CIENCIAS NATURALES Y EXACTAS
Adsorción de metales pesados (Hg2+, Cu2+ y Ni2+) en NTC utilizando redes neuronales Feed forward backprop y Elman backprop
Adsorption of heavy metals (Hg2+, Cu2+ and Ni2+) on CNT using Feed forward backprop and Elman backprop neural networks
Adsorción de metales pesados (Hg2+, Cu2+ y Ni2+) en NTC utilizando redes neuronales Feed forward backprop y Elman backprop
Investigación y Ciencia, vol. 31, núm. 89, pp. 1-13, 2023
Universidad Autónoma de Aguascalientes
Recepción: 28 Noviembre 2022
Aprobación: 14 Abril 2023
Publicación: 31 Mayo 2023
Resumen: En el presente trabajo se estudiaron sistemas de adsorción mono y multicomponente de metales pesados (Hg2+, Cu2+ y Ni2+) como adsorbatos y nanotubos de carbono (NTC) como adsorbentes. Primero se determinaron las propiedades termodinámicas y QSAR a 298.15 y 30815K utilizando simulación computacional. Posteriormente, se desarrollaron redes neuronales artificiales Feedforward backprop y Elman backprop, en donde la red con mayor precisión de las propiedades termodinámicas y QSAR fue la Elman Backprop con la función Logsig utilizando 5 y 3 neuronas en la capa oculta a 298.15 y 308.15 K; por otro lado, las redes tuvieron una r2 de 0.999 y un error cuadrático medio de 0.021, 0.024 y 0.214, respectivamente.
Palabras clave: energía de Gibbs, metales pesados, redes neuronales artificiales, Hyperchem, Gaussian, NTC.
Abstract: In the present work, mono and multicomponent adsorption systems of heavy metals (Hg2+, Cu2+ and Ni2+) as adsorbates and carbon nanotubes (CNT) as adsorbents were studied. First, the thermodynamic and QSAR properties at 298.15 and 30815K were determined using computational simulation. Subsequently, Feedforward backprop and Elman backprop artificial neural networks were developed, where the network with the highest precision of the thermodynamic and QSAR properties was the Elman Backprop with the Logsig function using 5 and 3 neurons in the hidden layer at 298.15 and 308.15 K; finally, the networks had an r2 of 0.999, and a mean square error of 0.021, 0.024 and 0.214, respectively.
Keywords: Gibbs energy, heavy metals, artificial neuronal networks, Hyperchem, Gaussian, CNT.
INTRODUCCION
La calidad del agua se ha visto afectada principalmente por la industrialización de países desarrollados, así como un aumento significativo en la población mundial (Vardhan, Kumar, & Panda, 2019). Existen diferentes procesos para el tratamiento de efluentes contaminados por metales pesados, por ejemplo, intercambio iónico, precipitación química, nanofiltración, floculación, adsorción, entre otros (Sun et al., 2020). Específicamente la adsorción es un proceso físico-químico en el que una sustancia presente en una fase móvil se adhiere a la superficie de un material sólido. Diversos estudios han confirmado la eficiencia de este proceso en la remoción monocomponente y multicomponente de diferentes tipos de contaminantes del agua, especialmente de metales pesados (Arora, 2019; Kausar et al., 2018).
En el proceso de adsorción se emplean diversos materiales adsorbentes como zeolitas, carbones activados, polímeros y resinas, estructuras metalorgánicas (MOF) (Rad & Anbia, 2021), nanotubos de carbono (NTC) (Yunus, Al-gheethi, Othman, Hamdan, & Ruslan, 2022; Zaimee, Sarjadi, & Rahman, 2021), entre otros. Actualmente, para determinar mecanismos de adsorción de diversos contaminantes del agua se utilizan herramientas computacionales para la predicción de capacidades de adsorción (Ghaedi & Vafaei, 2017; Pauletto, Dotto, & Salau, 2020), parámetros termodinámicos (Morse, Jones, Thibault, & Tezel, 2011; Tanzifi et al., 2017) y propiedades QSAR de sistemas mono y multicomponente.
Específicamente, las redes neuronales artificiales (ANN, por sus siglas en inglés) son métodos de estimación numéricos para el perfeccionamiento de modelos empíricos. Estas redes constituyen una técnica adecuada para predecir tendencias experimentales en un amplio grupo de procesos, entre ellos los de adsorción (Tanzifi et al., 2018). Las simulaciones realizadas mediante ANN siguen un proceso semejante al que realiza el cerebro humano, por lo que se considera que las ANN aprenden a relacionar las variables de entradas con las correspondientes salidas para determinar las normas que rigen la relación entre las variables. Cabe destacar que las entradas son datos tomados de resultados experimentales (Chairez, García-Peña, & Cabrera, 2009).
Según Assefi, Ghaedi, Ansari, Habibi y Momeni (2014) las redes neuronales están constituidas por capas, las cuales se dividen en de entrada, ocultas y de salida. La capa de entrada es la que recibe la información proveniente del exterior de la red, la oculta es interna de la red y no tiene ningún vínculo con el exterior de la red. Pueden estar interconectadas de distintas maneras, lo que determina con su número las distintas topologías de la red; finalmente la capa de salida es la que transfiere la información de la red hacia el exterior.
La predicción del sistema de adsorción es muy importante para controlar el proceso, disminuir el tiempo y costo del mismo. Las ANN son herramientas muy atractivas debido a que se pueden entrenar para que aprendan las relaciones entre los diferentes conjuntos de datos (de entrada y de salida). La red más conocida y a su vez la más empleada es la Perceptrón Multicapa. Esta red está compuesta por capas de entrada, ocultas y de salida.
Cada capa de la red está formada a su vez por neuronas y el número de éstas en las capas de entrada y salida es el mismo que el número de variables independientes y dependientes conocidas; a su vez el número de neuronas en la capa oculta depende de la complejidad del problema a resolver y se determina mediante un proceso de tanteo y error (Shahryari, Mohebbi, Soltani Goharrizi, & Forghani, 2013). Entre los diversos métodos de análisis multivariante las redes neuronales artificiales se aprecian como el método superior para modelar problemas complejos y no lineales. Este método se aplica con mucho éxito a los procesos de adsorción (Asfaram, Ghaedi, Ahmadi Azahandi, Goudarzi, & Hajati, 2017).
Actualmente se está haciendo uso de las redes neuronales artificiales para predecir la cinética de adsorción para todas las condiciones experimentales, ya que son excelentes para resolver este tipo de problemas complejos. En la Ingeniería Química se han aplicado para predecir el equilibrio de adsorción de sistemas sólido-líquido, actividades de coeficientes de compuestos químicos aromáticos (Kumar & Porkodi, 2009). Por ejemplo, Yildiz (2017) llevó a cabo un estudio de remoción de Zn empleando cáscara de maní utilizando RNA para predecir la eficiencia de adsorción de este adsorbente.
Fiyadh et al (2019) utilizaron diferentes RNA para modelar la capacidad de adsorción de Hg en NTC en solución acuosa, en donde la red neuronal NARX fue la que mejor se ajustó y mejor desempeño mostró sobre las otras dos con una R2 de 0.97. Finalmente, Khan et al (2020) emplearon RNA para la predicción de la eliminación del Cu en la solución acuosa. Utilizaron una red neuronal de retropropagación de tres capas con una función de transferencia neuronal (purelin) en la capa de salida y una función de transferencia sigmoidea tangente (tansig) en la capa oculta; en donde determinaron que el algoritmo de retropropagación que mejor se ajustó fue el gradiente conjugado de Fletcher-Reeves, con el cual se obtuvo una MSE de 3.84 y una R2 de 0.98.
El principal objetivo de este estudio fue comparar la adsorción monocomponente y multicomponente de los iones metálicos Hg2+, Ni2+ y Cu2+ en nanotubos de carbono de pared sencilla mediante el uso de redes neuronales artificiales Feed forward backprop y Elman backprop.

MATERIALES Y MÉTODOS
Simulación
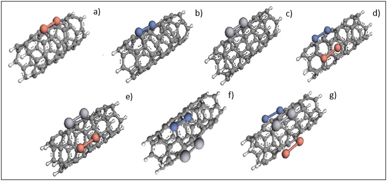
La figura 1 muestra los diferentes sistemas de adsorción que se analizaron en diferentes softwares de química computacional, en donde ArgusLab se utilizó para simular las interacciones NTC-metal de los sistemas mono y multicomponente. Para analizar los sistemas mono y multicomponente y determinar las diferentes propiedades termodinámicas y QSAR se emplearon el software Hyperchem y Arguslab. Se utilizó el método de Hückel extendido disponible en los softwares, donde dicho método es comúnmente empleado para la determinación de la energía de diferentes configuraciones geométricas. Todas las energías se obtuvieron a diferentes temperaturas, de 298.15, 303.15 y 308.15 K para cada uno de los sistemas.
Por otro lado, se generaron algunas propiedades energéticas, como la energía de enlace y calor de formación de cada sistema a las tres temperaturas analizadas; también se generaron los espectros FTIR de cada uno de los sistemas empleando el software Gaussian, utilizando el modelo semiempírico PM6 para los sistemas monocomponente y modelos de la teoría funcional de la densidad (DFT) para los sistemas multicomponente. Finalmente, para la obtención de los parámetros QSAR polarizabilidad, volumen y área, para cada uno de los sistemas de adsorción, se utilizó únicamente el programa de Hyperchem (figura 2).

Función de activación de las redes Feedforward y Elman backprop
Las redes Feedforward y las redes Elman utilizan la función sigmoidea como función de activación en el entrenamiento y construcción de las redes neuronales, debido a que presenta un equilibrio entre el comportamiento lineal y no lineal (Kermani, Schiffman, & Nagle, 2005). La función de activación logarítmica sigmoidea está representada por la ecuación 1 y la tangente hiperbólica sigmoidea, en donde el comportamiento está descrito mediante la ecuación 2 en la capa oculta; mientras que la función de transferencia lineal purelin (ecuación 3) se utilizó para la capa de salida.

Algoritmo de entrenamiento
El algoritmo de entrenamiento utilizado para ambas redes fue el de Levenberg-Marquardt debido a su gran estabilidad y alta capacidad de convergencia en el entrenamiento de redes neuronales (Gupta & Bhattacharyya, 2006). Este algoritmo genera modelos con grandes índices de correlación debido a su capacidad de minimizar el error cuadrático medio. El algoritmo de Levenberg-Marquardt es una modificación del método de Gauss-Newton (ecuación 4).

en donde:
Wn+1 es el peso sináptico actual usado para calibrar el peso siguiente, y e (n) es el n'-ésimo error de la red.
J es la matriz Jacobiana que contiene la primera derivada de los errores de salida respecto a los pasos correspondientes.
El parámetro μ siempre garantiza que la inversión de la matriz produzca un resultado. Este parámetro depende de la evaluación de la suma de errores cuadrados.
En este tipo de algoritmo se utilizan condiciones que acepta el siguiente peso si al iterar el valor de la función error es menor que el de la iteración actual. Esta propiedad de monotonicidad asegura que cada iteración exitosa produzca un número de pesos, el cual es mejor que cualquiera de los anteriores en los términos de valor de error de aprendizaje.
Creación de las ANN
Se emplearon las redes neuronales artificiales Feedforward backprop y Elman Backprop utilizando el software Matlab 2020b. Primero se crearon ocho redes con la función de activación no lineal tangente hiperbólica sigmoidea (Tansig) en la capa oculta y una función lineal purelin para la capa de salida, en donde el número de neuronas en la capa oculta varió desde 3 hasta 10 neuronas. Posteriormente se crearon ocho redes y de 3 a 10 neuronas con la función de transferencia no lineal logarítmica sigmoidea (Logsig) en la capa oculta y la función lineal purelin en la capa de salida.
En total se generaron 32 redes, 16 para cada red neuronal, en donde se utilizó el algoritmo de entrenamiento de Levenberg-Marquardt y una capa oculta. Las redes emplearon 70% de los datos para el entrenamiento, 15% para la prueba y 15% restante para la validación. En la capa de entrada se utilizó la temperatura y la energía libre de los sistemas de adsorción y, como target, las propiedades QSAR; es decir, la polarizabilidad, el volumen y el área de superficie. Por último, mediante un análisis estadístico para cada red se seleccionó la red neuronal que obtuvo un mejor rendimiento en cuanto a la predicción de los parámetros QSAR.
Parámetros estadísticos
-El coeficiente de determinación R2 corresponde a la ecuación 5.

-El error cuadrático medio es la ecuación 6.

-Raíz del error cuadrático medio se muestra en la ecuación 7.

RESULTADOS
Propiedades energéticas de los sistemas de adsorción
La tabla 1 muestra los calores de formación y las energías de enlace y Gibbs de los sistemas de adsorción a 298.15 y 308.15 K, respectivamente.

En la tabla 2 se observan las propiedades QSAR obtenidas mediante el software Hyperchem para cada sistema de adsorción. La polarizabilidad representa la capacidad que tienen las nubes de electrones de una especie no polar para deformarse bajo la influencia de un campo eléctrico; es decir, si una molécula es inicialmente no polar se puede generar un momento dipolar.

La figura 3 muestra los espectros de FTIR de los diferentes sistemas de adsorción.

Red Feedforward
Las tablas 3-6 muestran los resultados de los parámetros estadísticos R2, MSE y RMSE que se obtuvieron con la red neuronal Feedforward con la función de activación Tansig y Logsig, respectivamente, mediante el análisis de los parámetros QSAR a 298.15 y 308.15 K.




Red Elman Backprop
En las tablas 7-10 se muestran los resultados de R2, MSE y RMSE que se obtuvieron con las redes neuronales Elman Backprop con la función de activación Logsig y Tansig, respectivamente, en la predicción de los parámetros QSAR a 298.15 y 308.15 K.




DISCUSIÓN
Propiedades energéticas de los sistemas de adsorción
En la tabla 1 se aprecian los calores de formación y las energías de enlace y Gibbs de los sistemas de adsorción a 298.15 y 308.15 K, respectivamente; en donde se observó que todos los sistemas de adsorción fueron endotérmicos y espontáneos (Meek, Teich-McGoldrick, Pery, Greathouse, & Allendorf, 2012); por otra parte, las energías de enlace fueron negativas; es decir, existe una estabilidad de los sistemas mono y multicomponente. Además, se apreció una energía de enlace más negativa en el sistema NTC-Hg; es decir, es el sistema más estable, mientras que en los sistemas multicomponente esta energía disminuye debido a la presencia de los iones metálicos.
Las propiedades QSAR (tabla 2) indicaron que las moléculas individuales de los metales pesados tienen una baja polarizabilidad debido a que la separación entre sus orbitales fronteras es mayor; sin embargo, los electrones del doble enlace C=C presente en el NTC podrán separase con mayor facilidad del átomo, dando lugar a la unión de los sitios de adsorción (Rozylo, Malinowska, & Poniewaz, 1984). Este parámetro muestra las posibles interacciones entre átomos y moléculas no polares, iones y moléculas polares con momentos dipolares. El sistema NTC-Cu-Hg-Ni presentó mayores valores de área de superficie y volumen, 658.86 Å2 y 1401.01 Å3, respectivamente; por otro lado, el área de superficie de cualquier material adsorbente dependerá principalmente del número de poros que contenga, cuanto mayor sea ese número mayor superficie se tendrá para que se lleve a cabo la adsorción en el material adsorbente. Del mismo modo ocurre con el volumen (Allred, 1961); debido al tamaño y al número de átomos que constituyen el CNT esta área de superficie es mayor que los átomos de metales pesados.
Los espectros de FTIR en la figura 2 indicaron que 3200-3100 cm-1 del NTC-Cu y NTC -Ni correspondieron al estiramiento simétrico del enlace C-H del NTC. Por otro lado, el estiramiento de los enlaces C=C se atribuyó a las bandas ubicadas en 1520 y 1150 cm-1. Los comprendidos entre 1050 y 900 cm-1 se asignaron al balanceo de los enlaces C-H. El rango de 252 y 197 cm-1 se asignó a la presencia de Cu en la superficie del NTC, las bandas 756-527 cm-1 fueron atribuidas a la presencia de Hg; finalmente, las bandas que están entre 334 y 302 cm-1 representan la presencia de Ni (Allred, 1961).
Red Feedforward
En las tablas 3 y 4 se apreció que la red con seis neuronas en la capa oculta y la función de activación Logsig presentó un menor error cuadrático medio (MSE) de 0.129; por tanto, tuvo una mejor predicción de los parámetros QSAR; mientras que en las tablas 5 y 6 se aprecian los coeficientes de determinación y los respectivos de errores de la red Feedforward a una temperatura de 308.15 K, en donde la red con seis neuronas en la capa oculta y una función de activación Logsig presentó un menor MSE; es decir, es el modelo que tiene una mejor predicción de los QSAR.
Red Elman Backprop
En las tablas 7 y 8 se observó que son varias las redes que presentaron una R2 de 0.999; es decir, son las redes 7 y 9 con la función Tansig y, por otro lado, las redes con 4, 5, 8 y 9 neuronas en la capa oculta y función Logsig; sin embargo, empleando el MSE y RMSE es posible dilucidar que la red con cinco neuronas y función Logsig fuera más precisa. Finalmente, en las tablas 9 y 10 se apreció que la red con tres neuronas en la capa oculta fue con la que se obtuvo una R2 mayor de 0.999; es decir, fueron las redes con mayor capacidad de predicción de los parámetros QSAR. Sin embargo, al analizar los errores cuadráticos medios, así como la raíz de estos, fue posible observar que la red con la función Logsig tiene un menor valor de éstos; lo que indica mayor precisión en la predicción de las propiedades QSAR.
CONCLUSIONES
Con base en los resultados anteriormente mostrados es posible concluir que las redes neuronales artificiales son herramientas eficaces en la predicción de targets específicos; en este caso, de los parámetros QSAR. En este sentido las redes que mejor predicción tuvieron de los parámetros QSAR a las dos temperaturas analizadas fueron la red Elman Backprop con función de activación Logsig y cinco neuronas en la capa oculta a 298.15 K. Finalmente, la red Elman con la función Logsig y tres neuronas en la capa oculta a 308.15 K. Con respecto a las energías de enlace obtenidas para cada metal pesado en la superficie del NTC se puede deducir que el orden de adsorción para los sistemas multicomponente se da en el siguiente orden: Hg > Cu > Ni, debido a que la teoría convencional establece que los iones metálicos con mayor electronegatividad pueden adsorberse con mayor facilidad.
Agradecimientos
El investigador Billy Alberto Ávila-Camacho desea agradecer al Conacyt por la beca otorgada para los estudios de Maestría en Ciencia en Ingeniería Química.
REFERENCIAS
Allred, A. L. (1961). Electronegativity values from thermochemical data. Journal of Inorganic and Nuclear Chemistry, 17(3-4), 215-221. doi: 10.1016/0022-1902(61)80142-5
Arora, R. (2019). Adsorption of heavy metals–A review. Materials Today: Proceedings, 18(7), 4745-4750. doi: 10.1016/j.matpr.2019.07.462
Asfaram, A., Ghaedi, M., Ahmadi Azqhandi, M. H., Goudarzi, A., & Hajati, S. (2017). Ultrasound-assisted binary adsorption of dyes onto Mn@ CuS/ZnS-NC-AC as a novel adsorbent: Application of chemometrics for optimization and modeling. Journal of Industrial and Engineering Chemistry, 54, 377-388. doi: 10.1016/j.jiec.2017.06.018
Assefi, P., Ghaedi, M., Ansari, A., Habibi, M. H., & Momeni, M. S. (2014). Artificial neural network optimization for removal of hazardous dye Eosin Y from aqueous solution using Co2O3-NP-AC: Isotherm and kinetics study. Journal of Industrial and Engineering Chemistry, 20(5), 2905-2913. doi: 10.1016/j.jiec.2013.11.027
Chairez, I., García-Peña, I., & Cabrera, A. (2009). Dynamic numerical reconstruction of a fungal biofiltration system using differential neural network. Journal of Process Control, 19(7), 1103-1110. doi: 10.1016/j.jprocont.2008.12.009
Fiyadh, S., Al Omar, M., Jaafar, W. Z. B., AlSaadi, M. A., Fayaed, S. S., Koting, S. B., … El-Shafie, A. (2019). Artificial neural network approach for modelling of mercury ions removal from water using functionalized CNTs with deep eutectic solvent. International Journal of Molecular Sciences, 20(17), 4206. doi: 10.3390/ijms20174206
Ghaedi, A. M., & Vafaei, A. (2017). Applications of artificial neural networks for adsorption removal of dyes from aqueous solution: A review. Advances in Colloid and Interface Science, 245, 20-39. doi: 10.1016/j.cis.2017.04.015
Gupta, S. S., & Bhattacharyya, K. G. (2006). Adsorption of Ni(II) on clays. Journal of Colloid and Interface Science, 295(1), 21-32. doi: 10.1016/j.jcis.2005.07.073
Kausar, A., Iqbal, M., Javed, A., Aftab, K., Bhatti, H. N., & Nouren, S. (2018). Dyes adsorption using clay and modified clay: A review. Journal of Molecular Liquids, 256, 395-407. doi: 10.1016/j.molliq.2018.02.034
Kermani, B. G., Schiffman, S. S., & Nagle, H. T. (2005). Performance of the Levenberg–Marquardt neural network training method in electronic nose applications. Sensors and Actuators B: Chemical, 110(1), 13-22. doi: 10.1016/j.snb.2005.01.008
Khan, T., Binti A. M., T. S., Isa, M. H., Ghanim, A. J., Beddu, S., Jusoh, H.,… Jami, M. S. (2020). Modeling of Cu (II) Adsorption from an aqueous solution using an artificial neural network (ANN). Molecules, 25(14), 3263. doi: 10.3390/molecules25143263
Kumar, K. V., & Porkodi, K. (2009). Modelling the solid–liquid adsorption processes using artificial neural networks trained by pseudo second order kinetics. Chemical Engineering Journal, 148(1), 20-25. doi: 10.1016/j.cej.2008.07.026
Meek, S. T., Teich-McGoldrick, S. L., Perry, J. J., Greathouse, J. A., & Allendorf, M. D. (2012). Effects of polarizability on the adsorption of noble gases at low pressures in monohalogenated isoreticular metal–organic frameworks. The Journal of Physical Chemistry C, 116(37), 19765-19772. doi: 10.1021/jp303274m
Morse, G., Jones, R., Thibault, J., & Tezel, F. H. (2011). Neural network modelling of adsorption isotherms. Adsorption, 17(2), 303-309. doi: 10.1007/s10450-010-9287-1
Pauletto, P. S., Dotto, G. L., & Salau, N. P. (2020). Optimal artificial neural network design for simultaneous modeling of multicomponent adsorption. Journal of Molecular Liquids, 320(A), 114418. doi: 10.1016/j.molliq.2020.114418
Rad, L. R., & Anbia, M. (2021). Zeolite-based composites for the adsorption of toxic matters from water: A review. Journal of Environmental Chemical Engineering, 9(5), 106088. doi: 10.1016/j.jece.2021.106088
Rozylo, J. K., Malinowska, I., & Poniewaz, M. (1984). The influence of the specific surface area of adsorbent upon the optimization of the process of adsorption thin-layer chromatography. Journal of Liquid Chromatography, 7(14), 2697-2710. doi: 10.1080/01483918408067037
Shahryari, Z., Mohebbi, A., Soltani Goharrizi, A., & Forghani, A. A. (2013). Application of artificial neural networks for formulation and modeling of dye adsorption onto multiwalled carbon nanotubes. Research on Chemical Intermediates, 39(8), 3595- 3609. doi: 10.1007/s11164-012-0865-6
Sun, Y., Zhou, S., Pan, S. Y., Zhu, S., Yu, Y., & Zheng, H. (2020). Performance evaluation and optimization of flocculation process for removing heavy metal. Chemical Engineering Journal, 385, 123911. doi: 10.1016/j.cej.2019.123911
Tanzifi, M., Hosseini, S. H., Kiadehi, A. D., Olazar, M., Karimipour, K., Rezaiemehr, R., & Ali, I. (2017). Artificial neural network optimization for methyl orange adsorption onto polyaniline nano-adsorbent: kinetic, isotherm and thermodynamic studies. Journal of Molecular Liquids, 244, 189-200. doi: 10.1016/j.molliq.2017.08.122
Tanzifi, M., Yaraki, M. T., Kiadehi, A. D., Hosseini, S. H., Olazar, M., Bharti, A. K., … Kazemi, A. (2018). Adsorption of amido black 10B from aqueous solution using polyaniline/SiO2 nanocomposite: Experimental investigation and artificial neural network modeling. Journal of Colloid and Interface Science, 510, 246-261. doi: 10.1016/j.jcis.2017.09.055
Vardhan, K. H., Kumar, P. S., & Panda, R. C. (2019). A review on heavy metal pollution, toxicity and remedial measures: Current trends and future perspectives. Journal of Molecular Liquids, 290, 111197. doi: 10.1016/j.molliq.2019.111197
Yildiz, S. (2017). Artificial neural network (ANN) approach for modeling Zn (II) adsorption in batch process. Korean Journal of Chemical Engineering, 34(9), 2423-2434. doi: 10.1007/s11814-017-0157-3
Yunus, Z. M., Al-gheethi, A., Othman, N., Hamdan, R., & Ruslan, N. N. (2022). Advanced methods for activated carbon from agriculture wastes: A comprehensive review. International Journal of Environmental Analytical Chemistry, 102(1), 134-158. doi: 10.1080/03067319.2020.1717477
Zaimee, M. Z. A., Sarjadi, M. S., & Rahman, M. L. (2021). Heavy metals removal from water by efficient adsorbents. Water, 13(19), 2659. doi: 10.3390/w13192659
Notas de autor
norma.rv@aguascalientes.tecnm.mx