas de las UEA de los planes de estudio de cada licenciatura fuera por sí sola una garantía de que dicha información repercutirá en un cambio en sus actitudes, podríamos esperar una cierta relación entre el porcentaje de UEA con contenido bioético dentro del plan de cada licenciatura y el porcentaje de sus alumnos con actitudes bioéticas favorables.
Sin embargo, como se puede observar al comparar los resultados mostrados en la Tabla 2 y al Figura 9, se hace evidente que dicha correlación no existe, o al menos no es lo suficientemente clara, pues licenciaturas que presentaron porcentajes altos de contenido en materia de bioética (incluso a nivel de palabras clave específicas) como PA (29 %), presentan la menor proporción de actitudes favorables, así como el menor puntaje promedio (Figura 8).
Todo lo anterior sugiere que las actitudes, conocimientos y, en general, nociones de bioética de los alumnos no guardan relación con el contenido de planes y programas oficiales. De hecho, es probable que no se base en ellos en absoluto, aun cuando los propios alumnos consideran que estos temas deberían formar parte de su preparación como profesionales de las ciencias biológicas y de la salud, un elemento que apoya la noción apoyada por la UNESCO de que las cuestiones (bio)éticas se aprenden a través de la experiencia más que de la teoría (UNESCO, 2003).
Entonces, la buena noticia, es que los alumnos presentan en general una actitud positiva hacia los temas bioéticos, pero la mala es que la División hace muy poco para aprovechar, incentivar y dirigir estas predisposiciones de los alumnos. Esta apreciación ya había sido señalada en el trabajo anterior (Contreras et al., 2016) y en ese trabajo se habían sugerido acciones que la DCBS o bien la propia Comisión de Ética podrían tomar para hacer frente a esta situación.
A la fecha el único cambio previsible a corto plazo es la aprobación de una UEA (Bioética) como parte del TG, para todas las licenciaturas de la División, una modificación curricular que actualmente se encuentra todavía en proceso.
Conclusiones
Los objetivos planteados para la realización de este trabajo fueron cuatro: primero conocer las actitudes de los alumnos en cuestiones bioéticas, segundo identificar diferencias entre las licenciaturas, tercero determinar si las actitudes de los alumnos eran coherentes con la visión de la Comisión de Ética y, finalmente, ver si dichas actitudes y conocimientos podían relacionarse con los contenidos de los planes y programas de estudio, los cuales se han venido ajustando en el periodo entre ambos estudios.
Al respecto, los resultados obtenidos y discutidos hasta el momento muestran un panorama general de las actitudes de los alumnos en materia de bioética y permiten, en efecto, observar algunas diferencias entre los alumnos de las distintas licenciaturas, si bien la actitud de la mayoría los alumnos parecería ser coherente con la visión de bioética planteada por la Comisión de Ética de la DCBS en sus documentos oficiales.
Por último, se puede decir que los contenidos oficiales de los planes de estudio han tenido muy poco que ver con la adquisición de las actitudes por parte de los alumnos, ya que las diferencias en las actitudes de bioética de los alumnos de cada licenciatura no parecen relacionarse de manera clara con los objetivos y contenidos sintéticos planteados en los planes y programas de estudio.
En el estudio actual llama la atención que el porcentaje de alumnos con conocimientos favorables disminuyó significativamente, aunque el porcentaje de coincidencias y recurrencia en los planes y programas de estudio se incrementó ligeramente con respecto a los vigentes en 2012. La buena noticia, es que los alumnos presentan actitudes, visiones parecidas a las de la División y, en general, una buena disposición hacia las temáticas bioéticas. La mala, que la División parece no hacer suficiente para aprovechar, incentivar y dirigir estas predisposiciones de los alumnos. Futuras investigaciones podrían enfocarse en las prácticas pedagógicas en el aula, como el espacio en el que los contenidos curriculares se conectan con la formación en bioética de los alumnos. Por ejemplo, sería interesante analizar los procesos educativos en las aulas desde una perspectiva de bioética usando métodos videográficos o etnográficos.
Sería ideal poder desarrollar, con base en estudios semejantes, una serie de estrategias que permitieran promover y orientar el desarrollo de las inquietudes de los alumnos en esta área en coherencia con la visión y los ideales de la universidad, pudiendo convertirse, incluso, en un distintivo de la formación de los alumnos de nuestra División ante la sociedad.
Referencias
Álvarez Díaz, J.A. 2015. Problemas éticos en reproducción humana. En: Salud, condiciones de vida y políticas sociales. Miradas sobre México. López Arellano, O. y Peña Saint Martin F. (Coords.), pp. 19-42. Ciudad de México: Alames Promep.
Álvarez Díaz, J.A. 2021. Plaguicidas y bioética. En: Plaguicidas y salud en Cojumatlán de Régules, Michoacán, México. Ochoa Ocaña, M.A. y Gómez Arroyo, S. (Coords.), pp. 20-42. Ciudad de México: Universidad Nacional Autónoma de México.
Ander-Egg, E. 1995. Técnicas de investigación social. Buenos Aires: Editorial LUMEN.
Andino, C. 2015. El lugar de la ética entre los saberes técnicos. Un abordaje filosófico. Revista Científica de la UCSA. 2 (2): 85-94 85. https://Doi:10.18004/ucsa/2409-8752/2015.002(02)085-094
Babbie, E. 2000. Fundamentos de la investigación social. Ciudad de México: International Thomson Editores.
Baena, G. 1996. Instrumentos de investigación: tesis y trabajos profesionales. Ciudad de México: Editores Mexicanos Unidos.
Castro de Bustamante, J.C. 2003. Teoría general de las actitudes. Recuperado el 18 de mayo de 2024, de Recuperado el 18 de mayo de 2024, de http://www.tdx.cat/bitstream/handle/10803/8906/02CapituloParteI.pdf?sequence=3
Contreras Islas, D., Kerbel Lifshitz, C., Mendieta Márquez, E., y Pérez Hernández, M. 2016. Bioética y educación en Ciencias Biológicas. Experiencia y perspectivas en la División de Ciencias Biológicas y de la Salud, Universidad Autónoma Metropolitana - Iztapalapa, Interciencia. 41(8): 568-572.
Contreras Islas, D., Kerbel Lifshitz, C., Mendieta Márquez, E., y Pérez Hernández, M. 2017a. Diagnóstico de componentes bioéticos en el ámbito educativo de Ciencias Biológicas y de la Salud. Revista Latinoamericana de Bioética. 17 (1): 14-35. http://dx.doi.org/10.18359/rlbi.2137
Contreras Islas, D.S., Kerbel Lifshitz, C., Mendieta Márquez, E., y Pérez Hernández, M.A. 2017b. La bioética en planes y programas de estudio de la licenciatura de la División de Ciencias Biológicas y de la Salud en la UAM-Iztapalapa. En Encuentro Nacional de Ambientalización Curricular en la Educación Superior. Ciudad de México.
Contreras Islas, D.S. 2018. Bioética, innovación y diseño curricular en la Universidad Autónoma Metropolitana. Tesis de Maestría, Universidad Autónoma Metropolitana, Unidad Xochimilco.. Repositorio Institucional de la UAM-Xochimilco https://repositorio.xoc.uam.mx/jspui/handle/123456789/2291
González Valenzuela, J., y Linares Salgado, J.E. (Coords.). 2013. Diálogos de bioética. Nuevos saberes y valores de la vida. Ciudad de México: Fondo de Cultura Económica-UNAM.
Hirsch Adler, A. 2020. Dilemas éticos expresados por académicos de la Universidad Nacional Autónoma de México. Sinéctica. 54. Recuperado el 18 de mayo de 2024 de Recuperado el 18 de mayo de 2024 de https://sinectica.iteso.mx/index.php/SINECTICA/article/view/1025
Hortal, A. 2010. Ética General de las profesiones. Bilbao: Desclée De Brouwer/ Unijes Universidad Jesuita.
Méndez Hinojosa, L.M., y Peña Moreno, J.A. 2006. Manual práctico para el diseño de la escala de Likert. Ciudad de México: Trillas.
Organización de las Naciones Unidas para la Educación, la Ciencia y la Cultura (UNESCO). 2003. Report of the Working Group on the Teaching of Ethics of the World Comission of the Ethics of Scientific Knowledge and Technology (COMEST). Paris: UNESCO.
Organización de las Naciones Unidas para la Educación, la Ciencia y la Cultura (UNESCO). 2015. Global Bioethics: What for? Twentieth anniversary of UNESCO’s Bioethics Programme. Paris: UNESCO.
Potter, V.R. 1971. Bioethics. Bridge to the future. Englewood Cliffs, New Jersey: Prentice-Hall.
Rojas Tejada, A., Fernández Prados, J.S., y Pérez Meléndez, C. 1998. Investigar mediante encuestas. Fundamentos teóricos y aspectos prácticos. Madrid: Editorial Síntesis.
Sánchez Fernández, S., y Mesa Franco, M.C. 1998. Actitudes hacia la tolerancia y la cooperación en ambientes multiculturales. Evaluación e intervención educativa en un contexto concreto: la ciudad de Melilla. Granada: Editorial Universidad de Granada.
Sulbarán, D. 2009. Medición de actitudes. Caracas: Editorial de la Universidad Central de Venezuela.
Universidad Autónoma Metropolitana (UAM). 2010. Lineamientos para la conducción ética de la investigación, la docencia y la difusión en la División de Ciencias Biológicas y de la Salud. Recuperado el 18 de mayo de 2024 de Recuperado el 18 de mayo de 2024 de https://cbs.izt.uam.mx/consejo/index.php/institucional#lineamientos-para-la-conduccion-etica-de-la-investigacion-la-docencia-y-la-difusion-2010
Universidad Autónoma Metropolitana (UAM). 2010. Reglamento Interno de la Comisión de Ética de la División de Ciencias Biológicas y de la Salud. Recuperado el 18 de mayo de 2024 de Recuperado el 18 de mayo de 2024 de https://cbs.izt.uam.mx/consejo/index.php/institucional#reglamento-interno-de-la-comision-de-etica
Author notes
*Autor para correspondencia: David Sebastian Contreras Islas Correo-e: david.contreras@hu-berlin.de
Conflict of interest declaration
Los autores declaran no tener conflictos de interés.