Artículos
Recepción: 03 Enero 2023
Recibido del documento revisado: 07 Marzo 2023
Aprobación: 09 Marzo 2023
DOI: https://doi.org/10.18601/16578651.n33.06
Resumen: El desarrollo de las instituciones para enfrentar los desastres está marcado por el acaecimiento previo de algún tipo de desastre de gran magnitud, que pone de presente su insuficiencia. La forma en que el Estado actúa frente a los desastres se ha transformado desde la simple atención de emergencias a través del despliegue de poderes extraordinarios, hasta la gestión integral del riesgo en aplicación de los principios de precaución y de eficacia. Este texto busca entender, desde el derecho administrativo, los factores que han motivado este cambio en la relación del Estado con los desastres, comprendiendo así la evolución, la actualidad y los desafíos de la función administrativa de gestión del riesgo de desastres en Colombia.
Palabras clave: Gestión del riesgo, precaución, necesidad, eficacia, función administrativa.
Abstract: The development of institutions to deal with disasters is marked by the previous occurrence of some type of major event that highlights their inadequacy. The development of the means by which the State responds to disasters, from emergency attention through extraordinary powers to a true integral proactive risk management, shows how this relationship is constantly evolving. This text seeks to understand the factors that have generated this change in the relationship of the State with disasters, and thus, understand the evolution of disaster risk management and its current condition as an administrative function in Colombia.
Key words: Disaster risk management, caution, necessity, efficacy, administrative function.
INTRODUCCIÓN
Una lección importante que dejó la tragedia de Armero y que parece la aprendió el país, tuvo que ver con el hecho de que despertó la conciencia sobre la necesidad de legislar sobre esta materia y sobre la importancia de prevenir. (Cruz et al, 2015, p. 150).
Los desastres han sido definidos de distintas maneras dependiendo del enfoque adoptado, sea este más centrado en sus efectos, en qué afecta o a quién (Perry, 2007). Desde una perspectiva amplia e interdisciplinar, estos se pueden caracterizar como eventos ocasionales que causan una seria disrupción en las condiciones normales de salubridad, seguridad y tranquilidad de una comunidad dada, generando reacciones de adaptación de los individuos a la nueva circunstancia y que presenta un peligro para las personas y los bienes sometidos a su alcance (Quarantelli, 1985).
Estos eventos han estado presentes a lo largo de toda la existencia del ser humano y han resultado determinantes en la historia, incluso, llegando a determinar la supervivencia de las civilizaciones (Schenk, 2017). Los procesos contemporáneos como la industrialización, la masificación de la innovación tecnología en todas las sociedades, la urbanización, la dependencia de activos estratégicos localizados en todas partes del mundo, los escenarios geoestratégicos complejos, las migraciones masivas, el terrorismo, el cambio climático, entre otros, han generado un incremento de las amenazas a que nos vemos sometidos todos los días (Shaw et al., 2010).
Desde el punto de vista de la vulnerabilidad, América Latina se encuentra entre las regiones con una mayor sensibilidad ante la ocurrencia de un desastre por cuenta de su debilidad institucional, poco desarrollo, falta de planeación y actuación administrativa estratégica, así como por la baja capacidad de respuesta de sus habitantes y del Estado ante este tipo de situaciones (Lavell, 2000). Debido a sus condiciones particulares de pobreza, desigualdad, conflictividad social, debilidad institucional y ubicación geográfica, Colombia es un país particularmente expuesto al riesgo de desastre frente a una variada gama de amenazas (Marulanda y Cardona, 2018). De ahí que resulte relevante conocer la forma en que el Estado ha evolucionado en su relación con estos eventos.
La forma como el Estado debe reaccionar frente al acaecimiento de los desastres o su potencial ocurrencia siempre ha sido uno de los principales desafíos para el derecho público, habida cuenta de la imprevisibilidad, magnitud y potencial afectación que un evento de esta clase puede ocasionar en la seguridad, tranquilidad y salubridad de los habitantes. Sin duda, se trata de situaciones que a todas luces resultan extraordinarias, de gran magnitud, y comprometen el funcionamiento y la legitimidad institucionales (Rabin, 1978; Wiesner, 1991; Cisterna et al., 2022).
De esa manera, surge la necesidad de establecer un marco institucional que permita otorgar competencias y recursos a las autoridades públicas para que, mediante su actividad material y normativa, puedan hacer frente a los desastres generadores de estrés institucional y causantes de necesidades especiales frente al accionar público. Sin embargo, el carácter complejo y extraordinario de estos fenómenos, la preocupación por la concentración del poder en momentos de crisis, así como la ausencia de medios materiales y jurídicos suficientes determinan la eficacia de esta actividad, la cual ha estado determinada en su evolución por distintas aproximaciones.
La forma en que el Estado actúa frente a los desastres ha transitado por diferentes estadios, los cuales van desde la atención de emergencias a través del derecho constitucional de excepción guiado por el principio de necesidad, hasta la consolidación de instituciones de derecho administrativo de policía guiadas por los principios de proactividad y la eficacia hacia una gestión integral del riesgo de desastres.
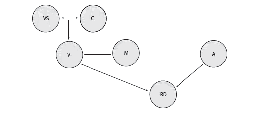
De acuerdo con Wiesner et al. (2012) y Chen et al. (2010), el riesgo de desastres (RD) podría ser definido de manera sencilla como el producto entre el nivel de amenaza existente, por un lado (A), y el resultado de las condiciones de vulnerabilidad o vulnerabilidad social (VS) entre las capacidades individuales de respuesta al desastre (C) y el nivel de mitigación, (M) por el otro.
El primer elemento corresponde a la exposición de la comunidad analizada a amenazas de origen natural o antrópico por el nivel de probabilidad de que la misma acaezca. Del otro lado de la ecuación encontramos la vulnerabilidad, las capacidades y el nivel de mitigación. Las capacidades consisten en los recursos con los que cuentan los individuos y las familias para resistir al desastre, como pudiera ser tener seguros de bienes o seguros de vida, la forma de la construcción de sus viviendas, entre otros. La mitigación se relaciona con cualquier actividad encaminada a la reducción del riesgo mediante la afectación de los factores que condicionan la vulnerabilidad.

Como elemento más complejo se encuentra que la vulnerabilidad es una medida de la sensibilidad que refleja una comunidad frente al posible acaecimiento de un tipo de desastre en concreto (Lago Montúfar, 2022a). Lo anterior, en función de una serie de elementos que presionan hacia su incremento o hacia su disminución, en lo que se conoce como una progresión hacia la vulnerabilidad o hacia la seguridad respectivamente (Wiesner et al., 2012). Dicha relación de fuerzas contrarias está determinada por elementos que influencian de forma directa1 o indirecta2 la sensibilidad de esa comunidad en concreto frente a una amenaza determinada.
En ese orden de ideas, hoy en día se entiende que la gestión integral del riesgo de desastres contempla tres tipos de políticas: i) la identificación y medición del riesgo; ii) su reducción a través del impacto sobre las condiciones de vulnerabilidad física, social y económica; iii) el manejo de desastres, que comprende la preparación, alerta, respuesta, rehabilitación y reconstrucción frente a la catástrofe (Cardona, 2008).
El presente artículo de reflexión busca entender cuáles son los factores determinantes que han generado la transformación de la función administrativa de gestión del riesgo de desastres en Colombia.
Se considera que el principal factor de evolución fue el acaecimiento de eventos catastróficos de gran magnitud. En menor medida, las iniciativas internacionales contra el cambio climático también influenciaron dicha transformación. Esto ha generado cuatro estadios en la evolución de la forma en que El estado se relaciona con los desastres: el primero, marcado por el principio de necesidad y el derecho constitucional de excepción, el segundo guiado por la regulación y el control de actividades peligrosas, el tercero guiado por la precaución y el despliegue de actividad material, y el cuarto que involucra de forma activa a los particulares en la reducción de la vulnerabilidad en una gestión integral del riesgo de desastres. A pesar de que se pueden identificar dichas etapas de evolución, se considera que las mismas se sobreponen y no siguen un orden secuencial, sino de consolidación institucional con instrumentos mixtos.
Para contrastar lo anterior, se analizará la evolución de esta actividad administrativa partiendo de la erupción del nevado del Ruiz en 1985, y finalizando con la adquisición de un instrumento financiero colectivo para la reducción de la vulnerabilidad económica (financiera) por parte de la Alianza del Pacífico, como muestra de una concepción integral de gestión del riesgo. En ese orden, se realizará una revisión del desarrollo de la legislación y principales documentos de política pública relacionados con gestión del riesgo de desastres que fundamentan esta institucionalidad en dicho periodo. Lo anterior, para advertir la relevancia de los factores determinantes en la transformación de esta función administrativa.
El texto se divide en cuatro partes, las cuales exponen cada una de las etapas de evolución en la consolidación de la institucionalidad para la gestión del riesgo de desastres en nuestro país realizando un recuento histórico, con especial referencia a las que consideramos como principales causas en este desarrollo no lineal. Se parte y se arriba al comentario de casos en concreto que permitan advertir la forma en la cual se ha presentado este tránsito.
DEL DERECHO CONSTITUCIONAL DE EXCEPCIÓN AL DERECHO DE POLICÍA ADMINISTRATIVO
El Presidente me dijo: me dicen que usted ha manejado situaciones de desastre, y yo respondí: qué pena señor Presidente, pero no; tampoco sé cómo manejar una alcaldía, pero soy tolimense y estoy dispuesto a colaborar en todo cuanto pueda. Y era la verdad, yo no era experto en manejo de tragedias, simplemente era un Mayor del Ejército, ingeniero civil y tolimense, oriundo de El Espinal. Después de esto me llevaron a Ibagué, no me dejaron bajar del helicóptero, me dijeron: necesitamos dos testigos para que se posesione, el Gobernador me posesionó; el Secretario me pasó un libro que firmé y así quedé nombrado como Alcalde Militar encargado de la zona de desastre el 14 de noviembre de 1985. (Cruz y Parra, 2015, p. 135)
El 13 de noviembre de 1985, el volcán nevado del Ruiz hizo erupción generando una avalancha que produjo la destrucción del municipio de Armero, Tolima, y daños significativos en los municipios de Villamaría y Chinchiná, Caldas. Este desastre ocasionó la muerte de más de 22.000 personas, 240 y 350 millones de dólares corrientes en pérdidas estimadas y costos de rehabilitación respectivamente, los cuales significaron en su momento una pérdida de cerca del 2 % del producto interno bruto. Si bien ya existían entes como la Cruz Roja Colombiana, la Defensa Civil, el Comité Nacional de Emergencias y el Fondo Nacional de Calamidades3, no existía en el país un sistema, plan o estrategia nacional de gestión integral del riesgo de desastres (Banco Mundial, 2012). Simplemente, se contaba con organismos de atención de emergencias como función principal, como pudieran ser la Cruz Roja o la Defensa Civil, y otros, complementarios, como el Ejército Nacional, la Policía Nacional, quienes concentraron el grueso del despliegue de la actividad administrativa.
En relación con la preparación y alerta, es necesario mencionar que no existía un sistema de alarmas consolidado o un seguimiento de la actividad volcánica de ninguno de los más de 10 volcanes activos que tiene Colombia. No obstante, es preciso advertir que de forma previa a la emergencia, miembros de la Defensa Civil, montañistas, pobladores de la zona e incluso agentes del Instituto Colombiano de Geología y Minas (Ingeominas) habían advertido sobre la anormalidad en la actividad, sin que existiera un plan de acción preestablecido ni medidas de preparación al respecto que fueran adoptadas, tanto por ausencia institucional, como por lo que varios protagonistas que ejercieron autoridad en el desastre atribuyeron como la desafortunada agenda política que se presentó luego de la toma del Palacio de Justicia pocas semanas antes de la erupción (Cruz et al., 2015).
La forma en que se diluyó el manejo de esta emergencia puso de presente la inexistencia de una actividad seria de identificación y especialmente de mitigación y prevención de la vulnerabilidad frente a amenazas concretas. Sobre el particular, el director regional del antiguo Ingeominas, al relatar su experiencia en el manejo de la tragedia destacó, dentro de las falencias, que no existía ni siquiera un plan para saber qué se necesitaba hacer en caso de emergencias, ni se contaba con alertas o mecanismos de medición científica de la actividad volcánica en el lugar, obligando a que muchas de las muestras tuvieran que ser llevadas al exterior para poder analizar lo que estaba sucediendo ante el incremento de la actividad volcánica (Cruz et al., 2015).
La actividad del Estado se centró en labores de manejo de la catástrofe, en dicha ocasión se concentró principalmente en desplegar organismos de atención de emergencia4 bajo las instrucciones de la Presidencia de la República; de esa forma, las tareas se dividieron en atención de la emergencia y labores de reconstrucción.
A pesar de que mediante el Decreto 1547 de 1984 se había creado un Fondo Nacional de Calamidades con ocasión del terremoto de Popayán, por medio del Decreto 3406 de 1985, en ejercicio de las facultades constitucionales excepcionales activadas por el Decreto 3405 de 1985 en desarrollo del estado de emergencia declarado con ocasión del desastre, el presidente de la República creó el Fondo de Reconstrucción Resurgir, cuyo objetivo era la financiación de las actividades y obras que requirieran las zonas afectadas por la erupción. Este fondo buscaba canalizar los recursos públicos que se destinaron al desastre junto con algunos recursos que provinieron de cooperación internacional5. Dicho fondo fue vinculado a la creación de un establecimiento público a cuyo cargo quedaron las labores de reconstrucción del municipio. Estas labores se vieron apoyadas por un importante despliegue de voluntarios, especialmente en materia de atención en salud, provenientes de universidades públicas y privadas del centro del país, así como entidades internacionales sin ánimo de lucro. Lo anterior, en ejercicio de las facultades constitucionales de excepción del artículo 121 de la anterior carta política (Cruz et al., 2015).
Tratándose de la atención de la emergencia, desde lo público, la acción desplegada se limitó al manejo militarista y centralizado de las decisiones, debido a la capacidad operacional con que contaba en específico el Ejército Nacional en materia logística para coordinar el accionar de los entes públicos y privados que apoyaban a través de voluntariados o acciones de cooperación internacional.
El orden público como interés, el principio de necesidad como fundamento y la concentración del poder como solución frente a los desastres
¿Cuál es la primera aproximación a través de la cual el Estado se relaciona con los desastres?
Como primer elemento es necesario destacar que, por definición, las situaciones de desastre representan un escenario de estrés institucional allí donde se presenten, habida cuenta de que se rompe con las condiciones de normalidad y el funcionamiento cotidiano de la sociedad. De ahí que se presenten fenómenos de estrés institucional que produzcan la necesidad de dar respuesta a dicha situación buscando volver a la situación de normalidad.
Dicha afectación del funcionamiento normal de la sociedad por cuenta de la afectación de los estándares mínimos de seguridad, salubridad y tranquilidad afecta directamente el orden público como interés jurídico protegido. Lo anterior, sin perjuicio de que hoy en día se entienda que la gestión del riesgo de desastres también sirva a otros intereses jurídicamente protegidos como el desarrollo sostenible, la equidad o la legitimidad institucional. De esa forma, el derecho de los desastres refiere a una serie de reglas y principios que trata la forma de afrontar dichos fenómenos extraordinarios y peligrosos (Wiesner, 1991).
La primera aproximación del derecho público a este tipo de fenómenos parte del llamado principio de necesidad, de acuerdo con el cual se responde a situaciones en donde se ofrecen facultades extraordinarias a las autoridades encargadas de hacer frente a las crisis, con el fin de prevenirla cuando se encuentra próximo su acaecimiento o luchar contra ella cuando ya se ha desencadenado con el fin de reparar de la forma más rápida posible sus consecuencias más atroces. El efecto de la aplicación de este principio es que se sustituya temporalmente la legalidad ordinaria, es decir, el derecho de los tiempos de normalidad. La utilización de estas facultades se debe ejercer ponderando, "por un lado, la atribución de un poder de actuación suficiente para batallar de manera eficaz contra los peligros que se ciernen sobre el grupo social y, por otro, la prevención del riesgo potencial de abuso del mismo" (Álvarez, 2021, p. 298).
Así, de la mano del principio de necesidad, el primer estadio de consolidación de las instituciones para afrontar los desastres es el derecho constitucional de excepción, el cual puede adoptar dos modelos dependiendo del ordenamiento jurídico que se analice (Rosenfeld y Sajo, 2013). Por un lado, definen ex ante i) unos requisitos fácticos mínimos de gravedad y magnitud que permitan invocar las facultades extraordinarias; ii) una limitación temporal por plazo o condición para ser ejercidas, estando generalmente limitadas a la solución de la emergencia; iii) la sujeción a los principios de necesidad, racionalidad y proporcionalidad como limitantes del incremento de las facultades discrecionales a través de los cuales se permite ejercer su control de legalidad en sentido amplio (Troper, 2011). Esta clase de disposiciones constitucionales se complementan con las normas legales de especial jerarquía que limitan, en algunas ocasiones, el ejercicio de algunas facultades extraordinarias (Faggiani, 2020).
Por su parte, de acuerdo con el modelo de delegación legislativa, la constitución cede la regulación de estas materias al legislativo, quien se encarga de expedir una norma que limite la actuación del ejecutivo en estas circunstancias mediante la retracción de su propio fuero de competencia (Dyzenhaus, 2009).
De esa manera, se advierte un segundo elemento por considerar en la transformación del papel del Estado frente a los desastres, como es la tendencia centrípeta en el manejo de las catástrofes en donde el eje se encuentra en el nivel ejecutivo, quien se entiende, está llamado a solucionar la emergencia, y por ello se le atribuyen facultades extraordinarias que excederían su competencia y afectarían elementos tan delicados como la separación de poderes o la libertad de los ciudadanos en tiempos de normalidad, siempre, mientras dure la crisis. De esa forma, en la historia constitucional continental se advierte la consagración de instituciones, incluso desde las constituciones originarias, como los estados de excepción, los estados de sitio, los estados de guerra, los estados de alarma y similares, que otorgaban poderes superiores al ejecutivo con el fin de solventar la crisis y restaurar, mediante el derecho constitucional de excepción, el orden público alterado por el acaecimiento de desastre (Rosenfeld y Sajo, 2013).
Sin embargo, el desarrollo institucional que surge con esta necesidad de aumentar las competencias del ejecutivo para resolver la crisis se encuentra limitada por la preocupación de la concentración del poder (González Jácome, 2015). La respuesta a esta preocupación se ha dado a través del establecimiento de límites i) de necesidad, ii) temporales y iii) materiales al ejercicio de estas competencias (Faggiani, 2020). De esta forma, el principio de necesidad surge como primera respuesta para articular ambas tensiones, permitiendo concentrar el poder para atender la emergencia a fin de controlar el ejercicio de estas competencias excepcionales.
El primer límite hace referencia a la necesidad de que se presente una situación que altere de forma grave y anormal las condiciones de orden público de tal forma que se activen los supuestos contemplados en la norma constitucional, al no poderse enfrentar la situación a partir de las competencias ordinarias. Dentro de este punto se incluye la valoración de la necesidad de la medida, atendiendo a que solo estos mecanismos se activarán cuando los de tiempo de normalidad resulten insuficientes.
El segundo límite se relaciona con la transitoriedad de la competencia y de las medidas adoptadas para conjurar la crisis, sea por un periodo fijo delimitado en la norma, el cual puede o no ser prorrogable, o por la terminación de la crisis, generalmente, lo que ocurra primero.
Por último, en relación con los límites de orden material, la evaluación se centra en que las medidas adoptadas sean pertinentes, conducentes y proporcionales para atender la emergencia, de forma que no le es dado al ejecutivo extralimitarse utilizando esas competencias para solucionar otras facetas del orden público que no han sido afectadas por el acaecimiento del desastre, o sean exageradas de cara a la recuperación del orden público turbado.
En el caso colombiano, la Corte Constitucional ha aclarado que estos elementos de análisis se dividen en un análisis material y uno formal. El primero contiene el de motivación suficiente, conexidad (entre causas y medidas adoptadas), la ausencia de arbitrariedad, la intangibilidad, la no contradicción, la no incompatibilidad con otras disposiciones, la necesidad de las medidas, la no discriminación y la proporcionalidad de cara a la magnitud de la emergencia; en suma, el contenido mismo de las disposiciones adoptadas a la luz de los límites sustanciales de la competencia. Por su parte, en lo formal se evalúa que la disposición haya sido ejercida por la autoridad competente, durante la vigencia de la excepción, que se encuentre motivada, y que se haya sometido a otros límites de competencia (territorial, temporal)6.
Lo anterior permite poner de manifiesto, como tercer elemento, la relevancia del enfoque socorrista como punto de partida en lo que hoy se conoce como la gestión del riesgo de desastres, el cual centra su atención en la atención de la emergencia, buscando salvar la mayor cantidad de personas y bienes afectados, y tratar de volver las cosas a un estado similar al que se encontraban con anterioridad al evento catastrófico (Wilson y Mccreight, 2012). Ello en el entendido de que la urgencia de las necesidades por satisfacer no puede depender de las disposiciones que rigen en tiempo de normalidad, y que la expedición de normas con alcance material de ley por parte del ejecutivo resulta necesaria para conjurar las crisis, retrayendo las competencias del legislativo, sea por directa disposición del constituyente o por su propia retirada, dependiendo del modelo adoptado en favor de la celeridad de las decisiones (Benzina y Blacher, 2021).
En particular, en el manejo de la atención de desastres bajo este enfoque merece la pena destacar como ejemplo la expedición de la Ley 48 de 1948, por medio de la cual se crea el servicio de Socorro Nacional, con ocasión de la situación de violencia que se vivió en las principales ciudades luego del Bogotazo. Años más adelante, influenciado por la ocurrencia del Terremoto de Popayán, con el Decreto 1547 de 1984 se crea el Fondo Nacional de Calamidades (Stuart y Sarmiento, 1999), ambos orientados a poner en funcionamiento recursos públicos para solventar las situaciones de alteración del orden público. Posteriormente, a través del Decreto 3405 de 1985, se declaró el estado de emergencia de Armero para atender la tragedia, y se tomaron medidas para la reconstrucción, las cuales abarcan desde la creación del mencionado Resurgir como ente encargado de liderar esta actividad7, pasando por la suspensión de procesos judiciales y administrativos en la zona o el establecimiento de normas de demolición, hasta la concesión de beneficios tributarios en favor de las inversiones en la región en favor de la reactivación económica (Huertas, 1988).
Más recientemente, y de forma similar a lo ocurrido con la erupción del Nevado del Ruiz, al inicio de la pandemia del covid-19 se presentaron dos ejemplos de dicha aproximación El primero de ellos es la expedición de normas de contratación pública para conjurar la emergencia mediante el desarrollo de las facultades legislativas excepcionales que se atribuyen al Ejecutivo gracias al estado de excepción, en virtud de las cuales se creó el Fondo de Mitigación de Emergencias, cuya finalidad era contar con recursos suficientes para adquirir los bienes y servicios necesarios para "atender las necesidades de recursos para la atención en salud, los efectos adversos a la actividad productiva y la necesidad de que la economía continúe brindando condiciones que mantengan el empleo y crecimiento"8.
Los entes especializados, la regulación y el control como primer paso hacia el carácter permanente de la gestión del riesgo de desastres
¿Qué genera que el principio de necesidad y el derecho constitucional de excepción resulten insuficientes frente a los desastres y sea necesario acudir al derecho administrativo de policía?
Sin perjuicio de la importancia que comprende el desarrollo de las medidas constitucionales de excepción como primera herramienta jurídica para lidiar con las necesidades que surgen con los desastres, la naturaleza de estas generó la necesidad de contar con instituciones de carácter permanente que permitieran a la administración atender dichos requerimientos sin incurrir en los riesgos de concentración del poder anteriormente mencionados. Adicionalmente, dichas medidas resultaron insuficientes ante incremento de las actividades peligrosas, y la necesidad de su regulación y control de forma permanente (Rivero, 1999).
En ese sentido, en esta segunda etapa se vieron avances en dos frentes que facilitaron el tránsito del derecho constitucional de excepción hacia el derecho administrativo de policía como instrumento de gestión de riesgos: i) la creación de organizaciones especializadas en la atención de desastres; ii) la expedición de regulación sectorial de actividades peligrosas y su control.
Sea lo primero mencionar que tanto el derecho constitucional de excepción como el derecho administrativo de policía hallan su razón de ser en el orden público, entendido este como las condiciones normales de salubridad, seguridad y tranquilidad que permiten la vida en sociedad.
Si bien los mecanismos constitucionales de excepción fueron contemplados desde el inicio de nuestra vida republicana, la regulación administrativa de policía para la gestión de riesgos encontró sus principales desarrollos en el siglo XX. Frente al primero de ellos, se destaca la "creación de entidades de socorro, el manejo de los problemas de sanidad pública y las funciones establecidas desde el Código de Policía" (Banco Mundial, 2012). De esa forma, en 1948 se creó la Sociedad Nacional de Cruz Roja, en 1965 la Defensa Civil como una dependencia del Ministerio de Defensa, en 1970 se aprueba el Código Sanitario y el Código Nacional de Policía, como respuesta a la necesidad de contar con entes especializados en la atención de incidentes y emergencias de actividades peligrosas. Posteriormente, se expiden otros ejemplos de regulación sectorial como la Ley 400 de 1997 de normas sismo-resistentes, el Decreto 1521 de 1998 a través del cual se regula el manejo de transporte y comercialización combustible, o el Decreto 1609 de 2002 que reglamenta el transporte de mercancías peligrosas, entre otros.
Frente al segundo elemento, se crearon nuevas autoridades o dependencias de inspección, vigilancia y control frente a actividades como la producción de alimentos, la construcción, el tránsito, entre otros aspectos sectoriales considerados como actividades que pudieran ser peligrosas (Banco Mundial, 2012). Adicionalmente, dichas funciones, como es el caso del desarrollo urbano, se asignaron a autoridades locales o incluso a particulares, como ocurrió con el ejercicio de ciertas profesiones o el desarrollo urbano en grandes ciudades con las curadurías como caso de descentralización de la actividad.
De esa forma, se advierte un segundo estadio de transformación del papel del Estado frente a los desastres, el cual, si bien no tiene por objetivo directo la gestión del riesgo de amenazas de desastres, sí busca reducir y controlar el riesgo de incidentes, accidentes, emergencias y catástrofes con el establecimiento de regulaciones administrativas en la práctica de actividades peligrosas, por un lado, y su inspección, vigilancia y control, como expresión clásica del derecho de policía administrativo, propio de un Estado que interviene activa y permanentemente en la economía (Fernández, 1970). Lo mencionado, en búsqueda de mantener o recuperar dichas condiciones de salubridad, tranquilidad y seguridad que se pudieran ver afectadas con el desastre, o, de forma indirecta, con alguna actividad de riesgo9.
Desde esta nueva perspectiva, el principal objetivo de las autoridades consiste en que se cuente con los medios para atender las emergencias de forma permanente, y que los diferentes agentes cumplan con la regulación de tal forma que las actividades se desarrollen en el marco del nivel de riesgo aceptado10, so pena de que resulten sancionadas, ya que su incumplimiento compone una real o potencial afectación de ese orden público que puede trascender a las esferas sanitarias, económicas y urbanísticas, entre otras (Rivero, 1999).
Bajo esta aproximación se entendió que resultaba necesario establecer unas disposiciones de carácter permanente que permitieran a las autoridades hacer frente a las situaciones de desastres con ejercicio de competencias dentro de un marco caracterizado por una mayor flexibilidad que aquella con la cual ejercen sus competencias en condiciones de normalidad (Álvarez et al., 2020). Lo anterior, mediante:
… i) la expedición disposiciones normativas para prevenir su ocurrencia, incluso mediante la limitación de derechos fundamentales; ii) regular el ejercicio de actividades peligrosas o establecer cargas a los ciudadanos para reducir el peligro, como la obligatoriedad de las normas sismo resistentes; y iii) contar con competencias de inspección, vigilancia y control para verificar el cumplimiento de las anteriores disposiciones. (Lago Montúfar, 2022a, p. 38)
No obstante, desde esta nueva perspectiva en donde la administración regula y verifica el cumplimiento de la norma, se presenta una especial problemática en donde el incremento de la complejidad social, la velocidad de la evolución tecnológica y la multiplicación de las actividades peligrosas la obligan a adquirir nuevos conocimientos y capacidades materiales para cumplir de forma eficaz con esta actividad. Lo anterior pone en evidencia la insuficiencia, no solo de los medios materiales, sino de los medios jurídicos de este nuevo estado regulador y vigilante (Rastrollo, 2019). A esto se suman problemáticas como la captura del regulador, falta de integridad en el servicio público, deficiencias y falta de celeridad en los procedimientos administrativos, entre otros (Baldwin y Cave, 1999; Rivero, 2005), los cuales ponen en dificultad la eficacia de la gestión del riesgo bajo este enfoque.
Este nuevo enfoque de la regulación y el control de actividades peligrosas facilitó la comprensión de que la gestión del riesgo es una actividad de carácter permanente, y que, por ende, los instrumentos a través de los cuales el Estado se relaciona con los desastres también deben serlo, ya que la progresión hacia la seguridad es una actividad de carácter permanente. No solo en la atención de riesgos sectoriales que pudieran generar un desastre al aumentar la vulnerabilidad, como el transporte de mercancías peligrosas o el desarrollo urbano irregular, sino en general en el manejo del riesgo de desastres como actividad intersectorial.
EL NECESARIO TRÁNSITO DE LA REACTIVIDAD A LA PROACTIVIDAD ADMINISTRATIVA: PRECAUCIÓN Y EFICACIA
... en febrero de 2018, el Banco Mundial realizó la emisión del primer bono catastrófico de carácter regional para gestionar los riesgos de desastres naturales en los países de la AP. La colocación, denominada en dólares y con vencimiento a 3 años para Chile, Colombia y Perú, y 2 años para México, recibió demandas cercanas a los US$2.500 millones, es decir, casi dos veces el monto ofrecido. (Alianza del Pacífico, 2018)
La Alianza del Pacífico surge de la iniciativa de desarrollo impulsada por los gobiernos de Colombia, Perú, Chile y México, con el fin de consolidar un espacio de libre circulación de bienes, servicios, capitales y personas, bajo las premisas del libre comercio y la economía de mercado. La misma tiene 4 países miembros y 61 observadores, entre los cuales se encuentran 14 americanos, 2 africanos, 12 asiáticos, 2 de Oceanía y 31 europeos; y 1 asociado, Singapur, con el cual comparte el área de libre comercio.
Habida consideración de que los Estados miembros se encuentran expuestos al mismo tipo de amenazas entre las cuales se encuentran principalmente las erupciones volcánicas, terremotos, avalanchas y la exposición a sequías e inundaciones por cuenta de los fenómenos de la niña y del niño, al encontrarse asentados tanto en la cuenca, como en el anillo de fuego del océano Pacífico, se buscó desarrollar un mecanismo de protección financiera colectiva frente al acaecimiento de desastres naturales, teniendo de presente que "cuando hay gente a tan solo un desastre de caer en la pobreza, el manejo del riesgo es una prioridad de desarrollo" (Banco Mundial, 2018).
La vulnerabilidad económica frente a las amenazas de desastre es una de las variables que más afecta el incremento del daño que pueda generar una catástrofe en el largo plazo, al igual que dificulta en gran medida la viabilidad y celeridad de las actividades de reconstrucción. En otras palabras, se instituye en una de las principales limitantes para el manejo de desastres. La ausencia de recursos económicos tanto del Estado como de los particulares que enfrentan una amenaza, no solo dificulta la transferencia del riesgo a alguien con mejor posición para asumirlo, sino que condiciona su recuperación luego del desastre o su misma existencia haciéndolos caer en la pobreza.
En ese sentido, la reducción de la vulnerabilidad financiera debe ser uno de los principales objetivos de la gestión integral del riesgo de desastres, no solo mediante la transferencia del riesgo a través de instrumentos financieros como los seguros, o para contar con mayores recursos para el manejo de desastres (preparación, atención, reconstrucción), sino a través de la obtención de medios económicos en su interacción con el mercado internacional de capitales de cara a la proactividad de la actuación pública y privada en favor de reducir la vulnerabilidad física y social.
La vulnerabilidad, criterio de la eficacia de gestión del riesgo como función administrativa
¿En qué consiste la gestión integral del riesgo de desastres? ¿Qué papel juegan los principios de eficacia y precaución?
La gestión integral del riesgo de desastres pasa por el diseño, la ejecución y evaluación de actuaciones administrativas que materialicen políticas de: i) identificación y medición del riesgo; ii) su reducción a través del impacto de las condiciones de vulnerabilidad física, social y económica frente a alguna amenaza en concreto; y iii) el manejo de desastres. El enfoque socorrista o reactivo se limita a desarrollar solo el manejo de desastres, específicamente la atención de emergencias y actividades de reconstrucción (Geller, 2012). Gracias a los principios de eficacia y precaución, que fungen como justificante, límite y faro de esta función administrativa de carácter proactivo, se ha permitido ampliar el espectro de esta actividad facilitando, no solo el accionar de las autoridades, sino involucrar a los particulares en la gestión del riesgo de desastres.
Sin perjuicio de que previamente se habían expedido regulaciones y se habían creado mecanismos de control de las actividades sectoriales desde una aproximación sectorial, que facilitaron la constitución de instrumentos permanentes de gestión del riesgo, desde los años noventa se presentó en el mundo un importante cambio en la concepción sobre la forma en que el Estado debía relacionarse con los desastres como actividad intersectorial y fundamental para el desarrollo (Geller, 2012).
Tanto a nivel internacional como en la región latinoamericana surgieron, principalmente desde la academia y los organismos internacionales, importantes esfuerzos para poner a la vulnerabilidad en el centro de la gestión del riesgo.
De esta manera se determinó el vínculo estrecho entre el desarrollo y el riesgo de desastre: en la medida que el riesgo es producto de procesos sociales particulares, es también producto directo o indirecto de los estilos o modelos de crecimiento y el desarrollo impulsado en cada sociedad. Los problemas de deficiencias en su desarrollo que enfrenta la mayoría de los países en América Latina son los mismos que contribuyen a la permanente construcción de riesgos de desastres. (Geller, 2012, p. 13).
En nuestro contexto, no fue sino hasta 1984 que en el país se comenzó a estructurar una institucionalidad especializada en la gestión del riesgo de desastres por fuera de un entendimiento sectorial, luego de ponerse de manifiesto dicha necesidad ante el acaecimiento del terremoto de Popayán en 1983. El primer paso fue la creación del Fondo Nacional de Calamidades, el cual fue incorporado en 1989 al nuevo Sistema Nacional para la Atención de Desastres con la expedición de la Ley 919, primera disposición que buscaba tratar de forma integral la materia (Marulanda y Cardona, 2018).
Posteriormente, con ocasión del terremoto del eje cafetero de 1999, en 2001 se expidió la primera estrategia de gestión del riesgo de desastres a través del documento del Consejo Nacional de Política Económica y Social (Conpes) 3146 de 2001, el cual incorporaba nuevos elementos como la importancia de la actividad frente al cambio climático, convertirla en un condicionante del ordenamiento del suelo (Arbouin, 2020), o establecer la necesidad de fortalecer la descentralización territorial para una mayor eficacia de la actividad. En esa línea, en 2004, mediante el Conpes 3318, se lleva a cabo la autorización a la nación para realizar un empréstito con el Fondo Monetario Internacional (FMI) para financiar el programa de reducción de la vulnerabilidad fiscal del Estado frente a los desastres, el cual buscó impactar las finanzas nacionales y regionales de cara a buscar una mayor información sobre el riesgo y favorecer los desembolsos a entidades territoriales o entes del orden nacional de atención de emergencias en caso de la ocurrencia un evento catastrófico. Finalmente, en concordancia con lo anterior, a través del Decreto 4002 de 2004, reglamentario parcial de la Ley de Ordenamiento Territorial, se reforzó la subordinación del uso del suelo al riesgo de desastres como condicionante, y se ordena su revisión a los alcaldes en caso de acaecimiento de algún evento catastrófico.
Entre 1999 y 2010, y teniendo en consideración cada vez con mayor importancia al cambio climático como un factor condicionante del desarrollo, el Estado suscribió una serie de instrumentos internacionales para mitigar el cambio climático. Entre ellos se destaca la aprobación del Protocolo de Kioto a través de la Ley 629 de 2000, la creación de la Oficina Colombiana para la Mitigación del Cambio Climático en 2001, la expedición del Conpes 3242 de 2003 de estrategia nacional para venta de servicios ambientales a fin de mitigar el cambio climático, la elaboración de planes nacionales de adaptación al cambio climático y de planeación hacia la reducción de carbono ente 2008 y 2010, y el Conpes 3700 de 2011, mediante el cual se adopta la estrategia institucional para la articulación de acciones en materia de cambio climático en Colombia.
Si bien estos compromisos internacionales causaron la adaptación de varias políticas y programas, especialmente en el orden nacional, los mismos no generaron un impacto significativo en la institucionalidad específica de la gestión del riesgo. No obstante, es necesario destacar que estos permitieron el fortalecimiento de la triada de sostenibilidad, desarrollo y gestión del riesgo de desastres, que actualmente sustenta la actividad administrativa.
En 2010 y 2011, Colombia sufrió uno de los peores desastres de su historia con el fenómeno de la niña (Banco Mundial, 2012). Este evento dio lugar a que el año siguiente se promulgara la Ley 1523 de 2012, primera disposición en concebir la identificación y el manejo del riesgo de desde esta perspectiva integral. Con esta disposición, se creó el Sistema Nacional de Gestión del Riesgo de Desastres, a través del cual se busca articular los esfuerzos de las entidades del Estado con competencias relevantes desde una perspectiva multinivel e intersectorial, con particulares y en general con los habitantes del territorio nacional hacia la progresión en la reducción del riesgo de desastres11. Si bien se introdujeron muchos otros elementos de gran valía para el tránsito hacia una gestión integral del riesgo, es preciso destacar que por primera vez se concibió en la regulación el principio de precaución como parámetro de actuación de estas autoridades y se estableció de forma clara que el conocimiento, la reducción y el manejo de desastres es responsabilidad tanto de entes públicos como privados, imponiendo a estos últimos la carga de actuar con precaución, solidaridad y autoprotección.
El tránsito hacia el enfoque integral está dado por entender la relevancia de la gestión del riesgo de desastres frente al desarrollo sostenible (Gaillard, 2010), la reducción de la pobreza (UNISDR, 2018) y la legitimidad institucional (Cisterna et al., 2022) como elementos que se relacionan en red con la vulnerabilidad, y en la necesidad de tomar medidas progresivas en la reducción del riesgo. Sin embargo, la incidencia en los elementos que determinan esta variable del riesgo exige un papel proactivo y no solamente reactivo del Estado, en donde este intervenga, no solo mediante la simple regulación y control de las actividades económicas, sino a través de un despliegue material de capacidades que influya en las condiciones reales que hacen más o menos vulnerable a una comunidad frente a una amenaza determinada (Luján y Echeverría, 2004). La respuesta a esta necesidad viene de la mano de la incorporación de los principios de precaución y de eficacia en el ejercicio de esta función administrativa de policía que se nutre de un nuevo contenido.
El principio de precaución establece que el Estado debe afrontar los desafíos que trae consigo la sociedad global del riesgo, el cual se incrementa por la interacción de sistemas complejos, cambiantes e inciertos como "los mercados financieros, la energía, la alimentación, la salud o el medio ambiente" (Darnaculleta, 2016, p. 13), entre otros. Así, entiende que, a pesar de que no se cuente con certeza científica frente al problema que se enfrenta, el Estado tiene el deber de actuar para reducir el riesgo frente a los elementos que se pueden controlar, conocer y prever. De esa forma, la acción directa que busca afectar las variables que determinan la vulnerabilidad de las comunidades frente a los desastres se ve justificada al ser el objetivo principal prevenir y mitigar la situación de riesgo (Montoro, 2003).
Esto comporta un tránsito de la policía administrativa clásica de regulación y control de actividades peligrosas, hacia un despliegue de capacidades operativas y de inversión por parte Estado (Icard, 2019), el cual, si bien se puede servir de estos instrumentos, cambia su objetivo del control de la simple inspección, vigilancia y control en el cumplimiento de la ley, que establece un deber de comportamiento dentro del riesgo aceptado legalmente, hacia un proceso continuo que buscar una reducción progresiva del nivel de riesgo, que le exige un despliegue material (Esteve, 2012).
De esa forma, la eficacia de esta actividad adquiere un nuevo contenido como principio de la función administrativa, en el entendido de que la actividad será eficaz, no solamente cuando se cumpla con la regulación preestablecida de cómo se debe llevar a cabo la actividad peligrosa o se atiende una emergencia de la mejor manera posible, sino que va más allá, propendiendo a una reducción en el nivel de riesgo previo a la actuación estatal, a través de la influencia directa en alguno de los elementos conocidos o previsibles que puedan disminuir la vulnerabilidad (Rodríguez-Nikl y Brown, 2011).
Se entiende entonces que la función no puede activarse solo de manera reactiva o pasiva al controlar el cumplimiento de una regulación frente a la realización de alguna actividad peligrosa, o esperando que ocurra una catástrofe para intervenir a través de tareas de atención y reconstrucción; sino que requiere la proactividad de la administración buscando generar efectos concretos en la realidad que produce el riesgo.
Lo anterior se traduce en que la planificación, ejecución y evaluación del despliegue material del Estado supera la limitación del modelo costo-beneficio12 para adoptar un modelo de costo-eficacia, en donde la reducción de las condiciones de vulnerabilidad es necesariamente el objetivo, el cual claramente se concreta en el impacto que genere en indicadores específicos de alguno de los elementos que incide en el nivel de sensibilidad frente a una amenaza dada (Lago Montúfar, 2022b).
Este tránsito implica tener en consideración problemáticas como la falta de recursos que permitan, i) contar con las capacidades para un despliegue material efectivo de las autoridades responsables de gestionar el riesgo; ii) la complejidad a la hora de determinar la planificación de la gestión del riesgo; iii) la determinación del nivel adecuado de inversión en los proyectos de reducción del riesgo, en función del nivel aceptable de riesgo.
Respecto del primer elemento, es necesario poner de presente que, si bien de forma general los recursos resultan insuficientes para cumplir cabalmente las competencias asignadas en todos los órdenes y niveles del Estado, el escenario es particularmente complejo en esta materia, en donde son las autoridades municipales, quizás las más débiles de todo el Estado (Hernández, 2003), las principales responsables de la materialización de esta actividad a través, no solo de la identificación del riesgo en el territorio, sino de la realización de acciones concretas en favor del desarrollo del municipio que reduzcan la vulnerabilidad social, económica y física del mismo.
Los municipios son la unidad básica del ordenamiento territorial colombiano, de igual forma, son los primeros encargados de promover el desarrollo en sus distintas comunidades. Adicionalmente, los alcaldes municipales son la primera autoridad de policía en cada uno de los municipios, de ahí que sean los directos responsables por la gestión del riesgo de desastres en su jurisdicción, especialmente en lo que a prevención y atención de desastres se refiere13.
No obstante, se advierte que la gran mayoría los municipios no cuentan con los recursos suficientes, ni la capacidad operativa para afrontar las actividades que requiere la gestión del riesgo, dependiendo así del nivel departamental y, casi siempre, del nivel nacional, en donde se concentran en la práctica las capacidades de gestión del riesgo (Maldonado, 2012). Ello no solo supone un elemento de centralización de las competencias administrativas y de los recursos en el orden nacional, sino que especialmente compromete la eficacia de la actividad en el escenario territorial, en donde no solo hacen falta recursos para afrontar las distintas amenazas, sino que se establecen relaciones de dependencia con las autoridades nacionales para poder afrontar estas situaciones, lo que demora la posibilidad de identificar y responder a aquellas emergencias que tengan un alcance meramente local14.
En relación con los dos elementos finales, el mandato de actuación proactiva frente al riesgo y la concepción de la eficacia de la actividad administrativa como una transformación de las condiciones de vulnerabilidad, suponen un desafío para establecer la forma en la cual se debe planificar y hasta dónde invertir en esa reducción del riesgo. Adicionalmente, este nuevo enfoque pone de presente una dificultad adicional, en la que se hace necesario determinar el alcance de la gestión del riesgo como función administrativa y el papel de los particulares en esta actividad para delimitar qué actuaciones corresponden a cada quien. La respuesta a esta problemática está dada por el establecimiento del nivel de riesgo aceptado, y marcará el futuro del ejercicio de esta función administrativa en escenarios de gobernanza, tanto en la escena global como en lo territorial.
El nivel aceptable y el reparto de riesgos como nuevos límites de la gestión del riesgo de desastres
¿Cuál es el alcance de la gestión del riesgo de desastres como función administrativa? ¿Cuáles son los principales retos que se presentan actualmente en la actividad?
Es posible delimitar el alcance de esta función a partir de un criterio material, el cual pasa por comprender la finalidad de la actividad y la naturaleza de los principios que la guían, mientras que el segundo, pasa por el reparto de la responsabilidad entre los particulares y las autoridades frente al riesgo.
Al entender esta función administrativa como una actividad proactiva en donde el Estado debe reducir la vulnerabilidad como comprensión de lo que es o no eficaz, resulta necesario establecer cuál es el alcance de esta función, y cómo se materializa la aplicación del principio de precaución. Lo anterior, esclareciendo i) cuál es el nivel aceptable de riesgo, y ii) cuál es el papel de los particulares en la gestión del riesgo.
El nivel aceptable de riesgo se entiende como un acuerdo en el estándar tolerable de alteración o de peligro del orden público debajo del cual se puede desarrollar la vida en comunidad de forma tranquila, segura y salubre (Losada, 2005). Este elemento orienta la intervención administrativa, permitiendo aproximar en qué medida y de qué forma se deben afectar las variables que inciden en la vulnerabilidad. Lo anterior, entendiendo que el principio de precaución opera como una máxima de prevención y mandado de responsabilidad para actuar en escenarios de incertidumbre (Darnaculleta et al., 2015). Este estándar se puede determinar desde una perspectiva pública, desde una perspectiva privada, o de una forma mixta.
Desde la primera aproximación, el Estado, por vía de la regulación legal o reglamentación administrativa, establece unos parámetros y límites dentro de los cuales se deben llevar a cabo ciertas actividades que puedan afectar factores que inciden en la vulnerabilidad; o establece propósitos de política pública de carácter obligatorio para las actuaciones administrativas hacia dónde se debe orientar la actuación del Estado de acuerdo con la planeación que se haya determinado para reducir el riesgo (Bello, 2017). Muestra de las primeras son las regulaciones antisísmicas o las regulaciones sanitarias, mientras que un ejemplo de la segunda puede ser la intervención de viviendas en asentamientos irregulares en zonas de deslizamiento como materialización de un plan de desarrollo territorial en algún municipio específico (Quintero, 2013).
Si bien estos estándares pueden establecerse directamente por vía de legislación o reglamentación, también es posible encontrarlos en instrumentos de soft law, o incluso en instrumentos internacionales de política pública para el manejo de riesgos, como el Marco de Sendai para la Reducción del Riesgo de Desastres, las recomendaciones de la Banca Multilateral o recomendaciones de varias organizaciones internacionales. Un ejemplo de ello son las recomendaciones de la banca multilateral para la implementación de sistemas de gestión del riesgo siguiendo como modelo el caso colombiano para América Latina (Cardona y Wiesner, 2011).
Por su parte, desde la perspectiva privada se encuentran dos alternativas, el establecimiento del riesgo de acuerdo con el mercado y la autorregulación. En la primera aproximación se entiende que el mercado asegurador determina, a través del apetito por el riesgo, cuál es el nivel aceptable del riesgo y cuál es el nivel sobre el cual el mismo ya no es asumible por quien lo puede sufrir, sino que adquiere una magnitud suficiente para ser trasladado a un tercero a través de un mecanismo de aseguramiento. No obstante, esta aproximación presenta varias problemáticas que pueden limitar su efectividad, tales como la penetración del mercado asegurador, las fluctuaciones de mercado, la regulación de los seguros que establezcan un nivel mínimo de riesgo asumible, las barreras de entrada al mercado asegurador, entre otras.
La autorregulación se presenta como segunda alternativa al establecimiento privado del nivel aceptable de riesgo. Mediante este mecanismo, los particulares determinan los estándares de seguridad dentro de los cuales establecen su actividad y planifican su actuación en la reducción de las condiciones de vulnerabilidad que los afectan. Un ejemplo son los planes de acción comunal para reforestación de zonas sometidas a amenazas como deslizamientos o desertificación15; los planes y las regulaciones empresariales de resiliencia de los negocios frente a los desastres o Business Continuity Plans (Dillon, 2014), o tomar medidas de transferencia del riesgo a través de la celebración de un contrato de seguro o algún otro mecanismo de traslado del mismo al mercado financiero (Cardona, 2008).
A su vez, papel de los particulares como agentes de la gestión del riesgo se puede entender desde dos perspectivas: i) el incremento de capacidades individuales, y ii) el ejercicio de la función por medio de la descentralización por colaboración.
La capacidad de respuesta de los individuos frente a los desastres determina un mayor nivel de riesgo al relacionarse de forma inversa con la vulnerabilidad social. De esa forma, a mayor capacidad de los individuos, será menos vulnerable la sociedad a la cual pertenecen (Wiesner et al., 2012). Esta variable del riesgo está convenida por las condiciones en las cuales los particulares desarrollan sus actividades, la forma en que están construidas sus viviendas, si se encuentran o no asegurados frente a la ocurrencia de desastres, si se encuentran integrados a una red de apoyo en su comunidad, su nivel educativo, y, especialmente, refiere a las acciones que toman día a día de cara a la ocurrencia de un desastre en cosas tan sencillas como tener un botiquín de primeros auxilios o una linterna en casa.
Si bien las regulaciones administrativas pueden establecer disposiciones generales de reducción de las condiciones de vulnerabilidad al establecer medidas obligatorias que disminuyen el riesgo de desastre, como la obligatoriedad en algunos establecimientos comerciales de marcar las rutas de evaluación, o el aseguramiento obligatorio de todos los bienes públicos o privados que excedan cierto valor; el incremento de capacidades pasa por la identificación de cada individuo de sus principales amenazas y sus factores de vulnerabilidad para que, de esa forma, pueda actuar hacia la reducción de su fragilidad frente a las catástrofes que lo podrían afectar.
Corresponde a cada individuo precaver y tomar acción para incrementar sus capacidades de cara a las amenazas que lo pueden afectar. No obstante, también es un deber en el sentido de que le es plenamente aplicable el principio de precaución en el desarrollo de su actividad, y en virtud de este es posible imponerle cargas y requerirlo dentro del proceso de gestión del riesgo16.
Por otra parte, es preciso aclarar que, dentro de la concepción de nuestro Estado social de derecho la función de gestión del riesgo de desastres es una actividad cuyo ejercicio se encuentra principalmente a cargo del Estado, quien extiende su intervención de forma más o menos amplia dependiendo de su concepción. Sin embargo, debido a su complejidad, se hace necesario, dentro de esta cuarta etapa de desarrollo, una mayor participación de los particulares, tanto de hogares como de organizaciones comunitarias, empresas, entre otros, la cual puede darse por dos caminos: 1) el ejercicio descentralizado de la función, o 2) el establecimiento claro de reglas que delimiten la responsabilidad del Estado y de los particulares frente a las catástrofes. Lo anterior en el entendido de que, más allá del deber constitucional de solidaridad que nos cobija a todos, la gestión del riesgo de desastres es una verdadera obligación de todos los entes públicos, privados y habitantes del territorio, como bien lo establece el artículo 2 de la Ley 1523 de 2012. Lamentablemente, no es aún claro cuáles son las obligaciones concretas y hasta dónde actúa uno y otro frente al riesgo.
La descentralización por colaboración como modalidad de la actuación administrativa se encuentra regulada de forma general en los artículos 123 y 210 de la Constitución, y en los artículos 110 y 111 de la Ley 489 de 1998. La misma, como especie de descentralización, es una de las modalidades de la actuación administrativa que permite que el ejercicio de funciones públicas por parte de los particulares sea por mandato legal, por acto administrativo o por convenio. Ello se justifica por la especialidad del ente privado o del particular en el ejercicio de esta actividad, de acuerdo con la cual se considera que su desempeño sería más eficiente al de un ente público17. En lo específico de la gestión del riesgo de desastres, la descentralización por colaboración se presenta como una alternativa a la limitación de recursos, sobre todo de las entidades territoriales, especialmente en las fases de atención.
Sobre el particular es pertinente mencionar, a manera de ejemplo, que el artículo 80 de la Ley 1523 de 2012 permite que los particulares contraten obras, bienes y servicios para la atención de desastres a cuenta del Fondo Nacional; además de los requisitos establecidos en los artículos 110 y 111 de la Ley 489 de 1998, esta modalidad de la función administrativa está particularmente limitada en tanto que los recursos tendrán como única finalidad atender la calamidad pública que ha sido previamente declarada mediante acto administrativo, y que el ordenador del gasto que haya autorizado la transferencia es responsable por la utilización de los mismos.
Si bien no se han realizado modificaciones de base significativas al Sistema Nacional de Gestión del Riesgo de Desastres en los últimos años, con posteridad a las leyes 1523 y 1575 de 2012, "Por medio de la cual se establece la Ley General de Bomberos", como especial referencia de la gestión del riesgo frente al manejo de las amenazas de incendio en particular, se han expedido importantes instrumentos reglamentarios y de política pública que buscan materializar esta nueva concepción de gestión del riesgo.
Merece la pena destacar: i) el Decreto 1807 de 2014, que fortaleció la incorporación de la gestión del riesgo como condicionante del ordenamiento territorial como actividad del componente de reducción de la vulnerabilidad; ii) el Decreto 2157 de 2017, que estableció las directrices para la elaboración de gestión del riesgo de desastres en entes públicos y privados como actores del sistema; iii) el Decreto 1289, mediante el cual se regula el funcionamiento del Fondo Nacional de Gestión del Riesgo, donde se destaca la creación de subcuentas condicionadas para cada una de las políticas anteriormente mencionadas (identificación, vulnerabilidad y manejo de desastres); y iv) el Decreto 1478 de 2022, mediante el cual se actualiza el Plan Nacional de Gestión de Riesgo.
De igual forma, se expidieron regulaciones territoriales sectoriales de gestión del riesgo frente a amenazas y desastres concretos para actividades de manejo y reducción de la vulnerabilidad como el Plan Nacional de Contingencia para Contención de Hidrocarburos, el Plan de Manejo del Volcán Galeras o del Archipiélago de San Andrés, Providencia y Santa Catalina. Finalmente, se expidieron planes y estrategias importantes como el desarrollo del índice municipal de gestión del riesgo de desastres ajustado por capacidades, la guía de intervenciones resilientes, o la estrategia de reducción del riesgo de erosión costera en Cartagena, entre otros (DNP, 2023).
Finalmente, la delimitación de la responsabilidad del Estado frente a la ocurrencia de fenómenos naturales y su punto de encuentro con las cargas que deben asumir los particulares en cumplimiento de la obligación de auto-protección, se constituyen como el principal desafío para delimitar el alcance de la función administrativa. Resulta claro que el Estado es responsable por la gestión del riesgo de desastre de sus propios activos, de ahí que sea obligatorio asegurar los edificios públicos y la mayoría de los bienes fiscales.
No obstante, si bien frente a cierto tipo de actividades como las construcciones o el manejo de sustancias peligrosas, entre otras, es posible establecer por vía de regulación el baremo por debajo del cual el particular debe asumir la carga y encargarse de manejar su riesgo, no es del todo claro hasta dónde debe respaldar a los particulares o responder por los daños que sufran ante la ocurrencia de un desastre, sean ellos físicos o personales (Cardona et al., 2008). De esa forma, debería ser posible establecer cuáles son las coberturas mínimas o el nivel de transferencia del riesgo que deberían tener los particulares debajo de los cuales el Estado no debería responder, o las acciones de mitigación que debieron tomar para reducir su vulnerabilidad con acciones tan simples como conocer a sus vecinos para facilitar las labores de búsqueda y rescate, ente otros escenarios. Sin embargo, desde la otra cara de la moneda es preciso advertir que también es difícil limitar el apoyo que pueda brindar al Estado a comunidades pobres que pudieran estar asentadas en zonas no avaladas para la construcción; o a la compra de la producción de alimentos de campesinos cuyos cultivos son la única manera de sustento.
CONCLUSIÓN
A lo largo del texto ha sido posible advertir cómo la función administrativa de gestión del riesgo de desastres pasó, en un primer momento, de utilizar mecanismos constitucionales de excepción a ser una función administrativa de policía de carácter permanente, para posteriormente mutar desde una actividad meramente reactiva hacia un despliegue proactivo y material de la actuación estatal de la mano de los principios de precaución y eficacia. Sin perjuicio de la importancia de este proceso para la consolidación de las instituciones para la gestión del riesgo de desastres en nuestro país, resulta claro que actualmente tenemos un arsenal mixto de instrumentos en donde se combinan disposiciones constitucionales de excepción, facultades de policía administrativa para la regulación y el control de actividades peligrosas, y actividades proactivas de la administración y los particulares, todas ellas expresión de lo que es la gestión integral de la gestión del riesgo. No obstante, destacamos la importancia de fortalecer los instrumentos de la última etapa como camino hacia la materialización efectiva de las políticas de: i) identificación del riesgo: ii) reducción de la vulnerabilidad física, social y económica; y iii) manejo de desastres que la componen.
En el primer estadio se entendía, bajo un enfoque socorrista, que todas las acciones se deberían concentrar en atender la emergencia, de ahí que se permitiera, mediante el derecho constitucional de excepción, romper con la institucionalidad del tiempo de normalidad, a fin de concentrar la cantidad de facultades necesarias para resolver la crisis. Sin embargo, de la mano con estas facultades, surgió la preocupación por limitar el ejercicio del poder que acumulaba el Ejecutivo a través de controles, igualmente férreos y extraordinarios.
Posteriormente, se vio la necesidad de contar con instrumentos de carácter permanente que permitieran regular y controlar el ejercicio de actividades peligrosas, para mantener un nivel aceptable de riesgo, y unas capacidades permanentes que facultaran para atender las emergencias. En este momento, la creación de entes de atención de emergencias, la regulación sectorial, junto con las facultades de inspección, vigilancia y control, se erigen como principal alternativa frente al riesgo de desastres. No obstante, la ausencia de medios materiales para el funcionamiento de este Estado vigilante representa una importante limitación a la eficacia de esta actividad administrativa.
El incremento de la vulnerabilidad y de las amenazas permitió poner de presente la necesidad de intervenir activamente en la reducción del riesgo y no quedarse de brazos cruzados esperando su concreción. Así, esta función administrativa de policía encuentra un nuevo contenido a partir de los principios de precaución y de eficacia, gracias a los cuales el Estado admite un papel proactivo y no solamente reactivo frente al riesgo, que le permite concentrar su acción en la reducción de la vulnerabilidad. Sin embargo, la ausencia de recursos de las autoridades que deben realizar este despliegue material para gestionar el riesgo, especialmente de las municipales, significa una limitante en la práctica para la consecución de este interés.
Adicionalmente, se hace necesario, con el fin de establecer cuál es el alcance del papel del Estado, determinar: i) el nivel aceptable de riesgo hacia el cual debe orientarse la actividad administrativa, y ii) la relación con los particulares. Frente a lo primero, la regulación positiva, las buenas prácticas globales, el apetito de riesgo en el mercado, y la autorregulación de los privados surgen como alternativas válidas en esta tarea. Respecto de lo segundo, el incremento de las capacidades y su relación con la vulnerabilidad social y la descentralización por colaboración, como mecanismos de reparto de cargas entre particulares y Estado, permiten conocer el límite de la responsabilidad y alcance del papel del Estado en la gestión del riesgo, principal desafío actual en la consolidación de esta actividad de carácter proactivo.
Así las cosas, hoy contamos con que la gestión del riesgo de desastres está realizando un tránsito progresivo hacia un manejo integral de las variables del riesgo; sin embargo, aún se nutre de instrumentos propios del derecho constitucional de excepción y del derecho administrativo de policía clásico, que más que incompatibles, resultan complementarios al nuevo enfoque dirigido a la reducción de la vulnerabilidad, habida cuenta de que todas estas instituciones y su fortalecimiento favorecen nuestra seguridad frente a las catástrofes.
REFERENCIAS
Alianza del Pacífico (2018). El bono catastrófico: gestión del riesgo de la Alianza del Pacífico. https://alianzapacifico.net/el-bono-catastrofico-gestion-de-riesgo-de-la-alianza-del-pacifico/
Álvarez García, V. (2021). Los fundamentos del derecho de necesidad en tiempo de la Covid-19. Teoría y Realidad Constitucional, 1 (48), 297-314.
Álvarez García, V., Arias Aparicio, F. y Hernández Díaz, E. (2020). Lecciones jurídicas para la lucha contra las epidemias. Iustel.
Álvarez León, R. (2003). Los manglares de Colombia y la recuperación de sus áreas degradadas: revisión bibliográfica y nuevas experiencias. Madera y Bosques, 1 (9), 3-25.
Arbouin Gómez, F. (2020). Aplicación de los principios de solidaridad y sustentabilidad en el desarrollo territorial colombiano. Pontificia Universidad Javeriana.
Baldwin, R. y Cave, M. (1999). Understanding Regulation: Theory, Strategy and Practice. Oxford University Press.
Banco Mundial (2012). Análisis de la gestión del riesgo de desastres en Colombia: un aporte para la construcción de políticas públicas. Banco Mundial.
Banco Mundial (2018). Banco Mundial emite bono catastrófico contra terremotos en la Alianza del Pacífico. https://www.bancomundial.org/es/news/press-release/2018/02/07/banco-mundial-emite-bono-catastrofico-contra-terremotos-en-la-alianza-del-pacifico
Bello, O. (2017). Desastres, crecimiento económico y respuesta fiscal en los países de América Latina y el Caribe, 1972-2010. Revista de la Cepal, 121, https://hdl.handle.net/11362/41141
Bello, O., Bustamante, A. y Pizarro, P. (2020). Planificación para la reducción del riesgo de desastres en el marco de la Agenda 2030 para el Desarrollo Sostenible. Cepal.
Benzina, S. y Blacher, P. (2021). Les états d’exception, un test pour l’état de droit. Revue du Droit Public et de la Science Politique en France et à L'Etranger.
Cardona Arboleda, O. D., Marulanda, M. C. y Barbat, A. (2010). Revealing the socioeconomic impact of small disasters in Colombia using the Desinventar Database. Disasters, 2 (34), 552-70.
Cardona Arboleda, O. D. y Wiesner, L. R. (2011). Responsabilidad ex post del estado: caso de Colombia y otros modelos internacionales. Banco Mundial.
Cardona Arboleda, O. D., Marulanda, M. C., Ordaz, M. y Barbat, A. (2008). La gestión financiera del riesgo desde la perspectiva de los desastres. Centro Internacional de Métodos Numéricos en Ingeniería (CIMNE).
Chen, J., Farber, D., Verchick, R. y Grow Sun, L. (2010). Disaster Law and Policy (2.a ed). Aspen.
Cisterna, G., Acuña Duarte, A. y Salazar, C. (2022). Government performance, geophysical-related disasters, and institutional trust: A comparison of chilean and haitian responses after an earthquake. International Journal of Disaster Risk Reduction (75).
Comisión Económica para América Latina y el Caribe (Cepal), Banco Interamericano de Desarrollo (BID) (2000). Un tema del desarrollo: la reducción de la vulnerabilidad frente a los desastres. Cepal.
Cruz Betancourt, C. I., Parra Sandoval, F. y Roa López, N. G. (2015). Armero Diez años de ausencia. Universidad de Ibagué.
Darnaculleta Gardella, M. M. (2016). Derecho administrativo global. ¿un nuevo concepto clave del derecho administrativo? Revista de Administración Pública, (199), 11-50.
Darnaculleta Gardella, M. M., Esteve Pardo, J. y Dohmann, I. (2015). Estrategias del derecho ante la incertidumbre y la globalización. Marcial Pons.
Departamento Nacional de Planeación (DNP) (2023). Logros en gestión del riesgo de desastres. https://www.dnp.gov.co/programas/ambiente/gestion-del-riesgo/Paginas/gestion-del-riesgo.aspx
Dillon, B. (2014). Emergency Planning, Crisis and Disaster Management (2.a ed). Blackstone's.
Dyzenhaus, D. (2009). The Constitution of Law: Legality in a Time of Emergency. (2.a ed). Cambridge University Press.
Esteve Pardo, J. (2012). La intervención administrativa en situaciones de incertidumbre científica. El principio de precaución en materia ambiental. En Derecho del medio ambiente y administración local. Fundación Democracia y Gobierno Local.
Faggiani, V. (2020). Los estados de excepción.Perspectivas desde el derecho constitucional europeo. Universidad de Granada.
Fernández Rodríguez, T. R. (1970). Las medidas de policía: su exteriorización e impugnación. Revista de Administración Pública, (161).
Gaillard, J. C. (2010). Vulnerability, capacity and resilience: Perspectives for climate and development policy. Journal of International Development (22), 218-232.
Geller De Pinto, I. (2012). El cambio de paradigma: de la atención de desastres a la gestión del riesgo. Sapiens Research, 2 (1), 13-17.
González Gómez, L. (2005). La evaluación en la gestión de proyectos y programas de desarrollo. Servicio Central de Publicaciones del Gobierno Vasco.
González Jácome, J. (2015). Estados de excepción y democracia liberal en América del Sur: Argentina, Chile y Colombia (1930-1990). Pontificia Universidad Javeriana.
Hernández Becerra, A. (Ed.) (2003). Objetivos inéditos de la categorización municipal. Universidad Externado de Colombia.
Huertas Gómez, E. (1988). Una experiencia de planeación participativa de un organismo no gubernamental en apoyo a la reconstrucción de las zonas afectadas por la erupción del Nevado del Ruiz. Universidad Nacional. https://repositorio.unal.edu.co/handle/unal/7133
Icard, P. (2019). Le principe de précaution: exception à l'application du droit communautaire? Revue Trimestrielle de Droit Européen, 3 (38).
Lago Montúfar, A. M. (2022a). El control de la contratación estatal para desastres. Pontificia Universidad Javeriana.
Lago Montúfar, A. M. (2022b). La eficacia en la contratación estatal para desastres. Universidad de Salamanca.
Lauta, K. C. (2015). Disaster Law. Routledge.
Lavell, A. (2000). Desastres durante una década: Lecciones y avances conceptuales y prácticos en América Latina (1990-1999) Anuario Social y Político de América Latina y el Caribe (3).
Losada Maestre, R. (2005). Buscando el riesgo aceptable: sobre los métodos de análisis de riesgos empleados en la elaboración de políticas públicas. Gestión y Análisis de Políticas Públicas.
Luján, J. L. y Echeverría, J. (2004). Gobernar los riesgos: ciencia y valores en la sociedad del riesgo. Biblioteca Nueva.
Maldonado Copello, A. (2012). Los límites de la descentralización territorial: el caso de Colombia. Universidad Complutense de Madrid.
Marulanda Fraume, M. y Cardona Arboleda, O. D. (2018). Atlas de riesgo en Colombia: revelando los desastres latentes. Unidad Nacional de Gestión el Riesgo de Desastres (Ingeniar).
Montoro Chiner, M. J. (2003). Seguridad jurídica, principio de cautela y comités científicos. Documentación Administrativa, (256).
Pardo Leal, M. (1999). La aplicación del principio de precaución: del derecho del medio ambiente al derecho alimentario. Alimentaria: Revista de Tecnología e Higiene de los Alimentos, (301), 19-30.
Perry, R. (Ed.) (2007). What is a Disaster? Springer.
Quarantelli, E. L. (1985). What is a disaster? The need for clarification in definition a conceptualization in research. Mental Health and selected contemporary perspectives - University of Delaware. 41-73. https://journals.sagepub.com/doi/abs/10.1177/028072709501300301
Quintero Salleg, C. P. (2013). Mecanismos de aseguramiento de los hogares ante choques de desastres naturales en México. Universidad de los Andes.
Rabin, R. (1978). Dealing with disasters: Some thoughts on the adequacy of the legal system. Stanford Law Review, 2 (30).
Rastrollo Suárez, J. J. (2019). Contratación pública y compliance ambiental. Universidad de Salamanca.
Rivero Ortega, R. (2005). Derecho administrativo, reformas de segunda generación, desarrollo y control de la corrupción: proyecciones sobre el caso colombiano. CLAD sobre Reforma del Estado y Modernización de la Administración Pública.
Rivero Ortega, R. (1999). El Estado vigilante: consideraciones jurídicas sobre la función inspectora de la administración. Tecnos.
Rodríguez-Nikl, T. y Brown, C. (2011). Sustainability: Complexity, Regulations and Decisions. American Society of Civil Engineers.
Rosenfeld, M. y SAJO, A. (2013). The Oxford Handbook of Comparative Constitutional Law. Oxford University Press.
Santofimio Gamboa, J. O. (2011). La urgencia manifiesta frente a las calamidades. Economía Colombiana, (311).
Schenk, G. J. (2017). Historical experiences: First steps towards comparative and transcultural history of disasters across Asia and Europe in the Preindustrial Era. En G. J. Schenk (Ed.). Historical Disaster Experiences. Springer.
Shaw, R., Pulhin, J. y Pereira, J. J. (Eds.) (2011). Climate Change Adaptation and Disaster Risk Reduction: Overview of Issues and Challenges, 4. Emerald.
Stuart Olson, R. y Sarmiento Prieto, J. P. (1999). El desastre de Cauca y Huila en Colombia no es otro Armero. Desastre y Sociedad, 1 (4).
Troper, M. (2011). Le droit de la nécessité. Presses Universitaires de France.
UNISDR (2018). Economic losses, poverty & disasters: 1998-2017. Naciones Unidas.
Wiesner Morales, L. R. (1988). Desastre y derecho: el orden jurídico frente al caos. El caso nuclear. Revista de Derecho Privado, (1), 25-55.
Wiesner, B., Gaillard, J. C. y Kelman, I. (2012). Handbook of Hazards and Disaster Risk Reduction. Routledge.
Wiesner, L. R. (1991). Desastre y derecho: una aproximación al riesgo tecnológico. Temis.
Wilson, L. y Mccreight, R. (2012). Public emergency laws & regulations: Understanding constrains & opportunities. Journal of Homeland Security and Emergency Management, 2 (9).
Notas