Artículos
MERCADO LABORAL Y SISTEMA DE PENSIONES: EVIDENCIA PARA CHILE
THE LABOR MARKET AND THE PENSION SYSTEM: EVIDENCE FROM CHILE
MERCADO LABORAL Y SISTEMA DE PENSIONES: EVIDENCIA PARA CHILE
Opera, núm. 32, pp. 141-162, 2023
Universidad Externado de Colombia
Recepción: 10 Marzo 2022
Recibido del documento revisado: 05 Mayo 2022
Aprobación: 03 Agosto 2022
Resumen: En el cambio de la política pública previsional de Chile llevado a cabo en 1980, que lo convirtió en el primer país con un sistema de pensiones privado, para la estimación de la tasa de reemplazo se utilizaron supuestos rígidos para evaluar el comportamiento del mercado laboral, los cuales se han mantenido pese a las reformas realizadas desde el año 2000. Esta investigación evidencia un desacople inmediato de la realidad laboral chilena de los supuestos iniciales, situación que afecta la capitalización de las cuentas individuales y la tasa de reemplazo de los trabajadores al acogerse a los programas de retiro. Adicionalmente, se estima un ciclo en el comportamiento del mercado laboral que comprende entre 8 a 10 años, parámetro que se puede usar para la revisión del sistema de pensiones y modificar las variables fundamentales con el fin de reflejar la realidad laboral chilena.
Palabras clave: Sistema de pensiones, mercado laboral, rentabilidad, tasa de reemplazo, políticas públicas.
Abstract: With the changes to public pension policy in Chile in 1980, it became the first country with a private pension system. Rigid assumptions were used to estimate the behavior of the labor market to estimate the replacement rate, and have been maintained despite the reforms carried out since 2000. This research shows an immediate decoupling of the realities of the Chilean labor market from the initial assumptions a, situation that affected the capitalization of individual accounts and the replacement rate of the workers who took advantage of retirement programs. Additionally, a cycle in the behavior of the labor market is estimated in 8 to 10 years. This information can be used to review the pension system and modify its fundamental variables in order to reflect the Chilean labor reality.
Key words: Pensions system, labor market, profitability, replacement rate, public policy.
INTRODUCCIÓN
El primer modelo de pensiones de Chile fue desarrollado con base en garantías específicas en la década de los veinte del siglo pasado (von Gendorff, 1984), siendo gestionado de manera descentralizada por el Estado a través de diversas cajas de previsión y departamentos de bienestar pertenecientes a empresas o asociaciones gremiales, cuya modalidad de afiliación de los trabajadores dependía del rubro económico en el cual desempeñaba. Al ser un mercado poco homogeneizado y sin reglamentaciones generales de prestaciones, los beneficios a los cuales podían acceder, tanto en su etapa activa como al momento de acogerse a retiro, eran disímiles, al igual que la tasa de cotización pagada por el trabajador, características que llevaron a tener un sistema de pensiones discriminador y regresivo (Medina et al., 2013; Büchi, 1993; Uthoff, 2001). Hacia fines de la década de los setenta, como consecuencia de la subcotización, el déficit presupuestario y la discriminación en los beneficios otorgados (von Gendorff, 1984), surgieron dificultades en la capitalización de estas instituciones, adquiriendo el Estado una función subsidiaria en el financiamiento del sistema, aunque sin una intervención directa en las instituciones previsionales.
En el año 1980, con la publicación del Decreto Ley 3500, Chile efectúa un cambio radical en su política pública previsional, reemplazando su sistema de pensiones de reparto por uno de capitalización individual, transformándose de esta forma en el primer país del mundo en contar con un sistema de pensiones de carácter privado. En la concepción del nuevo modelo previsional, las autoridades abordaron las desigualdades arbitrarias existentes en el antiguo sistema a través de tres ejes. El primero de ellos consistió en la eliminación de los privilegios y las diferencias entre los distintos sectores de la sociedad a través de la imposición de una edad de jubilación universal, que hasta la actualidad solo se encuentra diferenciada por sexo1, así como en las cotizaciones cobradas a los trabajadores. Como segundo eje, se traspasó del pago de la asignación familiar hacia los impuestos generales de la nación, disminuyendo la carga "impositiva" que mantenía la fuerza laboral. En la tercera línea, se separó el sistema de pensiones de vejez, invalidez y sobrevivencia del resto de las prestaciones, como es el caso de la salud, los accidentes del trabajo, los pagos de bienestar, la cuota mortuoria, entre otras.
El naciente sistema privado de pensiones chileno buscó que los trabajadores se hiciesen responsables activos de la previsión de ahorro durante la etapa laboral para enfrentar el sustento durante la vejez, traspasando de esta manera la responsabilidad del Estado a los privados, en concordancia con los planteamientos del modelo económico adoptado en el año 1974 por Chile2. En forma adicional, las autoridades intentaron que el monto acumulado en las cuentas de capitalización individual, y por ende la futura pensión, estuviese acorde a los ingresos que las personas hubieran generado a lo largo de su vida laboral, y que no dependiese de factores exógenos como el poder político u otras circunstancias ajenas al trabajador, de modo que este pudiese mantener el nivel de vida al momento de jubilarse, aplicando de esta manera la teoría del ingreso permanente del consumo desarrollada por Milton Friedman en el año 1957 (Büchi, 1993; Sach y Larraín, 1994; Froyen, 1995; Dornbusch etal, 2009).
Desde su puesta en marcha, el sistema de pensiones chileno ha tenido cambios regula-torios en donde destacan las reformas llevadas a cabo desde mediados de la década de los noventa, las cuales comenzaron a abordar la temática de la baja capitalización de las cuentas individuales y con ello las bajas pensiones de los afiliados. En esta línea, las leyes promulgadas estuvieron dirigidas a mejorar la rentabilidad de los fondos acumulados, así como la cobertura sobre aquellos estratos rezagados de la población.
Según la literatura internacional, los resultados por obtener en el sistema de previsión que adoptan los países está altamente ligado al comportamiento del mercado laboral y la evolución de la demografía nacional (Németh et al., 2019; Nicolae y Amalia, 2020), lo que, como producto de sus continuos cambios, ha derivado en presiones sobre los presupuestos fiscales y pérdidas de beneficios a los trabajadores, dejando en entredicho la sustentabilidad de los modelos de pensiones (Lee et al., 2016; Hernaes et al., 2016; De la Crox et al., 2013; Vásquez, 2013; Nacz y Domonkos, 2016; Kato y Cárdenas, 2013, Engels et al., 2017).
Para el caso de los resultados del modelo de pensiones chileno, en sus bases originales se estimó una tasa de reemplazo del 70% de la última remuneración, para ello se consideraron supuestos relativos al mercado laboral rígidos, los cuales no han sido considerados en las reformas aplicadas. Con base en estos antecedentes, la presente investigación tiene por finalidad determinar si las premisas establecidas en el diseño del modelo de pensiones de Chile en relación con el mercado laboral y la rentabilidad se han mantenido a través del tiempo. Para ello, el presente artículo abordará en su primer apartado las bases teóricas y financieras que llevaron a establecer el sistema de pensiones privado en Chile. En el segundo apartado se describirán las reformas al sistema que se llevaron a cabo a partir de mediados de la década de los noventa, así como sus efectos en las variables consideradas. En el tercer apartado se desarrollará la metodología de evaluación de las variables vinculadas al mercado laboral presentes en el sistema y la evolución que han presentado en el tiempo. En el cuarto apartado se exponen los resultados obtenidos de las estimaciones realizadas de las variables consideradas, así como su comparación frente
EL SISTEMA DE PENSIONES DE CHILE
El sistema de pensiones chileno, que entró en vigencia a comienzos de la década de los ochenta, se encuentra estructurado bajo un modelo privado de capitalización individual3, el cual es financiado por los aportes que realizan obligatoriamente los trabajadores a sus cuentas personales (Castiglioni, 2005), los que son administrados por una institución privada con dedicación exclusiva para tales fines denominadas, Administradora de Fondos de Pensiones (AFP). En contraste con el modelo de reparto imperante hasta ese entonces, las autoridades buscaban crear instituciones autónomas, ágiles, competitivas y eficientes, las cuales serían evaluadas tanto por los cotizantes en función de la capacidad profesional y de sus resultados, como por el Estado en relación con el cumplimiento de la normativa vigente. Fue bajo esta concepción de estructurar un nuevo mercado que respondiese de mejor manera a los cotizantes, que se separó el nuevo modelo del sistema financiero tradicional, compuesto principalmente por bancos, de uno relacionado exclusivamente para la generación de las pensiones de los ciudadanos como es el caso de las AFP (Piñera, 1991).
Comportamiento del mercado laboral.
1. Seguridad, control y transparencia
Como forma de establecer seguridades en la mantención de los fondos de los cotizantes, la legislación estableció la separación financiera entre el patrimonio de la Administradora de Fondos de Pensiones y las cuentas de capitalización individual de los afiliados. A través de esta medida, la autoridad buscó que las operaciones financieras propias de la empresa, así como sus recursos, estados financieros, obligaciones y manejos administrativos fuesen independiente de los dineros que son acumulados por los cotizantes, con esta normativa, si la AFP presenta problemas derivados de su mala gestión que la lleven a la insolvencia, el dinero acumulado por los trabajadores se mantiene resguardado y pueden ser traspasados a otra institución4.
Como segundo sistema de control se estableció una institucionalidad estatal que supervisa y regula el actuar tanto de las administradoras como la operatividad del mercado, denominada Superintendencia de Pensiones. Esta entidad estatal fue dotada con amplias facultades de fiscalización, control, ordenamiento y sanción de los agentes involucrados en la administración de los fondos de los cotizantes, teniendo incluso la posibilidad de cerrar instituciones que no cumplan con los requisitos establecidos en la legislación.
Como tercera forma de protección de los ahorros de los cotizantes, la normativa estableció criterios restrictivos para la inversión de los fondos de los cotizantes, limitando los instrumentos financieros en los cuales las AFP pueden invertir los recursos de los cotizantes, a fin de minimizar los riesgos de mercado que puedan afectar las pensiones de los cotizantes.
2. Mercado competitivo
A fin de generar las condiciones de un mercado eficiente y competitivo, las autoridades establecieron una entrada en vigencia del nuevo sistema desfasada de la promulgación de la legislación que lo regula, a fin de evitar que las nuevas instituciones tuviesen ventajas sobre sus competidores. Para ello, la autoridad reguladora entregó a cada uno de los agentes participantes la misma información y plazos de generación para la creación de sus estructuras operativas.
A través de esta modalidad de inicio de un nuevo mercado, el regulador trató de dar los incentivos necesarios para que la mayor cantidad de agentes posibles se interesasen por ingresar al mercado de las AFP, lo que teóricamente llevaría a que ninguna de las nuevas instituciones fuera dominante dentro del rubro, teniendo todas ellas que competir para lograr la captación de cotizantes, situación que posibilita una continua innovación, reducción en los costos de operación, precios por cobrar, profesionalismo en los servicios prestados (Miranda y Rodríguez, 2003), y mayores rentabilidades, situación que redundaría en una mayor acumulación de fondos y, por ende, mejores pensiones al momento de acogerse a los programas de retiro.
3. Acumulación de fondos personales y rentabilidad
Desde el punto de vista de la acumulación de fondos en las cuentas individuales, el modelo de pensiones cuenta con dos fuentes de financiamiento: la cotización y la rentabilidad.
Al ser un sistema privado de propiedad individual, su capitalización primaria es mediante el aporte obligatorio por parte de los trabajadores5, el cual se realiza cada mes y asciende a un 10% de la remuneración mensual6. Sin embargo, cuando el cotizante deja de tener una fuente laboral dependiente bajo la modalidad de un contrato de trabajo, los aportes al fondo se dejan de realizar, situación denominada como "laguna previsional".
La segunda fuente de acumulación de recursos es la rentabilidad por la inversión de los dineros acumulados, las cuales son realizadas en instrumentos financieros ofertados en el mercado formal regulado por el Estado (Piñera, 1991). Considerando la rentabilidad compuesta de los fondos acumulados, esta se convierte en la modalidad que más capital aporta a las cuentas individuales de los trabajadores.
Como forma de resguardar el capital acumulado por los trabajadores, y evitar la sobreexposición al riesgo de las inversiones realizadas, es que el regulador fijó parámetros de rendimiento y compensación por parte de las AFP, cobertura que minimizaba la posibilidad de que el afiliado presentase pérdida en sus fondos de pensiones7 o que la administradora tuviese conflictos de agencia.
4. Mercado laboral
El cuarto elemento considerado en el diseño original del modelo previsional fue la evolución del mercado laboral chileno. En este ámbito, las autoridades basaron la proyección en el comportamiento histórico de la fuerza laboral nacional, considerando parámetros fijos en desmedro de los dinámicos. De esta manera, se estableció el supuesto de que una persona daba inicio a su vida laboral activa de manera formal a los 15 años8, y considerando que el nuevo sistema fijó la edad de jubilación a los 65 años para los hombre y 60 para las mujeres, es que los trabajadores tenían una vida laboral teórica de 45 o 50 años. Sin embargo, el modelo contempló la posibilidad de que las personas tuviesen periodos de desempleo o lagunas previsionales, dejando como criterio base para el cálculo de estimación de la tasa de reemplazo al menos 40 años de cotizaciones en las cuentas de capitalización individual (Pi-ñera, 1991) y 50 años de permanencia en el sistema. En estos 10 años de diferencia entre las cotizaciones y la permanencia, los fondos de acumulados se encuentran afectos a la rentabilidad de las inversiones, por lo cual se continúa la capitalización de las cuentas individuales, lo que permite lograr la tasa de reemplazo estimada en un 70% de la última remuneración.
Por el lado de los salarios, el diseño original consideró como escenario normal que el trabajador enfrentaría una tasa de crecimiento anual del 2%, por lo cual, un operario que en el año 1980 iniciaba labores en una empresa con un sueldo mensual de 5.000 pesos chilenos, al término de su vida laboral contaría con una remuneración de 12.200 pesos mensuales. Bajo este supuesto estático se excluyó la posibilidad de movilidad laboral, crecimiento profesional, o un cambio en las habilidades de los trabajadores que les permitiera aumentar su remuneración en un porcentaje mayor en tiempos intermedios, lo que generó un descalce entre las primeras cotizaciones y las últimas, minimizando el efecto que tiene la rentabilidad de los fondos acumulados y su relación con la tasa de reemplazo. el trabajador tiene descuentos obligatorios mensuales por seguridad social.
REFORMAS AL MODELO DE PENSIONES DESDE EL AÑO 1990
Las primeras reformas sustantivas al modelo de pensiones chileno se comenzaron a llevar a cabo a mediados de la década de los noventa, cuyos ejes principales fueron el aumento en las tasas de cobertura y densidad de las cotizaciones, la rentabilidad de los fondos acumulados y un pilar solidario destinado a las personas de estratos bajos de la población a cargo del presupuesto fiscal.
En el desarrollo del primer eje se destaca la aprobación de las leyes que establece una cuenta individual de indemnización frente a la pérdida del trabajo, la que se encuentra vinculada a remuneración percibida por los trabajadores. Por otra parte, se estableció la imposibilidad por parte del empleador de despedir a un trabajador mientras se mantengan deudas o acreencias previsionales9. Con la promulgación de estas leyes, el ente regulador buscó aumentar la densidad de las cotizaciones a través de desincentivar la subcotización por parte de los trabajadores10.
De forma adicional, se aumentaron los requisitos para acceder a jubilaciones anticipadas a través de la modalidad de rentas vitalicias (Arenas, 2000; Vargas, 2018), teniendo como finalidad el aumento de densidad de las cotizaciones y un mayor efecto de la rentabilidad en la acumulación de fondos, aumentando en definitiva la pensión de los trabajadores.
Como forma de aumentar los fondos acumulados en las cuentas individuales, el regulador fortaleció el eje de rentabilidad. Para ello, en el año 2002 crea un sistema de multi-fondos en donde los cotizantes tienen la opción de elegir entre cinco portafolios de inversión11 con diferentes composiciones de instrumentos financieros de renta tanto variable como fija (tabla 1). Con esta medida se traspasa en forma parcial el manejo de la cartera de inversiones al trabajador, quien también asume el riesgo de las inversiones relativas a la cartera seleccionada (Berstein et al., 2006; Vargas, 2018), bajo los parámetros de compensación establecidos en la ley, los cuales, como se sostuvo con anterioridad, han sido flexibilizados con el tiempo.

En el año 2008 se llevó a cabo una reforma al sistema de pensiones bajo tres pilares: el Estado como garante de las pensiones de las personas que son parte del 60% más vulnerable con cargo al presupuesto fiscal, el cual fue denominado "Pilar solidario", en donde se consagró el derecho a toda persona mayor de 65 años al acceso a una pensión de vejez, sin el requisito de haber efectuado cotizaciones previsionales (Muñoz, 2007). El segundo pilar quedó constituido por el aporte obligatorio que hacen los trabajadores a sus cuentas de capitalización individual en las AFP, vigente desde el año 1980, con modificaciones tendentes a aumentar la cobertura a jóvenes, mujeres y trabajadores independientes a través de incentivos, transferencias directas o ahorro forzoso obligatorio a personas que prestan servicios laborales sin que medie un contrato de trabajo formal de dependencia, además del aumento de la competencia del sector de las AFP a través de la licitación de nuevos cotizantes. El tercer pilar de la reforma del año 2008 estuvo constituido por el fortalecimiento del ahorro previsional voluntario para la vejez, vigente desde la década de los ochenta, el cual permite a las personas cotizar de manera discrecional una parte de su dinero disponible con la finalidad de mejorar su pensión individual al momento de jubilarse, pilar que fue fortalecido a través de la entrega de beneficios tributarios y transferencias directas para quienes opten por esta modalidad de complementar las futuras pensiones (Arenas et al.; 2008, Vargas, 2018).
Pese a las medidas adoptadas por las autoridades desde el año 2000, las variables centrales del modelo de pensiones se mantuvieron sin ser modificadas, situación que siguió mermando la acumulación de fondos necesaria para el logro de la tasa de reemplazo propuesta de forma original. En este sentido, la masa de trabajadores afiliados al sistema (figura 1) muestra un número creciente de personas que son participantes, acercándose en el año 2019 a los 11 millones de personas afiliadas; sin embargo, los trabajadores que efectivamente presentan cotizaciones regulares dentro de sus cuentas individuales ascienden a una promedio de 51,5% de los afiliados entre 1986 y 2019. Pese a que las reformas llevadas a cabo entre los años 2000 (Q1) y 2008 (Q2) han tenido efectos en la mejora en el número de trabajadores que cotizan de forma regular, esta supera de forma marginal el 50% de la masa afiliada.

Al ver el comportamiento de la variación de las personas cotizantes del sistema (figura 2), en términos generales, esta se encuentra por debajo de la afiliación, situación que tiende a revertirse en algunos periodos tras la promulgación del primer grupo de reformas a partir del año 2000, como las del año 2008.

En el periodo posterior a las reformas, la tasa promedio de incorporación al sistema fue de un 3%, que si bien esta cifra se encuentra influida por la amplia tasa de cobertura sobre la población trabajadora que tiene el sistema, dada la obligatoriedad de incorporación, lo que sumado al 4% promedio de variación positiva que existe en el número de personas cotizan de forma regular, se tiene que las mejoras al sistema de pensiones no han sido tan efectivas. Incluso, al ser comparadas en comportamiento frente al crecimiento demográfico de la población (figura 3), la tendencia muestra que ambas variables han respondido a la demografía del país y no a las reformas llevadas a cabo.

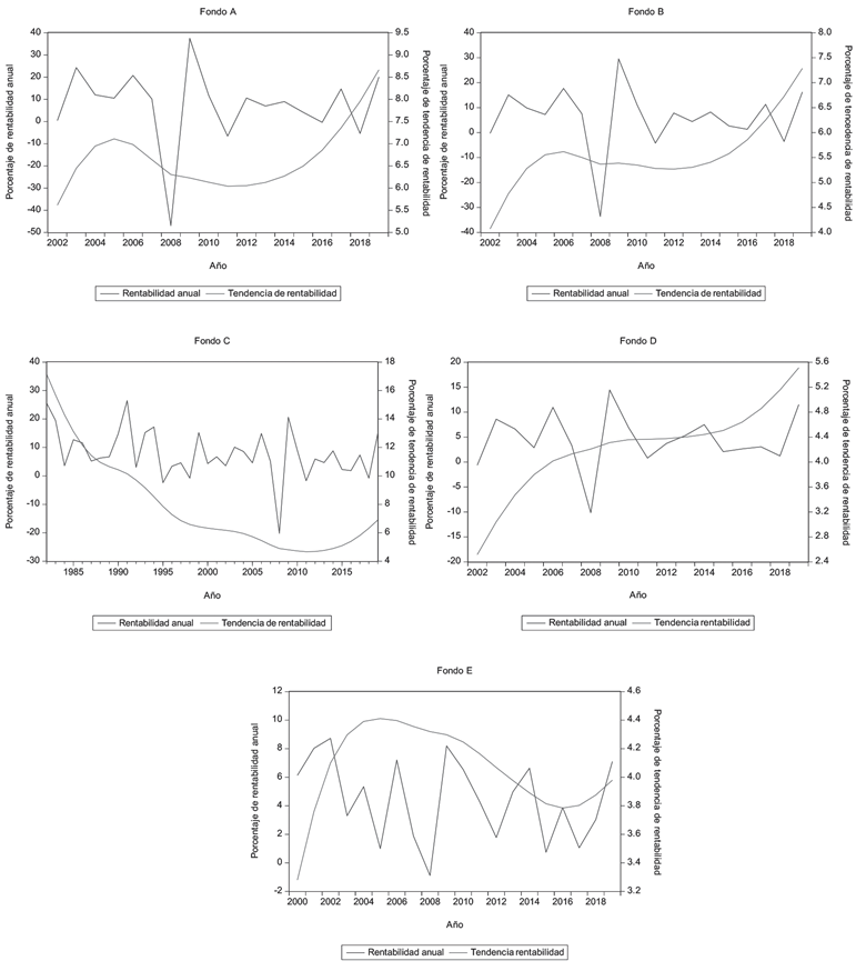
Por el lado de la rentabilidad real de los fondos de pensiones, las figuras 4, 5, 6, 7 y 8 muestran el comportamiento histórico de estas desde sus diferentes inicios a nivel anual y en tendencia12. Para el caso del fondo C, que es el que se ha mantenido desde el inicio del sistema individual de pensiones, muestra una constante caída, situación que tiende a revertirse a partir del año 2012, en donde presenta, al igual que los fondos A, B y D, un repunte de la rentabilidad posterior a las caídas registradas producto de la crisis subprime y de la deuda europea. Al promediar la rentabilidad del sistema, esta alcanza el 7,7% anual, que si bien se encuentra sobre el rendimiento teórico desarrollado originalmente, estas han presentado una alta volatilidad, con fuertes caídas producto de las dificultades económicas, lo que repercute en la acumulación total de fondos, dada la debilidad del pilar de rentabilidad compuesta.

Para el caso particular del fondo E, y dadas las condicionantes propias del mercado financiero, se ha evidenciado un proceso inverso a las carteras que tienen un grado de mayor exposición al riesgo, llegando incluso a bajar de los parámetros originales de rentabilidad estimados, situación que afecta directamente sobre el monto de capitalización total y las futuras pensiones de los afiliados.
En general, la revisión de los cambios legales llevados a cabo muestra que han estado enfocados en medidas tendentes a aumentar la capitalización de las cuentas individuales y la cobertura, situación que no ha tenido su correlato en las cifras agregadas y, por ende, en las pensiones actuales ni futuras de los trabajadores afiliados al sistema.
METODOLOGÍA
Como forma de comparar el comportamiento de las variables del mercado laboral chileno, así como la periodicidad en los cambios estructurales que se presentan a lo largo del tiempo, se desarrollarán dos líneas de análisis.
Por una parte, y teniendo como finalidad establecer el cumplimiento de los supuestos iniciales adoptados para el mercado laboral y la consecuente capitalización individual, se replicarán de forma teórica las variables consideradas en su formulación inicial, las cuales posteriormente serán contrastadas con los escenarios óptimos con base en la evolución real de estas variables.
Para la comparación de las variables, es necesario establecer la creación de series temporales con base en el comportamiento que estas han tenido en el tiempo. La primera de ellas corresponde al sueldo teórico (ST), que establece el comportamiento estimado de las remuneraciones según los supuestos iniciales del modelo, quedando establecida de la siguiente forma:

Donde: STt corresponde al sueldo teórico en el periodo t, mientras que STt es el sueldo teórico del periodo anterior, y w la tasa de crecimiento anual estimada para las remuneraciones en la formulación original del sistema de pensiones, la cual, para términos prácticos es mensualizada en su aplicación, a fin de establecer periodicidades compatibles con las siguientes variables.
La segunda variable de comparación considerada corresponde al sueldo promedio de la economía (SPE), determinada de la siguiente manera:

Donde: IR12;t es la variación mensualizada del Índice de Remuneraciones a 12 meses en el periodo t elaborado por el Instituto Nacional de Estadísticas de Chile y sistematizado por el Banco Central de Chile.
Como tercera variable considerada se encuentra la evolución del sueldo mínimo (SM) determinado de la siguiente manera:

Donde: zt corresponde al porcentaje de aumento del sueldo mínimo, el cual fue obtenido por medio de los distintos cuerpos legales que han regulado la materia a través del tiempo.
Como una forma de homologar las mediciones, todas las series comienzan con una base 100 en enero del año 1982.
Por el lado de las estimaciones de las capitalizaciones de las cuentas individuales, y, por ende, los fondos acumulados (FA) derivados de cada una de las series, se simularon las cotizaciones de manera mensual por cada tipo de sueldo, utilizando para la variable ST el rendimiento anual teórico mínimo en su versión mensual, mientras que para el resto de las variables se utilizó la rentabilidad real13 del fondo C, quedando establecida la estimación de la siguiente manera.

En donde: SXt corresponde al sueldo (teórico, promedio y mínimo) en el periodo t, y rt a la rentabilidad, que para el caso de la variable teórica es un 5% anual, la que es mensualizada para efectos de cálculos de las series, y la de mercado obtenida de manera mensual por el fondo C para los sueldos promedio y mínimo, la cual fue extraída del repositorio estadístico de la Superintendencia de Pensiones.
Para el caso de la variable edad promedio de inicio de cotizaciones (EPIC), al ser una caracterización demográfica del mercado laboral, esta se considera con base en su comportamiento a través del tiempo.
En la segunda etapa, y con el propósito de establecer periodos de cambios significativos en el comportamiento de las variables que caracterizan el mercado laboral, es que se aplicará el test de Bai-Perrón de quiebres estructurales, el cual detecta cambios en el comportamiento de las series evaluadas a través de un algoritmo que minimiza la suma global de los errores al cuadrado de un grupo de n regresiones como cambios estructurales se requieran, mezclando en la programación cambios puros y parciales en las series.
El análisis de los datos se llevará a cabo entre los meses de enero del año 1982 y noviembre de 2019, dejando una serie constituida en meses.
RESULTADOS
En la tabla 2 se muestran los estadísticos básicos de cada una de las variables sometidas a estudio en su promedio anual, las cuales son comparadas con el escenario normal teórico descrito en la literatura con el cual se llevaron a cabo las simulaciones. En términos generales, ninguna de ellas ha seguido el comportamiento estimado en la valoración inicial. Para el caso de la variable edad de inicio de cotizaciones, se evidencia un promedio de ingreso al mercado laboral formal de 25,4 años, situación que supera en 10,4 años al óptimo inicial, superando incluso este diferencial a los años de desempleo máximo que el trabajador puede tener a lo largo de su vida laboral. El índice de remuneraciones evidencia un incremento de las rentas que promedia el 11,3%, superando en más de 5 veces la media teórica, sin embargo, los mayores incrementos se experimentaron hasta el año 199614, en donde el promedio mensual se estabiliza en torno del 5,7%, pero sigue estando sobre el promedio estimado. Situación similar ha sucedido con la evolución del sueldo mínimo que rige en el país, el cual se ha incrementado a una tasa de 11,7%, aunque la mayor velocidad de crecimiento se presentó hasta el año 1991, en donde comienza a menguar el porcentaje de reajuste fijado por ley, acercándose entre los años 1992 a 2018 a un promedio de 8,4% de crecimiento anual.


Por el lado de la rentabilidad histórica de los fondos de pensiones, se denota una alta volatilidad, alcanzando un promedio de 7,7%, sin embargo, las mayores tasas de rendimiento se evidenciaron desde el inicio del sistema hasta la primera mitad de la década de los noventa, lo que se encuentra en estrecha relación con el rápido crecimiento del país en este periodo y la forma de estructuración de las carteras de inversión llevadas a cabo. Para el periodo comprendido entre 1995 a 2018, la rentabilidad promedia un 4,8%, ubicándola marginalmente por debajo del óptimo normal establecido en las modelaciones originales, situación que entrega nuevas presiones e in-certidumbre para el cumplimiento de las condiciones necesarias para la obtención de una tasa de reemplazo cercana al 70%.
En términos mensuales, las variaciones de los Sueldos Promedio de la Economía y Mínimo evidencian un alejamiento de su comportamiento teórico establecido en el diseño de la política de pensiones, superando en 27 veces el SM al ST en el último año de las series evaluadas y en 30,8 veces en el caso del SPE (figura 8).

Este comportamiento de las distintas remuneraciones a lo largo del tiempo impacta de forma directa en la acumulación de fondos de los cotizantes, situación que se muestra en la figura 9 , en donde la mayor densidad de capitales individuales se encuentra en aquellos trabajadores que han mostrado crecimiento en sus remuneraciones en función del promedio de la economía, acumulación de fondos que disminuye para el caso de aquellos trabajadores que han sido empleados bajo el sueldo mínimo a lo largo de su vida laboral, quedando relegada a un tercer lugar la acumulación teórica establecida en el modelo original.

Sin embargo, al establecer las proporciones de los fondos acumulados en función de las remuneraciones obtenidas por los trabajadores, se invierten las densidades anteriores. En la figura 10 se muestra una mayor densidad por parte de los cálculos teóricos realizados, los que al último mes analizado (noviembre 2019) alcanzan las 85,9 veces el ST; en cambio, los SM y SPE alcanzan las 16,5 y 35,1 veces el último sueldo analizado. Lo que en términos de tasa de reemplazo, transcurridos 455 meses de los 600 meses teóricos de permanencia en el sistema para los hombres y 540 para las mujeres, se traduce en una tasa de reemplazo de 39,8% para la medición teórica, 7,6% para las personas que hayan percibido el sueldo mínimo y un 16,3% para los sueldo promedio de la economía15.

Al aplicar el test de Bai-Perrón sobre la variable edad de inicio de cotizaciones, los resultados (tabla 4 y figura 11) dan cuenta de la presencia de 4 quiebres en el comportamiento de las series, dejando con ello 5 periodos de evolución. En el primero de ellos, que va desde enero del año 1982 a julio de 1987, en donde se evidencia una disminución rápida del promedio de edad de ingreso formal al mercado laboral, bajando de los 33 a los 26 años. Luego se atraviesa por una etapa que se extiende por 15 años (1987 a 2002) en la que se estabiliza la edad de ingreso al sistema de pensiones en torno a los 26 años. A partir del segundo quiebre en la serie, a agosto de 2008, se evidencia una tendencia bajista llegando incluso a mínimos de 17 años en algunos meses. En el cuarto periodo, que se inicia con el quiebre de 2008M08 y se extiende hasta 2014M04, los promedios de edad se estabilizan en torno a los 22 años, para finalmente, a partir del cuarto quiebre detectado, elevarse hasta alcanzar un promedio de 24 años hasta el final de la serie.

Fuente: elaboración propia con base en resultados del test Bai-Perrón.

* Todas las descomposiciones se realizaron a través del método de Hodrick-Prescott utilizando un lambda de 14.400, dado que las series corresponden a datos en frecuencia mensual.
Por el lado del crecimiento del sueldo promedio de la economía (tabla 5 y figura 12), los resultados del test Bai-Perrón muestran cinco fases del comportamiento de los incrementos de los sueldos. En la primera de ellas, que va desde el inicio de la serie hasta octubre de 1991, se evidencia un incremento acelerado de las remuneraciones, promediando un aumento de 20,9% a 12 meses. Para el segundo periodo se pasa de un aumento de 15,9% entre noviembre de 1991 y junio de 1997. Entre julio del año 1997 y agosto de 2003, la velocidad de aumento de las remuneraciones disminuye en menor proporción al periodo anterior, terminando en un 5,7%. En el cuarto periodo el crecimiento de las remuneraciones sube a un 5,9%, mientras que en la quinta etapa del comportamiento del crecimiento de los salarios en Chile se evidencia una estabilización, promediando hasta el final del periodo el 5,5% de incremento a 12 meses.


Al aplicar el test sobre la variable sueldo mínimo, los resultados obtenidos muestran quiebres en el comportamiento de las series en periodos similares, como se observa en la tabla 6 y figura 13, hitos que se encuentran vinculados a cambios en la velocidad de crecimiento, situación propia de la forma en que se lleva a cabo el reajuste del salario mínimo en Chile16. En este sentido, en el periodo comprendido entre el inicio de la serie y el primer quiebre (1989M02), se observan cambios altos y abruptos, alcanzando una máxima de 44%, para luego disminuir de forma sistemática hasta el segundo quiebre detectado en el mes de junio del año 1995, periodo en donde se inicia una fase se estabilización de los incrementos en torno al 8,5%. En el tercer quiebre (2007M7) se evidencia un cambio en el nivel del porcentaje de incremento del sueldo mínimo, alcanzando un promedio cercano al 6%. A partir del cuarto quiebre (2013M08) hasta final de la serie, la media vuelve a disminuir, acercándose en algunos periodos al 3% de incremento.


CONCLUSIONES
Las estimaciones iniciales que fueron la base para el diseño del sistema de pensiones fueron realizadas con base en una serie de supuestos relacionados con el comportamiento del mercado laboral, los cuales tenían como punto denominador la evolución conservadora y el nulo dinamismo de la movilidad de la mano de obra. Con posterioridad, y como consecuencia de las bajas pensiones de los afiliados al sistema, se llevaron a cabo una serie de reformas que tuvieron su centro en aspectos de rentabilidad de los fondos individuales, densidad de las cotizaciones y de cobertura de grupos excluidos, dejando a un lado la evolución del mercado laboral y su vinculación con los supuestos basales bajo los cuales fue diseñado el sistema de capitalización individual.
Sin embargo, a través de una descripción estadística y la réplica de la proyección de estos supuestos, sumado al contraste con la dinámica real que presentaron las variables, se determinó que ninguno de los supuestos utilizados se ha cumplido. Para el caso de la edad de ingreso al mercado laboral, siempre ha estado sobre lo determinado en el escenario inicial básico de 15 años, llegando incluso en los años más recientes a superar los 25 años, sin dejar la oportunidad a los cotizantes de enfrentar aquellos periodos de desempleo contemplados en el diseño original, dejando la densidad de cotizaciones por debajo de los 480 meses mínimos establecidos, y los 600 meses de permanencia necesarios para que el sistema permita la tasa de reemplazo teórica de un 70% de la última remuneración.
Por el lado de la evolución de los sueldos, estos han experimentado un incremento que en momentos llegó a superar en casi 15 veces las expectativas, situación que trae como consecuencia un descalce entre las remuneraciones y cotizaciones intertemporales, restando protagonismo a los primeros años de vida laboral en donde se presentan los sueldos más bajos y menores cotizaciones, lo que no alcanza a ser compensado por el rendimiento financiero que tienen los fondos de pensiones, llevando en consecuencia a una menor acumulación de fondos en las cuentas individuales. No obstante, el comportamiento de las últimas décadas da cuenta de una estabilización en la tasa de crecimiento de las remuneraciones, lo que ha tendido a equilibrar este desbalance para las nuevas generaciones; sin embargo, el descalce de las cotizaciones y remuneraciones intertemporales no se elimina, dado que su tasa de crecimiento anual sigue duplicando e incluso triplicando el estimado de forma original en el modelo de pensiones.
En términos de cambios en el comportamiento de las variables, se detectaron cuatro quiebres en cada una de las series principales, cuyas temporalidades se encuentran próximas a sucesos políticos de relevancia para el país, como fue el proceso de retorno a la democracia, así como las crisis económicas que afectaron a Chile. Estos quiebres en el comportamiento de las series dan cuenta de un cambio en las características del mercado laboral, lapso que se encuentra entre los 8 a 10 años dependiendo de la variable y tiempo considerado.
Finalmente, se determina que las dificultades del sistema de pensiones radican en el desacople existente entre los supuestos iniciales relacionados en este caso con el mercado laboral, con los cuales fue diseñado el modelo, y la evolución real que presentó el mercado en este tiempo. En este sentido, la nula revisión de las variables fundamentales del sistema y la consecuente aplicación de medidas de corrección por parte de las autoridades que lleven nuevamente a vincular el comportamiento del mercado laboral al funcionamiento del sistema de pensiones, derivan en una menor densidad de cotizaciones y de acumulación de fondos en las cuentas de capitalización individual de los trabajadores, situación que termina afectando la tasa de reemplazo del 70% planteada de forma original en el modelo. Con estos resultados, se recomienda una revisión periódica del sistema de pensiones con base en la periodicidad de cambio determinada en la investigación, de modo de realizar los ajustes necesarios tendentes a equiparar sus parámetros basales a la realidad del mercado laboral, que es de donde obtiene el trabajador los recursos para llevar a cabo sus capitalizaciones.
REFERENCIAS
Arenas, A. (2000). Cobertura previsional en Chile: Lecciones y desafíos del sistema de pensiones administrado por el sector privado. Serie financiamiento del desarrollo 105. Cepal.
Arenas, A., Benavides, P., González, L. y Castillo, J. (2008). La reforma previsional chilena: proyecciones fiscales 2009-2025. Estudios de finanzas públicas. Gobierno de Chile.
Astudillo, A. (2017). Flujos de inversión directa, fortalecimiento democrático y coyuntura política: el caso de Chile. México y la Cuenca del Pacífico, 20(61), 37-63. https://doi.org/10.32870/mycp.v6i18.555
Astudillo, A. y Guerreo, D. (2016). Especialización económica y crecimiento empobrecido. Trilogía, 28(39), 96-112.
Berstein, S., Larraín, G., Pino, F. y Morón, E. (2006). Chilean Pension Reform: Coverage Facts and Policy Alternatives. Economía, 6(2), 227-279.
Büchi, H. (1993). La transformación económica de Chile: Del estatismo a la libertad económica. Editorial Norma.
Castiglioni, R. (2005). Reforma de pensiones en América Latina: orígenes y estrategias, 1980-2002. Revista de Ciencia Política, 25(2), 173-189. http://dx.doi.org/10.4067/S0718-090X2005000200009
De la Croix, D., Pierrard, O. y Sneessens, H. (2013). Aging and pensions in general equilibrium: Labor market imperfections matter. Journal of Economic, Dinamics & Control, 37, 104-124. https://doi.org/10.1016/j.jedc.2012.06.011
Dornbusch, R., Fischer, S. y Startz, R. (2009). Macro-economía (10 ed.). McGraw Hill.
Engels, B., Geyer, J. y Haan, P. (2017). Pension incentives and early retirement. Labor Economics, 47, 216-231. https://doi.org/10.1016/j.labe-co.2017.05.006
Froyen, R. (1995). Macroeconomía: teorías y políticas (4 ed.). McGraw Hill.
Hernaes, E., Markussen, S., Piggott, J. y Roed, K. (2016). Pension reform and labor supply. Journal of Public Economics, 142, 39-55. https://doi.org/10.1016/j.jpubeco.2016.08.009
Kato, E. y Cárdenas, C. (2013). Instituciones, transición demográfica y riesgos del sistema de pensiones. Norteamérica, 8(2), 105-126.
Larraín, F. (2012). El sistema privado de pensiones en Chile y sus resguardos constitucionales. Revista Chilena de Derecho, 39(2), 541-551.
Lee, S., Ogawa, N. y Matsukura, R. (2016). Japa's pension reform, labor market responses, and saving. The journal of the Economics of Ageing, 8, 67-75. https://doi.org/10.1016/j.jeoa.2016.03.007
Medina, A., Gallegos, C., Vivallo, C. y Cea, Y. (2013). Efecto sobre la rentabilidad que tiene para el afiliado la comisión cobrada por las administradoras de fondos de pensiones. Journal of Economics, Finance and Administrative Science, 18(34), 24-33.
Miranda, E. y Rodríguez, E. (2003). Examen crítico del sistema de AFP. Mitos y realidades. Editorial Universitaria.
Muñoz, O. (2007). El modelo económico de la concertación 1990-2005: ¿Reformas o cambio? Catatonia.
Nacz, M. y Domonkos, S. (2016). The financial crisis and verieties of pension privatization reversals in Eastern Europe. Governance, 29(2), 167-184. http://doi.org/10.1111/gove.12159.
Németh, A., Németh, P. y Vékas, P. (2019). Demographics, Labor Market and Pension Sustainability in Hungary. Society and Economy, 42(2), 146-171. https://doi.org/10.1556/204.2019.015
Nicolae, B. y Amalia, J. (2020). Study regarding the effects of demographic transition on labor market and public pension system in central and eastern Europe. Studies in Bussiness and Economics, 15(1), 158-170. https://doi.org/10.2478/sbe-2020-0013
Piñera, J. (1991).El cascabel al gato. La batalla por la Reforma Previsional. Zig Zag.
Rivera, J., García, M., Steenbeek, O. y van der Lecq, F. (2018). National cultura and the configuration of public pensions. Journal of comparative economics, 46(2), 457-479. https://doi.org/10.1016/j.jce.2017.05.001
Sach, J. y Larraín, F. (1994). Macroecomía en la economía global. Prentice Hall.
Uthoff, A. (2001). La reforma del sistema de pensiones en Chile: desafíos pendientes. Serie financiamiento del desarrollo 122. Cepal.
Vargas, L. (2018). Reformas del sistema de pensiones en Chile (1952-2008). Serie políticas sociales 229. Cepal.
Vásquez, P. (2013). Nueva seguridad social y la crisis de las pensiones. Economía UNAM, 10(28), 95-101.
Von Gersdorff, H. (1984). El sistema previsional chileno durante los últimos 10 años. Estudios de Economía, 22, 87-116.
Notas