Artículo de investigación
Modelo de toma de decisión para materiales de mantenimiento, reparación y operaciones (MRO)*
Decision-making model for maintenance, repair and operations materials (MRO)
Modelo de tomada de decisão para materiais de manutenção, reparo e operações (MRO)
Modelo de toma de decisión para materiales de mantenimiento, reparación y operaciones (MRO)*
Ciencia y Poder Aéreo, vol. 17, núm. 1, pp. 67-80, 2022
Fuerza Aérea Colombiana
Recepción: 04 Julio 2021
Aprobación: 21 Noviembre 2021
Resumen: Para optimizar la gestión de inventario en empresas que tienen gran variedad de referencias, es necesario involucrar los programas de mantenimiento a la estrategia general de la organización. Esto incluye considerar las particularidades de todos los tipos de artículos, en especial los materiales de mantenimiento, reparación y operaciones (MRO). Estos materiales serán el foco de análisis en este estudio, porque ocupan gran parte de las bodegas de inventario en las empresas y, por lo tanto, representan gran porcentaje de los costos empresariales. El presente estudio aborda el caso de una empresa que contiene gran número de artículos y que son de alto costo. Con el objetivo de encontrar el modelo más adecuado para gestionarlos, se puede, mediante la definición de un algoritmo, ponderar todos los parámetros considerados importantes para la toma de decisión. Se concluye que, en situaciones como esta, mejorar algunos factores, como por ejemplo el cálculo del tiempo de reaprovisionamiento (lead time en inglés) del proceso, influye mucho más en los ahorros de la empresa que la definición de un modelo de inventario muy complejo.
Palabras clave: gestión de inventario, materiales MRO, toma de decisión estratégica.
Abstract: To optimize inventory management in companies that have a large variety of references, it is necessary to involve maintenance programs in the general strategy of the organization. This includes considering the peculiarities of all types of articles, especially maintenance, repair, and operations materials materials (MRO). These materials will be the focus of analysis in this study because they occupy a large part of the inventory warehouses in companies and, therefore, represent a large percentage of business costs. This study addresses the case of an organization that contains a large number of items of this nature and elevates associated costs. The main objective is to find the most suitable model to manage them, by defining an algorithm that weighs all the parameters considered important for decision-making, which allow concluding that improving some factors, such as the Lead Time, is more relevant to the savings of the company than the definition of a complex inventory model.
Keywords: Inventory management, mro materials, strategic decision making.
Resumo: Para otimizar a gestão de estoques em empresas que possuem uma grande variedade de referências, é necessário envolver os programas de manutenção na estratégia geral da organização. Isto inclui considerar as particularidades de todos os tipos de itens, especialmente os materiais de manutenção, reparo e operações (MRO). Esses materiais serão o foco de análise neste estudo, pois ocupam grande parte dos estoques dos armazéns das empresas e, portanto, representam um grande percentual dos custos do negócios. Este estudo aborda o caso de uma empresa que contém um grande número de itens e que são de alto custo. Para encontrar o modelo mais adequado para gerenciá-los, é possível, através da definição de um algoritmo, ponderar todos os parâmetros considerados importantes para a tomada de decisão. Conclui-se que, em situações como essa, melhorar alguns fatores, como o cálculo do tempo de reposição (Lead Time em inglês) do processo, influência muito mais a economia da empresa do que a definição de um modelo de estoque muito complexo.
Palavras-chave: Gestão de estoque, materiais mro, tomada de decisão estratégica.
Introducción
El inventario de una empresa contiene el registro de los bienes que esta tiene en su patrimonio, ya sean para venta o para el consumo en la producción de bienes o servicios. Su función principal es mantener el equilibrio entre el proceso de abastecimiento y las requisiciones de demanda. Suele ser clasificado en tres tipos: inventario de materia prima, de productos en proceso y de productos terminados. Sin embargo, hay una clasificación adicional, también muy importante, pero aún poco considerada, que es el inventario de materiales de mantenimiento, reparación y operaciones (MRO).
Los inventarios pueden clasificarse, según sus características de demanda, en dependientes o independientes. Los dependientes tienen sus demandas condicionadas a la venta de otros artículos, por ejemplo, los inventarios de materia prima y de productos en proceso, que dependen directamente de la demanda por productos terminados. Los independientes son ítems que no necesitan de la demanda de otros productos, por ejemplo, los productos terminados, pues ya fueron fabricados para atender pedidos de compra y no dependen de la demanda por otros productos.
Los materiales MRO son clasificados como independientes, pues no dependen de la demanda de ningún otro artículo para que surja la necesidad de su utilización. Utilizar materiales con estas características para hacer previsiones sobre la necesidad de uso de los materiales de demanda dependiente puede traer ahorros significativos para las empresas, tanto en tiempo como en recursos.
Existen algunas técnicas que permiten hacer previsiones de la demanda futura y que sirven de apoyo para una mejor planeación de los inventarios necesarios para atenderla. Estas pueden ser cuantitativas o cualitativas. El enfoque cuantitativo incluye criterios como: histórico de ventas pasadas, variaciones económicas en el país o región, crecimiento del sector del negocio y crecimiento de la población. Y el enfoque cualitativo trabaja con criterios como la investigación de mercado, y la opinión de expertos, clientes y vendedores.
Un método cuantitativo muy utilizado, en el contexto de series de tiempo estacionarias, para el pronóstico de la demanda es el de la suavización exponencial, que hace un promedio de las demandas o consumos pasados asignando pesos según la fecha de utilización. Esta es una técnica muy utilizada hoy por las empresas, a fin de tener una idea de qué cantidades de consumo serían esperadas para los próximos periodos. Sin embargo, esta es apenas una de las maneras de prevenirse para el futuro y no es lo suficientemente precisa, ya que el futuro no necesariamente imita comportamientos pasados.
Con la información de los pronósticos de demandas de productos o materiales, y a fin de producir una base consistente para la toma de decisiones referentes a la gestión de inventarios, es recurrente el uso de diferentes técnicas que incluyen la definición de niveles de inventarios máximos y mínimos, niveles de servicio para la disponibilidad de los productos, tiempos de entrega de los proveedores, etc. Sin embargo, la aplicación directa de cualquiera de estas técnicas puede no atender de manera adecuada a las necesidades de algunos artículos críticos y en especial de los materiales MRO.
Las características particulares que tienen los materiales MRO generan una gran dificultad en su administración. No existe una estrategia universal única que funcione para todas las piezas MRO, debido a la amplia variedad de atributos de las piezas (Chen et al., 2019). Es usual realizar la simple aplicación de políticas diseñadas para inventarios de materia prima, productos en proceso y productos acabados, basadas en patrones de demanda (Bacchetti y Saccani, 2012; Boylan y Syntetos, 2008; Conceição et al., 2015) que pueden no ser adecuados para este tipo de materiales.
En este artículo, se propone un modelo de administración de inventario enfocado a artículos MRO, que considera las características individuales de cada uno de ellos según limitaciones propias de la empresa. Se identifican los puntos más relevantes y cruciales en la gestión de estos artículos, a fin de presentar un modelo de toma de decisión que sea personalizado y específico para este nicho de productos.
Problema
En el contexto de una empresa que mantiene una gran cantidad de productos en inventario, divididos en familias con las más diversas características de dimensión, cantidad y valor monetario, es necesario seleccionar una política adecuada para cada uno de sus materiales, siempre dentro de un conjunto de políticas que pueden variar en el momento de revisión y la estrategia de pedido. La selección debe considerar diferentes criterios, por eso el presente artículo busca responder cuál será la mejor política a usar con base en la identificación de las características de cada producto.
Metodología
En este artículo, se propone una metodología que comprende los pasos lógicos que permiten tomar una decisión sobre una política de inventario apropiada para los materiales MRO. En primera instancia, se hace una revisión de literatura para identificar factores que sean importantes e influyan en la selección. Después, se procede con una clasificación de los materiales teniendo en cuenta los criterios claves; este paso es fundamental pues determinará el trato y la importancia que se le debe dar a cada material e incidirá en la política a ser usada. Previo a definir la metodología, se mencionan elementos claves a ser considerados en la determinación de la política; dichos elementos han sido mencionados en diferentes trabajos y son especificados en detalle en el artículo. Finalmente, se propone un paso a paso o algoritmo para elegir cuál política de inventarios aplicar; se establece cómo el nivel de servicio, los tiempos de reabastecimiento, la naturaleza del material, los patrones de demanda y el valor del producto son considerados, aclarando posibles impactos en las restricciones del proveedor y los costos relacionados al pedido.
La metodología para la ejecución de la política de inventario busca optimizar el uso de los recursos en el proceso productivo, por medio de un modelo que facilite la toma de decisión de manera adecuada y así disminuya las pérdidas generadas por las decisiones equivocadas en el tema de manejo de inventarios. El modelo sugiere la aplicación de la estrategia o política adecuada, dependiendo de la característica del material en análisis.
Revisión de la literatura
La planeación estratégica es la clave para el éxito de la implementación de cualquier política de administración logística pretendida por una empresa. Esto es independiente de que el enfoque de esa política sea operacional, de compras, de distribución o de gestión de inventarios (Kotsifaki et al., 2007). Todas las perspectivas involucradas en la política pretendida deben ser cuidadosamente planeadas y dirigidas al cumplimento de las metas empresariales (Saunders, 1997).
El enfoque de la gestión de inventarios, en especial, afecta directamente dos pilares de la estrategia empresarial: la percepción de disponibilidad de los productos por parte del cliente final y la eficiencia del giro interno de suministros en el proceso productivo. El segundo es el mayor indicador de eficacia de la administración estratégica, ya que los inventarios suelen ser responsables de gran parte de los costos de desperdicio empresarial (Hamad y Gualda, 2011).
En el grupo de inventarios de materiales MRO, la situación no es diferente. Para garantizar altos niveles de disponibilidad, es necesario mantener siempre en bodega las cantidades suficientes de estos materiales, que puedan ser necesarias en la operación. Tales cantidades serán utilizadas tanto para las operaciones de mantenimiento previstas, como para las correctivas que puedan surgir durante el proceso.
Para gestionar bien un inventario, su plan de gestión debe seguir el ciclo de los cuatro pilares, a saber: planeación, acción dirigida a la orientación recibida por el plan, control y evaluación, y una acción de mejoramiento continuo. Por lo tanto, se torna imprescindible para las empresas establecer una estrategia que involucre directamente el manejo de inventarios y los planes de mantenimiento, a fin de que los dos estén ajustados para atingir las metas establecidas por la organización (Garrido y Cejas, 2017).
Así, en general, toda empresa debe propender a minimizar los costos asociados a inventarios, respetando los niveles mínimos necesarios para el mantenimiento de la demanda. Además, siempre se debe tener en consideración los inventarios de materia prima, los intermediarios o en proceso y los de productos terminados. Eso garantizará el crecimiento de las ganancias de la empresa y de sus activos totales (Suárez-Cervera, 2012).
Sin embargo, como afirman Ling et al. (2017), un modelo de gestión para materiales MRO debe considerar sus características particulares. Por ejemplo, dado que los materiales MRO suelen ser requeridos por equipos de gran calibre, son muy distintos de los inventarios de materia prima y de producto terminado. Sus procesos de producción y transporte son más complejos. Además, son artículos costosos, que necesitan una estrategia de provisión efectiva (Adur Kannan et al., 2020) para garantizar altos niveles de servicio con la menor inversión posible.
Así mismo, es importante considerar la incertidumbre que estos materiales presentan. Debido a factores inciertos como posibles fallas, disponibilidad de materia prima y mano de obra, hay más incertidumbres y variabilidad en lo que refiere a su gestión (Huiskonen, 2001).
Según complementa Huiskonen (2001), es necesario poner atención a la información técnica de las piezas MRO. También, conocer el comportamiento de las fallas de los equipos que utilizan estos materiales es de crucial importancia para la definición de un buen modelo. Esto dependerá más del análisis del comportamiento técnico que del aspecto logístico de la pieza.
Para Ling et al. (2017), el objetivo principal de los modelos que buscan optimizar la gestión de materiales MRO debe ser siempre ofrecer un alto nivel de servicio con costos mínimos. El autor resalta que, en esta búsqueda, las empresas se dividen en dos grupos: las que invierten en previsión de demanda y control de stock, y las que enfocan en planeación de producción y distribución.
Para Roebuck (2011), un modelo considerado adecuado para esta clase de materiales, debería mejorar la eficiencia de los envíos de compra, aprovechar al máximo la vida útil de los equipos, reducir el nivel de inventarios en las bodegas y garantizar mejores proveedores y precios.
Algunos autores sugieren también la utilización de sistemas de gestión de mantenimiento computarizado (CMMS, por sus siglas en inglés) para el control de llegada de los proveedores y el control general de los materiales MRO. Pero, como resalta Roebuck (2011), esto último incluye costos de capacitación, equipo de prueba y medición de la capacidad mejorada de solución de problemas. Según afirma Avery (2006), la alta dirección no está dispuesta a invertir los recursos necesarios para este tipo de implementación. Sin embargo, estos gastos podrían ser cubiertos por los ahorros que seguramente traería la implementación del CMMS (Roebuck, 2011).
Se deben considerar otros puntos, como eliminar la tarea de distribución por parte de la empresa (Avery, 2006) y exigir la inclusión de la distribución de materiales MRO en la operación de los proveedores. Además, afirma que la mayoría de las empresas que consigue hacer una buena gestión de sus materiales MRO sin contratación de una empresa tercera tiene una fuerte operación de compra de materiales indirectos y ha invertido mucho en sistemas de software ERP (planificación de recursos empresariales).
De acuerdo con Gan et al. (2015), otro factor importante a ser tenido en cuenta es la disminución de la duración de los mantenimientos. Sin embargo, destaca que esto puede afectar la frecuencia y el costo de estos procedimientos. Los autores resaltan también la necesidad de saber lidiar con el equilibrio entre el costo de mantenimiento, el de escasez y el de disponer del inventario, a fin de alcanzar el costo mínimo posible. El principal objetivo de su estudio es probar la efectividad de la interacción entre mantenimiento, buffer e inventario de repuestos para minimizar los costos totales. La tabla 1 sintetiza la información citada.

Dos aspectos importantes que no se evidencian en la información citada en la tabla 1, y que se deben considerar, son: primero, el efecto de los diferentes tiempos del proceso en que están inmersas las compras y autorizaciones de los materiales MRO; segundo, el efecto de relación de varios criterios, como la variabilidad e incertidumbre de la demanda, la definición de los niveles ideales de inventario y la consideración de todos los costos relacionados con estos materiales.
Modelo de toma de decisión en inventarios MRO
Justificación
La gestión de inventarios de los materiales MRO involucra una gran cantidad de repuestos, los cuales deben estar disponibles en el inventario de cada bodega en el momento que surja la necesidad de operación o mantenimiento de la maquinaria ligada a la operación.
Con el alto valor de inventario de materiales MRO normalmente mantenido por las empresas, se observa la importancia financiera de investigar el tema en busca de posibles mejoras. Además, se percibe que, por lo general, las empresas no tienen un análisis exhaustivo en los temas financieros relacionados con los materiales MRO. Así, no se conoce la situación exacta de costos de inventario bodega a bodega, ni técnicas eficaces para disminuir el valor del inventario contenido en cada una.
No obstante, también existen algunos factores en las empresas que generan una acumulación de materiales que ya no serán utilizados. Tres causas se pueden resaltar: obsolescencia de los inventarios por la llegada de nuevas tecnologías y la sustitución de máquinas; compras realizadas con estimación de necesidades hechas con alta incertidumbre para proyectos específicos; y compra de materiales para mantenimientos que no se realizan.
Los materiales MRO son productos de gran importancia en el inventario de una empresa, y se les debería dedicar una atención especial de estudio y conocimiento de sus características. En una línea de fabricación de productos, por ejemplo, normalmente son materiales críticos para su continuidad, es decir, sin ellos no se pueden arreglar las máquinas de producción. De igual manera, en empresas que trabajan con prestación de servicios, los materiales MRO están directamente ligados al "core business" de la empresa, donde la entrega del servicio depende de la disponibilidad de estos materiales para posibles mantenimientos.
Los materiales MRO, en su gran mayoría, son materiales de características de consumo altamente estocásticas y fácilmente susceptibles a situaciones indeseadas de rupturas de stock causadas por materiales faltantes cuando son requeridos. Algunos de estos materiales pueden ser muy costosos, razón que genera que el proceso de compra demande tiempos de pedido de larga duración. Así que una mala decisión en los niveles de compra, sea por exceso o por defecto, puede generar grandes pérdidas financieras para las empresas.
Por lo tanto, teniendo en cuenta la situación relatada, se destaca la importancia del presente estudio dada la necesidad de la formulación de un modelo eficaz de manejo de inventario para grandes empresas que trabajan con gran número de materiales distintos. En especial, inventario de materiales MRO, ya que estos suelen tener baja rotación y alto costo.
Supuestos
Gran variedad de materiales
Número diverso de familias de productos
Gran número de proveedores
Bodegas localizadas en diversos sitios geográficos
Compras centralizadas
Diversas actividades en el proceso de compra
Abastecimiento con una cantidad larga de etapas
Clasificación multicriterio
Como preámbulo a la definición de las políticas de inventarios, es importante hacer una clasificación de Pareto para los materiales, considerando diferentes aspectos, a saber: valor monetario de los materiales, rotación o frecuencia de uso, y criticidad del material. A continuación, se presenta la propuesta de clasificación de los materiales.
Paso 1. Clasificar los materiales de acuerdo con su valor monetario:
Para el valor monetario, se propone clasificar los productos en tres categorías, a partir de una clasificación de Pareto, así:
Clase A: Materiales MRO responsables del 80 % del valor total de los materiales, normalmente corresponden al 20 % del total de los productos.
Clase B: Materiales responsables del siguiente 15 % de los costos, normalmente corresponden al 30 % de los ítems.
Clase C: El resto de productos; normalmente son el 50 % de los ítems y corresponden a 5 % del valor total de materiales.
Paso 2. Clasificar los materiales de acuerdo con la frecuencia de uso:
Un criterio importante en los materiales MRO es la frecuencia de uso. Dependiendo de las características de cada empresa, es importante fijar una ventana de tiempo de observación. Así, por ejemplo, podrían observarse los consumos en los últimos tres años y tener una clasificación como la siguiente:
Clase A: Uso alto: materiales consumidos dieciocho o más veces en los últimos tres años
Clase B: Uso medio: materiales consumidos entre seis y dieciocho veces en los últimos tres años
Clase C: Uso bajo: materiales consumidos menos de seis veces en los últimos tres años
Paso 3. Clasificar los materiales de acuerdo con la criticidad del material:
La clasificación se realiza de acuerdo con el nivel de criticidad del material en la operación de la empresa:
Clase A: Corresponde a materiales que son críticos para la operación de la empresa. Una escasez de estos materiales generará un costo alto en la operación o un alto lucro cesante.
Clase B: Corresponde a materiales que no son de alta criticidad.
Clase C: Son materiales no críticos, cuya escasez tiene un impacto bajo o nulo en la organización.
Paso 4. Clasificación final de los materiales de acuerdo con los criterios antes definidos:
Así como es posible que los materiales estén clasificados en una clase u otra dependiendo del criterio usado, se establecerá una clasificación final que se usará de aquí en adelante en la metodología propuesta. Es la siguiente:
Clase A: Materiales que fueron clasificados como A en los tres criterios, o dos criterios en A y uno en B.
Clase B: Materiales no incluidos en A ni en C.
Clase C: Materiales que fueron clasificados como C en al menos dos criterios.
Política de inventarios
Los modelos de inventario sirven para mejorar el manejo de los materiales que se encuentran en esta posición/clasificación dentro de una empresa; para esto, buscan responder las siguientes preguntas relacionadas con estos materiales:
¿Cuánto comprar?
¿Cuándo comprar?
¿Cómo comprar?
La primera pregunta se buscará responder por medio de cálculos de niveles óptimos de inventarios; la segunda, por medio de análisis del tiempo de reaprovisionamiento de material (lead time); y la última, por medio de una propuesta de lineamentos para la toma de decisión.
La definición de los niveles de inventario es la planeación y el dimensionamiento para la determinación de inventarios máximos, mínimos o de seguridad, lotes económicos de compra y puntos de pedido (Cao y Fuzeto, 2017).
Inventario de seguridad
El nivel de inventario de seguridad es definido según la ecuación (1): donde Z es el coeficiente de distribución normal para un nivel buscado y o es la desviación estándar de la demanda durante el tiempo de reaprovisionamiento (lead time), esto es, el tiempo total entre el momento de hacer el pedido y la disponibilidad en bodega.

El parámetro Z, calculado para dar un nivel de servicio esperado, se relaciona con la disponibilidad de los materiales necesarios en la operación y es definido como la cantidad de ciclos con disponibilidad del material en bodega con respecto a la cantidad de ciclos observados. Por ejemplo: definir un material con nivel de servicio de 90 % quiere decir que si al año se tienen diez ciclos de pedidos, en uno de ellos no se contaría con dicho producto. Actualmente, por facilidad, muchas empresas definen el nivel de servicio como un valor estándar para todos los materiales, independientemente de su criticidad. Así, la propuesta de mejoría del estudio, en este punto, es definir el nivel de servicio de acuerdo con la criticidad de cada producto, es decir, cuanto más alta sea la criticidad del material, mayor el nivel de servicio definido.
Así, para un material crítico, por ejemplo, se determinaría un nivel de 90 %, de 85 % para materiales no tan críticos y de 80 % para los materiales que se requieren para la operación, pero que no son de naturaleza crítica, como se presenta en la tabla 2.

Así, definiremos los nuevos valores de stock de seguridad con la sustitución de los valores de nivel de servicio estándar normalmente adoptados por los niveles propuestos para cada clase.
Inventario máximo
El nivel máximo de inventario representa la sumatoria del stock de seguridad y el lote de compra, a fin de garantizar que el costo de mantenimiento de inventario no sea muy alto (García-Sabater, 2020). La ecuación (2) presenta la formulación matemática de este concepto.

Sin embargo, algunas empresas que no tienen un método de cálculo definido de lote económico de compra (EOQ) suelen considerar un horizonte de previsión según históricos de demanda, de acuerdo con la ecuación (3):

Donde SS es el stock de seguridad, T es el horizonte que define para cuántos periodos se va a abastecer con esta cantidad y D es la demanda promedio por periodo de tiempo.
Punto de pedido
El punto de pedido, también conocido como punto de reorden, determina el momento adecuado para hacer un nuevo pedido de compra a fin de garantizar que la reposición se efectúe a tiempo, sin el riesgo de ruptura de stock. Tradicionalmente, es calculado como presenta la ecuación (4):

Donde SS es el stock de seguridad y D es la demanda promedio por unidad de tiempo de reaprovisionamiento del producto (lead time) del material.
Según Coyle et al. (2003), estos puntos de pedido pueden categorizarse en dos tipos: de pedido de cantidad fija y de pedido por intervalo fijo. La decisión de cuál política seguir es de crucial importancia para que cada tipo de material tenga sus necesidades específicas atendidas.
Una manera de tomar esta decisión es con base en la clasificación ABO de los productos en inventario, aplicando órdenes por cantidad fija a los materiales más críticos, de clase A, y órdenes por intervalo de pedido fijo para los materiales de clases B y C. La administración del enfoque de cantidad fija es más costosa, ya que necesita monitoreo muy frecuente o constante de los niveles de inventario. Ya el enfoque de intervalo fijo no necesita ser monitoreado con tanta frecuencia, lo cual vuelve el proceso más económico.
Estos dos tipos de enfoque también son conocidos como i) modelos de revisión continua, que son los de cantidad fija por necesitar monitoreo constante, y ii) modelos de revisión periódica, que son los de intervalos fijos. En los modelos de revisión continua, tenemos el modelo QR y en los de revisión periódica, los modelos ST y SST.
Entonces, siguiendo las recomendaciones de los autores citados, las políticas definidas deberían ser determinadas según lo sintetizado en la tabla 3.

Según Betancourt (2018), hay tres escenarios básicos referentes al comportamiento de la demanda y del lead time en un proceso de pedido. Uno de ellos, que es aplicado actualmente por muchas empresas, considera que la demanda de productos es variable y que el lead time de pedido es constante, donde se calcula el punto de reorden según la ecuación (4). El otro considera un escenario determinístico donde la demanda y el lead time son constantes, y el punto de reorden es calculado como el presentado por la ecuación (5).

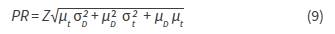
El último, y más realístico, escenario considera que la demanda y el lead time son variables. El punto de reorden para esta situación es calculado según la ecuación (6).

Sin embargo, los valores de uvar y ovar, esto es, media y desviación durante el tiempo de aprovisionamiento, deben ser calculados de manera diferente a una desviación y una media comunes. Según lo demostrado por G. Hadley y T. M. Whitin, en un escenario con estos dos parámetros variables la media y la desviación de la demanda deben ser calculados de la siguiente manera (ecuación 7 y 8).
Media de la demanda variable (μvar):

Desviación de la demanda variable (σvar):

Donde la demanda por periodo del producto tiene: Media: μD y Desviación: σt ; y el tiempo de reaprovisionamiento (lead time) tiene: Media: μt y Desviación: σt
Sustituyendo los nuevos valores considerados (ecuaciones 7 y 8) en la ecuación (6), tenemos:

Así, la expresión matemática utilizada para el cálculo de los nuevos puntos de pedido será la presentada en la ecuación (9), que se adecúa mejor a nuestro escenario actual en la empresa. En contraste a las ecuaciones (4) y (5), esta arrojará un resultado más acertado, pues tendrá en consideración tanto los valores de lead time variables como los niveles variables de demanda en el transcurso del año.
Además, es importante resaltar que este modelo es propuesto para empresas con familias de materiales que contienen un gran número de productos distintos, así que el cálculo de los puntos de pedido tendrá que ser realizado para cada uno de los materiales. Por lo tanto, lo adecuado es calcular la demanda promedio de cada producto, así como su respectiva desviación estándar, para saber sus niveles de inventario de manera más acertada.
Estudio del tiempo lead time
El cálculo del tiempo de reaprovisionamiento (lead time) tiene un impacto directo en los valores de la política de pedido. Es usual que el lead time utilizado para calcular los niveles de inventario en las empresas sea generalmente definido por un valor estándar de igual valor para todos los tipos de materiales.
Esta es, notoriamente, una práctica ineficiente y que obtendrá resultados equivocados, ya que materiales con diferentes características tendrán tiempos de reposición distintos. Así, para mejorar la exactitud de estos niveles, es necesario calcular ese lead time para cada una de las categorías de materiales que maneje la empresa. Dadas las características de las empresas foco de este trabajo (que contienen gran cantidad de materiales distintos), el valor de lead time será calculado como el promedio de tiempo demandado para la reposición de inventario de todos los materiales consumidos dentro de cada familia de productos.
Además, es necesario realizar un estudio detallado de cada uno de los subprocesos involucrados en el proceso de reabastecimiento, que va desde el pedido de compra hasta la entrega de los materiales en las bodegas. Cada uno estos subprocesos demandan un tiempo de procesamiento distinto, que serán denominados deltas.
El análisis de estos deltas es un factor necesario, y en la práctica puede analizarse cada uno de ellos desde una perspectiva de mejoramiento de procesos. En ese contexto, es clave conocer cuáles partes del proceso se están demorando más de lo que deberían y no están agregando valor a la cadena, con lo que se genera desperdicio de tiempo, y deberían ser eliminadas. Algunos resultados del análisis de subprocesos involucrados podrían ser:
Volver a algunos de ellos cero, pues son cambios del proceso y no agregan valor a la cadena.
Estandarizar otros, pues se genera mucha variabilidad entre ellos.
Ajustar otros, pues el proceso podría pasar a ser de revisión periódica.
La reducción de los valores de lead time tiene un efecto directamente proporcional en la reducción de los costos finales de inventario.
Algoritmo de selección
Para la mejor determinación de cuál política de inventarios aplicar, se utilizará una combinación de todos los puntos ya definidos, explicados y mejorados, a saber: nivel de servicio, tiempos de reabastecimiento (lead time), naturaleza del material (según su clasificación), patrón de demanda y valor del producto. Adicionalmente, se deben considerar posibles restricciones del proveedor y los costos relacionados con el pedido. Estas variables serán definidas como se presenta en la tabla 4. Así, el algoritmo de integración de todos estos criterios, que servirá de auxilio en la toma de decisión, será propuesto como presentado en la tabla 5.


Los costos incluirán tres tipos de gastos, como muestra la tabla 4: costo de mantener inventario, costo de hacer un pedido y costo de obsolescencia. En los costos de mantener inventario, se debe considerar el valor pago en cada bodega para mantener los servicios, como el valor del arriendo, por ejemplo, y el valor que se paga con el personal responsable por cuidar y manipular el inventario. En nuestro caso de aplicación, la empresa posee bodegas propias, por lo tanto, no tienen gastos de arriendo e incurren apenas el valor de los impuestos y los servicios; mientras que, en el valor de personal, se debe tener en cuenta el costo de pago del auxiliar y del jefe de cada bodega. Ya en los costos de pedido, se incluye el valor relacionado con la estructura administrativa necesaria para mantener el personal de compra. Por fin, el costo de obsolescencia llevará en consideración apenas el valor de compra, que sería perdido en caso de que el material se volviera obsoleto en inventario y ya no pudiera ser utilizado o vendido.
Las líneas 1 y 2 de la tabla 7 definen que la mejor política a ser adoptada para los materiales de clase A es la de revisión continua. Esta decisión está basada en los criterios ya presentados, como el alto costo de los materiales de esta clase, que hace inviable mantener altos niveles de inventario necesarios para un modelo de revisión periódica, y la alta criticidad de los materiales para la operación, que necesita monitoreo constante de sus niveles de inventario.
Así mismo, los materiales de esta clase incluyen productos de alta tasa de cambio tecnológico que, en consecuencia, puede llevar a altos niveles de obsolescencia en inventarios de gran cantidad. Lo ideal para este tipo de material es hacer pedidos continuamente para estar siempre renovando los niveles tecnológicos de las máquinas y materiales en general. El resultado obtenido por la interacción de todos estos criterios aliados al resultado de la simulación realizada permite concluir que este tipo de revisión es lo más adecuado para estos materiales.
Ya en la clase B, hay materiales de alto y de bajo valor de compra, de uso frecuente y de uso no tan frecuente, que atingen la obsolescencia en intervalos de tiempo cortos y largos, con lo que atraen la necesidad de un criterio de decisión diferenciado y no tan sencillo. Las líneas de la 3 a la 23 de la tabla 7 definen estos criterios según una serie de condiciones. La decisión final llevará en consideración la comparación entre cada una de ellas, por ejemplo, el hecho de que para algunos materiales la adopción de una revisión periódica acarrearía altos valores de inventario, y para otros los costos necesarios para mantener una revisión continua serían más altos que los ahorrados en relación con el valor de inventario en la política de revisión periódica. Así, el método busca puntuar las características más importantes para cada material y así comparar las dos revisiones según su puntaje final.
El algoritmo empieza con dos variables, periódico y continuo, de valor cero, que representan cada una de las políticas de revisión y que aumentan su valor de acuerdo con la respuesta obtenida en cada condicional. La política que tenga mayor puntaje, es decir, que contenga el mayor número de características relevantes en este material, será la política más adecuada para este producto.
Ya para los materiales de clase C, el criterio será siempre aplicar el modelo de revisión periódica, como recomiendan las líneas 24 y 25 de la tabla 7. Esta decisión se justifica por la baja criticidad y relevancia de estos materiales en la empresa. Así, aunque sean materiales de alto costo, es más benéfico para la empresa hacer pocas compras en gran cantidad, a fin de cubrir la operación de estos materiales por un espacio de tiempo más largo. Esta práctica también facilita la relación con los proveedores, que prefieren vender tales materiales por acuerdos marco de precio y en gran cantidad.
Además, el resultado de las simulaciones en diversos escenarios posibles también sirve de base para que esta decisión sea tomada de manera acertada, ya que los niveles de inventario no cambian tanto entre las dos revisiones y que la periódica es la más económica de adoptarse. Para estos materiales, se recomienda también su inclusión en la planeación de los materiales considerados de uso 'determinístico' por la empresa, pues tienen cierto grado de previsibilidad de uso y se consumen pocas unidades durante el año. La única desventaja de tener un alto nivel de inventario de estos materiales sería la alta ocupación del espacio físico de la bodega, dadas sus grandes dimensiones. Sin embargo, los costos de ocupación de inventario no son relevantes para la empresa, ya que todas las bodegas son propias y no presentan aumento significativo en el costo fijo de una bodega que esté, por ejemplo, 30 o 90 % ocupada. Así que la manera más recomendable de mantener el inventario a cubierto para esta clase es adoptar una política de revisión periódica, con lo que se garantizan menores costos de pedido, de transporte y de personal de mantenimiento.
Conclusiones y recomendaciones
Este trabajo propone un método estructurado de selección de políticas de inventarios para una empresa que mantiene una gran cantidad de productos en inventario, con las más diversas características de dimensión, cantidad y valor monetario, y en ese sentido son los aportes de este trabajo. La metodología propuesta está basada en un análisis observacional para una empresa, que proponemos y consideramos que puede ser extensible a empresas con características similares. A futuro, como trabajo a explorar, se debe analizar la conveniencia en empresas similares, identificando restricciones y situaciones particulares a tener en cuenta.
Con respecto a resultados observados tras aplicar la metodología, una vez realizados los estudios de clasificación, lead time y diferentes políticas de inventario, se pudo notar que medidas como la disminución del lead time influyen mucho más en los ahorros de inventarios que la definición de un modelo de inventario muy complejo.
El algoritmo de decisión final deja claro que, para algunas clases, tener en cuenta apenas uno de los criterios de selección no es la manera más adecuada de decidir. La adecuada toma de decisión de cuál política aplicar a determinados materiales implica llevar en consideración una combinación de todos los criterios investigados.
Como recomendaciones, es importante resaltar que cada material debe ser revisado en la exacta periodicidad propuesta; así, el cálculo del lead time podrá garantizar mejor exactitud en las llegadas de los materiales. El estudio profundizado de los tiempos de proceso permitió los hallazgos de muchos tiempos muertos en la cadena, que no agregan a la cadena de valor y pueden ser optimizados.
Además, para la perfecta ejecución de la política continua a los materiales que sea necesario, lo ideal sería generar una alarma en el sistema de la empresa, que avise automáticamente al proveedor siempre que el nivel de inventario de estos productos llegue al punto de reorden. Determinar un plazo de revisión que sea ideal para cada familia de material de la política periódica también es de crucial importancia.
Finalmente, los valores detallados de los tiempos de proceso obtenidos por el estudio pueden, y deben, servir de anclaje para los contratos marcos de precio realizados para aquellos materiales que tengan esta estrategia de compra definida como la más adecuada.
Agradecimientos
Los autores agradecen el apoyo ofrecido por OCENSA en la elaboración de esta investigación. Este artículo se deriva del trabajo realizado en la tesis de la autora Tercia Emanuelle Ribeiro Alves, realizada en el año 2020 en la Universidad de los Andes bajo la dirección de Ciro Alberto Amaya.
Referencias
Adur Kannan, B., Kodi, G., Padilla, O., Gray, D. y Smith, B. C. (2020). Forecasting spare parts sporadic demand using traditional methods and machine learning-a comparative study. SMUData Science Review, 3(2), 9. https://scholar.smu.edu/datasciencereview/vol3/iss2/9/
Ali, U., Salah, B., Naeem, K., Khan, A. S., Khan, R., Pruncu, C. I., Abas, M. y Khan, S. (2020). Improved MRO inventory management system in oil and gas company: Increased service level and reduced average inventory investment. Sustainability, 12(19), 8027. https://www.mdpi.com/2071-1050/12/19/8027
Amirkolaii, K. N., Baboli, A., Shahzad, M. K. y Tonadre, R. (2017). Demand forecasting for irregular demands in business aircraft spare parts supply chains by using artificial intelligence (AI). IFAC-PapersOnLine, 50(1), 15221-15226. https://doi.org/10.1016/j.ifacol.2017.08.2371
Avery, S. (2006). More ammunition for outsourcing MRO. Purchasing, 135(5), 36-37. https://www.beroeinc.com/whitepaper/mro-distributors-vs-mro-integrators/
Bacchetti, A. y Saccani, N. (2012). Spare parts classification and demand forecasting for stock control: investigating the gap between research and practice. Omega, 40(6), 722-737. https://doi.org/10.1016/j.omega.2011.06.008
Betancourt, D. F. (2018). Sistema de revisión continua de inventarios: definición, métodos y ejemplos. https://www.inge nioempresa.com/sistema-de-revision-continua/
Boylan, J. E. y Syntetos, A. A. (2008). Forecasting for inventory management of service parts. Complex system maintenance handbook (K. A. Helmy Kobbacy y D. N. Prabhakar Murthy (eds.); pp. 479-506). Springer.
Cao, L. I. y Fuzeto, A. P. (2017). Inventory management model: A case study at a metallurgical company in the interior of the state of São Paulo. Revista Produção em Destaque, 1(1), 15-37. https://www.unifafibe.com.br/revistasonline/arquivos/revistaproducaoemdestaque/sumario/53/22052019162344.pdf
Chen, J., Gusikhin, O., Finkenstaedt, W. y Liu, Y.-N. (2019). Maintenance, repair, and operations parts inventory management in the era of industry 4.0. IFAC-Papers OnLine, 52(13), 171-176. https://doi.org/10.1016/j.ifacol.2019. 11.171
Conceição, S. V., Da Silva, G. L. C., Lu, D., Nunes, N. T. R. y Pedrosa, G. C. (2015). A demand classification scheme for spare part inventory model subject to stochastic demand and lead time. Production Planning & Control, 26(16), 1318-1331. https://doi.org/10.1080/09537287.2015.1033497
Coyle, J. J., Bardi, E. J. y Langlay, C. J. (2003). The management of business logistics. A. supply chain perspective. South-Western College Pub.
Gan, S., Zhang, Z., Zhou, Y. y Shi, J. (2015). Joint optimization of maintenance, buffer, and spare parts for a production system. Applied Mathematical Modelling, 39(19), 6032-6042. https://doi.org/10.1016/j.apm.2015.01.035
García-Sabater, J. P., Cardós Carboneras, M., García Sabater, J. J. y Albarracín Guillem, J. M. (2020). Gestión de stocks de demanda independiente. Editorial Universitat Politècnica de València.
Garrido Bayas, I. Y. y Cejas Martínez, M. (2017). La gestión de inventario como factor estratégico en la administración de empresas. Negotium: Revista de Ciencias Gerenciales, 13(37), 109-129. https://www.redalyc.org/articulo.oa?id=78252811007
Hamad, R. y Fares Gualda, N. D. (2011). Modelagem de redes logísticas com custos de inventario calculados a partir da cobertura de estoque. Production, 21(4), 667-675. https://doi.org/10.1590/S0103-65132011005000011
Huiskonen, J. (2001). Maintenance spare parts logistics: Special characteristics and strategic choices. International Journal of Production Economics, 71(1-3), 125-133. https://doi.org/10.1016/S0925-5273(00)00112-2
Kotsifaki, M., Dimitriadis, N., Ketikidis, P. H. y Missopoulos, F. (2007). Logistics strategic planning: Current status and future prospects in Greek companies. International Journal of Risk Assessment and Management, 7(1), 44-58. https://doi.org/10.1504/IJRAM.2007.011409
Ling, L., Liu, M., Shen, W. y Cheng, G. (2017). An improved stochastic programming model for supply chain planning of MRO spare parts. Applied Mathematical Modelling, 47, 189-207. https://doi.org/10.1016/j.apm.2017.03.031
Roebuck, B. (2011). Maintenance repair overhaul. Machinery and Equipment MRO.
Saunders, M. J. (Ed.). (1997). Strategic purchasing and supply chain management. Financial Times Pitman.
Sharma, R. y Govindaraju, N. (2020). Maintenance planning activity using intelligent support system. International Journal of Mechanical Engineering, 5(2), 83-88. https://kalaharijournals.com/resources/ijme%20v5-2-7.pdf
Suárez-Cervera, M. L. (2012). Gestión de inventarios: una nueva fórmula de calcular la competitividad. Ad-Quelite.
Notas