CIENCIAS NATURALES
Cambio de uso de suelo asociado al manejo forestal sustentable en áreas de conservación: Caso Nevado de Toluca
Land use change associated with sustainable forest management in conservation areas: Nevado de Toluca case
Cambio de uso de suelo asociado al manejo forestal sustentable en áreas de conservación: Caso Nevado de Toluca
Investigación y Ciencia, vol. 32, núm. 92, pp. 1-16, 2024
Universidad Autónoma de Aguascalientes
Recepción: 28 Junio 2023
Aprobación: 21 Febrero 2024
Publicación: 31 Mayo 2024
Resumen: El propósito de este estudio fue evaluar el estado de conservación de las áreas con cobertura forestal en el Área de Protección de Flora y Fauna Nevado de Toluca. Se determinó el cambio de uso de suelo mediante imágenes Landsat procesadas en Google Earth Engine (2003-2023). Se generaron seis usos de suelo: hielo/arenales, agricultura, pastizal, bosque abierto, bosque cerrado y cuerpo de agua (2003, 2013 y 2023). Los bosques abiertos y cerrados al año 2023 ocupaban más de 79.0%. La mayor parte de los cambios fueron positivos para el área arbolada, donde la mayor tasa de cambio anual positiva corresponde al bosque cerrado (2.0%) y la negativa al pastizal (-5.5%). Esto sostiene la afirmación de que la implementación de los planes de manejo puede contribuir a la mejora de la conservación de las áreas bajo protección.
Palabras clave: área natural protegida, Landsat, Toluca, Google Earth Engine.
Abstract: The purpose of this study was to evaluate the conservation status of forested areas in the Nevado de Toluca Flora and Fauna Protection Area. The change in land use was determined using processed Landsat images in Google Earth Engine from 2003 to 2023. Six land uses were identified: ice/sand, agriculture, grassland, open forest, closed forest, and bodies of water (in 2003, 2013 and 2023). As of 2023, open and closed forests occupied more than 79.0% of the area. Most of the changes were positive for the wooded area, with the highest positive annual change rate corresponding to the closed forest (2.0%) and the negative to the grassland (-5.5%). This supports the claim that the implementation of management plans can contribute to the improvement of conservation in protected areas.
Keywords: protected natural area, Landsat, Toluca, Google Earth Engine.
INTRODUCCIÓN
Las superficies forestales bajo conservación son áreas que desempeñan un papel indispensable por los múltiples servicios ecosistémicos que ofrecen, que generan beneficios al contribuir al bienestar social, económico y ambiental a largo plazo (García-Gil et al., 2020). De acuerdo con el Artículo 44 de la Ley General del Equilibrio Ecológico y la Protección al Ambiente (LGEEPA), las áreas naturales protegidas (ANP) son zonas en las que las condiciones del ambiente son las originales, y no han sido significativamente alteradas por la actividad del ser humano; por lo que sus ecosistemas y funciones integrales requieren ser preservadas y restauradas.
En México se ha observado un acelerado deterioro de las ANP, que se ha incrementado con el paso del tiempo debido a múltiples causas. Una de las principales es el cambio de uso de suelo que se ha dado en los últimos años; debido a la expansión de las zonas urbanas y la degradación de la superficie debido a actividades agropecuarias, deforestación, incendios forestales, tala ilegal, creación de asentamientos humanos regulares e irregulares, escasa participación social en las acciones de conservación, entre otras (David et al., 2021), razón por la cual la conservación es necesaria; pero no ha sido suficiente, por lo que se vuelve indispensable ejecutar programas de manejo dentro de las ANP decretadas, con el fin de identificar los impactos y amenazas que puedan influir en el funcionamiento de estas áreas.
De acuerdo con la Secretaría de Medio Ambiente y Recursos Naturales (2023) México actualmente cuenta con 203 ANP en 91.6 millones de hectáreas y 395 áreas destinadas a la conservación, que abarcan una superficie aproximada de 701,760 ha. Sin embargo, no todas las ANP del país cuentan con permisos de aprovechamiento de los recursos mediante planes de manejo. En el Estado de México, de un total de 90 ANP según la Comisión Estatal de Parques Naturales y de la Fauna (CEPANAF, 2023) sólo seis cuentan con un programa de manejo: el APFF Nevado de Toluca, el Parque Nacional Iztaccíhuatl-Popocatépetl, la Reserva de la Biósfera Mariposa Monarca, el Parque Nacional Lagunas de Zempoala, el Área de Protección de Recursos Naturales cuencas de los ríos Valle de Bravo, Malacatepec, Tilostoc y Temascaltepec y el APFF Ciénegas de Lerma.
El Área de Protección de Flora y Fauna (APFF) Nevado de Toluca fue creada el 25 de enero de 1936, con una superficie de 53,590 ha (Secretaría de Medio Ambiente y Recursos Naturales, 2023). Esta área de protección cambia su categoría de parque nacional a la de APFF el 1 de octubre de 2013. Desde la modificación de la categoría se han implementado programas de manejo forestal maderable en la región. Actualmente se cuenta con 34 predios autorizados, abarcando una superficie total aprovechable de 20,844.68 ha y un volumen global de 1,210,322.32 metros cúbicos. De estos predios, cinco son comunidades y el resto son ejidos.
Destacan entre ellos el Ejido Santa María Del Monte Ampliación, el Ejido San Antonio De Los Albarranes, el Ejido Las Lágrimas, el Ejido San Francisco Tlalcilalcalpan Ampliación y el Ejido San Miguel Oxtotilpan; caracterizados por presentar los mayores volúmenes de aprovechamiento. Estos terrenos se distribuyen en nueve municipios del Estado de México, como Temascaltepec, Zinacantepec, Amanalco; entre otros. La implementación de planes de manejo en la zona inició en 2015, extendiéndose hasta 2021 con la última implementación registrada. Es relevante destacar que el Método Mexicano de Ordenación de Bosques Irregulares (MMOBI) ha sido la metodología de ordenación adoptada en todos los predios, como lo estipula la CONAFOR (Comisión Nacional Forestal, 2023).
Actualmente se tiene acceso a un acervo importante de recursos informáticos ligados a datos espaciales basados en imágenes satelitales, y con el desarrollo de sistemas de información geográfica se ha promovido la generación de programas computacionales para explicar los patrones observados de los cambios en las coberturas de suelo, tanto temporales como espaciales. A partir de los mapas de uso de suelo y vegetación se pueden identificar, cuantificar y analizar los procesos de cambio que ocurren en las diversas coberturas vegetales y usos del suelo de un espacio geográfico en un tiempo específico.
En el sitio APFF Nevado de Toluca es posible realizar evaluaciones a través de los sistemas de información geográfica, de la efectividad de los programas de manejo forestal como instrumentos mejoradores de las áreas forestales, a través de los cambios de uso de suelo percibidos; dado que su cambio de categoría lo permite; por lo que el objetivo de la presente investigación fue diagnosticar el estado de conservación de las áreas con cobertura forestal en la APFF Nevado de Toluca a partir de la apertura al manejo forestal - consiste en realizar de manera integrada acciones de ordenación, cultivo, protección de la biodiversidad y restauración de los ecosistemas (Comisión Nacional Forestal, 2023)-, mediante el análisis del cambio de uso de suelo basado en imágenes de satélite y realizando una investigación documental descriptiva de los programas de manejo forestal con el fin de contribuir a las estrategias de conservación de los bosques. Dicho objetivo buscó comprobar la hipótesis de que los programas de manejo forestal en las ANP aumentan las coberturas vegetales arboladas.
MATERIALES Y MÉTODOS
Área de estudio
El APFF Nevado de Toluca abarca los municipios de Almoloya de Juárez, Amanalco de Becerra, Calimaya, Coatepec Harinas, Temascaltepec, Tenango del Valle, Toluca, Villa Guerrero, Villa Victoria y Zinacantepec, en el Estado de México. Forma parte del Sistema Volcánico Transmexicano y alcanza una altitud de 4,660 m s. n. m. Los tipos de climas presentes van desde los fríos hasta los semifríos húmedos con lluvias en verano (Canales et al., 2018). La vegetación principal comprende los bosques de pino y oyamel que cubren 66.0% de la superficie forestal, conformados principalmente por Pinus hartwegii Lindl. y Abies religiosa Kunth Schltdl. & Cham. Algunas otras especies encontradas son P. montezumae Lamb., P. pseudostrobus Lindl., Cupressus lusitanica Mill, Quercus laurina Humb et Bonpl. y Alnus jorullensis Humboldt, Bonpland & Kunth (Comisión Nacional de Áreas Naturales Protegidas, 2013).

Generación de mapas de uso de suelo y vegetación
El cambio de uso de suelo fue determinado a través de la plataforma Google Earth Engine (Gorelick et al., 2017) -plataforma basada en la nube para análisis geoespacial a escala planetaria que aplica las enormes capacidades computacionales de Google- mediante el procesamiento de imágenes Landsat 7, Landsat 8 y Landsat 9 para los años 2003, 2013 y 2023, respectivamente (U.S Geological Survey, 2003, 2013 y 2023). Se eligieron los años para este estudio teniendo en cuenta la modificación de la categoría de la APFF en 2013. El propósito fue recopilar datos de uso de suelo anteriores, durante y posteriores a la implementación del manejo forestal. Esta elección temporal se realizó con la finalidad de registrar y analizar los cambios en el uso del suelo a partir de la introducción de las prácticas de aprovechamiento forestal. Para la selección de imágenes fue necesario establecer un filtrado mediante la definición de la fecha de interés (1 de enero al 30 de abril de cada año), el porcentaje de nubosidad (10.0%) y el límite del área de estudio o Área de Protección de Flora y Fauna (APFF). Posteriormente se realizaron estimaciones de los índices espectrales NDVI, GNDVI y SAVI; que se incorporaron como bandas a la imagen a clasificar de acuerdo con lo recomendado por Leal Villamíl, Perea Ardila y López Carvajal (2020); Luo, Zhao, Wei y Fu (2015); Rujoiu-Mare y Mihai (2016); utilizando un total de nueve bandas, y se generaron los mapas de uso de suelo y vegetación (USV).

Se llevaron a cabo recorridos de campo con el fin de obtener datos correspondientes al año 2023, además de revisar las capas de uso de suelo y vegetación proporcionadas para los años 2003 y 2013 por el Instituto Nacional de Estadística y Geografía (INEGI, 2003, 2013). Esta revisión permitió definir seis clases de uso de suelo específicas para el APFF: hielo/arenales, agricultura, pastizal, bosque abierto, bosque cerrado y cuerpo de agua. En la categoría de bosque cerrado se incluyen aquellos con un dosel forestal denso; donde los árboles se encuentran próximos entre sí, formando una cobertura continua. En contraste, la categoría de bosque abierto se distingue por presentar un dosel más disperso, con árboles separados que permiten una mayor penetración de la luz solar hasta el suelo. Para llevar a cabo esta clasificación se adoptó el criterio establecido por Villavicencio Gorda, Santiago Pérez, Godínez Herrera, Chávez Anaya y Toledo González (2019), donde se considera una cobertura de copa mayor a 40% para bosque cerrado y menor a 40% para bosque abierto.
Se generaron campos de entrenamiento para cada clase mediante el trazo de polígonos y se elaboró una clasificación supervisada con el método de mínima distancia (Zhao, Thörnberg, Shi, & Hashemi, 2012) para obtener una imagen clasificada por cada año: 2003, 2013 y 2023. Se realizó un filtrado a la imagen de conjuntos de menos de 10 pixeles, eliminando así áreas menores a 9,000 m² y la capa final se convirtió a formato de vector (*.shp).
Validación de mapas
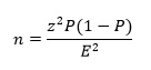
Mediante los recorridos de campo se validó el mapa de cobertura vegetal del año 2023, a través de un muestreo aleatorio simple sin considerar la superficie ocupada por cada uno de ellos, de acuerdo con la metodología propuesta por Olofsson et al. (2014):

donde P es la precisión general expresada como proporción, z es un percentil de la distribución normal estándar (z= 1,96 para un intervalo de confianza de 95%) y E es el ancho medio deseado del intervalo de confianza de P.
Así, considerando que se quiere estimar, con un nivel de confianza de 95%, el valor de Z es 1.96, con un margen de error (E) de 0.05% y una proporción inicial de cambios en el uso del suelo (P) de 0.2 (20%), basada en Maass, Regil García, González Esquivel y Nava Bernal (2006) el tamaño de muestra calculado es de 245.86. En este caso redondearíamos hacia arriba para obtener un tamaño de muestra entero y práctico. Por tanto, podríamos decidir que necesitamos una muestra de al menos 246 unidades para obtener una estimación de los cambios en el uso del suelo con un margen de error de 5% y un nivel de confianza de 95%. Sin embargo, se tomó la decisión de aumentar la muestra en 10 puntos adicionales. Esto se debió a que para la validación de los glaciares y cuerpo de agua se seleccionaron 40 y 16 puntos respectivamente, debido a las dificultades de acceso asociadas con estas áreas específicas. Como resultado, se decidió cerrar la muestra para los restantes usos de suelo (cuatro categorías) en 50 unidades cada uno, lo que llevó a un total de 256 puntos de muestreo.
Para la validación de los mapas 2003 y 2013 se utilizó la información disponible de la Serie III y V de USV (INEGI, 2003, 2013). Con esta información se conformaron matrices de confusión para cada uno de los mapas de USV. En esta matriz bidimensional las filas representan lo observado en campo y las columnas los valores obtenidos en la clasificación en gabinete. Los valores de la diagonal de la matriz indican los puntos que fueron correctamente clasificados; es decir, valores en los que existe correspondencia entre la imagen clasificada y los datos reales o de referencia (Camacho-Sanabria, Camacho-Sanabria, Balderas-Plata, & Sánchez-López, 2017; Maass et al., 2006). También se determinó la confiablidad del usuario y del productor. La confiabilidad del usuario se refiere a la probabilidad de que un sitio clasificado como A, aleatoriamente seleccionado, sea realmente A; por otro lado, la confiabilidad del productor refiere a la proporción de sitios seleccionados aleatoriamente de la clase A que están representados en el mapa (Mas, Reyes Díaz-Gallegos, & Pérez Vega, 2003).
Estimación de la tasa de cambio de uso de suelo
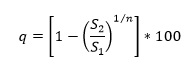
Se estimó el porcentaje de cambio de uso de suelo para cada periodo evaluado, usando la siguiente fórmula (FAO, 1996):

donde:
q = Tasa de cambio (%)
S1 = Superficie ocupada por la vegetación en la fecha 1
S2 = Superficie ocupada por la vegetación en la fecha 2
n = Número de años del periodo de análisis
RESULTADOS
Uso de suelo y vegetación
Se obtuvieron tres mapas de uso de suelo para el APFF correspondientes a los años 2003, 2013 y 2023; cada uno con seis categorías: hielo/arenales, agricultura, pastizal, bosque abierto, bosque cerrado y cuerpo de agua. La mayor parte de la superficie de APFF está ocupada por los bosques abiertos y cerrados, seguidos del pastizal, para los tres años evaluados. En 2003 el bosque abierto ocupaba 37.9% de la superficie total del área; mientras que el bosque cerrado 33.7%; para 2013 el bosque abierto disminuyó a 35.3% y el bosque cerrado aumentó a 35.8%; entre estos periodos el hielo/arenales tuvo una disminución importante, del 1.3% al 0.8%; mientras que la agricultura registró una ganancia en superficie de 8.7% al 10.6%; para el año 2023, el bosque abierto ocupa 35.8% de la superficie del área; el bosque cerrado el 44.0%; además de que entre el año 2013 y 2023 los pastizales registraron una disminución importante en su superficie, pasando de 17.5% a 9.0%.
Validación de mapas
Los indicadores de la precisión de las clasificaciones para los tres años evaluados son aceptables, ya que mediante la matriz de confusión se obtuvieron valores de 0.88, 0.84 y 0.84 de precisión general para los años 2003, 2013 y 2013, respectivamente. Para los años 2003 y 2013 la clase más confusa fue la de pastizal, con un valor de 67%. Las clases con las que presenta mayor confusión son las zonas de hielo/arenales y zonas agrícolas, esto debido a que se encuentran en los límites de transición entre las áreas bajas, en las que predominan áreas agrícolas y las zonas más altas del APPF donde se encuentran los arenales. Otra clase que presenta valores bajos de confiabilidad del usuario es la de bosque abierto en los años 2013 y 2023, confundiéndose principalmente con áreas de pastizal y bosque cerrado; que son áreas con las que comparte límites habitualmente.
Tasa de cambio de uso de suelo y vegetación
El bosque cerrado tuvo cambios positivos en los periodos evaluados; mientras que los pastizales y bosques abiertos presentaron valores negativos; es decir, que estos usos se convirtieron en zonas arboladas. Por otro lado, las partes bajas de la APFF son las que presentan mayor presencia de zonas agrícolas, mismas que tuvieron valores positivos para los periodos comprendidos desde 2013 hasta 2023 y desde 2003 hasta 2023.


Las clases que mostraron pérdidas significativas fueron las áreas con hielo/arenales, teniendo una tasa anual de -4.6%, la segunda más importante para el periodo comprendido desde 2003 hasta 2023, los pastizales presentaron una mayor tasa negativa. Después de la incorporación de los aprovechamientos forestales (2013-2023) se registraron pérdidas significativas en las áreas con pastizales y zonas agrícolas, y recuperaciones importantes en los bosques abiertos y cerrados; a diferencia del periodo comprendido desde 2003 hasta 2013, donde la agricultura mostró tasas positivas importantes; mientras que el bosque abierto mostró reducciones de superficies considerables.

Para el año 2023 los resultados sugieren que algunas áreas de pastizal se convirtieron en áreas agrícolas, pero también en bosques abiertos y cerrados. El bosque abierto presentó una tasa de cambio negativa en el periodo 2003-2023, cediendo lugar a aproximadamente 846 ha de pastizales, áreas agrícolas y arenales; sin embargo, un total de 6,551.78 ha pasaron de bosque abierto a bosque cerrado. El uso de suelo con la tasa de cambio positivo más alta fue el bosque cerrado, con una ganancia de 5,495.1 ha. El bosque cerrado también presentó pérdidas de superficies, la principal debido al cambio de bosque cerrado a bosque abierto en 1,839.45 ha. Mientras que el pastizal mostró un decremento de alrededor de 5,000 ha.

El mapa de perturbación-recuperación contempla como perturbación a las áreas que pasaron de alguna categoría de bosque a otros usos; mientras que la categoría de recuperación considera áreas que pasaron de otros usos no forestales a bosque. Es evidente que en el periodo se presenta una recuperación de áreas forestales, que principalmente fueron ocupadas en años anteriores por pastizales. Las zonas recuperadas del APFF representan 23.7% del total; mientras que las perturbadas 8.4%; el 67.9% restante permaneció sin cambios.


DISCUSIÓN
Cambios en el uso de suelo y vegetación
Debido a la recategorización de la zona de estudio de parque nacional a APFF en el Nevado de Toluca se empezaron a realizar algunas actividades productivas; como el aprovechamiento forestal que, si bien contempla la extracción de productos maderables de los bosques, también promueve la recuperación de áreas degradadas mediante acciones de reforestación y ejecución de obras de conservación de suelos (Comisión Nacional de Áreas Naturales Protegidas, 2013). De acuerdo con los resultados, el cambio de categoría del APFF y la incorporación de los planes de manejo forestal al área trajeron consigo cambios importantes en algunos usos de suelo; por ejemplo, aumentos en las áreas arboladas tanto de los bosques abiertos como de los bosques cerrados registrados a partir del año 2013. Existen evidencias reportadas donde se muestra que los aprovechamientos forestales ayudan a la conservación de las masas forestales, como el estudio realizado en los bosques templados de Durango, donde se concluye que mantienen la diversidad y mezcla de las especies (Silva-González et al., 2022).
Otro trabajo realizado en rodales mixtos en la Sierra Madre de Oaxaca documenta que los aprovechamientos forestales generan mayor densidad arbórea generada por la regeneración natural favorable, además de un sistema maduro en crecimiento (Ramírez Santiago et al., 2019). Los cambios positivos en las áreas arboladas del área de estudio también pueden explicarse debido al incremento de apoyos federales y estatales para recuperar áreas degradadas en la zona; esto mediante programas de reforestación y plantaciones forestales comerciales establecidas principalmente en las áreas de pastizales, lo cual concuerda con la reducción importante de la superficie en las zonas de pastizal de 17.5% a 9.0% en el periodo comprendido desde 2013 hasta 2023.
Nuestros resultados en cuanto a ganancia de superficie en áreas arboladas y la reducción de las zonas agrícolas coinciden con lo reportado en la dinámica de la cobertura de suelo en el Parque Nacional Cofre de Perote, Veracruz; donde se reflejan ganancias en la cobertura forestal de todo el parque debido a la efectividad del ejido en el manejo de recursos naturales (Pineda-López et al., 2017). Los resultados contrastan con los hallazgos en la comunidad de Progreso Hidalgo, Estado de México; donde se evidencian pérdidas en las áreas arboladas; aunque estas son mínimas (tasa anual de cambio de -0.006%) (Camacho-Sanabria et al., 2017). A pesar de ser una disminución leve, se interpreta como una señal de alerta sobre la reducción de la masa forestal en esa región. Más que atribuir las reducciones únicamente al aprovechamiento forestal, éstas se deben principalmente al incremento en la producción agrícola en invernaderos ubicados en la zona; siendo este fenómeno menos evidente en el APFF del Nevado de Toluca.
Es importante resaltar la considerable reducción de la superficie que corresponde a hielo/arenales de este estudio en todo el periodo evaluado (2003-2023); obtuvimos una tasa de cambio anual de -4.6%, mismo caso con los cuerpos de agua con una tasa anual de cambio de -1.3%. Una pequeña porción del uso de suelo hielo/arenales fue cubierto por el bosque abierto; esto refleja que las condiciones de temperatura a gradientes altitudinales más elevados han permitido a especies de pino migrar hacia ellos. Otra razón por la cual se dan estos cambios es por las fechas en las que se tomaron las imágenes Landsat y sus variaciones de temperatura de acuerdo con el mes.
Por otra parte, las ANP de la región central de la Sierra Madre Oriental de México han presentado un cambio de uso de suelo en 35,603 ha (42.6%) de su superficie de selvas, bosques y matorrales entre 1989 y 2005; donde las selvas fueron transformadas principalmente en pastizales; los bosques en tierras dedicadas a la agricultura y los matorrales en usos diversos, incluidos los desarrollos urbanos; según lo reportado por Sahagún-Sánchez y Reyes-Hernández (2018). Varios estudios (Pérez Hernández, Hernández Acosta, Sánchez Jiménez, González Gervacio, & Madrigal Reyes, 2021; Zarazua Rodríguez & Salgado Vega, 2021) sugieren la necesidad de elaborar un programa de manejo forestal particular de especies maderables y no maderables, que permitan realizar un aprovechamiento sustentable de los recursos forestales, ya sean zonas dentro o fuera de las ANP o implementar acciones que reviertan las tendencias de degradación mediante el fortalecimiento de capacidades institucionales y locales para el aprovechamiento sustentable de los recursos asociados a las cubiertas vegetales.
Los cambios en los usos de suelo dentro del APFF Nevado de Toluca desde 2013 se dieron principalmente de agricultura a bosque abierto y pastizal, de bosque abierto a bosque cerrado, de pastizal a bosque abierto y a agricultura, de cuerpo de agua a hielo/arenales y de hielo/arenales a pastizal. Estos cambios en su mayoría reflejan mejoras positivas en el sitio, además de que las mayores superficies conservadas son los bosques cerrados y los bosques abiertos. Aunque los cambios negativos fueron pocos también existen en el área, como por ejemplo, superficie de bosques; tanto abiertos como cerrados, que se convirtieron en zonas agrícolas o en pastizales, pero principalmente pastizales que fueron convertidos en zonas agrícolas. Estos cambios de un uso de la tierra a otro proporcionan información clave sobre los principales impulsores de las pérdidas y ganancias de hábitat. Estos resultados no se observan comúnmente en áreas protegidas de México, ya que la mayoría de ellas presenta cambios de uso de suelo abruptos; donde la mayor parte de las áreas arboladas son convertidas a zonas agrícolas y ganaderas, son afectadas por el crecimiento demográfico, la tala ilegal y los incendios forestales (Pérez Hernández et al., 2021; Sahagún-Sánchez & Reyes-Hernández, 2018).
Otros estudios han reportado que además de la conservación de las áreas arboladas, los aprovechamientos forestales también ayudan a mantener o aumentar el carbono almacenado dentro de los rodales forestales (Palacios-Cruz, De los Santos-Posadas, Ángeles-Pérez, Fierros-González, & Santiago-García, 2020), a conservar la densidad y estructura dentro del bosque (Silva-González et al., 2022), así como la densidad arbórea (Aguirre Cortés et al., 2020) y la conservación de fauna (Espinoza-Medinilla, Torres-Romero, & Tarango-Arámbula, 2018).
Validación de mapas
En la evaluación de la confiabilidad de los datos, los resultados derivados de la confiabilidad del usuario desempeñaron un papel crucial para asegurar la generación de valores fidedignos. Esto resulta especialmente significativo debido a la naturaleza a veces difusa de los insumos utilizados en cartografía, lo cual puede dificultar la obtención de una representación cartográfica completamente exenta de errores o ambigüedades (Mas et al., 2003). La confiabilidad de los mapas también se relaciona con los métodos usados para la generación de los cambios de uso de suelo. El enfoque más plausible es generar información sobre cada uno de los factores utilizando métodos de teledetección, análisis estándar basados en laboratorio, investigaciones de campo, depósitos de datos auxiliares y modelos geoespaciales que luego pueden integrarse en un entorno GIS para proporcionar una imagen de los cambios en los usos de suelo (Rashid et al., 2023). El uso de imágenes Landsat de alta resolución como las empleadas en este estudio permiten una mejor subdivisión de clases del uso de suelo y vegetación, proporcionando una comprensión más confiable de los procesos que tienen lugar en paisajes altamente dinámicos asociados a ecosistemas forestales en tendencias históricas del uso de la tierra (Cornejo-Denman et al., 2020).
Por otro lado, la plataforma de geomática en la nube de Google Earth Engine (GEE) es un recurso sumamente eficaz para aumentar la eficiencia del procesamiento de las imágenes Landsat, lo que permitió la adquisición de datos anuales de uso de la tierra para cumplir con los requisitos de precisión de manera oportuna, que además permite trabajar con grandes volúmenes de imágenes, controlando el porcentaje de nubes y el periodo de las imágenes (Yang & Song, 2023), sumando mayor confiabilidad a los resultados.
CONCLUSIONES
Los resultados presentados en la investigación muestran un panorama alentador, en cuanto a las mejoras en la cobertura vegetal arbolada a partir de la implementación de los programas de manejo forestal; por tanto, la hipótesis de que dichos programas aumentan las coberturas vegetales en estas áreas se acepta. Con el objetivo de la investigación cumplido, a continuación, se resumen los principales aportes encontrados.
La mayor parte de la superficie del APFF Nevado de Toluca al año 2023 está ocupada principalmente por bosques cerrados con 44.0%, seguidos de bosques abiertos 35.8%; mientras que la superficie de los hielo/arenales y cuerpo de agua ocupan la menor proporción de suelo con 0.7 y 0.03 %, respectivamente. Los cambios de uso de suelo en el APFF Nevado de Toluca en el periodo comprendido desde 2003 hasta 2023 evidencian de manera general mejoras importantes de acuerdo con las tasas de cambios reportadas. La diferenciación entre los periodos 2003-2013 y 2013-2023, que evidencia la incorporación de los planes de manejo forestal, son notables en cuanto a recuperación de bosques cerrados y bosques abiertos y la reducción de zonas agrícolas y pastizales.
El uso de herramientas modernas, como GGE, proporciona resultados confiables y permite mejorar el procesamiento de las imágenes de satélite de alta definición, como Landsat; que en México no han sido utilizadas ampliamente, por lo que se recomienda su uso para este tipo de investigaciones. La información obtenida es clave para valorar los procesos de transformación del uso del suelo y su relación con las poblaciones humanas, así como los intercambios entre sus interacciones.
La mayoría de las ANP no cuentan con un programa de manejo forestal, los resultados obtenidos sugieren que un plan adecuado es una alternativa viable para estructurar la conservación y los servicios ecosistémicos para las poblaciones cercanas; de igual manera de los derivados de manera indirecta, además de la reducción de incendios forestales, la pérdida de biodiversidad y la degradación ecológica de los sistemas naturales asociados. Sin embargo, el desarrollo de estos planes requiere de un soporte institucional adecuado y la valoración de sus limitaciones y alcances, de manera que no ocurran los procesos de degradación.
Agradecimientos
Se agradece al Conacyt por la beca otorgada en el programa de la Facultad de Ciencias Forestales de la Universidad Autónoma de Nuevo León como parte del financiamiento de este estudio. Asimismo, a los revisores anónimos cuyos comentarios ayudaron a mejorar el manuscrito.
Conflicto de intereses
Los autores declaran no tener conflicto de intereses relacionados con el estudio o la zona del estudio.
REFERENCIAS
Aguirre Cortés, E., Escalona Segura, G., Macario Mendoza, P. A., León Cortés, J. L., Sánchez Pérez, L. C., & Schmook, B. (2020). Timber forestry and tree diversity at Six Ejidos in Quintana Roo. Revista Mexicana de Ciencias Forestales, 11(60). https://doi.org/10.29298/rmcf.v11i60.701
Camacho-Sanabria, R., Camacho-Sanabria, J. M., Balderas-Plata, M. A., & Sánchez-López, M. (2017). Cambios de cobertura y uso de suelo: Estudio de caso en Progreso Hidalgo, Estado de México. Madera Bosques, 23(3), 39–60. https://doi.org/10.21829/myb.2017.2331516
Comisión Estatal de Parques Naturales y de la Fauna (CEPANAF). (2023). Áreas Naturales Protegidas [Página de Internet]. https://cepanaf.edomex.gob.mx/areas_naturales_protegidas
Comisión Nacional de Áreas Naturales Protegidas. (2013). Estudio Previo Justificativo Para La Modificación de La Declaratoria Del Parque Nacional Nevado de Toluca, Ubicada En El Estado de México, México (81 pp. más 4 anexos, 123 pp.). Autor.
Comisión Nacional Forestal. (29 de agosto de 2018). Aprovechar el bosque con equilibrio [Blog de la Comisión Nacional Forestal]. https://www.gob.mx/conafor/articulos/aprovechar-el-bosque-con-equilibrio
__________ (2023). Datos abiertos [Base de datos]. https://snif.cnf.gob.mx/datos-abiertos/
Cornejo-Denman, L., Romo-León, J. R., Hartfield, K., van Leeuwen, W. JD., Ponce-Campos, G. E., & Castellanos-Villegas, A. (2020). Landscape Dynamics in an Iconic Watershed of Northwestern Mexico: Vegetation Condition Insights Using Landsat and PlanetScope Data. Remote Sensign, 12(16), 2519. https://doi.org/10.3390/rs12162519
Espinoza-Medinilla, E. E., Torres-Romero, E. J., & Tarango-Arámbula, L. A. (2018). Additional records of wild mammals in the Forest Management Area: Los Ocotones, Chiapas, Mexico. Agrociencia, 52(4), 553–562.
Gorelick, N., Hancher, M., Dixon, M., Ilyushchenko, S., Thau, D., & Moore, R. (2017). Google Earth Engine: Planetary-Scale Geospatial Analysis for Everyone. Remote Sensing of Environment, 202, 18–27. https://doi.org/10.1016/j.rse.2017.06.031
INEGI (2003). "Uso de Suelo y Vegetación."
Leal Villamíl, J., Perea Ardila, M. A., & López Carvajal, J. (2020). Índices de vegetación para la clasificación de coberturas del terreno: Cuenca del Río Combeima, Colombia. Revista Geográfica Venezolana, 61(2), 396–411. https://doi.org/10.53766/RGV
Luo, X., Zhao, W., Wei, S., & Fu, Q. (2015). Study on Urban Remote Sensing Classification Based on Improved RBF Network and Normalized Difference Indexes. International Journal of Signal Processing, Image Processing and Pattern Recognition, 8(10), 257–270. https://doi.org/10.14257/ijsip.2015.8.10.27
Mas, J. F., Reyes Díaz-Gallegos, J., & Pérez Vega, A. (2003). Evaluación de la confiabilidad temática de mapas o de imágenes clasificadas?: Una revisión. Investigaciones Geográficas, 51, 53–72. https://doi.org/10.14350/rig.30414
Maass, S. F., Regil García, H. H., González Esquivel, C., & Nava Bernal, G. (2006). Cambio de uso del suelo y vegetación en El Parque Nacional Nevado de Toluca, México, en el periodo 1972-2000. Investigaciones Geograficas, 61(100), 38–50. https://doi.org/10.14350/rig.29996
Olofsson, P., Foody, G. M., Herold, M., Stehman, S. V., Woodcock, C. E., & Wulder, M. A. (2014). Good practices for estimating area and assessing accuracy of land change. Remote Sensing of Environment, 148, 42–57. https://doi.org/10.1016/j.rse.2014.02.015
Palacios-Cruz, D. J., De los Santos-Posadas, H. M., Ángeles-Pérez, G., Fierros-González, A. M., & Santiago-García, W. (2020). Sistema de crecimiento y rendimiento para evaluar sumideros de carbono en bosques de Pinus patula Schiede ex Schltdl. et Cham. bajo aprovechamiento forestal. Agrociencia, 54(2), 241–257.
Pérez Hernández, M. J., Hernández Acosta, E., Sánchez Jiménez, R., González Gervacio, C., & Madrigal Reyes, S. (2021). Dinámica de cambios de uso de suelo y vegetación por actividades antropogénicas en Zaachila, Oaxaca. Revista Mexicana de Ciencias Forestales, 12(66). https://doi.org/10.29298/rmcf.v12i66.894
Pineda-López, M. R., Ruelas Inzunza, E., Sánchez-Velásquez, L. R., Espinoza Guzmán, M. A., Rojo Alboreca, A., & Vásquez-Morales, S. G. (2017). Dinámica de uso y cobertura del suelo en un parque nacional mexicano. Madera y Bosques, 23(3), 87–99. https://doi.org/10.21829/myb.2017.2331492
Ramírez Santiago, R., Ángeles Pérez, G., Hernández de La Rosa, P., Cetina Alcalá, V. M., Plascencia Escalante, O., & Clark-Tapia, R. (2019). Efectos del aprovechamiento forestal en la estructura, diversidad y dinámica de rodales mixtos en la Sierra Juárez de Oaxaca, México. Madera y Bosques, 25(3). https://doi.org/10.21829/myb.2019.2531818
Rashid, I., Aneaus, S., Dar, S. A., Javed, O., Khanday, S. A., & Bhat, S. U. (2023). A Novel GIS-based multicriteria analysis approach for ascertaining the catchment-scale degradation of a himalayan wetland. Environmental Research, 229. https://doi.org/10.1016/j.envres.2023.115967
Rujoiu-Mare, M. R., & Mihai, B. A. (2016). Mapping land cover using Remote Sensing Data and GIS Techniques: A case study of Prahova Subcarpathians. Procedia Environmental Sciences, 32, 244–255. https://doi.org/10.1016/j.proenv.2016.03.029
Sahagún-Sánchez, F. J., & Reyes-Hernández, H. (2018). Impactos por cambio de uso de suelo en las áreas naturales protegidas de la región central de la Sierra Madre Oriental. Biología y Química, 12(2), 6–21. https://doi.org/10.29059/cienciauat.v12i2.831
Silva-González, E., Aguirre-Calderón, O. A., Alanís- Rodríguez, E., González-Tagle, M. A., Treviño-Garza, E. J., & Corral-Rivas, J. J. (2022). Evaluación del aprovechamiento forestal en la diversidad y estructura de un bosque templado en Durango. Revista Mexicana de Ciencias Forestales, 13(71). https://doi.org/10.29298/rmcf.v13i71.1017
U.S Geological Survey. (2003). LANDSAT DATA USERS HANDBOOK. Https://Www.Usgs.Gov/Media/Files/Landsat-8-Data-Users-Handbook.
Villavicencio Gorda, R., Santiago Pérez, A. L., Godínez Herrera, J. J., Chávez Anaya, J. M., & Toledo González, S. L. (2019). Efecto de la fragmentación sobre la regeneración natural en la Sierra De Quila, Jalisco. Revista Mexicana de Ciencias Forestales, 3(11), 9–24. https://doi.org/10.29298/rmcf.v3i11.514
Yang, D., & Song, W. (2023). Tracking land use trajectory to map abandoned farmland in mountainous area. Ecological Informatics, 75, 102103. https://doi.org/10.1016/j.ecoinf.2023.102103
Zarazua Rodríguez, A. D., & Salgado Vega, M. C. (2021). Estrategia sustentable en las áreas naturales protegidas del Estado de México para la adaptación al cambio climático frente al 2021. En S. E. Martínez Pellegrini, J. F. Sarmiento Franco, & M. C. Valles Aragón (Coords.), Aproximaciones teórico-metodológicas para el análisis territorial y el desarrollo regional sostenible (Vol. I). Universidad Nacional Autónoma de México-Instituto de Investigaciones Económicas y Asociación Mexicana de Ciencias para el Desarrollo Regional. http://ru.iiec.unam.mx/id/eprint/5421
Zhao, J., Thörnberg, B., Shi, Y., & Hashemi, A. (2012). Color Segmentation on FPGA Using Minimum Distance Classifier for Automatic Road Sign Detection. IST 2012 - 2012 IEEE International Conference on Imaging Systems and Techniques Proceedings (pp. 516–521). IEEE. https://doi.org/10.1109/IST.2012.6295528
Notas de autor
lgarciaca@uanl.edu.mx
Información adicional
redalyc-journal-id: 674