Artículos originales
Síntesis y caracterización películas poliméricas compuestas de PbI2 / PVA para su posible aplicación en dispositivos optoelectrónicos
Synthesis and characterization of PbI2/PVA composite polymer films for possible application in optoelectronic devices
Síntesis y caracterización películas poliméricas compuestas de PbI2 / PVA para su posible aplicación en dispositivos optoelectrónicos
Biotecnia, vol. 26, e2441, 2024
Universidad de Sonora, División de Ciencias Biológicas y de la Salud
Received: 13 September 2024
Accepted: 13 October 2024
Published: 27 November 2024
Funding
Funding source: Universidad de Sonora
Contract number: USO316008247
Contract number: USO316007563
Funding
Funding source: CONAHCyT Ciencia de Frontera
Contract number: CF-2023-I-920
Resumen: Se sintetizaron películas compuestas de alcohol polivinílico/yoduro de plomo (PVA/PbI2) con diferentes concentraciones de PbI2 utilizando un proceso de evaporación de solventes a baja temperatura y de bajo costo. Las propiedades estructurales de las partículas obtenidas fueron analizadas mediante difracción de rayos X (DRX) y microscopía electrónica de barrido (MEB). Los resultados de DRX mostraron una naturaleza predominantemente cristalina, exhibiendo los planos de reflexión característicos del politipo 2H del yoduro de plomo. Las micrografías MEB mostraron una morfología hexagonal con un tamaño promedio de partícula de 13.2 µm. Los parámetros ópticos de las películas compuestas se midieron mediante espectroscopía UV-Vis, encontrándose que la brecha de energía indirecta para el PVA puro es de 4.65 eV. En contraste, las películas de PVA/PbI2 con concentraciones de 0.5, 1.0, 1.5 y 2.0 % en peso de PbI2 mostró una transición directa de 5.16 eV y una transición indirecta de 4.45 eV. La resistencia eléctrica de la película de PVA se midió en 4.32 × 107 Ω. Los análisis químicos mediante espectroscopía infrarroja por transformada de Fourier (FTIR) indicaron que la adición de partículas de PbI2 no modifica las bandas características del PVA, lo que sugiere la ausencia de enlaces químicos entre las partículas y la matriz polimérica. Las propiedades ópticas y eléctricas obtenidas sugieren que las películas compuestas de PVA/PbI2 tienen potencial para aplicaciones en el campo de la optoelectrónica.
Palabras clave: Yoduro de Plomo, películas compuestas, Precipitación química, Alcohol polivinílico, optoelectrónico.
Abstract: Polyvinyl alcohol/lead iodide (PVA/PbI2) composite films were synthesized with varying PbI2 concentrations using a low-temperature, cost-effective solvent evaporation process. The structural properties of the synthesized particles were analyzed using X-ray diffraction (XRD) and scanning electron microscopy (SEM). XRD results revealed a predominantly crystalline nature, displaying reflection planes characteristic of the 2H polytype of lead iodide. SEM micrographs showed a hexagonal morphology with an average particle size of 13.2 µm. The optical properties of the composite films were measured using UV-Vis spectroscopy, indicating that the indirect energy band gap for pure PVA is 4.65 eV. In contrast, PVA/PbI2 films with 0.5, 1.0, 1.5, and 2.0 wt% PbI2 exhibited a direct transition of 5.16 eV and an indirect transition of 4.45 eV. The electrical resistance of the PVA film was measured at 4.318 × 107 Ω. Chemical analysis using Fourier-transform infrared (FTIR) spectroscopy showed that the addition of PbI2 particles did not alter the characteristic bands of PVA, suggesting no chemical bonding between the particles and the polymer matrix. The optical and electrical properties suggest that the PVA/PbI2 composite films are promising for various optoelectronic applications.
Keywords: Lead iodide, composite films, chemical precipitation, polyvinyl alcohol, optoelectronic.
Introducción
A nivel mundial, los centros médicos de primera línea cuentan con equipos diseñados para monitorear los signos vitales de los pacientes de manera constante. Durante la crisis sanitaria de finales de 2019, se hicieron evidentes las limitaciones significativas de los dispositivos de monitoreo existentes, que no solo carecían de portabilidad, sino que tampoco eran lo suficientemente versátiles para atender emergencias en diversos entornos (Lima et al., 2022). Esto subraya la necesidad urgente de desarrollar dispositivos médicos más ligeros, precisos y portátiles, que permitan un monitoreo más eficiente en diferentes entornos, mejorando así la atención de los pacientes en momentos de alta demanda (Martínez Márquez, 2021). Lo anterior requiere tecnologías más eficientes, como sensores flexibles y dispositivos portátiles basados en materiales avanzados, que son el objetivo de esta investigación.
Aunque los dispositivos de monitoreo convencionales cumplen su función, su diseño rígido, basado en materiales semiconductores o metálicos, presenta serias limitaciones, especialmente en aplicaciones que requieren flexibilidad y adaptabilidad mecánica (Li et al., 2021). En respuesta a estas limitaciones, ha surgido una revolución en el desarrollo de sensores flexibles y dispositivos portátiles, que ofrecen ventajas como mayor capacidad de estiramiento y resistencia mecánica. Los hidrogeles, por ejemplo, se destacan por sus excelentes propiedades de elasticidad e hidrofilicidad, lo que los hace útiles en aplicaciones médicas como la administración de fármacos, apósitos para heridas y almacenamiento de energía (Zheng et al., 2020).
Sin embargo, integrar estas características en sensores de alta sensibilidad sigue siendo un desafío. Es difícil combinar flexibilidad mecánica con precisión en la detección de pequeñas deformaciones. Para superar este obstáculo, se han propuesto diversas estrategias que mejoran tanto el rendimiento mecánico como el eléctrico de los polímeros utilizados en sensores flexibles. Una de estas estrategias es la incorporación de nanomateriales en redes poliméricas, lo que no solo mejora la elasticidad, sino que también optimiza la sensibilidad de los sensores (Yuan et al., 2021).
En la última década, los materiales bidimensionales (2D), como el grafeno y el fósforo negro, han atraído gran atención en el campo de la electrónica debido a sus excepcionales propiedades de flexibilidad, resistencia mecánica y conductividad eléctrica (Li et al., 2021). Desde su descubrimiento en 2004, el grafeno ha servido como punto de referencia para el desarrollo de otros materiales 2D, lo que ha impulsado un campo emergente de investigación con un amplio potencial en diversas aplicaciones tecnológicas (Yuan et al., 2021). Otros materiales 2D como el nitruro de boro hexagonal y los calcogenuros de metales de transición también han sido objeto de estudio debido a su potencial en nanoelectrónica, optoelectrónica y dispositivos flexibles (Yuan et al., 2020; Li et al., 2021). Siguiendo esta tendencia, diversos materiales 2D han emergido como prometedores para la próxima generación de dispositivos optoelectrónicos flexibles, debido a su potencial para superar las limitaciones de los semiconductores tradicionales.
Los materiales 2D, formados por una o pocas capas atómicas, tienen una estructura que otorga propiedades excepcionales (Yang et al., 2019), como alta resistencia mecánica, transparencia óptica y conductividad eléctrica, lo que los hace ideales para su uso en dispositivos avanzados como celdas solares, supercondensadores y sensores flexibles (Dong et al., 2019). Además, la posibilidad de manipular sus propiedades a través de métodos de procesado basados en soluciones, como la impresión por inyección de tinta y el recubrimiento por rotación, facilita su integración en la fabricación de dispositivos electrónicos (Nevalaita y Koskinen, 2018).
El desarrollo de materiales bidimensionales no solo ha impactado campos como la electrónica y la optoelectrónica, sino que ha abierto nuevas oportunidades en la creación de sensores flexibles y dispositivos portátiles. La combinación de flexibilidad, resistencia y propiedades electrónicas excepcionales de estos materiales permite superar las limitaciones de los semiconductores tradicionales, ofreciendo soluciones innovadoras para el monitoreo y cuidado de pacientes en entornos críticos (Wangyang et al., 2016). Entre estos materiales, el PbI2 ha emergido como un semiconductor de banda ancha anisotrópico con aplicaciones tecnológicas avanzadas, como detectores de radiación y dispositivos fotovoltaicos (Baibarac et al., 2015; Wangyang et al., 2016; Song et al., 2018).
Por otro lado, uno de los materiales poliméricos ampliamente difundidos en tecnologías verdes es el PVA (Aslam et al., 2018), conocido por su alta solubilidad en agua, bajo costo, respetuoso con el ambiente, y propiedades ópticas favorables, como la transparencia y la rigidez dieléctrica. El PVA es flexible, resistente y posee propiedades de barrera de oxígeno. Su capacidad para cristalizar se debe a los enlaces de hidrógeno entre sus cadenas, lo que permite mejorar sus propiedades mecánicas y ópticas. Cuando se introducen nanopartículas en la matriz polimérica, estas actúan como agentes nucleantes, mejorando la cristalización del PVA (Aslam et al., 2018). Cuenta con un alto índice de refracción, siendo muy útil en aplicaciones ópticas y fotónicas al reducir las pérdidas por reflexión en las interfaces, aumentando así la salida de luz. Estas propiedades hacen del PVA un importante candidato para dispositivos optoelectrónicos (Abdelaziz, 2011a; Ali, 2019a; El-Zahhar et al., 2022a).
Dado el creciente interés en materiales como el PbI2 y el PVA para aplicaciones optoelectrónicas avanzadas, esta investigación tiene como objetivo la síntesis de películas compuestas de PVA dopadas con nanopartículas de PbI2 en concentraciones de 0.5, 1.0, 1.5 y 2.0 % en peso, utilizando un método de evaporación de solventes a baja temperatura. El enfoque se centra en evaluar cómo el dopaje de PbI2 afecta las propiedades optoelectrónicas de las películas, explorando su potencial en dispositivos electrónicos flexibles y de alta eficiencia.
Materiales y métodos
Para el desarrollo de este trabajo se requirieron de los siguientes reactivos: Nitrato de plomo (Pb (NO3)2, fermont, pureza 99.8 %), yoduro de potasio (KI, Fermont, pureza 99.0 %), polivinilalcohol en polvo (PVA, Aldrich Chemical Company Inc., hidrolizado 100 %, peso molecular promedio de 86.000g/mol), glicerina de grado analítico (pureza 99.86 %). Todos los reactivos fueron utilizados tal como se compraron, esto es, sin más purificación.
Obtención de las películas
Se llevó a cabo la síntesis de nanopartículas de yoduro de plomo (PbI₂) mediante precipitación química. Para esto se preparó una solución acuosa con nitrato de plomo (Pb (NO₃)₂) y yoduro de potasio (KI) a partes iguales en un vaso de precipitados con 40 ml de agua desionizada. La mezcla se agitó constantemente a temperatura ambiente, permitiendo que la reacción ocurriera durante dos horas. Las nanopartículas formadas se separaron por centrifugación a 6000 rpm (3220 × g) durante 10 minutos, se utilizó una centrifuga HERMLE Benchmark Z 206 A, posteriormente, las nanopartículas pasaron por un proceso de secado en un horno TERLAB a 70 ºC, como se puede apreciar en la figura 1.

La matriz de polivinilalcohol (PVA) se sintetizó disolviendo 1.5 g de PVA en 50 mL de agua desionizada a 60 ºC, con agitación constante hasta la disolución completa. Posteriormente, se dejó enfriar la solución de PVA a temperatura ambiente para verterla en los moldes y pasar al proceso de secado a 70 ºC, en un horno de secado TERLAB, por 24 horas. Se prepararon películas de compuestos de PVA con diferentes concentraciones de PbI₂ (0.5 %, 1.0 %, 1.5 %, 2.0 %), como se puede apreciar en la figura 2. Este proceso es capaz de producir nanopartículas de alta pureza con una estructura cristalina hexagonal, típicamente con diámetros de entre 50 y 200 nm.

Las nanopartículas y las películas compuestas se caracterizaron por difracción de rayos X (DRX) utilizando un difractómetro BRUKER D8 Advance Eco, con radiación Cu-Kα de 1.5406 Å, se utilizó un espectrofotómetro FT-IR Perkin Elmer modelo Frontier con el aditamento de ATR, para medir espectroscopía infrarroja por transformada de Fourier (FTIR), los espectros fueron obtenidos en la ventana espectral de 4000 a 400 cm-1, la morfología se obtuvo mediante microscopía electrónica de barrido (MEB) utilizando un equipo JEOL, Modelo JSM-5410 y el ancho de banda se determinó mediante espectroscopía UV-Vis empleando un espectrofotómetro Perkin Elmer Lambda 25, los espectros fueron obtenidos en un intervalo espectral en el rango de longitud de onda de 200 a 900 nm. Finalmente, las propiedades eléctricas se obtuvieron mediante las curvas de corriente contra voltaje (I-V) utilizando el equipo Keithley 2400.
Resultados y discusión
Caracterización estructural
La caracterización estructural de las partículas de PbI₂, mostrada en la figura 3, revela que las partículas presentan un alto grado de cristalinidad, como se confirma por el difractograma obtenido (Ismail et al., 2016). Los patrones de difracción de rayos X se compararon con la carta cristalográfica del politipo hexagonal 2H del PbI₂, lo cual permitió identificar su estructura cristalina. Los picos característicos de este politipo fueron observados en los ángulos de difracción 2θ correspondientes a los planos principales (001), (101) y (102), coincidiendo con los datos de la base de datos JCPDS # 01-073-1751 (El-Mongy et al., 2020).

El tamaño promedio de los cristalitos se calculó utilizando la ecuación de Scherrer, obteniéndose un valor de 52.8 nm. Este valor sugiere una buena cristalinidad de las nanopartículas, ya que un tamaño de cristalito más pequeño indica bordes menos definidos que pueden afectar la movilidad de las cargas. Al tener un dominio cristalino bien estructurado, se optimiza la movilidad de las cargas en aplicaciones optoelectrónicas (Lim et al., 2020). Comparado el tamaño de cristalito de las nanoparticulas de PbI2 con otros semiconductores, esta cristalinidad es clave para obtener un alto rendimiento del material y poder ser aplicado en dispositivos avanzados (Manh et al., 2023).
Microscopía electrónica de barrido (MEB)
El análisis morfológico de las nanopartículas de PbI₂ sintetizadas se realizó utilizando MEB. Las imágenes obtenidas se pueden observar en la figura 4, mostrando que las partículas presentan una morfología altamente definida, con una geometría predominantemente hexagonal, característica de la estructura cristalina del PbI₂. La distribución de tamaños de partículas reveló un rango comprendido entre 1 y 2 μm de diámetro, lo que corresponde a la formación de cristales laminares bien desarrollados, coherentes con la naturaleza anisotrópica del material.

Aumentos mayores permitieron observar con mayor detalle la disposición en capas de las partículas, típica de los materiales bidimensionales como el PbI₂. Estas capas están unidas por interacciones de Van der Waals, lo que facilita la exfoliación y contribuye a la formación de partículas con superficies relativamente planas (Wangyang et al., 2016). La uniformidad en el tamaño y la forma de las partículas sintetizadas sugiere que el proceso de precipitación química empleado es eficaz para controlar la morfología de las nanopartículas, lo cual es esencial para aplicaciones en dispositivos optoelectrónicos, donde la regularidad y homogeneidad del material influyen directamente en el rendimiento.
Además, las micrografías revelaron la ausencia de agregados significativos, lo que indica una buena dispersión de las partículas en la matriz polimérica. Este comportamiento es crucial para garantizar la integridad estructural y las propiedades ópticas y eléctricas de las películas compuestas de PVA/PbI₂ (El-Zahhar et al., 2022b). Las partículas individuales mantienen su forma hexagonal a pesar de la incorporación en la matriz, lo que demuestra que el proceso de síntesis y posterior integración en la matriz no afecta de manera adversa su morfología (Almohammedi et al., 2020).
El análisis morfológico detallado también muestra la influencia del tamaño de las partículas en las propiedades ópticas del material. A medida que aumenta la concentración de partículas en la matriz se observa una mayor dispersión de la luz, lo que contribuye a la reducción de la transmitancia en los ensayos UV-Vis. Este comportamiento está directamente relacionado con la morfología laminar y el tamaño de las partículas, que actúan como centros dispersores eficientes.
Las imágenes MEB confirman que las nanopartículas de PbI₂, sintetizadas mediante precipitación química, presentan una morfología bien definida, con características que potencian sus propiedades funcionales en aplicaciones tecnológicas avanzadas. La alta uniformidad en la forma y tamaño de las partículas es un indicativo de la robustez del método de síntesis utilizado, garantizando materiales de calidad para su uso en dispositivos de detección y optoelectrónica.
Espectroscopía infrarroja por transformada de Fourier (FTIR)
La espectroscopía FTIR fue empleada para estudiar las interacciones químicas entre las nanopartículas de yoduro de plomo (PbI₂) y la matriz polimérica de polivinilalcohol (PVA). Los espectros obtenidos presentes en la figura 5 revelaron las bandas características del PVA, con intensidades asociadas al estiramiento del grupo hidroxilo (O-H) alrededor de los 3290 cm⁻¹ y al estiramiento de los enlaces C-H a aproximadamente 2940 cm⁻¹, típicos de la estructura molecular del polímero (Ali, 2019b). Además, se observaron las bandas correspondientes a las vibraciones de estiramiento de los grupos C=O y C-O, reflejando la estructura química básica del PVA (Moustafa et al., 2021).

La incorporación de las nanopartículas de PbI₂ a la matriz de PVA no produjo cambios significativos en la posición de las principales bandas de absorción del PVA, lo que sugiere que no se forman enlaces químicos directos entre las partículas y el polímero. Sin embargo, se observó una ligera disminución en la intensidad de las bandas correspondientes al grupo O-H, lo que podría indicar interacciones entre los grupos funcionales del PVA y la superficie del PbI₂ (Malevu et al., 2016).
Este comportamiento es coherente con la naturaleza física de la interacción entre el PVA y las partículas de PbI₂, donde las partículas actúan como rellenos en la matriz sin alterar significativamente su estructura química (Abdelaziz, 2011b). La estabilidad de las bandas de absorción del PVA frente a la adición de PbI₂ confirma que el proceso de síntesis y la posterior formación del compuesto no generan nuevas fases químicas, resaltando las características del polímero.
El análisis FTIR también permitió evaluar la uniformidad de la dispersión de las nanopartículas dentro de la matriz polimérica. La ausencia de bandas adicionales o de desplazamientos importantes en las frecuencias de los grupos funcionales indica una buena compatibilidad entre el PVA y el PbI₂, lo que sugiere que las partículas están adecuadamente distribuidas y no interfieren en las propiedades intrínsecas del polímero (Malevu et al., 2016). Además, esta compatibilidad química es fundamental para mantener las propiedades mecánicas y ópticas del compuesto, ya que una dispersión uniforme garantiza que las partículas de PbI₂ no formen aglomerados que puedan afectar negativamente el rendimiento del material.
Los resultados de FTIR demuestran que la incorporación de nanopartículas de PbI₂ en la matriz de PVA no altera significativamente la estructura química del polímero. Las interacciones entre el PbI₂ y el PVA son de carácter físico, lo que favorece la integridad de las propiedades del compuesto. Este comportamiento sugiere que el compuesto resultante es adecuado para aplicaciones en las que se requiere la combinación de las propiedades del PVA y del PbI₂, como en dispositivos optoelectrónicos o de detección, donde es crucial mantener tanto la funcionalidad óptica como la estabilidad mecánica del material (Liu et al., 2022).
Espectroscopía UV-Vis
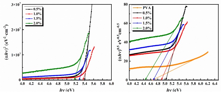
Como se puede observar en la figura 6 de transmitancia contra longitud de onda, la película de PVA presenta un 75 % de transmitancia en el rango de 900 a 550 nm. Por otro lado, las películas del compuesto con diferentes porcentajes de PbI2, muestran una disminución en el porcentaje de transmitancia a medida que se aumenta la cantidad de partículas de PbI2, esta disminución de la transmitancia se debe a un efecto de adsorción y dispersión de los fotones al incidir sobre las partículas de PbI2 (Khairy et al., 2020). Además, se puede observar que el porcentaje de transmitancia se aproxima a cero a longitudes de onda de 240 nm.

Posteriormente, con los datos de UV-Vis se determinó la brecha de energía óptica de las películas de PVA puro y PVA con distintas concentraciones de nanopartículas de PbI2 fabricadas. Para la obtención de dichas brechas de energía es necesario hacer uso del método gráfico de Tauc para transiciones directas e indirectas (Skoog et al., 2008; El-Zahhar et al., 2022b). La brecha de energía óptica indirecta para la matriz polimérica de PVA fue de 4.654 eV, también se puede observar que la brecha de energía para el compuesto PVA/PbI2 es afectada por la presencia de las partículas de yoduro de plomo, mostrando una disminución en la brecha de energía óptica directa e indirecta con el aumento de la cantidad de partículas de yoduro de plomo en la matriz polimérica de PVA, como se puede observar en la figura 7. Esta disminución de la brecha de energía se debe a la inducción de nuevos niveles en la banda prohibida, lo que conduce a simplificar el tránsito de electrones desde la banda de valencia hacia la banda de conducción (Khairy et al., 2020). En otras palabras, la disminución de la brecha de energía representa el grado de desorden de la matriz polimérica de PVA (Khairy et al., 2020), debido a la adición de las partículas de yoduro de plomo, estas inducen un orden en la matriz de PVA provocando zonas cristalinas en el polímero, ayudando al cambio de la brecha de energía.

Propiedades eléctricas
El comportamiento eléctrico de las películas, tanto de PVA como del compuesto de PVA/PbI2 con sus diferentes adiciones de partículas de yoduro de plomo se puede observar en la figura 8. La medición se realizó por medio del método de dos puntas. Donde se puede observar que la película de PVA no presenta alguna respuesta eléctrica obteniendo una resistencia de 4.318 × 107 Ω, sin embargo, al adicionar las partículas de PbI2 se propicia una diminución en la resistencia en el orden de ~106 Ω. Lo cual se refleja en incrementos en la corriente en respuesta a las diferentes adiciones de partículas de PbI2 (Sabry, Mohammed and Yahia, 2019). Además, los resultados muestran que se tiene una buena conexión óhmica debido al comportamiento lineal de las mediciones (El-Zahhar et al., 2022b). Con lo anterior, se puede inferir que debido a la modulación de corriente debida a la incorporación de las partículas en el PVA el material compuesto es prometedor para aplicaciones en electrónica flexible.

Conclusiones
En conclusión, se logró con éxito la síntesis de PbI2 mediante el método de precipitación química, confirmada por la caracterización mediante XRD, que mostró la presencia de una estructura cristalina hexagonal correspondiente al politipo 2H. Las imágenes SEM revelan la formación de partículas con morfología hexagonal y tamaño uniforme. Se obtuvieron películas compuestas de PVA/PbI2 con diferentes concentraciones de yoduro de plomo, utilizando un método de evaporación de solventes a baja temperatura. El análisis UV-Vis demostró que el espectro de transmisión de las películas se ve afectado por el incremento en la concentración de PbI2, mostrando que el comportamiento de la transmitancia no es lineal, lo que sugiere que el coeficiente de absorción y la brecha de energía dependen del acomodo y la interacción entre las partículas de PbI2 dentro de la matriz de PVA.
Mediante FTIR, se verificó que la adición de las partículas no altera significativamente las bandas características del PVA, lo que indica la ausencia de enlaces químicos fuertes entre las partículas de PbI2 y la matriz polimérica. Las interacciones entre ambos componentes parecen estar mediadas por enlaces débiles, específicamente por la modificación de los enlaces O-H del PVA.
En conjunto, este estudio establece una base sólida para futuras investigaciones en el desarrollo de materiales híbridos basados en PVA y PbI2, con aplicaciones potenciales en sensores, dispositivos fotovoltaicos y sistemas optoelectrónicos. Los resultados presentados no solo confirman la viabilidad de este compuesto para su aplicación en diversas industrias, sino que también destacan la importancia de explorar nuevas estrategias de síntesis que promuevan la sostenibilidad y la eficiencia en la producción de materiales de alto rendimiento.
Reconocimientos
Este trabajo fue financiado en parte por los proyectos Universidad de Sonora USO316008247 y USO316007563 y la Beca de Estancia de Investigación 2024-25, así como por el CONAHCyT Ciencia de Frontera CF-2023-I-920 y Estancias Sabáticas I1200/311/2023.
Referencias
Abdelaziz, M. (2011) Cerium (III) doping effects on optical and thermal properties of PVA films. Physica B: Condensed Matter, 406(6-7), 1300-1307. Available online: https://doi.org/10.1016/j.physb.2011.01.021.
Ali, H. (2019) The influence of yttrium-ions on the optical and electrical behavior of pva polymeric films. Materials Research Express, 6(4). Available online: https://doi.org/10.1088/2053-1591/aafbee.
Almohammedi, A., Khan, M.T., Benghanem, M., Aboud, S.W., Shkir, M. & AlFaify, S. (2020) Elucidating the impact of PbI2 on photophysical and electrical properties of poly(3-hexythiophene). Materials Science in Semiconductor Processing, 120. Available online: https://doi.org/10.1016/j.mssp.2020.105272.
Aslam, M., Kalyar, M.A. & Raza, Z.A. (2018) Polyvinyl alcohol: A review of research status and use of polyvinyl alcohol based nanocomposites. Polymer Engineering and Science, 58(12), 2119-2132. Available online: https://doi.org/10.1002/pen.24855.
Baibarac, M., Smaranda, I., Scocioreanu, M., Mitran, R.A., Enculescu, M., Galatanu, M. & Baltog, I. (2015) Exciton-phonon interaction in PbI2 revealed by Raman and photoluminescence studies using excitation light overlapping the fundamental absorption edge. Materials Research Bulletin, 70, 762-772. Available online: https://doi.org/10.1016/j.materresbull.2015.06.012.
Dong, Z., Xu, H., Liang, F., Luo, C., Wang, C., Cao, Z.Y., Chen, X.J., Zhang, J. & Wu, X. (2019) Raman characterization on two-dimensional materials-based thermoelectricity. Molecules, 24(1). Available online: https://doi.org/10.3390/molecules24010088.
El-Mongy, S.A., Mohammed, M.I. & Yahia, I.S. (2020) Preparation and spectroscopic studies of PbI2-doped poly(methyl methacrylate) nanocomposites films: Dielectric and optical limiting approach. Optical Materials, 100(December 2019), 109626. Available online: https://doi.org/10.1016/j.optmat.2019.109626.
El-Zahhar, A.A., Ashraf, I.M., Idris, A.M. & Zkria, A. (2022) Pronounced effect of PbI2 nanoparticles doping on optoelectronic properties of PVA films for photo-electronic applications. Physica B: Condensed Matter, 630(November 2021), 413604. Available online: https://doi.org/10.1016/j.physb.2021.413604.
Ismail, R.A., Mousa, A.M., Khashan, K.S., Mohsin, M.H. & Hamid, M.K. (2016) Synthesis of PbI2 nanoparticles by laser ablation in methanol. Journal of Materials Science: Materials in Electronics, 27(10), 10696-10700. Available online: https://doi.org/10.1007/s10854-016-5169-y.
Khairy, Y., Yahia, I.S. & Elhosiny Ali, H. (2020) Facile synthesis, structure analysis and optical performance of manganese oxide-doped PVA nanocomposite for optoelectronic and optical cut-off laser devices. Journal of Materials Science: Materials in Electronics, 31(10), 8072-8085. Available online: https://doi.org/10.1007/s10854-020-03348-0.
Li, M., Wang, S., Wang, Q., Ren, F. & Wang, Y. (2021) Preparation, microstructure and tensile properties of two dimensional MXene reinforced copper matrix composites. Materials Science and Engineering A, 803(December 2020), 140699. Available online: https://doi.org/10.1016/j.msea.2020.140699.
Lim, D.J., Marks, N.A. & Rowles, M.R. (2020) Universal Scherrer equation for graphene fragments. Carbon, 162, 475-480. Available online: https://doi.org/10.1016/j.carbon.2020.02.064.
Lima, A.F.S., Silva, E.B. de F., Guimarães, M. das N., Comassetto, I. & Santos, R.M. dos (2022) Dilemas éticos durante la pandemia del covid-19. Revista Bioética, 30(1), 19-26. Available online: https://doi.org/10.1590/1983-80422022301502es.
Liu, B., Zhang, J. & Guo, H. (2022) Research Progress of Polyvinyl Alcohol Water-Resistant Film Materials. Membranes. MDPI. Available online: https://doi.org/10.3390/membranes12030347.
Malevu, T.D., Ocaya, R.O. & Tshabalala, K.G. (2016) Phase transformations of high-purity PbI2 nanoparticles synthesized from lead-acid accumulator anodes. Physica B: Condensed Matter, 496, 69-73. Available online: https://doi.org/10.1016/j.physb.2016.05.027.
Manh, D.H., Ngoc Nha, T.T., Hong Phong, L.T., Nam, P.H., Thanh, T.D. & Phong, P.T. (2023) Determination of the crystalline size of hexagonal La1−xSrxMnO3 (x = 0.3) nanoparticles from X-ray diffraction - a comparative study. RSC Advances, 13(36), 25007-25017. Available online: https://doi.org/10.1039/d3ra04018f.
Mansur, H.S., Sadahira, C.M., Souza, A.N. & Mansur, A.A.P. (2008) FTIR spectroscopy characterization of poly (vinyl alcohol) hydrogel with different hydrolysis degree and chemically crosslinked with glutaraldehyde. Materials Science and Engineering C, 28(4), 539-548. Available online: https://doi.org/10.1016/j.msec.2007.10.088.
Martínez Márquez, M.A. (2021) Realidades y retos en el uso de las TIC en educación, por la emergencia sanitaria provocada por el COVID-19. Revista de Investigación En Tecnologías de La Información, 9(19), 73-88. Available online: https://doi.org/10.36825/riti.09.19.006.
Nevalaita, J. & Koskinen, P. (2018) Atlas for the properties of elemental two-dimensional metals. Physical Review B, 97(3), 1-11. Available online: https://doi.org/10.1103/PhysRevB.97.035411.
Sabry, N., Mohammed, M.I. & Yahia, I.S. (2019) Optical analysis, optical limiting and electrical properties of novel PbI2/PVA polymeric nanocomposite films for electronic optoelectronic applications. Materials Research Express, 6(11). Available online: https://doi.org/10.1088/2053-1591/ab4c24.
Skoog, D.A., Holler, J.F. & Crouch, S.R. (2008) Principios de análsis instrumental CENGAGE Learning.
Song, H.B., Karakurt, I., Wei, M., Liu, N., Chu, Y., Zhong, J. & Lin, L. (2018) Lead iodide nanosheets for piezoelectric energy conversion and strain sensing. Nano Energy, 49(April), 7-13. Available online: https://doi.org/10.1016/j.nanoen.2018.04.029.
Wangyang, P., Sun, H., Zhu, X., Yang, D. & Gao, X. (2016) Mechanical exfoliation and Raman spectra of ultrathin PbI2 single crystal. Materials Letters, 168, 68-71. Available online: https://doi.org/10.1016/j.matlet.2016.01.034.
Yang, Y., Cao, Z., He, P., Shi, L., Ding, G., Wang, R. & Sun, J. (2019) Ti3C2Tx MXene-graphene composite films for wearable strain sensors featured with high sensitivity and large range of linear response. Nano Energy, 66(July), 104134. Available online: https://doi.org/10.1016/j.nanoen.2019.104134.
Yuan, W., Qu, X., Lu, Y., Zhao, W., Ren, Y., Wang, Q., Wang, W. & Dong, X. (2021) MXene-composited highly stretchable, sensitive and durable hydrogel for flexible strain sensors. Chinese Chemical Letters [Preprint]. Available online: https://doi.org/10.1016/j.cclet.2020.12.003.
Yuan, W., Yang, J., Yin, F., Li, Y. & Yuan, Y. (2020) Flexible and stretchable MXene/Polyurethane fabrics with delicate wrinkle structure design for effective electromagnetic interference shielding at a dynamic stretching process. Composites Communications, 19(February), 90-98. Available online: https://doi.org/10.1016/j.coco.2020.03.003.
Zheng, Y., Yin, R., Zhao, Y., Liu, H., Zhang, D., Shi, X., Zhang, B., Liu, C. & Shen, C. (2020) Conductive MXene/cotton fabric based pressure sensor with both high sensitivity and wide sensing range for human motion detection and E-skin. Chemical Engineering Journal, (August), 127720. Available online: https://doi.org/10.1016/j.cej.2020.127720.
Conflicto de interés
Author notes
*Autor para correspondencia: Mérida Sotelo-Lerma Correo-e: merida.sotelo@unison.mx