Research Article
Gas exchanges, δ13C/12C isotopic ratio and enzymatic activity in bell pepper under different irrigation sheets
Intercambio de gases, relación isotópica de δ13C/12C y actividad enzimática en pimiento morrón bajo diferentes láminas de riegos
Gas exchanges, δ13C/12C isotopic ratio and enzymatic activity in bell pepper under different irrigation sheets
Biotecnia, vol. 26, e2217, 2024
Universidad de Sonora, División de Ciencias Biológicas y de la Salud
Received: 26 December 2023
Accepted: 05 August 2024
Published: 28 August 2024
Funding
Funding source: National Council for Scientific and Technological Development (CNPq)
Contract number: 141414/2015-4
Abstract: The cultivation of bell pepper demand irrigation practices to guarantee fruit production and quality. The objective of this work was to assess the physiological and biochemical changes, as well as the variation in isotopic discrimination of δ13C in bell pepper plants submitted to different irrigation sheets. The experimental design was organized in a completely randomized design (CRD) with three treatments (irrigation sheets) and five replicas, sheet 1 (S1): Ψm = 10 to 15 kPa, sheet 2 (S2): Ψm = 34 to 40 kPa and sheet 3 (S3): Ψm = 54 to 60 kPa. Four evaluations were performed at 50, 65, 80 and 95 days after transplantation (DAT), measuring Leaf water potential (Ψlw), net CO2 assimilation (A), stomatal conductance (gs), transpiration (E), isotopic discrimination (δ13C/12C), enzyme activity of nitrate reductase (NR), superoxide dismutase (SOD) and catalase (CAT). Finally, fruits were collected to determine productivity. Bell pepper plants with less water availability and depending on their development, the leaf water potential was more negative, resulting in greater stomatal closure which caused a considerable decrease in the net CO2 assimilation, transpiration, enzyme activity of nitrate reductase and fruit production, and greater activity of antioxidant enzymes. The increase and duration of water restriction in bell pepper plants induced less isotopic discrimination of δ13C.
Keywords: Capsicum annuum L., carbon assimilation, hydric stress, metabolism productivity.
Resumen: El cultivo de pimiento morrón demanda prácticas de riego para garantizar la producción y calidad del fruto. El objetivo de este trabajo fue evaluar los cambios fisiológicos y bioquímicos, así como la variación en la discriminación isotópica de δ13C en plantas de pimiento sometidas a diferentes láminas de riego. El diseño experimental consistió en un diseño completamente al azar (DCA) con tres tratamientos (láminas de riego) y cinco repeticiones, lámina 1 (L1): Ψm = 10 a 15 kPa, lámina 2 (L2): Ψm = 34 a 40 kPa y lámina 3 (L3): Ψm = 54 a 60 kPa. Se realizaron cuatro evaluaciones a los 50, 65, 80 y 95 días después del trasplante (DDT), midiendo el potencial hídrico foliar (Ψlw), la asimilación neta de CO2 (A), la conductancia estomática (gs), la transpiración (E), la discriminación isotópica (δ13C/12C), actividad enzimática de nitrato reductasa (NR), superóxido dismutasa (SOD) y catalasa (CAT). Finalmente se recolectaron frutos para determinar la productividad. En plantas de pimiento morrón con menor disponibilidad de agua y, dependiendo de su desarrollo, el potencial hídrico foliar fue más negativo, resultando en un mayor cierre de estomas lo que provocó una disminución considerable en la asimilación neta de CO2, transpiración, actividad de la enzima nitrato reductasa y producción de frutos y mayor actividad de las enzimas antioxidantes. El aumento y la duración de la restricción de agua en las plantas de pimiento morrón indujeron una menor discriminación isotópica de δ13C.
Palabras clave: Capsicum annuum L., asimilación de carbono, estrés hídrico, productividad del metabolismo.
Introduction
Water deficiency (WD) is one of the most important environmental factors, which causes large losses in agriculture worldwide. Vegetables are the most sensitive to the lack of water compared to other crops (Kumar et al., 2012). Several studies confirm that the reduction of water in the soil during both the vegetative and the reproductive phase of bell peppers affects the final productivity (Ferrara et al., 2011; González-Dugo et al., 2007). Delfine et al. (2001) report that the growth of plants and the production of the first fruits, under dry farming conditions and in the vegetative phase, were not affected. However, as the WD increases and as the plants age, photosynthetic activity and stomatal conductance were reduced, affecting their growth and decreasing the final fruit production when compared to plants without water restriction.
The isotopic discrimination of carbon δ13C (calculated as the proportion δ13C/12C) in leaves of C3 plants correlates with the photosynthetic gas exchange, and its control depends on the concentration ratio of CO2 in the intercellular spaces of leaves and the atmosphere (Farquhar et al., 1982). Therefore, the lower discrimination of plants between the two isotopes (more positive 13C/12C) is due to the lower CO2 pressure in their interior, when compared to environmental pressure (Ehlers and Goss, 2003). Thus, the 13C isotope has been used as a criterion for crop improvement programs under conditions of water and salt stress (Yousfi et al., 2012; Araus et al., 2013).
In unfavourable environmental conditions, the rates of photosynthetic activity decrease, with a considerable increase in photorespiration, which induces the formation of reactive oxygen species (ROS) according to Miller et al. (2010). The ROS are more reactive molecules than molecular oxygen, which reacts with other macromolecules and can generate cascade reactions. ROS are extremely toxic, which can cause oxidative damage to proteins, DNA, and lipids that make up membranes (Apel and Hirt, 2004). The most common forms of ROS are superoxide radicals (O2-), hydroxyl (OH-), hydrogen peroxide (H2O2) and singlet oxygen (1O2).
Plants are able to adapt to the decrease in water potential and unfavorable climatic changes. This is done through the induction of antioxidative and non-enzymatic systems, which acts for the dismutation of ROS. Therefore, the essential enzymes of the antioxidative system are the superoxide dismutase (SOD), ascorbate peroxidase (APX) catalase (CAT), glutathione peroxidase (GPX), and peroxiredoxin (PrxR). Other non-enzymatic antioxidants are ascorbic acid (AsA) and glutathione (GSH) (Wang et al., 2024). Another important enzyme for mineral metabolism in plants is the nitrate reductase (NR), responsible for the assimilative reduction of nitrate (NO3-). Several studies have corroborated that plants under WD decrease the enzymatic activity of NR, probably due to the lower flow of nitrate from the soil to the root (Dubey et al., 2021). Thus, the objective of this work was to assess the physiological and biochemical changes, as well as the variation in isotopic discrimination of δ13C in bell pepper plants submitted to different irrigation sheets.
Material and methods
The experiment was carried out in greenhouse with an area of 63 m2 at the Department of Chemistry and Biochemistry of the IB/UNESP in Botucatu-SP - Brazil, between January and May 2017 during the summer and autumn seasons. Gaston Bell pepper seedlings (Capsicum annum L.), which present a red coloring when ripe, were used. The transplant was performed 40 days after sowing (plants with 4 to 6 expanded leaves), in 22-litter pots. The planting mineral fertilization was as recommended by Freire et al. (2013), and the covering fertilization was based on the recommendations of Trani et al. (2011) which performs a balance of nutrients for each growth stage.
The bell pepper plants were irrigated by keeping the soil Ψm in the 10 to 15 kPa range until 50 DAT (at the beginning of flowering). The differentiation of the irrigation sheets was initialized at 51 DAT establishing the sheet 1 (S1): Ψm = 10 to 15 kPa, sheet 2 (S2): Ψm = 34 to 40 kPa and sheet 3 (S3): Ψm = 54 to 60 kPa. The drip irrigation system was used. Before the test, the water distribution uniformity test in the system was carried out using the distribution uniformity coefficient (DUC) method. For the monitoring of soil moisture, the tensiometry technique was used, previously determining the soil water retention curve (volumetric humidity as a function of the matric potential, cm3 cm-3), using the Richards pressure camera method. For the soil water retention curve modelling, the SWRC (soil water retention curve) software, version 3.0, was utilized, described by Dourado-Neto et al. (2000) and adjusted to the Van Genuchten (1980) model. The irrigation sheets were calculated with the matric potential values of the soil (cm3 cm-3), considering the concept of available water capacity (AWC) and irrigation efficiency. Finally, the irrigation time (in minutes) for each treatment was determined according to Equation 1:
In which: It=irrigation time (min); Ab = applied sheet (mm); A = area occupied by plant (m2); n = number of emitters per plant (1); q = dripper flow (L h-1).
To maintain the established tension ranges, six tensiometers were installed per treatment, at a distance of 5 cm from the plant stem and 15 cm deep in the soil. Daily, from 8:00 to 8:30 a.m., the reading of the soil water tension was recorded with the aid of a digital tensimeter, and depending on the voltage value, irrigation was proceeded or not.
For all the evaluated variables, leaves from the middle third of the plants were used, except for fruit production. Leaf water potential (Ψlw) was measured from the same plants used for biometric determination (data not shown). Leaves were collected for the analysis of the isotopic ratio, total soluble protein content and determination of enzymatic activity. In the crops, the leaves were frozen with liquid nitrogen and kept in an ultra-freezer at -80 °C. Measurements of the water potential in the leaf xylem at 5:00 a.m. (predawn), were performed with the aid of a Scholander pressure chamber (Scholander et al., 1965), from Soil Moisture Equipment Corp., Santa Barbara, California-USA as described by Kramer and Boyer (1995). The net assimilation of CO2 (A), stomatal conductance (gs) and transpiration (E) were evaluated. For the measurements of photosynthesis a portable IRGA LI-COR 6400 was used between 9:00 and 11:30 a.m.
For Carbon isotope ratio analysis (13C/12C), the samples were analyzed at the Center for Stable Isotopes of the UNESP Biosciences Institute - Botucatu campus, state of Sao Paulo, Brazil. Part of the material (leaves) kept in the ultra-freezer at -80 °C was dried in a forced ventilation oven, at 50 °C for 48 hours. The dry material was milled in a cryogenic mill (2010 GENO / GRINDER - Spex Sample Prep., USA) for three minutes after cooling to -196 °C. Homogeneous samples with particle sizes smaller than 60 µm were obtained. The analyzes were performed by CF-IRMS (continuous flow isotope ratio mass spectrometry), using an IRMS (Delta V Advantage Isotope Ratio MS - Thermo Scientific, Germany) coupled to an elemental analyzer - EA (Flash 2000 Organic Elemental Analyzer - Thermo Scientific, Germany) through the interface (ConFlo IV Universal Interface - Thermo Scientific, Germany). The milled samples were weighed in tin capsules with approximately 50-70 µg, which were introduced through an automatic sampler in the EA where, in the presence of oxygen (O2), they underwent combustion and reduction to obtain CO2. The gases formed were directed to the IRMS using He as the carrier gas. The values of the isotopic ratio were expressed in delta value per thousand (δ ‰), relative to the PeeDee Belemnite (PDB) international standards for 13C (Ducatti et al., 1982), according to the following general equation:
Where R represents the ratio between the least abundant and the most abundant isotope, in particular 13C/12C. Each sample was analyzed twice to obtain the average values; the measurements were repeated when the standard deviation was greater than 0.2 ‰ for δ 13C.
For determination of the nitrate reductase enzyme (NR) activity, after four hours of illumination (solar time) leaves were collected from the plants, using 50 mg of fresh leaf tissue from each treatment, then transferred to test tubes with 10 mL of extraction solution (buffer KH2PO4 0.1 M; pH 7.0), 1 mL of KNO3 0.1 M, and 1 mL of n-propanol (1 % C3H8O). The vegetable tissue was infiltrated in a vacuum three times and for two minutes with an interval of one minute. After infiltration, the tubes were covered with aluminum foil and kept in a water bath at 30 °C, for 60 min. A total of 1 mL of the extraction solution was removed from each tube and transferred to sterile tubes, adding 1 mL of 1 % sulfanilamide and 1 mL of 0.02 % N-naphthyl. Subsequently, the tubes containing the extraction solution plus these reagents were taken again into a water bath for 15 min at 30 °C in the dark. The final solution was placed in glass cuvettes to perform the absorbance reading on a spectrophotometer at 540 nm. The activity of the NR enzyme was expressed as nM of NO2 per gram of fresh matter, per hour of incubation (nM NO2 g-1 FM h-1) (Jaworski, 1971).
To obtain crude extract for enzymatic analysis, leaves (keept in a freezer at -80 °C) were macerated in liquid N and transferred to Falcon tubes. The crude extract was obtained by resuspending the plant material (400 mg) in 5.0 mL of 0.1 M potassium phosphate buffer, pH 6.7 and supplemented with 300 mg of PVPP (polyvinylpolypyrrolidone). Then, the extract was centrifuged for 15 min at 5000 rpm, the supernatant was collected and placed in Eppendorf tubes and stored in a freezer at - 80 °C for biochemical analysis.
The determination of superoxide dismutase (SOD) activity was determined by adding 50 µL of crude extract to a solution containing 13 mM methionine, 75 µM NBT, 100 nM EDTA and 2 µM riboflavin in 3.0 mL of 50 mM potassium phosphate buffer, pH 7.8. The reaction was initiated by lighting the Elisa plates containing the final extract in a chamber composed of fluorescent tubes (15 W), at 25 °C. After 5 min of incubation, the end of the catalysis was determined by the interruption of the light (Giannopolitis and Ries, 1977). The blue compound formed by NBT photoreduction was determined by the increase in absorption, by spectrophotometry at 560 nm. The tubes, considered white for the analysis, received the same reagents, but they were keep covered with aluminum foil. A unit of SOD was defined as the amount of enzyme required to inhibit 50 % of NBT photoreduction. To calculate the specific SOD activity, the percentage of inhibition obtained, the sample volume and the protein concentration in the sample (µg µL-1) was taken. The concentration of soluble protein was determined in triplicate, using the Bradford method (Bradford, 1976).
For the determination of catalase enzyme activity (CAT), a total of 50 µL of crude extract were used, adding 950 µL of 50 nM potassium phosphate buffer solution, pH 7.0, supplemented with hydrogen peroxide at a final concentration of 12.5 mM. The activity of this enzyme was determined at 240 nm, by monitoring the variation in the absorption of hydrogen peroxide (80s), according to Peixoto et al. (1999). For the specific activity of catalase, the concentration of soluble protein (µKat µg Prot-1) was considered. The fruit production was determined in the harvest, when fruits showed 70 % red color (20 plants per treatment). The number of fruits per plant and weight of each fruit was determined. Fruits with deformities, rot or burns were considered non-commercial (NC). For the determination of the total productivity, the recommended density for the pepper cultivation of 25 thousand ha-1 plants was considered.
Experimental design and statistical analysis
The trial was organized in a completely randomized design with three treatments and five repetitions. For the analysis of the results, an analysis of variance was applied by the F test, with the averages compared by the Tukey test at 5 % probability, using the statistical analysis system software (SAS) v. 9.2. The graphics were created with the aid of the 11.0 Sigma Plot v software.
Results and discussion
Leaf water potential (Ψlw)
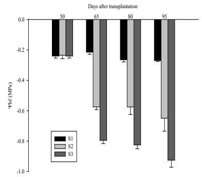
Water, in plants, moves from areas with higher Ψw (less negative) to areas with lower Ψw (more negative). Plant cells seek thermodynamic balance with the surrounding environment by absorbing or losing water (Taiz and Zeiger, 2002). The strategies of plants to tolerate water restriction (WR), include several physiological and biochemical processes, including the reduction of Ψlw caused by the closure of stomata (Nardini et al., 2001), which was demonstrated in this test (Figure 3). Figure 1 show that the plants in sheet 1 maintained water potential values between -0.24 MPa and - 0.27 MPa during the performed evaluations. After the imposition of WR, the plants from irrigation sheets 2 and 3 showed values between -0.58 MPa and -0.65 MPa, and -0.80 MPa and -0.93 MPa, respectively. These results prove that, in bell pepper plants, the more negative the water potential is, the values of the components of gas exchange (Figures 2, 3 and 4) and fruit production (Table 5) are considerably reduced.




Gas exchange Liquid CO2 assimilation (A)
In figure 2, it can be observed that, when plants were submitted to WR, the photosynthesis gradually decreased as the water decreased in the soil. Similar results to this study, in which both the photosynthetic rate and the stomatal conductance decrease after the imposition of WR, were reported by Kulkarni and Phalke (2009). When working with different cultivars of hot pepper under conditions of protected environment and water restriction. Likewise, in seedlings (grafted and non-grafted) of mini-watermelon, these gas exchange components have decreased in parallel with the severity of water restriction (Rouphael et al., 2008).
Stomatal conductance (gs)
The gs is a parameter that indicates the opening and closing levels of the stomata, depending on the availability of water for the plant. Thus, WR promotes the opening reduction of stomatal pores, since the amount of water for the guard cells is reduced. In this test it was proved that the gs decreased considerably due to the severity of the WR (Figure 3), in response to the adaptation mechanisms of the plant itself to avoid dehydration, thus regulating its water status. Similarly, Paiva et al. (2005) reported that, in bean leaves, the gs decreased significantly in the flowering and grain filling stages in the treatment with less water availability.
Transpiration (E)
When plants have good water availability in the soil (field capacity) they have high transpiratory rates, facilitating water movement between the soil-plant-atmosphere. However, as the water content in the soil decreases as a result of the treatments, the plants decrease their transpiratory rate to reduce the loss of water in the form of steam. In this test (Figure 4) plants under water restriction showed lower values of E when compared to plants without water restriction. At 65 and 80 DAT, the plants of irrigation sheets 2 and 3 decreased their transpiratory rate respectively. At 95 DAT, the sheet 3 irrigation plants achieved transpiration rates similar to those of the irrigation sheet 2. This behavior, a result of WR, maintained a direct relationship with what happened in stomatal conductance (Figure 3), resulting in the closure of stomata in plants with less water availability as a strategy to avoid the excessive loss of water from plant tissues. Results similar to those in this trial were reported by Ferrara et al. (2011), who observed that when submitting bell pepper plants to WR the physiological variables, such as liquid CO2 assimilation, stomatal conductance and transpiration significantly decreased in the vegetative and reproductive phases when compared to the control plants.
Isotopic carbon breakdown (δ13C)
In bell pepper plants, irrigation sheets 2 and 3 caused a decrease in the isotopic discrimination values of δ13C to 80 DAT. In the last evaluation (95 DAT), only irrigation sheet 3 showed statistically less discrimination of δ13C in relation to other treatments. These results agree with those reported in cotton crops (Brito et al., 2014) and sunflower (Adiredjo et al., 2014), in which the isotopic discrimination of δ13C decreased in parallel with the severity of WR. That is, plants with scarce water availability in the soil have less isotopic discrimination of carbon. In this sense, the lower discrimination of δ13C in plants with less water availability in the soil after 80 DAT may has been influenced by the lower CO2 pressure (Figure 2) due to stomatal closure (Figure 3). That is a factor contributes to the discrimination during diffusion and carboxylation (Farquahr et al., 1982).
Activity of the nitrate reductase enzyme (NR)
The activity of the nitrate reductase enzyme has been used as an indicator of stress and changes linked to factors that modulate plant growth (Dubey et al., 2021; Carelli et al., 1996). Table 2 shows that NR activity was also reduced in pepper plants after the imposition of water treatments (65 and 80 DAT). In the last evaluation (95 DAT), the irrigation 3 sheet plants differed statistically from irrigation 1 and 2 sheets plants. These results of the lower NR values under WR treatments are possibly related to the decrease in the photosynthetic rate (Figure 2), with nitrogen participating in the formation of chlorophyll, which is essential in the process of photosynthesis. Similarly, cotton plants (Gossypium hirsutum L.) under water stress have been reported to decrease NR activity in parallel with the decrease in leaf water potential (Marur et al., 2000), a fact that was also evidenced in the present trial (Figure 1).


Activity of the superoxide dismutase enzyme (SOD)
The increase in the enzymatic activity of superoxide dismutase is a defense response of plants under stress conditions, since it is the first response line of the antioxidative system (Del Río et al., 2018). In Table 3 can be observed that, at 80 DAT, the plants in sheet 3 showed the highest SOD activity. In the last evaluation (95 DAT) the plants of sheets 2 and 3 had a significantly similar behavior, but with higher values to plants without water restriction. On the other hand, Yuan et al. (2016) worked with tomatoes under four soil moisture levels during two cycles under protected environment conditions, noting that the SOD values increased according to the severity of WR in the growth stages.

However, in the fruit maturation stage, the plants of the control treatment (75 to 80 % of field capacity) and those of the treatment considered as mild water deficiency (55 to 60 % of the field capacity), showed significantly similar SOD values. Thus, according to the results reported by Yuan et al. (2016) and those of this test in bell pepper plants, the SOD values depend on the time of application of WR, severity, and phenological stage of the plants.
Catalase enzyme activity (CAT)
Several studies show that plants under stress conditions (biotic and abiotic) present accelerated production of reactive oxygen species (ROS), which can be toxic to the metabolism of plants or inhibit their growth. The dismutation of reactive oxygen species is performed by the antioxidative system, which comprises numerous enzymes and low molecular weight compounds (Banerjee and Roychoudhury, 2017). The catalase enzyme is the main enzyme that acts in the decomposition of hydrogen peroxide (H2O2) to water (H2O) and molecular oxygen (O2). In this trial, CAT activity (Table 4) was activated at 80 and 95 DAT in plants under water restriction, which showed significantly similar values between treatments, however, with values higher than those of irrigation sheet 1. Similar results to those obtained in this study were reported by Abid et al. (2017) in two greenhouse cultivars of fava beans (Vicia faba L.) in the winter period under three irrigation sheets (90, 60 and 30 % of field capacity). The results obtained for both cultivars (tolerant and susceptible) under the treatment considered as severe water restriction, showed significantly higher CAT activity when compared to the plants of the control treatment.

Bell pepper fruit production
On average, 7.4 fruits were collected per plant for irrigation sheet 1, with commercial productivity of 31.1 t ha-1 (Table 5). Plants of sheet 2 and 3 presented lower commercial productivity, in the order of 11.2 and 2.7 t ha-1, respectively. It should be noted that the harvest period lasted 28 days. On the other hand, Carvalho et al. (2016) worked with different soil water tensions in the reproductive phase of red pepper cv. Konan, the authors reported production for the control treatment of 5.85 fruits per plant, equivalent to commercial production of 12.03 t ha-1 in protected environment conditions, with a 42-day harvest period. Thus, and according to the results obtained in this trial and those reported by other authors (Frizzone et al., 2001; Dermitas and Ayas, 2009), it is concluded that the decrease in water in the soil strongly affects the yield of peppers. In addition, it is emphasized that this difference in fruit productivity may vary according to the cultivar, season and climatic conditions.

Conclusions
Bell pepper plants with less water availability and according to their development, decreased relative to Ψlw resulting in a lower photosynthetic rate which may be related to stomatal closure, and therefore less discrimination of δ13C. Likewise, plants under water restriction showed a considerable reduction in the enzymatic activity of nitrate reductase (NR). Bell pepper plants have generated defense mechanisms to adapt to less water availability in the soil (decreased leaf water potential), increasing the activity of antioxidant enzymes in both superoxide dismutase (SOD) and catalase (CAT), a strategy used to decrease the production of ROS. Therefore, the physiological and the biochemical parameters evaluated were affected according to the severity of the water deficiency, resulting in less fruit production and quality.
Acknowledgments
The authors thank the National Council for Scientific and Technological Development (CNPq). Financing number: CNPq: 141414/2015-4.
References
Abid, G., M’hamdi, M., Mingeot, D., Aouida, M., Aroua, I., Muhovski, Y., Sassi, K., Souissi, F., Mannai, K., and Jebara, M. 2017. Effect of drought stress on chlorophyll fluorescence, antioxidant enzyme activities and gene expression patterns in faba bean (Vicia faba L.). Archives of Agronomy and Soil Science. 63: 536-552. https://doi.org/10.1080/03650340.2016.1224857.
Adiredjo, A.L., Navaud, O., Lamaze, T., and Grieu, P. 2014. Leaf carbon isotope discrimination as an accurate indicator of water-use efficiency in sunflower genotypes subjected to five stable soil water contents. Journal of Agronomy and Crop Science. 200: 416-424. https://doi:10.1111/jac.12079.
Apel, K., and Hirt, H. 2004. Reactive oxygen species: metabolism, oxidative stress, and signal transduction. Annual Review of Plant Biology. 55: 373-399. https://doi.org/10.1146/annurev.arplant.55.031903.141701.
Araus, J.L., Cabrera-Bosquet, L., Serret, M.D., Bort, J., and Nieto-Taladriz, M.T. 2013. Comparative performance of δ13C, δ 18O and δ 15N for phenotyping durum wheat adaptation to a dryland environment. Functional Plant Biology. 40: 595-608. http://dx.doi.org/10.1071/FP12254.
Banerjee, A., and Roychoudhury, A. 2017. Abiotic stress, generation of reactive oxygen species, and their consequences: an overview. Reactive Oxygen Species in Plants: Boon or Bane‐Revisiting the Role of ROS, 23-50. https://doi.org/10.1002/9781119324928.ch2
Bradford, M.M. 1976. A rapid and sensitive method for the quantitation of microgram quantities of protein utilizing the principle of protein-dye binding. Analytical Biochemistry. 72: 248-254. https://doi.org/10.1016/0003-2697(76)90527-3.
Brito, G.G., Suassuna, N.D., Silva, V.N., Sofiatti, V., Diola, V., and Morello, C.L. 2014. Leaf-level carbon isotope discrimination and its relationship with yield components as a tool for cotton phenotyping in unfavorable conditions. Acta Scientiarum. Agronomy. 36: 335-345. https://doi.org/10.4025/actasciagron.v36i3.17986.
Carelli, M.L.C., Ungaro, M.R.G., Fahl, J.I., and Novo, M.C.S.S. 1996. Níveis de nitrogênio, metabolismo, crescimento e produção de girassol. Revista Brasileira de Fisiologia Vegetal. 8: 123-130.
Carvalho, J.deA., Rezende, F.C., Oliveira, E.C., and Aquino, R.F. 2016. Pimentão cultivado em ambiente protegido sob diferentes tensões de água no solo. Engenharia na Agricultura. 23: 236-245. https://doi.org/10.13083/reveng.v24i3.670.
Delfine, S., Loreto, F., and Alvino, A. 2001. Drought-stress effects on physiology, growth and biomass production of rainfed and irrigated bell pepper plants in the Mediterranean region. Journal of the American Society for Horticultural Science, 126(3): 297-304. https://doi.org/10.21273/JASHS.126.3.297https://doi.org/10.21273/JASHS.126.3.297
Del Río, L. A., Corpas, F. J., López-Huertas, E., and Palma, J. M. 2018. Plant superoxide dismutases: Function under abiotic stress conditions. Antioxidants and antioxidant enzymes in higher plants, 1-26.
Dermitas, C., and Ayas, S. 2009. Deficit irrigation effects n pepper (Capsicum annuum L. Demre) yield in unheated greenhouse condition. Journal of Food, Agriculture & Environment. 7: 989-993.
Dourado-Neto, D., Nielsen, D.R., Hopmans, J.W., Reichardt. K., and Bacchi, O.O.S. 2000. Software to model soil water retention curves (SWRC, version 2.00). Scientia Agricola. 57: 191-192. http://dx.doi.org/10.1590/S0103-90162000000100031.
Dubey, R. S., Srivastava, R. K., and Pessarakli, M. 2021. Physiological mechanisms of nitrogen absorption and assimilation in plants under stressful conditions. In Handbook of plant and crop physiology, pp. 579-616. CRC Press.
Ducatti, C., Matsui, E., and Salatti, E. 1982. Fundamentos teóricos dos fatores de correção para a análise das variações relativas das razões 13C/12C e 18O/16O por espectrometria de massa. Energ. Nucl. Agric. 4 (1): 41-58., 1982.
Ehlers, W., and Goss, M. 2003. Water Dynamics in Plant Production. CABI Publishing, Oxon/Cambridge.
Farquhar, G.D., O’leary, M.H., and Berry, J.A. 1982. On the relationship between carbon isotope discrimination and the intercellular carbon dioxide concentration in leaves. Australian Journal Plant Physiology. 9: 121-137. https://doi.org/10.1071/PP9820121.
Ferrara, A., Lovelli, S., Di Tommaso, T., and Perniola, M. 2011. Flowering, growth and fruit setting in greenhouse bell pepper under water stress. Journal of Agronomy, 10(1): 12-19. https://10.3923/ja.2011.12.19.
Freire, L. R., Balieiro, F. C., Zonta, E., Anjos, L. H. C., Pereira, M. G., Lima, E., ... Polidoro, J. C. 2013. Manual de calagem e adubação do Estado do Rio de Janeiro Brasília, DF: Embrapa; Seropédica, RJ: Editora Universidade Rural. 430p.
Frizzone, J.A., Gonçalves, A.C.A., and Rezende, R. 2001. Produtividade do pimentão amarelo, Capsicum annum L., cultivado em ambiente protegido, em função do potencial mátrico de água no solo. Acta Scientiarum. 23: 1111-1116.
Giannopolitis, C.N., and Ries, S.K. 1977. Superoxide dismutases: I. Occurrence in higher plants. Plant Physiology. 59: 309-314. https://doi.org/10.1104/pp.59.2.309.
González-Dugo, V., Orgaz, F., and Fereres, E. 2007. Responses of pepper to deficit irrigation for paprika a production. Scientia Horticulturae. 114(2): 77-82. https://doi.org/10.1016/j.scienta.2007.05.014.
Jaworski, E.G. 1971. Nitrate reductase assay in intact plant tissues. Biochemical and Biophysical Research Communications. 43(6): 1274-1279. https://doi.org/10.1016/S0006-291X(71)80010-4.
Kramer, P.J., and Boyer, J.S. 1995. Water relations of plants and soils. San Diego, CA: Academic Press.
Kulkarni, M., and Phalke, S. 2009. Evaluating variability of root size system and its constitutive traits in hot pepper (Capsicum annum L.) under water stress. Scientia Horticulturae . 120(2): 159-166. https://doi.org/10.1016/j.scienta.2008.10.007.
Kumar, R., Solankey, S.S., and Singh, M. 2012. Breeding for drought tolerance in vegetables. Vegetable Science. 39(1): 1-15.
Marur, C.J., Mazzafera, P., and Magalhães, A.C. 2000. Atividade da enzima redutase do nitrato em algodoeiro submetido ao déficit hídrico e posterior recuperação da turgescência. Scientia Agricola . 57: 277-281. https://doi.org/10.1590/S0103-90162000000200013.
Miller, G., Suzuki, N., Ciftci‐Yilmaz, S., and Mittler, R. 2010. Reactive oxygen species homeostasis and signalling during drought and salinity stresses. Plant, Cell and Environment. 33: 453-467. https://doi.org/10.1111/j.1365-3040.2009.02041.x.
Nardini, A., Tyree M.T., and Salleo, S. 2001. Xylem cavitation in the leaf of Prunus laurocerasus and its impact on leaf hydraulics. Plant Physiol. 125: 1700-1709. https://doi.org/10.1104/pp.125.4.1700.
Paiva, A.S., Fernandes, E.J., Rodrigues, T.J.D., and Turco, J.E.P. 2005. Condutância estomática em folhas de feijoeiro submetido a diferentes regimes de irrigação. Engenharia Agrícola, 25(1): 161-169. https://doi.org/10.1590/S0100-69162005000100018.
Peixoto, P.H.P., Cambraia, J., Sant’Anna, R., Mosquim, P.R., and Moreira, M.A. 1999. Aluminum effects on lipid peroxidation and on the activities of enzymes of oxidative metabolism in sorghum. Revista Brasileira de Fisiologia Vegetal , 11(3): 137-143.
Rouphael, Y., Cardarelli, M., Colla, G., and Rea, E. 2008. Yield, mineral composition, water relations, and water use efficiency of grafted mini-watermelon plants under deficit irrigation. HortScience. 43(3): 730-736. https://doi.org/10.21273/HORTSCI.43.3.730.
Scholander, P.F., Bradstreet, E.D., Hemmingsen, E.A., and Hammel, H.T. 1965. Sap pressure in vascular plants: negative hydrostatic pressure can be measured in plants. Science, 148(3368): 339-346. https://doi: 10.1126/science.148.3668.339.
Taiz, L., and Zeiger, E. 2002. Plant Physiology . (3rd ed). Sunderland, Massachusetts: Sinauer Associates, Inc., Publisher.
Trani, P.E., Tivelli, S.W., and Carrijo, O.A. 2011. Fertirrigação em Hortaliças. 2.ª ed. Revisado e atualizado. Campinas: Instituto Agronômico, 51p. (Série Tecnologia APTA. Boletim Técnico IAC, 196). Brazil.
Van Genuchten, M.Th. 1980. A closed-form equation for predicting the hydraulic conductivity of unsaturated soils. Soil Science Society of America Journal. 44(5): 892-898. https://doi.org/10.2136/sssaj1980.03615995004400050002x.
Wang, P., Liu, W. C., Han, C., Wang, S., Bai, M. Y., and Song, C. P. 2024. Reactive oxygen species: multidimensional regulators of plant adaptation to abiotic stress and development. Journal of Integrative Plant Biology, 66(3), 330-367. https://doi.org/10.1111/jipb.13601
Yousfi, S., Serret, M.D., Márquez, A.J., Voltas, J., and Araus, J.L. 2012. Combined use of δ13C, δ18O and δ15N tracks nitrogen metabolism and genotypic adaptation of durum wheat to salinity and water deficit. New Phytologist. 194(1): 230-244. https://doi.org/10.1111/j.1469-8137.2011.04036.x.
Yuan, X.K., Yang, Z.Q., Li, Y.X., Liu, Q., and Han, W. 2016. Effects of different levels of water stress on leaf photosynthetic characteristics and antioxidant enzyme activities of greenhouse tomato. Photosynthetica. 54: 28-39. https://doi: 10.1007/s11099-015-0122-5.
Author notes
*Author for correspondence: Luz María Ruiz-Machuca e-mail: luzmy_rm@hotmail.com
Conflict of interest declaration
The authors declare that there is no conflict of interest.