Artículos originales
Concentración de esteviósido y rebaudiósido-a en plantas de Stevia rebaudiana Bertoni en interacción con micorrizas arbusculares y fósforo
Concentration of stevioside and rebaudioside-a in Stevia rebaudiana Bertoni plants in interaction with arbuscular mycorrhizae and phosphorus
Concentración de esteviósido y rebaudiósido-a en plantas de Stevia rebaudiana Bertoni en interacción con micorrizas arbusculares y fósforo
Biotecnia, vol. 26, e2280, 2024
Universidad de Sonora, División de Ciencias Biológicas y de la Salud
Received: 19 March 2024
Accepted: 13 October 2024
Published: 27 November 2024
Resumen: Stevia rebaudiana produce glucósidos de esteviol en sus hojas, el esteviósido y rebaudiósido-A son los más importes gracias a su propiedad edulcorante. El fósforo es un elemento esencial en la biosíntesis de glucósidos de esteviol y las micorrizas arbusculares son capaces de promover la concentración de glucósidos por facilitar la traslocación de fósforo hacia la planta. Por tanto, se cuantificó la concentración de esteviósido y rebaudiósido-A por medio de 1H-RMN en plantas de S. rebaudiana inoculadas con consorcios de micorrizas arbusculares (consorcios RC, TZ y CY) y fertilizadas con niveles de fósforo (25, 50, 75 y 100 %). Se obtuvo un 76 % de colonización micorrícica con el tratamiento RC + 25 % fósforo, donde también se registró mayor contenido de fósforo foliar y mayor concentración de esteviósido y rebaudiósido-A en mg g-1 de hoja seca, superando significativamente a la fertilización convencional. Con esta combinación se logró mejorar el rendimiento de esteviósido y rebaudiósido-A en hojas de S. rebaudiana. Además, se destaca que el método 1H-RMN se utilizó como una alternativa viable a la HPLC para cuantificar los principales glucósidos de esteviol en S. rebaudiana, el cual proporciona resultados cuantitativos en menos tiempo y con la misma precisión.
Palabras clave: Metabolitos, glucósidos, HMA, fosfato, cuantificación.
Abstract: Stevia rebaudiana produces steviol glycosides in its leaves, with stevioside and rebaudioside-A as the most important due to their sweetening property. Phosphorus is an essential element in the biosynthesis of steviol glycosides, and arbuscular mycorrhizae can promote the concentration of glycosides by facilitating the translocation of phosphorus to the plant. Therefore, the concentration of stevioside and rebaudioside-A was quantified by means of 1H-NMR, in S. rebaudiana plants inoculated with arbuscular mycorrhizal consortia (RC, TZ and CY consortia) and fertilized with phosphorus levels (25, 50, 75 and 100 %). A 76 % mycorrhizal colonization was obtained with the RC + 25 % phosphorus treatment, where a higher leaf phosphorus content and a higher concentration of stevioside and rebaudioside-A in mg g-1 of dry leaf were also recorded, significantly surpassing conventional fertilization. With this combination, it was possible to improve the yield of stevioside and rebaudioside-A in S. rebaudiana leaves. Furthermore, it is highlighted that the 1H-NMR method was used as a viable alternative to HPLC to quantify the main steviol glycosides in S. rebaudiana, which provides quantitative results in less time and with the same precision.
Keywords: Metabolites, glycosides, AM, phosphate, quantification.
Introducción
El esteviósido (Stv) y rebaudiósido-A (Reb-A) son los metabolitos secundarios de mayor importancia en las hojas de Stevia rebaudiana Bertoni (Asteraceae), se clasifican como glucósidos diterpénicos y son responsables de la propiedad edulcorante en las hojas y extractos derivados de las mismas (Brandle y Telmer, 2007; Libik-Konieczny et al., 2021), la particularidad de estos glucósidos es que pueden alcanzar una dulzura entre 143 y 320 veces mayor a la sacarosa y son libres de calorías, por tanto, no causan efectos secundarios dañinos en el cuerpo humano (Perrier et al., 2018; Libik-Konieczny et al., 2021). Actualmente, el Stv y Reb-A presentan alta demanda en países con problemas de salud pública como diabetes y obesidad por tratarse de edulcorantes naturales que sustituyen al azúcar y a edulcorantes sintéticos (Marcinek y Krejpcio, 2016; Ahmad et al., 2020). Con el fin de aumentar la concentración de Stv y Reb-A en el cultivo de S. rebaudiana, los estudios se han centrado en gran medida en la biomasa total producida (Mamta et al., 2010; Mandal et al., 2013), sin embargo, para mejorar la productividad en términos de metabolitos secundarios, se está impulsando la aplicación de agrotecnologías como la gestión del fotoperiodo (Alvarado-Orea et al., 2020; Rivera-Avilez et al., 2021), cultivo de tejidos (Aguilar-Jiménez et al., 2019; Sharma et al., 2023), uso de alcoholes y sales (Gupta et al., 2014) y gestión del estrés hídrico (Fronza y Folegatti, 2003; Karimi et al., 2019). No obstante, es indispensable explorar en la manipulación de macronutrientes como el fósforo (P) que son indispensables en los procesos de biosíntesis de compuestos de interés (Maniruzzaman et al., 2017; Libik-Konieczny et al., 2021).
Es necesario identificar los principales factores que afectan la concentración de Stv y Reb-A, la eficiencia en la traslocación de P en la planta es clave para mejorar la producción de metabolitos (Tavarini et al., 2018). Además, se conoce ampliamente que las micorrizas translocan P del suelo a las plantas y favorecen su crecimiento, asimismo, pueden mejorar la producción de metabolitos secundarios como resultado de una mejor absorción de agua y nutrientes por la planta (Sbrana et al., 2014; Sarmiento-López et al., 2020), no obstante, la nutrición mejorada con P es probablemente el beneficio más conocido y documentado de los hongos micorrícicos arbusculares (HMA) para las plantas (Zimmerman et al., 2009; Bagyaraj et al., 2015; Gao et al., 2020; Higo et al., 2020). El efecto beneficioso de los HMA se atribuye a una extensa red micelial capaz de explorar el suelo más allá de la zona de influencia de las raíces (Roy-Bolduc y Hijri, 2011; Spatafora et al., 2016;). También se sabe que los consorcios de HMA nativos suelen ser más efectivos que los productos a base de especies exóticas o una sola especie, debido a que los HMA se adaptan a ciertas condiciones ambientales específicas y su introducción en diferentes ambientes puede causar desbalance al medio (Lima et al., 2015).
Por otra parte, en el campo del análisis, el enfoque más popular para la cuantificación de Stv y Reb-A es la cromatografía líquida de alto rendimiento (HPLC), este método se basa en la separación y cuantificación de los glucósidos, sin embargo, tiene limitaciones como la necesidad de compuestos estándar, tiempos de análisis relativamente largos y reproducibilidad deficiente a medida que el rendimiento de la columna empeora con el tiempo. A diferencia de los métodos basados en cromatografía, la resonancia magnética nuclear (1H-RMN) ha demostrado ser una herramienta rápida y eficiente para cuantificar los glucósidos de esteviol en hojas de S. rebaudiana (Tangpaisarnkul et al., 2018).
La 1H-RMN se basa directamente en los átomos (espines nucleares) de las moléculas, por lo que tiene, en principio, capacidad cuantitativa y se puede aplicar al análisis de cuantificación. Además, representa un enfoque completamente diferente que no depende de la separación de analitos y es considerada como una alternativa factible al HPLC, ya que permite un análisis significativamente más rápido y con una excelente reproducibilidad y robustez (Pieri et al., 2011). Por lo anterior, el objetivo de este estudio fue cuantificar mediante H1 RMN el contenido de Stv y Reb-A en plantas de S. rebaudiana inoculadas con consorcios de HMA en interacción con niveles de P.
Materiales y métodos
Condiciones experimentales
Se trasplantaron a nivel invernadero plantines de S. rebaudiana Bert. variedad Morita II de 15 cm aproximadamente, provenientes del INIFAP-C.E. Uxmal, Yucatán, México. Los consorcios de HMA evaluados provenían de localidades diferentes del estado de Yucatán y se determinaron como 1) RC; proveniente de Reserva Cuxtal (integrado por Funneliformis geosporum, Claroideoglomus claroideum, Glomus ambisporum), 2) TZ; proveniente de Tizimín (Integrado por Gigaspora spp. y Glomus spp.) y CY; Colonia Yucatán (integrado por Funneliformis spp., Glomus spp. y Ambispora spp.). Los tres consorcios fueron extraídos por Cauich-Cauich et al. (2023). Los tratamientos (RC, TZ, CY y el control) se aplicaron directamente en el sustrato en concentración de 110 esporas. Los niveles de P evaluados fueron 0, 25, 50, 75 y 100 % suministrado como; 0, 79, 158, 237 y 316 mg de P2O5 kg-1 suelo respectivamente, con base en la fertilización convencional (Ramírez-Jaramillo y Lozano-Contreras, 2017). Se utilizó sustrato estéril compuesto de suelo y bagazo de henequén en proporción 2:1 v/v y bolsas negras de poliestireno de 25 x 25 cm. Se aplicó riego por goteo con el 80 % de la ETo (Cauich-Cauich et al., 2018). Las temperaturas promedio registradas fueron 39 °C máxima y 24 °C mínima.
Diseño experimental
Se utilizó un diseño completamente al azar donde se distribuyeron 20 tratamientos con 4 repeticiones que resultaron de la combinación de RC, TZ, CY, Control y 0, 25, 50, 75 y 100 % de P.
Colonización micorrícica total
Al final del experimento se estimó el porcentaje de colonización, para ello, las raíces se tiñeron siguiendo la técnica de Phillips y Hayman (1970). La colonización micorrícica total se calculó según el método de intersección de líneas (Giovannetti y Mosse, 1980). Se evaluaron 100 segmentos de raíces de cinco plantas para cada tratamiento.
Fósforo foliar
El contenido de P a nivel foliar de se realizó al final del experimento mediante µ-Fluorescencia de Rayos X (μ-XRF), con las metodologías descritas por Chí-Sánchez et al. (2021) en un equipo M4Tornado 100 (Bruker, Alemania). El haz colimador fue de 2 mm, el tubo de rayos X fue operado a 50kV y 200 μA y con un área sensible de 30 mm2. Se cuantificó P en g kg-1 de materia seca. Las mediciones fueron realizadas al vacío a 20 mbar directamente a los porta muestras que contenían hoja seca y molida.
Preparación de muestras para 1H-RMN
Las hojas de S. rebaudiana se secaron en una estufa de aire forzado a 70 °C hasta peso constante y se pulverizaron en un molino de laboratorio SV-MO-300T. Posteriormente, se liofilizaron para eliminar la humedad residual. Por cada repetición se tomaron 50 mg de muestra molida y se le colocó 1 mL de dimetilsulfóxido deuterado (DMSO-d6) (Sigma-Aldrich 99.9 atom %) como disolvente de grado espectroscópico con desplazamiento químico (δ) de 2.5, se adicionó 5 mg mL-1 de nicotinamida como referencia interna con δ de 7.5, 8.0, 8.5, 8.9, la cual se utiliza ampliamente y es aceptable como patrón de referencia (Dona et al., 2016). Posteriormente, se homogeneizo la solución por sonificación durante 60 minutos y se filtró para separar los residuos y partículas grandes.
Análisis por 1H-RMN
Los espectros se registraron en un espectrómetro Varian 600 MHz AR Premium Compact (Santa Clara, California U.S.) utilizando las siguientes condiciones experimentales: tiempo de adquisición: 2.73 s, retardo de relajación: 1 s, número de transientes: 32, recopilados en 64k puntos de datos, número de puntos de la adquisición: 28,846 y 4 bloques de barrido (Biswapriya et al., 2019). Los espectros fueron procesados en el programa MestReNova, incluyendo ajuste de fase manual, ajuste exponencial con LB: 0.3 Hz, corrección de línea base automática y referencia con respecto a la nicotinamida (7.5, 8.0, 8.5, 8.9 ppm). Se eliminaron las señales relacionadas con la saturación de la resonancia del agua con δ 3.4 y se integraron las regiones bajo las señales seleccionadas, normalizando la integración respecto a la señal de la nicotinamida. Los espectros 1H-RMN de las muestras se registraron con parámetros constantes para garantizar la precisión de los resultados.
Análisis cuantitativo de Stv y Reb-A
La aplicación de 1H-RMN cuantitativa requiere que al menos una señal no superpuesta para que cada molécula a cuantificar esté disponible para la integración, conocer el número de hidrógenos o núcleos que proyectan la señal y la concentración de la referencia. La cuantificación se realizó según Malz y Jancke (2005) de acuerdo con la siguiente ecuación:
Donde:
Cm= Concentración en la muestra (mg mL-1).
Href= Número de hidrógenos (protones) de la referencia.
Iref= Intensidad de la señal (integral) de la referencia.
Cref= Concentración de la referencia (mg mL-1).
Hm= Número de hidrógenos (protones) de la muestra.
Im= Intensidad de la señal (integral) de la muestra.
Análisis estadísticos
Los datos obtenidos en porcentaje se transformaron para homogeneizar varianzas mediante la función arco seno, con los datos obtenidos se realizó análisis de varianza y se aplicó como comparador de medias el método de Tukey (P ≤ 0.05) mediante el paquete estadístico InfoStat versión 2014 (Universidad Nacional de Córdova, Argentina).
Resultados y discusión
Porcentaje de colonización micorrícica total
El mayor porcentaje de colonización se obtuvo en el tratamiento RC+0 %P, seguido de RC+25 %P con 80 y 76 % respectivamente. Mientras mayor fue la cantidad de P aplicado, el porcentaje de colonización disminuyó. Es decir, se vio afectado con dosis altas de P, lo que sugiere que, a niveles altos de P en la rizosfera, la simbiosis micorrícica se interrumpe y se vuelve irrelevante para las plantas (Smith et al., 2011). Por tanto, la cantidad de P considerado en el plan de fertilización puede limitar el efecto de HMA en plantas inoculadas.
Contenido de fósforo foliar
La inoculación de los consorcios RC y CY permitió un aumento significativo (P ≤ 0.05) en el contenido de P a nivel foliar en S. rebaudiana. Los tratamientos RC+25 %P y CY+25 %P estimularon la mayor acumulación de P en las hojas con 1.39 y 1.34 g kg-1 de materia seca respectivamente, superando al control (control + 25 %P) en un 89 % (Tabla 1).

En plantas sin micorriza el contenido de P foliar mostró un comportamiento directamente proporcional al P adicionado, es decir, mientras mayor fue la dosis de P, hubo mayor contenido de P en las hojas. Por el contrario, en plantas micorrizadas se observó una tendencia diferente, a medida que aumentó la dosis de P adicionado, el contenido de P foliar disminuyó, esta respuesta puede atribuirse a la disminución del porcentaje de colonización observada en esta condición, lo que afectó la respuesta de la micorrización.
Los consorcios HMA tuvieron efectos significativos en el contenido de P foliar. Se obtuvieron aumentos considerando la sola inoculación de los HMA en comparación a plantas no inoculadas. No obstante, el consorcio TZ mostró menor desempeño en los resultados, esto sugiere que, probablemente, las especies que lo integran no tienen afinidad en la traslocación de P en plantas de S. rebaudiana como lo tendrían en otras variables u especies vegetales. Es importante tener en cuenta que las especies de HMA pueden tener diferentes tipos de interacción con las plantas, y esta condición se puede ver reflejado en su efectividad (Eun-Hwa et al., 2013).
El efecto sinérgico de RC+25 %P y CY+25 %P superó a la fertilización convencional. Estos resultados van de acuerdo con el estudio previo realizado por Mandal et al. (2015), quienes observaron aumentos hasta del 56 % en el contenido de P en plantas micorrizadas en comparación a plantas control. Por su parte, Tavarini et al. (2018) informaron que en plantas micorrizadas de S. rebaudiana el contenido de P foliar fue significativamente más alto cuando se aplicaron dosis bajas de P (25 mg de P2O5 kg-1 suelo).
La eficiencia de los consorcios RC y CY en la traslocación de P aumentó cuando los niveles de P aplicado en el suelo fueron menores a 158 mg de P2O5 kg-1 suelo, sin embargo, además de un adecuado nivel de P, también influye la afinidad con la que las especies que conforman el consorcio capturan P en el suelo, incluso cuando sea escaso (Smith et al., 2011; Jansa et al., 2019). Este sentido, este resultado puede atribuirse a que los géneros Funneliformis y Glomus spp. presentes en los consorcios RC y CY han sobresalido en otros estudios por su afinidad en la toma de P (Hoseini et al., 2015; Sahodaran et al., 2019). El consorcio TZ no tuvo efectos significativos, lo que supone, que las especies que lo integran no tienen afinidad sobre esta variable.
Los resultados son consistentes con el papel conocido de los HMA en la nutrición de las plantas, el aumento en el contenido de P foliar por efecto de la simbiosis micorrícica también se asocia principalmente a la actividad de las hifas extraradicales que proporcionan una vía adicional para la captación de P (Ezawa y Saito, 2018).
Intensidad de señales Stv y Reb-A en espectro 1H-RMN
Se adquirieron 80 espectros, en cada uno se identificó la señal del disolvente DMSO-d6 (δ 2.5 ppm), y se integraron las señales de referencia interna (nicotinamida) (δ 7.5, 8.0, 8.5, 8.9 ppm), así como, las señales del Stv y Reb-A. La identificación correcta de las señales en los espectros fue respaldada con los estándares (ver información de soporte). En la figura 1 se observa un espectro 1H-RMN representativo de las muestras procesadas de S. rebaudiana.

Cuantificación
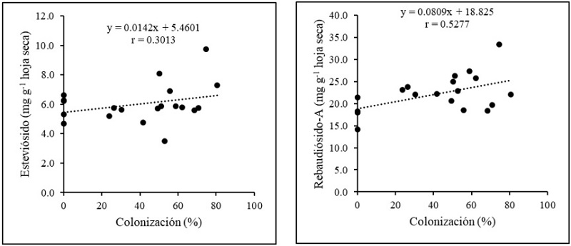
La interacción entre los consorcios de HMA y niveles de P tuvo efectos significativos (P ≤ 0.05) en la concentración de Stv y Reb-A. El tratamiento RC+25 %P mejoró la concentración tanto de Stv como de Reb-A en comparación al control, generando 9.76 y 33.46 mg g-1 de hoja seca respectivamente (Tabla 2), lo que fue consistente con la respuesta del mismo tratamiento en el contenido de P foliar. En plantas micorrizadas por RC, mientras mayor fue el nivel de P adicionado, menor fue la concentración de Stv. Por su parte, el efecto de los consorcios TZ y CY no mostró diferencias estadísticamente significativas (P ≤ 0.05) con respecto al control en la concentración de Stv, este resultado se vio reflejado en un bajo coeficiente de correlación entre el porcentaje de colonización y la concentración de Stv y Reb-A (r = 0.09 y r = 0.5 para Stv y Reb-A respectivamente (figura 2).


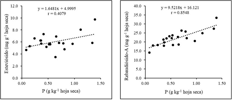
La concentración de Reb-A se vio mejorada en los tratamientos TZ y CY (22.43 y 22.53 mg g-1 de hoja seca respectivamente) en comparación al control, sin embargo, este resultado no superó la concentración que generó RC+25 %P, el cual superó en un 63 % a la fertilización convencional en la concentración de ambos glucósidos. En el presente estudio es evidente el efecto benéfico del consorcio RC, que en combinación con 25 %P permitió aumentar 63 % el rendimiento tanto de Stv como de Reb-A, lo que indica que, aportes mayores al 25 %P en la fertilización de plantas micorrizadas no siempre conlleva a un aumento en la concentración de glucósidos en S. rebaudiana. Este resultado se atribuye a que el mismo tratamiento mejoró el contenido de P foliar. A pesar de ello, esta observación no puede atribuirse a una dosis específica de P en plantas micorrícicas. Roy-Bolduc y Hijri (2011) afirman que la absorción de otros nutrientes por micorrización puede causar una disminución en la concentración de P debido a la dilución interna en la planta. Sin embargo, en este estudio, se obtuvo en general una correlación lineal positiva entre el contenido de fósforo a nivel foliar y el contenido de Stv y Reb-A en las hojas de S. rebaudiana, mostrando un coeficiente de correlación de r = 0.4 y r = 0.8 para Stv y Reb-A respectivamente, como se observa en la figura 3.

El consorcio CY también optimizó el contenido de P foliar cuando se combinó con 25 %P, sin embargo, este beneficio no se vio reflejado en la concentración de Stv. Por tanto, el aumento en la producción de metabolitos secundarios por HMA podría estar relacionado tanto por mecanismos nutricionales como no nutricionales como lo menciona Zubek et al. (2012) y Mandal et al. (2013). Probablemente, el efecto benéfico diferencial de las especies HMA que conforman el consorcio CY no tiene afinidad en la vía de glucosilación del Stv, lo que probablemente estaría relacionado con la regulación de genes involucrados en la ruta de biosíntesis de glucósidos de esteviol. Es decir, las especies de HMA pueden influir de manera diferente en la productividad de las plantas. En este contexto, Sarmiento-López et al. (2021) obtuvieron menor acumulación de Reb-A en plantas inoculadas con Rhizophagus irregularis + 200 µM de fosfato monopotásico y, por el contrario, concentraciones superiores en plantas testigo con el mismo nivel de fertilización.
Los consorcios TZ y CY aumentaron la concentración de Reb-A cuando se combinaron con 25 y 75 % P, sin embargo, no optimizaron el contenido de Stv, esto sugiere que posiblemente la combinación de los consorcios influyó en la activación de genes clave que codifican glicosiltransferasas en el proceso de biosíntesis. Mohamed et al. (2011) mencionan que las glicosiltransferasas son específicas y transfieren moléculas de azúcar de un donante activo a una molécula aceptora. Por lo tanto, la concentración de azúcar influye en la formación de cada glucósido en las hojas de S. rebaudiana (Samsulrizal et al., 2019).
Por otra parte, la concentración de metabolitos secundarios en las plantas está en función de la variedad, el lugar del cultivo, la temporada, las condiciones de cultivo y la precisión del método analítico (Pieri et al., 2011). En México se ha reportado para S. rebaudiana variedad Morita II 2.18 % de Stv y 9.12 % de Reb-A (en proporción 1:8 veces) utilizando para el análisis cromatografía líquida de alto rendimiento (HPLC) (Aranda-González et al., 2015). En este estudio, las concentraciones de Stv oscilaron entre 3.50 y 9.76 mg g-1 de hoja seca, y las de Reb-A entre 14.18 y 33.46 mg g-1 de hoja seca, utilizando para el análisis 1H-RMN. En comparación a lo reportado anteriormente, se obtuvo alrededor de 2 veces más el contenido de Stv y Reb-A en plantas micorrizadas y fertilizadas con 25 %P. En otros estudios como el de Mandal et al. (2013) reportaron en India concentraciones de Stv y Reb-A entre 35 y 40 mg g-1 de hoja seca en plantas de S. rebaudiana inoculadas con una especie de HMA (Rhizhophagus fasciculatus) + 50 mg P2O5 kg-1 suelo, sin embargo, utilizaron la variedad Cimmeethi.
Conclusiones
En este trabajo, se hace énfasis de la utilización de consorcios HMA como una estrategia para eficientizar la traslocación de P en la planta y mejorar la concentración de Stv y Reb-A. Los resultados mostraron que las plantas de S. rebaudiana inoculadas con el consorcio RC en combinación con 25 % P (con base en la dosis fertilización convencional) presentaron 76 % de colonización, mayor contenido de P a nivel foliar y se mejoró la concentración de Stv y Reb-A en comparación a las plantas fertilizadas de manera convencional. Esto indica que la nutrición vegetal, especialmente la fertilización con P en plantas micorrícicas optimiza y desempeña un papel importante en la biosíntesis de glucósidos de esteviol. Además, la aplicación del consorcio RC como biofertilizante, es válido para este cultivo, ya que mejora la concentración de Stv y Reb-A. Por otro lado, los consorcios TZ y CY solo optimizaron la concentración de Reb-A en comparación al control, esto puede explicarse por la interacción entre diferentes simbiontes presentes en cada consorcio, lo cual resulta en respuestas diferenciales en la producción de compuestos específicos. Adicionalmente, la 1H-RMN permitió la cuantificación de los principales glucósidos de S. rebaudiana sin basarse en el uso de compuestos estándar y sin la necesidad de una calibración externa, esto da como resultado un análisis más rápido. La 1H-RMN puede ser una alternativa factible al HPLC para la cuantificación de Stv y Reb-A en S. rebaudiana.
Conflictos de intereses
Los autores declaran que no existe conflicto de interés.
Información suplementaria
Se detectaron por 1H-RMN las señales correspondientes al esteviósido (Stv) y rebaudiósido-A (Reb-A) para lo cual, se utilizaron los estándares comerciales: stevioside hydrate (98 %) y rebaudioside A (96 %) (Sigma-Aldrich). Los espectros de los estándares se superpusieron y se compararon para seleccionar aquellas señales que no mostraran traslape, con la finalidad de identificar la diferencia y particularidad de señales de cada glucósido (Stv y Reb-A). Ambos espectros se caracterizaron por mostrar tres grupos distintos de señales que corresponderían a los protones (H-1) de la aglicona y de los azúcares unidos de acuerdo con su estructura química.
En la figura soporte 1 se observan los tres grupos distintos de señales no traslapadas que mostraron los estándares Stv y Reb-A. En el caso del Stv, se seleccionaron las señales con desplazamiento químico (δ) a 4.37, 3.79 y 1.58 ppm (Figura soporte 2, imagen amplificada que corresponde a las flechas rojas), para el caso del Reb-A se integraron las señales con δ 5.12, 3.62 y 1.85 ppm (Figura soporte 3, imagen amplificada que corresponde a las flechas azules).



En cada espectro, se identificó las señales no traslapadas, la intensidad de la señal y la posición de los H-1 de acuerdo con su estructura química. En el espectro de Stv, las señales correspondientes a los H-1 se encontraron en las posiciones 25, 27 y 23 (Figura soporte 4). En el espectro de Reb-A, las señales correspondientes a los H-1 se encontraron en las posiciones 17, 21 y 4 de acuerdo con su estructura química (Figura soporte 5).


Agradecimientos
El primer autor agradece al Consejo Nacional de Ciencia y Tecnología (CONACyT) por la beca otorgada para sus estudios de posgrado. Al programa de Doctorado en Ciencias en Agricultura Tropical Sustentable del Tecnológico Nacional de México, campus Conkal y al Instituto Nacional de Investigaciones Forestales, Agrícolas y Pecuarias (INIFAP) por el financiamiento brindado para la realización del proyecto.
Referencias
Aguilar-Jiménez, D., Piña-Guillén, J. y Silva Díaz, V. 2019. Propagación in vitro de Stevia rebaudiana y análisis preliminar de esteviósidos. Revista mexicana de ciencias agrícolas. 10(1): 197-204 . https://doi.org/10.29312/remexca.v10i1.1543
Alvarado-Orea, I.V., Paniagua-Vega, D., Capataz-Tafur, J., Torres-López, A., Vera-Reyes, I., García-López, E. y Huerta-Heredia, A.A. 2020. Photoperiod and elicitors increase steviol glycosides, phenolics, and flavonoid contents in root cultures of Stevia rebaudiana. In Vitro Cellular & Developmental Biology-Plant. 56: 298-306. https://doi.org/10.1007/s11627-019-10041-3
Aranda-González, I., Moguel-Ordoñez, Y. y Betancur-Ancona, D. 2015. Determination of rebaudioside A and Stevioside in leaves of S. rebaudiana Bertoni grown in México by a validated HPLC method. American journal of analytical chemistry. 6(11): 878. https://doi.org/10.4236/ajac.2015.611083
Ahmad, J., Khan, I., Blundell, R., Azzopardi, J. y Mahomoodally, M.F. 2020. Stevia rebaudiana Bertoni: an updated review of its health benefits, industrial applications and safety. Trends in Food Science & Technology. 100: 177-189. https://doi.org/10.1016/j.tifs.2020.04.030
Bagyaraj, D.J., Sharma, M.P. y Maiti, D. 2015. Phosphorus nutrition of crops through arbuscular mycorrhizal fungi. Current Science. 1288-1293. https://www.jstor.org/stable/24905490
Biswapriya, B.M., Ruiz-Hernández, I.M., Hernández-Bolio, G.I., Hernández-Núñez, E., Díaz-Gamboa, R. y Colli-Dula, R.C. 2019. 1H NMR metabolomic analysis of skin and blubber of bottlenose dolphins reveals a functional metabolic dichotomy. Comparative Biochemistry and Physiology Part D: Genomics and Proteomics. 30: 25-32. https://doi.org/10.1016/j.cbd.2019.02.004
Brandle, J.E. y Telmer, P.G. 2007. Steviol glycoside biosynthesis. Phytochemistry. 68(14): 1855-1863. https://doi.org/10.1016/j.phytochem.2007.02.010
Cauich Cauich, R., Pérez Gutiérrez, A., Lozano Contreras, M.G., Garruña, R. y Ruíz Sánchez, E. 2018. Productividad de Stevia rebaudiana Bertoni con diferentes láminas de riego e inoculantes microbianos. Nova scientia. 10(20): 30-46. https://doi.org/10.21640/ns.v10i20.1166
Cauich-Cauich, R., Tun-Suárez, J. M., Cristóbal-Alejo, J., Hererra-Parra, E., Andueza-Noh, R., y Lozano-Contreras, M.G. 2023. Evaluación de consorcios micorrícicos arbusculares nativos en interacción con niveles de fósforo en la promoción del crecimiento y fotosíntesis de Stevia rebaudiana Bertoni. Biotecnia. 25(1): 67-80. https://doi.org/ 10.18633/biotecnia.v25i1.1765
Chí-Sánchez, F.A., Alvarado-López, C.J., Cristóbal-Alejo, J., González-Moreno, A. y Reyes-Ramírez, A. 2021. Mineral content of landraces maize from Yucatán: analysis by µ-Fluorescence X-ray. Terra Latinoamericana. 39. https://doi.org/10.28940/terra.v39i0.454
Dona, A.C., Kyriakides, M., Scott, F., Shephard, E.A., Varshavi, D., Veselkov, K. y Everett, J.R. 2016. A guide to the identification of metabolites in NMR-based metabonomics/metabolomics experiments. Computational and structural biotechnology journal. 14: 135-153. https://doi.org/10.1016/j.csbj.2016.02.005
Eun-Hwa, L., Ju-Kyeong, E., Kang-Hyeon, K. y Ahn-Heum, E. 2013. Diversity of arbuscular mycorrhizal fungi and their roles in ecosystems. Mycobiology. 41: 121-125. https://doi.org/10.5941/MYCO.2013.41.3.121
Ezawa, T. y Saito, K. 2018. How do arbuscular mycorrhizal fungi handle phosphate? New insight into fine‐tuning of phosphate metabolism. New phytologist. 220(4): 1116-1121. https://doi.org/10.1111/nph.15187
Fronza, D. y Folegatti, M. 2003. Water consumption of the estevia (Stevia rebaudiana (Bert.) Bertoni crop estimated through microlysimeter. Scientia Agricola. 60(3): 595-599. https://doi.org/10.1590/S0103-90162003000300028
Gao, X., Guo, H., Zhang, Q., Guo, H., Zhang, L., Zhang, C. y Zeng, F. 2020. Arbuscular mycorrhizal fungi (AMF) enhanced the growth, yield, fiber quality and phosphorus regulation in upland cotton (Gossypium hirsutum L.). Scientific Reports. 10(1): 1-12. https://doi.org/10.1038/s41598-020-59180-3
Giovannetti, M. y Mosse, B. 1980. An evaluation of techniques for measuring vesicular arbuscular mycorrhizal infection in roots. New phytologist . 489-500. https://doi.org/10.1111/j.1469-8137.1980.tb04556.x
Gerdemann, J.W. y Nicolson, T.H. 1963. Spores of mycorrhizal Endogone species extracted from soil by wet sieving and decanting. Transactions of the British Mycological society. 46(2): 235-244. https://doi.org/10.1016/S0007-1536(63)80079-0
Gupta P., Sharma S. y Saxena S. 2014. Effect of salts (NaCl and Na2CO3) on callus and suspension culture of Stevia rebaudiana for steviol glycoside production. Applied biochemistry and biotechnology. 172(6): 2894-2906. https://doi.org/10.1007/s12010-014-0736-2
Higo, M., Azuma, M., Kamiyoshihara, Y., Kanda, A., Tatewaki, Y. e Isobe, K. 2020. Impact of phosphorus fertilization on tomato growth and arbuscular mycorrhizal fungal communities. Microorganisms. 8(2): 178. https://doi.org/10.3390/microorganisms8020178
Hoseini, R., Mohammadi, E. y Kalatejari, S. 2015. Effect of bio-fertilizer on growth, development and nutrient content (leaf and soil) of Stevia rebaudiana Bertoni. Journal of Crop Protection. 4(5): 691-704. http://jcp.modares.ac.ir/article-3-2883-en.html
Jansa, J., Forczek, S.T., Rozmoš, M., Püschel, D., Bukovská, P. y Hršelová, H. 2019. Arbuscular mycorrhiza and soil organic nitrogen: network of players and interactions. Chemical and Biological Technologies in Agriculture. 6(1): 1-10. https://doi.org/10.1186/s40538-019-0147-2
Karimi, M., Ahmadi, A., Hashemi, J., Abbasi, A., Tavarini, S., Pompeiano, A. and Angelini, L.G. 2019. Plant growth retardants (PGRs) affect growth and secondary metabolite biosynthesis in Stevia rebaudiana Bertoni under drought stress. South African Journal of Botany. 121: 394-401. https://doi.org/10.1016/j.sajb.2018.11.028
Libik-Konieczny, M., Capecka, E., Tuleja, M. y Konieczny, R. 2021. Synthesis and production of steviol glycosides: recent research trends and perspectives. Applied Microbiology and Biotechnology. 105(10): 3883-3900. https://doi.org/10.1007/s00253-021-11306-x
Lima, C.S., Campos, M.A.d.S. y da Silva, F.S.B. 2015. Mycorrhizal Fungi (AMF) increase the content of biomolecules in leaves of Inga vera Willd. seedlings. Symbiosis. 65: 117-123. https://doi.org/10.1007/s13199-015-0325-3
Libik-Konieczny, M., Capecka, E., Tuleja, M. y Konieczny, R. 2021. Synthesis and production of steviol glycosides: recent research trends and perspectives. Applied Microbiology and Biotechnology . 105(10): 3883-3900. https://doi.org/10.1007/s00253-021-11306-x
Mandal, S., Upadhyay, S., Singh, V.P. y Kapoor, R. 2015. Enhanced production of steviol glycosides in mycorrhizal plants: a concerted effect of arbuscular mycorrhizal symbiosis on transcription of biosynthetic genes. Plant Physiology and Biochemistry. 89: 100-106. https://doi.org/10.1016/j.plaphy.2015.02.010
Mandal, S., Evelin, H., Giri, B., Singh, V.P. y Kapoor, R. 2013. Arbuscular mycorrhiza enhances the production of stevioside and rebaudioside-A in Stevia rebaudiana via nutritional and non-nutritional mechanisms. Applied soil ecology. 72: 187-194. https://doi.org/10.1016/j.apsoil.2013.07.003.
Mamta, R.P., Pathania, V., Gulati, A., Singh, B., Bhanwra, R.K. y Tewari, R. 2010. Stimulatory effect of phosphate-solubilizing bacteria on plant growth, stevio-side and rebaudioside-A contents of Stevia rebaudiana Bertoni. Applied Soil Ecology. 46: 222-229. https://doi.org/10.1016/j.apsoil.2010.08.008
Maniruzzaman, M., Chowdhury, T., Rahman, M.A. y Chowdhury, M.A. H. 2017. Phosphorus use efficiency and critical P content of stevia grown in acid and non-calcareous soils of Bangladesh. Research in Agriculture Livestock and Fisheries. 4(2): 55-68. https://doi.org/10.3329/ralf.v4i2.33717
Marcinek, K. y Krejpcio, Z. 2016. Stevia rebaudiana Bertoni: health promoting properties and therapeutic applications. Journal für Verbraucherschutz und Lebensmittelsicherheit. 11(1): 3-8. https://doi.org/10.1007/s00003-015-0968-2
Malz, F. y Jancke, H. 2005. Validation of quantitative NMR. Journal of pharmaceutical and biomedical analysis. 38(5): 813-823. https://doi.org/10.1016/j.jpba.2005.01.043
Mohamed, A.A., Ceunen, S., Geuns, J.M., Van den Ende, W. y De Ley, M. 2011. UDP-dependent glycosyltransferases involved in the biosynthesis of steviol glycosides. Journal of plant physiology. 168(10): 1136-1141. https://doi.org/10.1016/j.jplph.2011.01.030
Perrier, J.D., Mihalov, J.J. y Carlson, S.J. 2018. FDA regulatory approach to steviol glycosides. Food and Chemical Toxicology. 122: 132-142. https://doi.org/10.1016/j.fct.2018.09.062
Pieri, V., Belancic, A., Morales, S. y Stuppner, H. 2011. Identification and quantification of major steviol glycosides in Stevia rebaudiana purified extracts by 1H NMR spectroscopy. Journal of agricultural and food chemistry. 59(9): 4378-4384. https://doi.org/10.1021/jf104922q
Phillips, J.M. y Hayman, D.S. 1970. Improved procedures for clearing roots and staining parasitic and vesicular-arbuscular mycorrhizal fungi for rapid assessment of infection. Transactions of the British Mycological society . 55(1): 158-161. https://doi.org/10.1016/s0007-1536(70)80110-3
Ramírez-Jaramillo, G. y Lozano-Contreras, M.G. 2017. La producción de Stevia rebaudiana Bertoni en Mexico. AgroProductividad. 10(8): 84-90. https://revista-agroproductividad.org/index.php/agroproductividad/article/view/1080
Rivera-Avilez, J.A., Jarma-Orozco, A. y Pompelli, M.F. 2021. Stevia rebaudiana Bertoni: The interaction of night interruption on gas exchange, flowering delay, and steviol glycosides synthesis. Horticulturae. 7(12): 543. https://doi.org/10.3390/horticulturae7120543
Roy-Bolduc, A. y Hijri, M. 2011. The use of mycorrhizae to enhance phosphorus uptake: a way out the phosphorus crisis. Journal of Biofertilizers & Biopesticides. 2(104): 1-5. https://doi.org/10.4172/2155-6202.1000104
Samsulrizal, N.H., Zainuddin, Z., Noh, A.L. y Sundram, T.C. 2019. A review of approaches in steviol glycosides synthesis. International Journal of Life Sciences and Biotechnology. 2(3): 145-157. https://doi.org/10.38001/ijlsb.577338
Sarmiento-López, L.G., López-Meyer, M., Sepúlveda-Jiménez, G., Cárdenas, L. y Rodríguez-Monroy, M. 2021. Arbuscular mycorrhizal symbiosis in Stevia rebaudiana increases trichome development, flavonoid and phenolic compound accumulation. Biocatalysis and Agricultural Biotechnology. 31: 101889. https://doi.org/10.1016/j.bcab.2020.101889
Sarmiento-López, L.G., López-Meyer, M., Sepúlveda-Jiménez, G., Cárdenas, L. y Rodríguez-Monroy, M. 2020. Photosynthetic performance and stevioside concentration are improved by the arbuscular mycorrhizal symbiosis in Stevia rebaudiana under different phosphate concentrations. PeerJ. 8: 1-23. https://doi.org/10.7717/peerj.10173
Sahodaran, N.K., Arun, A.K. y Ray, J.G. 2019. Native arbuscular mycorrhizal fungal isolates (Funneliformis mosseae and Glomus microcarpum) improve plant height and nutritional status of banana plants. Experimental Agriculture. 55(6): 924-933. https://doi.org/10.1017/S0014479719000036
Sieverding, E. 1990. Ecology of VAM fungi in tropical agrosystems. Agriculture, Ecosystems and Environment. 29(1-4): 369-390. https://doi.org/10.1016/0167-8809(90)90303-U
Sbrana, C., Avio, L. y Giovannetti, M. 2014. Beneficial mycorrhizal symbionts affecting the production of health‐promoting phytochemicals. Electrophoresis. 35(11): 1535-1546. https://doi.org/10.1002/elps.201300568
Sharma, S., Gupta, S., Kumari, D., Kothari, S.L., Jain, R. y Kachhwaha, S. 2023. Exploring plant tissue culture and steviol glycosides production in Stevia rebaudiana (Bert.) Bertoni: A review. Agriculture. 13(2): 475. https://doi.org/10.3390/agriculture13020475
Smith, S.E., Jakobsen, I., Grønlund, M. y Smith, F.A. 2011. Roles of arbuscular mycorrhizas in plant phosphorus nutrition: interactions between pathways of phosphorus uptake in arbuscular mycorrhizal roots have important implications for understanding and manipulating plant phosphorus acquisition. Plant physiology. 156(3): 1050-1057. https://doi.org/10.1104/pp.111.174581
Spatafora, J.W., Chang, Y., Benny, G.L., Lazarus, K., Smith, M.E., Berbee, M.L. y Stajich, J.E. 2016. A phylum-level phylogenetic classification of zygomycete fungi based on genome-scale data. Mycologia. 108(5): 1028-1046. https://doi.org/10.3852/16-042
Tavarini, S., Passera, B., Martini, A., Avio, L., Sbrana, C., Giovannetti, M. y Angelini, L.G. 2018. Plant growth, steviol glycosides and nutrient uptake as affected by arbuscular mycorrhizal fungi and phosphorous fertilization in Stevia rebaudiana Bert. Industrial Crops and Products. 111: 899-907. https://doi.org/10.1016/j.indcrop.2017.10.055
Tangpaisarnkul, N., Tuchinda, P., Wilairat, P., Siripinyanond, A., Shiowattana, J. y Nobsathian, S. 2018. Development of pure certified reference material of stevioside. Food chemistry. 255:7 5-80. https://doi.org/10.1016/j.foodchem.2018.02.029
Zimmerman, E., St-Arnaud, M. y Hijri, M. 2009. Sustainable agriculture and the multigenomic model: how advances in the genetics of arbuscular mycorrhizal fungi will change soil management practices. In Molecular plant-microbe interactions. F. BKBNaD (ed.), pp. 269-287. CAB International., Oxfordshire, UK.
Zubek, S., Mielcarek, S. y Turnau, K. 2012. Hypericin and pseudohypericin concentrations of a valuable medicinal plant Hypericum perforatum L. are enhanced by arbuscular mycorrhizal fungi. Mycorrhiza. 22: 149-156. https://doi.org/10.1007/s00572-011-0391-1
Author notes
*Autor para correspondencia: Mónica Guadalupe Lozano-Contreras Correo-e: lozano.monica@inifap.gob.mx