Artículos originales
Recepción: 01 Agosto 2020
Aprobación: 11 Enero 2021
Publicación: 03 Junio 2021
DOI: https://doi.org/10.14482/INDES.30.1.303.661
Financiamiento
Fuente: Universidad Nacional de Cajamarca y Representaciones FRANCAR. Agradecemos al Ingeniero Juan Montoya Quino (Curador del herbario CPUN)
Nº de contrato: Contrato 685-INNOVATEPERU-PICE1-2017
Resumen: Se describió la biología y ecología de cuatro especies medicinales deGentianella(Gentianaceae), con énfasis en aspectos relacionados con la producción, incluyendo el análisis de flavonoides totales. Todas las especies evaluadas fueron hierbas pequeñas.Gentianella gramineayG. crassicaulisson perennes yG. dianthoidesyG. bicolorson anuales. Mientras queG. dianthoidesproduce abundantes semillas, las otras tienen muy escasa a moderada producción de semillas; todas con bajo poder germinativo.Gentianella crassicaulisproduce hasta 90 g de materia seca/planta, mientras que las restantes menos de 10 g de materia seca/planta.Gentianella gramineapresentó niveles significativamente mayores de flavonoides totales en hoja y tallo comparado conG. dianthoidesyG. crassicaulis(p< 0,05). Tres especies (G. graminea,G. crassicaulisyG. dianthoides)habitan en la región Jalca (2700 a 2850 m s.n.m.), asociadas a 30 especies (16 también medicinales); mientras queG. bicolorhabita en la región Quechua (2600 a 2750 m s.n.m.), asociada a 17 especies (9 medicinales). Las cuatro especies tuvieron poblaciones escasas (≤ 2,5 plantas/m2) y su regeneración natural fue baja (1-4 plantas/m2).Gentianella dianthoidesyG. crassicaulisse encuentran en estado vulnerable de conservación, por lo que se recomienda suspender su recolección.
Palabras clave: Etnobotánica, flavonoides, Gentianaceae, Jalca, Quechua.
Summary: The biology and ecology of four medicinal species ofGentianella(Gentianaceae) were described, with emphasis on aspects related to production, including the analysis of total flavonoids. All the evaluated species were small grasses.Gentianella gramineaandG. crassicaulisare perennial andG. dianthoidesandG. bicolorare annual. WhileG. dianthoidesproduces abundant seeds, the others have little to moderate seed production, all with low germination capacity.Gentianella crassicaulisproduces up to 90 g of dry matter/plant, while the rest produces less than 10 g of dry matter/plant.Gentianella gramineapresented significantly higher levels of total flavonoids in leaves and stems compared toG. dianthoidesandG. crassicaulis(p< 0,05). Three species (G. graminea,G. crassicaulisandG. dianthoides) occur in the Jalca region (2700 to 2850 m a.s.l.), along with other 30 species (of which 16 medicinal); whileG. bicolorinhabits the Quechua region (2600 a 2750 m a.s.l.), along with 17 species (9 medicinal). The four species had scarce populations (≤ 2,5 plants/m2) and their natural regeneration was low (1-4 plants/m2).Gentianella dianthoidesandG. crassicaulisare in a vulnerable state of conservation, so it is recommended to suspend their collection.
Key words: Ethnobotany, flavonoids, Gentianaceae, Jalca, Quechua.
Introducción
En el norte peruano existen más de 500 especies de plantas medicinales, que se ubican principalmente en la franja altoandina (Sánchez, 2014; Bussmann et Sharon, 2015; Galán de Mera et al., 2018), dentro de las cuales, se destacan varias del géneroGentianellaMoench (Gentianaceae). Este género se distribuye en regiones templadas y tropicales del mundo y comprende aproximadamente 250 especies, de las cuales 104 se registran en Perú (Castillo et Pringle, 2018). Se calcula que al menos 60 especies son endémicas de Perú (Castillo et al., 2006). La franja comprendida por encima de 2700 m s.n.m., correspondiente a las provincias de Cajamarca, Hualgayoc y Celendín (Región Cajamarca, Perú) resulta importante por su alta diversidad de plantas medicinales (Sánchez, 2014). Sin embargo, esta franja ha sido muy intervenida en las últimas décadas, principalmente por la agricultura, ganadería y minería. Las concesiones mineras para estas tres provincias cubren el 66%, 94% y 42% de sus territorios, respectivamente (Grupo Propuesta Ciudadana, 2014); constituyendo el principal factor de riesgo, por las explotaciones a tajo abierto que destruyen las áreas naturales. En el área del presente estudio, se han identificado ocho especies deGentianella, de las diez reportadas para la Región Cajamarca:G. graminea(Kunth) Fabris (“chinchimalí”, “sumarán”, “corpushuay”),G. dianthoides(Kunth) Fabris ex J. S. Pringle (“sumarán anaranjado”, “amargón anaranjado”, “corpushay anaranjado”, “campanilla”, “genciana”),G. crassicaulisJ. S. Pringle (“amargón morado”, “corpushay morado”, “corpushay hembra”, “violeta genciana”),G. bicolor(Wedd.) Fabris ex J. S. Pringle (“corpushayta”, “flor de cristo”, “mashca mashca”, “hórnamo de león”),G. raimondiana(Wedd.) J. S. Pringle,G. uberulaJ. S. Pringle yG. arenarioides(Gilg) J. S. Pringle,G. sancheziiJ. S. Pringle (Pringle, 2008; Seminario et Sánchez, 2010; Bussmann et Sharon, 2015; Galán de Mera et al., 2018; Castillo et al., 2019). Las primeras cuatro especies son las más importantes por su uso tradicional y volumen de extracción para abastecer a los mercados locales, así como de la costa de Perú. Éstas y otras especies deGentianella[G. nitidaGriseb.,G. alborosea(Gilg) Fabris] son conocidas comercialmente como “hercampure” o “hercampuri” (Huamán et al., 2015; Carbonel et al., 2016). En la medicina tradicional y en el mercado se reconoce que los hercampures contienen principios amargos y se recomiendan para tratamiento de la gripe, diabetes, colesterol alto, obesidad, trastornos del hígado, detoxificación de la sangre, dolores estomacales, gastritis, afecciones de la piel (acné), dolores postparto, artritis, reumatismo así como estimulantes del apetito (Seminario et Sánchez, 2010; Bussmann et Sharon, 2015). Por su uso en medicina tradicional y como insumo para la elaboración de medicamentos, existe una incrementada recolección de estas especies.
Estas especies contienen polifenoles (del tipo flavonoides), xantonas, peptinas, saponinas, triterpenos secoiridoides, sesquiterpenoides, esteroles, taninos, leucoantocianinas y aminoácidos libres (Huamán et al., 2015; Carbonel et al., 2016). Los flavonoides son compuestos sintetizados en las plantas por la vía del fenilpropanoide, con propiedades antioxidantes, antiinflamatorias, antimutagénicas y anticarcinogénicas, con capacidad para regular sistemas enzimáticos y comportarse a su vez como prebióticos (Quiñones et al., 2012; Carbonel et al., 2016; De Paula et al., 2018). Para propiciar la conservación y uso sostenible de estas especies se requiere el conocimiento de la biología y ecología en su hábitat natural, como base para su domesticación y cultivo. El objetivo del presente estudio fue describir la biología y ecología de cuatro especies deGentianellarecolectadas para el mercado en las provincias de Cajamarca, Hualgayoc y Celendín procedentes de la Región Cajamarca, Perú; con especial énfasis en sus características productivas y su contenido de flavonoides totales.
Materiales y Métodos
Área de estudio y especies involucradas
La investigación se realizó entre mayo 2018 y septiembre 2019 (en 15 salidas de campo), en las regiones Quechua y Jalca (Pulgar Vidal, 1996) de las provincias de Hualgayoc, Celendín y Cajamarca de la Región Cajamarca, Perú; entre los 2700 y 4100 m s.n.m., donde se ubicaron las cuatro especies en estudio:Gentianella graminea, G. dianthoides,G. crassicaulisyG. bicolor.
Se tomaron como base los registros y colectas deGentianelladel Herbario Isidoro Sánchez Vega (CPUN) de la Universidad Nacional de Cajamarca y estudios previos realizados (Seminario et Sánchez, 2010). En las exploraciones de campo, se contó con el apoyo de personas de cada zona para localizar las especies con mayor población por superficie ocupada y densidad poblacional. Se colectaron muestras para el herbario de las especies en estudio, así como de sus especies asociadas. Las muestras fueron acondicionadas para su identificación, siguiendo la metodología de Rodríguez et Rojas (2006). La identificación de especies se realizó mediante comparación con los ejemplares identificados y depositados en el herbario CPUN de la Universidad Nacional de Cajamarca, según Pringle (2008). La actualización de la nomenclatura se realizó de acuerdo con The Plant List (2019) y Tropicos (2019). El material botánico identificado y etiquetado fue depositado en el herbario CPUN (Serie WSC 1-42).
Biología de las especies en estado silvestre
Morfología.Con plantas frescas de cada una de las especies evaluadas, se describieron algunas características de estas plantas, con especial énfasis en aspectos no considerados en la literatura. En 10 plantas tomadas al azar, se evaluó el número de frutos por planta, número de semillas por fruto, diámetro y peso de 1000 semillas.
Fenología y regeneración natural de las poblaciones.Se tomaron en cuenta poblaciones representativas, tomando en consideración la distribución, abundancia de cada especie y accesibilidad, pues las áreas más cercanas a las explotaciones mineras no fueron accesibles. Las poblaciones se localizaron en las comunidades de Sendamal y Coimolache paraGentianella graminea, Cumullca y Coimolache paraG. dianthoides, Cumullca paraG. crassicaulis, así como Sangal y Frutillo bajo paraG. bicolor. Durante 12 meses, se hizo un seguimiento del desarrollo fenológico de cada especie, con énfasis en las etapas vegetativa y reproductiva, lo que permitió describir el ciclo anual de las poblaciones silvestres. La regeneración natural de las poblaciones se evaluó mediante el conteo del número de plántulas alrededor de las plantas (G. gramineayG. crassicaulis) o plantas adultas (G. dianthoidesyG. bicolor) siguiendo la metodología utilizada para estudiar la regeneración deValeriana pilosaen la Jalca de Huanico (Seminario-Cunya et al., 2016). La evaluación se hizo en 20 parcelas de 1 m2, seleccionadas al azar. Las plántulas presentes en estas áreas provienen de las semillas que caen al suelo en cada temporada de fructificación.
Germinación de semillas en laboratorio. Se realizó con semillas de 8 semanas de edad postcosecha y en 2 repeticiones de 100 semillas cada una. Las semillas fueron colocadas en placas Petri, conteniendo láminas de papel absorbente húmedo (con agua destilada) y se mantuvieron con luz y temperatura de laboratorio (19 °C) durante 60 días. Se evaluó el poder germinativo (número total de semillas germinadas), velocidad (tiempo necesario para que germine el 50% de semillas, con relación al total de semillas germinadas) y uniformidad de la germinación (tiempo entre las primeras y últimas semillas germinadas) (Pérez-Martínez et al., 2014a).
Determinación de la materia seca de las plantas. La materia seca de las plantas en estado de recolección se determinó tomando una muestra aleatoria de 30 plantas en plena floración. Para ello, las plantas fueron divididas en partes aérea y subterránea. Dichas secciones se pesaron y se colocaron en una estufa a 65 °C hasta peso constante. El porcentaje de materia seca fue calculado tomando como referencia el peso fresco mediante la siguiente ecuación:
Flavonoides totales. Debido a la disponibilidad del material vegetal, la evaluación del contenido de flavonoides totales se realizó en tres especies (G. graminea,G. dianthoidesyG. crassicaulis). Los extractos se obtuvieron de hojas y tallos secos con diferentes concentraciones de etanol (50%, 80% y 96%), diluidos 1/5 (p/v), en agitación constante, durante 3 días. Posteriormente, fueron filtrados con papel filtro Whatman N° 2. Los extractos secos se obtuvieron mediante concentración en rotavapor a 40 °C por ٢ horas, seguido de secado en estufa a ٤٠ °C durante 24 horas. Los flavonoides totales fueron cuantificados según el método de Wolfe et Liu (2013), con algunas modificaciones. Brevemente, a cada 250 µl del extracto, se agregó 125 µl de agua destilada y 75 µl de nitrito de sodio al 5%. Esta mezcla se dejó reposar durante 5 minutos, y se adicionó 150 µl de tricloruro de aluminio al 10%. Después de 6 minutos, se añadió 0,5 ml de hidróxido de sodio 2M y 275 µl de agua destilada. Finalmente, se midió la absorbancia a 510 nm, y se comparó con una curva estándar, utilizando diferentes concentraciones de catequina. El contenido de flavonoides totales fue expresado en miligramos equivalentes de catequina/gramo extracto seco (mg CE/g extracto seco).
Ecología de las poblaciones
Distribución y parámetros ambientales para las especies estudiadas. En los recorridos de campo, se ubicaron las poblaciones de cada especie a evaluarse, las cuales fueron georreferenciadas para elaborar un mapa de distribución distrital. En el hábitat de cada especie seleccionada, se describieron aspectos de la fisiografía y se tomaron muestras de suelo, para el análisis de textura, pH, materia orgánica, fósforo disponible y potasio disponible (EEBI-INIA, 2018). Se tomaron como referencia los datos de precipitación mensual y la temperatura diaria de una estación tipo para las especies de Jalca y otra para las especies de Quechua (ante la falta de estaciones meteorológicas en cada lugar): Estación Meteorológica de Huanico (3708 m s.n.m.) paraG. graminea, G. dianthoidesyG. crassicaulis(Asociación Civil para la Investigación y Desarrollo Forestal, 1995) y Estación Meteorológica del distrito de Jesús (2700 m s.n.m.) paraG. bicolor(Climate-data.org, 2019).
Densidad de poblaciones, especies asociadas e índices de diversidad alfa.Con el propósito de determinar la densidad poblacional (en plantas/m2, según la especie), la frecuencia relativa (Fr, %) y la abundancia relativa (Ar, %) de cada especie, se contaron las especies y el número de individuos por especie (incluyendo las especies asociadas) en 20 puntos tomados al azar y en parcelas de 1 m2de área (Mostacedo et Fredericksen, 2000), en las poblaciones seleccionadas. Asimismo, utilizando las fórmulas descritas por Mateucci et Colma (1982), se calcularon los índices de diversidad, equidad de Shannon-Wiener (H’) y dominancia de Simpson (λ) (Magurran, 2004; Moreno, 2001).
Análisis estadístico
Los datos se presentan con los valores promedios, desviación estándar (DE), siendo analizados mediante el programa SPSS para Windows versión 24.0 (SPSS, Inc., Chicago, IL, USA). Se realizó un análisis de covarianza (ANCOVA) para evaluar el impacto de los días transcurridos para la toma de datos sobre el poder germinativo, uniformidad y velocidad de germinación. Un análisis de varianza (ANOVA) seguido de la Prueba de Comparación Múltiple de Tukey fue utilizada para evaluar diferencias en el porcentaje de materia seca y niveles de flavonoides totales. Los resultados fueron considerados significativos a unp< 0,05.
Resultados
Biología de las cuatro especies de Gentianella de la Región Cajamarca, Perú
Morfología de las plantas.A continuación se presenta una descripción de las especies, de acuerdo a los datos recogidos en el presente estudio.
Gentianella graminea(Kunth) Fabris (Fig. 1). Es una hierba perenne de 15 a 22 cm de alt. De hojas verdes, botón floral de color blanco-púrpura. Las flores (en cima corimbiforme terminal) blancas, campanuladas con cinco sépalos fusionados en forma de un tubo corto de color verde claro, pétalos unidos en la base. Filamentos estaminales amarillentos y anteras marrones. La cápsula de color marrón oscuro, de 16 mm de long. y de 2 mm de diám. Las semillas marrones, lisas y esféricas, de 0,5 mm de diám. Cada fruto contenía en promedio 17 semillas. Mil semillas pesaron 180 mg.
Gentianella dianthoides(Kunth) Fabris ex Pringle (Fig. 2). Es una hierba anual de 35 cm de alt. Hojas verde-amarillentas. Las flores (en cima terminal) rojo-anaranjadas, campanuladas, cinco sépalos unidos, cinco pétalos, estambres cremosos y anteras marrones. La cápsula color marrón claro de 20 mm de long. y 3 mm de diám. Cada planta produjo de 3 a 30 frutos. Se encontraron en promedio 32 semillas por fruto y hasta 960 semillas por planta. Las semillas son esféricas, negras, de 0,5 mm de diám. Mil semillas pesaron 170 mg.
Gentianella crassicaulisJ. S. Pringle (Fig. 3). Es una hierba perenne de mayor tamaño que las especies anteriores, alcanza hasta 45 cm de alt. Hojas verdes claro con borde morado, tallo con entrenudos cortos en la base. Las flores (en cima terminal umbeliforme) púrpuras, campanuladas, con tres ejes florales por planta. La cápsula de 22 mm de long. y 3 mm de diám. Cada planta produjo de 8 a 60 frutos y cada fruto contenía 12 semillas en promedio. Se encontraron hasta 720 semillas por planta. Las semillas marrones, elipsoideas, de 0,5 mm de diám. Mil semillas pesaron 285 mg.
Gentianella bicolor(Wedd.) Fabris (Fig. 4). Es una hierba anual de 30 cm de alt., de hojas verde púrpura. La flor (en cima terminal umbeliforme), púrpura-azulada, campanulada, con cinco sépalos fusionados en un tubo corto de color morado claro, cinco pétalos, con cinco estambres cremosos. La cápsula de color marrón-amarillento, de 18 mm de long. y 3 mm de diám. En cada planta se encontraron de 3 a 16 frutos y cada fruto contenía, en promedio, 28 semillas. Cada planta produce hasta 450 semillas. Las semillas son lisas, esféricas y negras, de 0,5 mm de diám. Mil semillas pesaron 303 mg.
Fenología y regeneración natural de las poblaciones. Gentianella dianthoides, G. crassicaulisyG. bicolor, estuvieron en estado vegetativo desde noviembre hasta abril. A partir de abril o inicios de mayo (coincidiendo con el inicio de la temporada de estiaje), se inició la fase reproductiva. En las tres especies, los procesos de floración y fructificación fueron progresivos, de modo que, en un momento determinado y sobre un mismo eje reproductivo, se encontraron flores, frutos y semillas en diferentes estados de desarrollo. En cambio,G. graminea,no presentó estadios fenológicos definidos, porque florece y fructifica todo el año, aunque con mayor intensidad entre junio y octubre.Gentianella gramineayG. crassicaulisse regeneran naturalmente de dos formas: (1) mediante la semilla producida en cada temporada y (2) mediante propagación vegetativa a través de los rizomas de las plantas adultas. Esto implica que una vez que termina la etapa reproductiva, los ejes reproductivos mueren y se generan nuevos brotes laterales que expondrán inflorescencias y frutos en la siguiente temporada. Esto es menos notable enG. graminea, en la cual se produce floración durante todo el año, debido a la presencia de brotes de diferente edad en cada planta. La regeneración deG. dianthoidesyG. bicolores solo a través de semilla. Por lo tanto, al final del ciclo las plantas mueren.
La regeneración natural por semilla en las cuatro especies fue baja: 2,3±1,2 plántulas/m2enG. graminea; 3,5 ± 1,2 plántulas/m2en G. dianthoides; 1,2 ± 0,4 plántulas/m2enG. crassicaulisy 4,3 ± 2,5 plántulas/m2enG. bicolor.
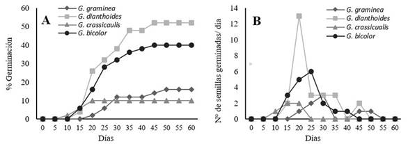
Germinación de semillas en laboratorio. Las semillas de la temporada, después de ocho semanas postcosecha, empezaron a germinar en las placas Petri entre los 15 a 20 días de la siembra y continuaron germinando en número variable hasta la finalización el ensayo. El poder germinativo alcanzó los niveles más altos enG. dianthoides(52%) yG. bicolor(40%), enG. gramineayG. crassicaulis, los valores fueron de 16% y 10%, respectivamente (Fig. 5A).Gentianella dianthoidespresentó la mayor velocidad de germinación, el 50% de las semillas germinó a los 25 días. En cambio, enG. bicolor,el 50% de semillas germinadas se alcanzó a los 30 días. Estas últimas especies presentaron la misma falta de uniformidad de germinación, obteniéndose un 80% de germinación en 70% del tiempo (Fig. 5B). En el análisis de covarianza (ANCOVA), se observó que los días transcurridos para la toma de datos influenció significativamente el poder germinativo, uniformidad y velocidad de germinación (p< 0,001) (datos no mostrados).
Determinación de la materia seca de las plantas.Se observó una variación de la materia seca entre la parte subterránea y aérea de la planta (Tabla 1). Esta variación se explica por la falta de uniformidad en las edades de los individuos evaluados en cada población (por ser silvestres, no se pudo conocer la edad, el único factor de uniformidad de los elementos de la muestra fue su estado de cosecha, como acostumbran los recolectores); asimismo, dichos individuos se desarrollaron en condiciones ecológicas heterogéneas. En las cuatro especies deGentianellaevaluadas, la parte subterránea y aérea fluctuó entre 18,18% a 53,33% y 14,42% a 56,52% de la materia seca, respectivamente.Gentianella dianthoides y G. bicolorpresentaron un significativo mayor porcentaje de materia seca en la parte subterránea (p< 0,05), mientras queG. gramineapresentó un porcentaje significativamente mayor de materia seca en la parte aérea comparado con las demás especies analizadas (p< 0,05). Por su gran tamaño,G. crassicaulis, rindió entre 5 a 16 veces más materia seca que las otras especies (datos no mostrados).
Flavonoides totales.En todas las especies evaluadas, el contenido de flavonoides totales fue significativamente mayor en la extracción con 96% etanol, respecto a las extracciones con 50% y 80% etanol (p< 0,05).Gentianella gramineapresentó niveles de flavonoides totales significativamente mayores en hoja y tallo respecto aG. dianthoidesyG. crassicaulis(p< 0,05).Asimismo, en todos los extractos con diferentes concentraciones de etanol (50%, 80% y 96%), los niveles de flavonoides totales de las tres especies, fueron significativamente mayores en hoja respecto al tallo (p< 0,05) (Tabla 2).
Ecología de las poblaciones de Gentianella en tres provincias de la Región Cajamarca
Distribución y parámetros ambientales para las especies estudiadas. Las cuatro especies se distribuyeron en la parte más alta de 15 distritos de las tres provincias en estudio, en las regiones Quechua y Jalca, entre los 2700 a 4100 m s.n.m. Esta ubicación corresponde a los pisos mesotropical, supratropical y orotropical (Galán de Mera et al., 2019), con diferencias entre especies y provincias de estudio (Fig. 6).Gentianella graminea, se desarrolló en la Jalca, en espacios poco impactados por la actividad antropogénica, entre los 3500 a 4100 m s.n.m., en cerros y planicies, en suelos húmedos o secos.Gentianella dianthoides, se ubicó en la Jalca, en áreas cercanas aG. graminea,habita principalmente en faldas de los cerros, entre 3800 a 4100 m s.n.m., donde la intensidad del viento es alta.Gentianella crassicaulis, es la especie de menor distribución,se desarrolló en la Jalca, entre los 3800 a 4000 m s.n.m., en áreas pequeñas, en suelos de poca pendiente y húmedos o pantanosos. En cambio,G. bicolores típica de la Quechua, ubicada entre los 2700 y 3200 m s.n.m. Habita laderas y colinas de suelos secos y pedregosos. Los suelos donde habitan las especies de Jalca son de textura intermedia, de alta acidez, alto contenido de materia orgánica, alto contenido de fósforo disponible y contenido entre medio y alto de potasio disponible. En cambio, la especie de Quechua (G. bicolor), habita suelos de textura pesada, pH neutro, contenido medio de materia orgánica, contenido bajo de fósforo disponible y alto contenido de potasio disponible (Tabla 3).













Las variables climáticas en la Estación Meteorológica de Huanico (3708 m s.n.m.), típica para las especies de Jalca, indicaron temperaturas máximas de 11,9 ± 0,6 °C, mínimas de ٢,4 ± 2,0 °C y medias de ٧,2 ± 1,2 °C; humedad relativa de ٧٢,0 ± 2,0% y 858 mm de lluvia anual. La precipitación mensual y la temperatura diaria promedio, se muestran en la Fig. 7A.Por otro lado, en los hábitats de la Quechua, la temperatura diaria promedio diaria osciló entre 13,1 a 15,4 °C y la precipitación promedio anual fue de 827 mm. La precipitación mensual y la temperatura diaria promedio se muestran en la Fig. 7B.
Densidad de poblaciones, especies asociadas e índices de diversidad alfa.Las densidades de las especies en estudio fueron: 2,5 ± 1,0 plantas/m2paraG. graminea; 2,0 ± ٠,7 plantas/m2paraG. dianthoides; 1,4 ± ٠,5 plantas/m2paraG. crassicaulisy 2,0 ± 0,9 plantas/m2paraG. bicolor. Las tres primeras, ubicadas en la Jalca están asociadas con 18 (G. crassicaulis) a 30 (G. graminea) especies pertenecientes a diez familias, con predominio de Asteraceae, Poaceae y Caprifoliaceae. Del total de especies asociadas en la Jalca, 16 son también medicinales recolectadas para el mercado (Tabla 4).Gentianella bicolorestá asociada a 17 especies, pertenecientes a ocho familias, con predominio de Poaceae y Asteraceae. Nueve de estas especies asociadas son también medicinales y recolectadas para la comercialización (Tabla 4). Ninguna de las especies en estudio es dominante en su respectivo hábitat. La frecuencia relativa y abundancia relativa fueron bajas, en relación a las especies con los valores más altos en su mismo hábitat (Tabla 5), correspondiendo a frecuencias absolutas de 3 a 6 registros, en el total de observaciones. Los valores del índice de Shannon-Wiener fueron intermedios, si se comparan con los valores máximos esperados, con diferencias entre las especies de Jalca y Quechua. Magurran (2004) y Vargas et Sánchez (2019), indican que los valores esperados son cero cuando solo existe una especie, bajo (0,1-2,9), medio (3,0-4,4) y alto (≥ 4,5). Por otro lado, los valores del índice de Simpson son bajos y en dos casos cercanos al valor mínimo esperado (Tabla 6).
Discusión
Las cuatro especies deGentianellaevaluadas son hierbas pequeñas, morfológicamente similares entre sí y con otras especies descritas previamente para Perú en general (Pringle, 2008, 2017a, 2017b). A excepción deG. graminea(la cual florece y fructifica todo el año), las tres especies restantes sincronizan sus fases fenológicas con las temporadas de estiaje y de lluvias; de modo que la floración y fructificación ocurren en los meses de estiaje y con bajas temperaturas. Este comportamiento es diferente al de otras especies medicinales de Jalca o Páramo, comoValeriana prionophylla(Contreras et Méndez-Estrada, 2014) yValeriana pilosa(Seminario-Cunya et al., 2016), en las cuales la floración y fructificación suceden en los meses de mayor precipitación y temperatura (independientemente de la latitud). Las cuatro especies deGentianellaanalizadas mostraron bajos valores de regeneración natural mediante semillas (1-4 plántulas/m2), en comparación aValeriana pilosa, especie del mismo hábitat, en la cual, se encontró hasta 1124,8 plántulas/m2(Seminario-Cunya et al., 2016). Es decir, tienen baja capacidad para la restauración ecológica (Isuasty-Torres et al., 2014). Los factores involucrados pueden ser la poca producción de semilla, la densidad de la vegetación acompañante que impide la caída de las semillas al suelo y la pérdida de semillas y plántulas por el pastoreo. Estos factores deben analizarse para establecer estrategias o planes de manejo de las especies, con propósito de cosecha y conservación sostenibles (Vargas et Pérez-Martínez, 2014). Ninguna de las cuatro especies en estudio alcanzó un poder germinativo aceptable desde el punto de vista agronómico (≥ 75%) (Rao et al., 2007). Estos valores pueden deberse a diversas formas de dormancia y a la necesidad de requerimientos especiales para mejorar la germinación. Por ejemplo, en otra especie (Halenia majorWedd.) de la misma familia y también de Páramo, se encontró dormancia fisiológica (embrión inmaduro) y respondió a la estratificación y a temperaturas día/noche de 20 °C/10 °C a 30 °C/20 °C. Además, en la evaluación de 13 especies de Páramo, la germinación varió de ١٨-٢٠٪ (Aragoa abietinaKunth) hasta 70-90% (Puya trianaeBaker) (Pérez-Martínez et al., 2014b). Dichas diferencias pueden explicarse también, por las características particulares de cada especie. En el caso deGentianella graminea, las semillas son escasas y no maduran al mismo tiempo dentro del fruto. Asimismo, en un momento determinado, en la misma planta existen flores, frutos y semillas de diferente edad. EnG. crassicaulisse forman muy pocas semillas, aunque son de maduración uniforme. En cambio, enG. dianthoides y G. bicolorexiste mayor número de frutos y semillas y su maduración es más uniforme. La germinación no uniforme y escasa en especies silvestres, constituye una estrategia adaptativa frente a ambientes aleatorios y adversos. Dicha estrategia determina el tipo de banco de semillas necesario para la regeneración natural (Vargas et Pérez-Martínez, 2014). Desde el punto de vista comercial, a excepción deG. crassicaulis(que puede producir hasta 92 g de materia seca por planta), las otras tres especies son poco atractivas como proveedoras de materia prima para la industria. El cultivo tecnificado, puede mejorar esta condición en el mediano plazo, pero se necesita ensayar tratamientos específicos para mejorar la productividad, como se ha realizado en otras especies (Martínez-Arévalo, 2011). La biomasa subterránea en las cuatro especies fue poco significativa, de modo que la cosecha comercial dirigida a la parte aérea sería menos perjudicial para la conservación de las especies (OMS, 2003; Bussmann et Sharon, 2015). Esta información es importante, para evaluar los cambios en las plantas cultivadas y domesticadas (Raya-Pérez et al., 2010).
Gentianella graminearepresentó la mejor fuente de flavonoides con valores más altos en hoja. A su vez, las tres especies mostraron niveles mayores de flavonoides totales que el reportado por Carbonel et al. (2016) en el extracto acuoso deG. nitidade la Región Junín (Perú) correspondiente a 11,70 µg CE/mg de extracto. Nuestros resultados fueron comparables con los niveles de flavonoides totales de extractos acuosos de 10 variedades de“té”[Camellia sinensis(L.) Kuntze], especie reconocida por su alto contenido de flavonoides. En estas variedades, los niveles de flavonoides totales variaron entre 17,70 a 50,12 µg CE/mg extracto seco (Nibir et al., 2017).
Las cuatro especies evaluadas se ubican en ecosistemas frágiles (Jalca y Quechua) y en alto riesgo, debido a procesos acelerados de destrucción por la agricultura, ganadería y minería (Sánchez, 2014). Si se considera que en promedio 67% de estos territorios están concesionados a la minería; esta actividad es su mayor amenaza y es necesario proponer el cultivo tecnificado deGentianellaen otras áreas ecológicamente similares.
Uno de los problemas a superar es la alta concentración de aluminio (de hasta 7 meq/100 g) en los suelos de la Jalca (Nazar et Alva, 2015; Seminario-Cunya et al., 2016), elemento que constituye un factor limitante para el desarrollo de las plantas.
Las cuatro especies fueron de distribución escasa y baja densidad poblacional, debido a que sus hábitats son altamente intervenidos. Los recolectores indican que las poblaciones han disminuido considerablemente en las últimas décadas. En consecuencia, se estima que un recolector entrenado para reunir una arroba (11,50 kg, aproximadamente) de producto fresco -cantidad significativa desde el punto de vista económico del recolector- demanda de 30 minutos (G. crassicaulis), tres horas (G. graminea) y cuatro horas (G. dianthoidesyG. bicolor), respectivamente. Por otro lado,G. dianthoidesyG. crassicaulis,deben ser motivo de atención mediante estrategias de conservación, dado su estado vulnerable en el Perú, según criterios de la UICN (Castillo et al., 2006).
Las cuatro especies en estudio viven asociadas a 42 especies, de las cuales 25 son también medicinales, recolectadas para el mercado (Seminario et Sánchez, 2010; Sánchez, 2014), lo que implica que todas están amenazadas y las medidas de conservación deberían tomar en cuenta esta situación. La diversidad fue ligeramente superior en los hábitats de Jalca respecto a la Quechua, lo cual se explica por las características de los hábitats: en la Quechua, los suelos son secos, poco profundos y con bajo contenido de materia orgánica. Por el contrario, en la Jalca, los suelos son más profundos y con mayor humedad durante todo el año. También se explica porque los hábitats de la Quechua son más intervenidos y con menos vegetación silvestre. Por otro lado, se observa que mientras más bajo es el índice de Simpson (hábitats de Jalca), más diversa es la comunidad (Moreno, 2001). Probablemente, su valor estuvo fuertemente influenciado por las especies dominantes,Calamagrostis tarmensis,Paspalum bonplandianum,Phyllactis tenuifoliayWerneria nubigena,en la Jalca ySchizachyrium sanguineumen la Quechua. Nuestros resultados permiten sugerir medidas de conservación como la zonificación de actividades, la declaración de áreas de reserva y planes de manejo concertado entre recolectores, comerciantes y los organismos oficiales.
Agradecimientos
Este estudio fue parte del proyecto “Nutracéutico con alto contenido de fructoligosacáridos y compuestos fenólicos como coadyuvante en el tratamiento de la obesidad elaborado a partir de hercampuri (Gentianella alborosea) y yacón (Smallanthus sonchifolius), procedentes del departamento de Cajamarca” financiado por INNOVATE PERU (Contrato 685-INNOVATEPERU-PICE1-2017), realizado en convenio entre la Universidad Nacional de Cajamarca y Representaciones FRANCAR. Agradecemos al Ingeniero Juan Montoya Quino (Curador del herbario CPUN), por su colaboración en la identificación de las especies.
Bibliografía
Asociación Civil para la Investigación y Desarrollo Forestal. (1995). Registro de 19 estaciones meteorológicas. Boletín Meteorológico, ADEFOR, Cajamarca, Perú.
Bussmann, R. W. & Sharon, D. (2015). Plantas medicinales de los Andes y la Amazonía-La flora mágica y medicinal del Norte del Perú. Centro William L. Brown-Jardín Botánico de Missouri, Trujillo, Perú.
Carbonel, K., Suárez, S. & Arnao, A. (2016). Características fisicoquímicas y capacidad antioxidantein vitrodel extracto deGentianella nitida. Anales de la Facultad de Medicina 77: 333-337. https://doi.org/10.15381/anales.v77i4.12648
Castillo, S. J., Salinas, N., León, B. & Sánchez, I. (2006). Gentianaceae endémicas del Perú. En B. León, J. Roque, c. Ulloa, N. Pitman, P. M. Jorgensen & A. Cano (eds.), El libro rojo de las plantas endémicas del Perú. Revista Peruana de Biología, Número especial 13: 339-354. https://doi.org/10.15381/rpb.v13i2.1860
Castillo, S. J. & Pringle, J. S. (2018). Gentianella canoiS. J. Castillo & J. S. Pringle sp. nov. (Gentianaceae), a new species from Perú. Anales del Jardín Botánico de Madrid 75: e068. https://doi.org/10.3989/ajbm.2463
Castillo, H., Albán, J. & Castañeda, R. (2019). Importancia cultural de la flora silvestre de la provincia de Cajabamba, Cajamarca, Perú. Arnaldoa 26: 1047-1074.
Climate-Data.Org. (2019). Clima en el distrito de Jesús Cajamarca.https://es.climate-data.org/america-del-sur/peru/cajamarca/jesus-875103/
Contreras, A. & Méndez-Estrada, V. H. (2014). Fenología de la planta medicinalValeriana prionophylla(Valerianaceae) en páramos de Costa Rica. Cuadernos de Investigación UNED 6: 223-231. https://doi.org/10.22458/urj.v6i2.628
De Paula, B. M. F., Takeuchi, P. L. & Vannucchi, H. (2018). Efecto del resveratrol, la catequina y el gingerol en la obesidad: evidencias incompletas. Nutrición Clínica en Medicina 12: 37-46.
EEBI-INIA (Estación Experimental, Baños del Inca-Instituto Nacional de Innovación Agraria). (2018). Hoja de resultados de análisis de suelos. SU0550-EEBI-18. Baños del Inca, Cajamarca.
Galán de Mera, A., Linares, E. & Montoya, J. (2018). Mapa de vegetación de Cajamarca. Potencialidad de la vegetación para el uso de plantas medicinales. Universidad Privada Antonio Guillermo Urrelo, Municipalidad Provincial de Cajamarca, Asociación Los Andes de Cajamarca. Martínez Compañon eds. Cajamarca, Perú.
Galán de Mera, A., Linares-Perea, E., Martos, F., Montoya-Quino, J., Rodríguez-Zegarra, C. & Torres-Marquina, I. (2019). Distribución bioclimática de plantas medicinales y sus principios activos en el departamento de Cajamarca (Perú). Boletín Latinoamericano y del Caribe de Plantas Medicinales y Aromáticas 18: 130-143.
Grupo Propuesta Ciudadana. (2014). Concesiones mineras en el Perú. Análisis y propuestas de política. Lima, Perú.
Huamán J. J., Torres, K. G., García, J, O., Lino, B. F., Méndez, E. A, Mariños, A. P., Quispe, C. A, Terrones, G. I., Morera, C. H., Livaque, J. A. & Reyes, E. D. (2015). Efecto del consumo deGentianella bicoloro “Corpus Huay” sobre la tolerancia oral a la glucosa y el perfil lipídico en adultos jóvenes. Revista Médica de Trujillo 11: 1-18.
Isuasty-Torres, L., Pérez-Martínez, L. V. & Vargas, O. (2014). Semillas y restauración ecológica. En Vargas, O. & Pérez, L.V. (eds.), Semillas de plantas de páramo: ecología y métodos de germinación aplicados a la restauración ecológica, pp. 43-61.Universidad Nacional de Colombia.
Magurran, A. E. (2004). Measuring biological diversity. Blackwell Science Ltd.,Oxford, United Kingdom.
Martínez-Arévalo, J. V. (2011). Domesticación de plantas medicinales. Agroproductividad 15: 3-7.
Mateucci, D. C. & Colma, A. (1982). Metodologías para el estudio de la vegetación. Secretaría General de la OEA, Washington D.C.
Moreno, C. (2001). Métodos para medir la biodiversidad. M&T-Manuales y Tesis SEA, vol. 1. Zaragoza, España.
Mostacedo, B. & Fredericksen, T. S. (2000). Manual de Métodos Básicos de Muestreo y Análisis en Ecología Vegetal. Proyecto de Manejo Forestal Sostenible (BOLFOR). Editora El País. Santa Cruz, Bolivia.
Nazar, J. & Alva, E. (2015). Efecto del encalado en el crecimiento deValeriana pilosaR. & P. en Huanico, Cajamarca. Fiat Lux 11: 53-59.
Nibir, Y. M.; Sumit, A, F.; Akhand, A, A.; Ahsan, N.; Hossain, M. S. (2017). Comparative assessment of total polyphenols, antioxidant and antimicrobial activity of different tea varieties of Bangladesh. Asian Pacific Journal of Tropical Biomedicine 7: 352-357. https://doi.org/10.1016/j.apjtb.2017.01.005
OMS (Organización Mundial de la Salud). (2003). Directrices de la OMS sobre buenas prácticas agrícolas y de recolección (BPAR) de plantas medicinales. Ginebra, Suiza.
Pérez-Martínez, L. V., Rodríguez-Castillo, N. A., Vargas, O. & Melgarejo, L. M. (2014a). Germinación y dormancia de semillas. En Vargas, O. & Pérez-Martínez, L. V. (eds.), Semillas de plantas de páramo: ecología y métodos de germinación aplicados a la restauración ecológica , pp. 63-113. Universidad Nacional de Colombia, Sede Bogotá.
Perez-Martínez, L. V., Rodríguez-Castillo, N. A., Melgarejo, L. M. & Vargas, O. (2014b). Propagación por semilla de 13 especies de páramo. En Vargas, O.; Perez-Martínez, L. V. (eds.), Semillas de plantas de páramo: ecología y métodos de germinación aplicados a la restauración ecológica , pp. 116-174. Universidad Nacional de Colombia, Sede Bogotá .
Pringle, J. S. (2008). Four New Species of PeruvianGentianella(Gentianaceae). Novon: A J. for Botanical Nomenclature 18: 511-516. https://doi.org/10.3417/1997030
Pringle, J. S. (2017a). Four new species ofGentianella(Gentinaceae, Gentianeae, Swertiinae) from the Peru with a review of the taxonomy of the genus. Novon 25: 451-466. https://doi.org/10.3417/2016001
Pringle, J. S. (2017b). Especies ginodioicas deGentianella(Gentianaceae) en Colombia, Ecuador y Perú, con la descripción deG. quipuscoana, nueva especie del Perú. Arnaldoa 24: 9-18. https://doi.org/10.22497/arnaldoa.241.24101
Pulgar Vidal, J. (1996). Las ocho regiones naturales del Perú. PEISA, Lima, Perú.
Quiñones, M., Miguel, M., Aleixandre, A. (2012). Los polifenoles, compuestos de origen natural con efectos saludables sobre el sistema cardiovascular. Nutrición Hospitalaria 27: 76-89.
Rao, N. K., Hanson, J., Dulloo, M. E., Ghosh, K., Novell, D. & Larinde, M. (2007). Manual para el manejo de semillas en bancos de germoplasma. Manuales para Bancos de Germoplasma Nº 8. Bioversity International, Roma, Italia.
Raya-Pérez, J. C., Aguirre-Mancilla, C. L., Gil-Vega, K. & Simpson, J. (2010). La domesticación de plantas en México: comparación de la forma cultivada y silvestre deByrsonima crassifolia(Malpighiaceae). Polibotánica 30: 239-256.
Rodríguez, E. & Rojas, R. (2006). El Herbario: Administración y Manejo de Colecciones Botánicas. 2 ed. Edit. por Vásquez, R. Missouri Botanical Garden, Perú.
Sánchez, I. (2014). Plantas medicinales en los páramos de Cajamarca. En Cuesta, F., Sevink, J., Llambi, L. D., De Bièvre, B., Posner, J. (eds.), Avances en investigación para la conservación de los páramos andinos, pp. 175-194. CONDESAN.
Seminario, A. & Sánchez, I. (2010). Estado y factores de riesgo de la biodiversidad de especies vegetales medicinales en el Centro Poblado de Combayo, Cajamarca. Fiat Lux . 6: 23-34.
Seminario-Cunya, J., Rumay-Sánchez, L. D. & Seminario-Cunya, A. (2016). Biología deValeriana pilosaR. & P. (Valerianaceae): una especie en peligro de extinción de las altas montañas de Perú. Boletín Latinoamericano y del Caribe de Plantas Medicinales y Aromáticas 15: 337-351.
The Plant List (2019). The plant list. A working list of all plant species. Royal Botanical Gardens. Kew Missouri Botanical Gardens. St Louis, Missouri, US.http://www.theplantlist.org/
Tropicos (2019). Tropicos.org. Missouri Botanical Garden. St Louis, Missouri, US.https://www.tropicos.org/Name/2734075
Vargas, O. & Pérez-Martínez, L. V. (2014). Ecología de semillas en los páramos. En Vargas, O.; Pérez, L. V. (eds.), Semillas de plantas de páramo: ecología y métodos de germinación aplicados a la restauración ecológica , pp. 21-42. Universidad Nacional de Colombia.
Vargas, M. G. & Sánchez, M. N. (2019). Diversidad de plantas herbáceas y subarbustivas en cerro Chucantí, provincia de Darién. Tecnociencia 21: 69-91.
Wolfe, K. L. & Liu, R. H. (2003). Apple peels as a value-added food ingredient. Journal of Agricultural and Food Chemistry 51: 1676-1683. https://doi.org/10.1021/jf025916z