Artículos
Equity Judgments: Context Effects in Gains and Losses
Juicios de equidad: efectos de contexto en ganancias y pérdidas
Equity Judgments: Context Effects in Gains and Losses
Liberabit, vol. 28, no. 2, pp. 1-16, 2022
Universidad de San Martín de Porres. Facultad de Ciencias de la Comunicación, Turismo y Psicología
Received: 20 December 2021
Accepted: 10 August 2022
Abstract
Background: Previous studies have evaluated mathematical models of equity judgments of two hypothetical employees with distinct merits. They found that the model of proportionality adequately described the data based on an algebraic additive rule of information integration. Nevertheless, there is a lack of evidence concerning the effect of a context of monetary losses on the rules of information integration.
Objective: To assess the effect of monetary gains and losses on equity judgments, and the effect of the personal context in which the participants are involved in decision-making.
Method: A repeated measures design with within-subjects factors was utilized: 7 levels of A’s merit x 5 levels of B’s merit x 2 contexts (gains and losses) x 2 between-subject factors (third-party allocation and self-allocation).
Results: Statistically significant differences appeared between thirdparty allocation and self-allocation conditions for gains (F (1,38) = 216.18, p < .001, η2p = .85) and losses (F (1,38) = 110.45, p < .001, η2p = .71).
Conclusions: The additive rules of integration appeared in the gains scenario while the subtractive rules together with an aversion to inequity were observed in the losses context.
Keywords: Information integration theory+ equity judgments+ social psychophysics+ monetary gains+ monetary losses.
Resumen
Antecedentes: estudios previos evaluaron modelos matemáticos sobre juicios de equidad en dos empleados hipotéticos que diferían en sus niveles de mérito. Estos encontraron que el modelo de proporcionalidad describía adecuadamente los datos basándose en una regla algebraica aditiva de integración de información. Sin embargo, existe una falta de evidencia sobre el efecto del contexto de las pérdidas monetarias sobre las reglas de integración de información.
Objetivo: evaluar el efecto del contexto de ganancias y pérdidas monetarias sobre los juicios de equidad, y el efecto del contexto personal en donde el participante se ve involucrado en la toma de decisiones.
Método: se empleó un diseño de medidas repetidas con los factores intrasujeto: 7 niveles de mérito de A x 5 niveles de mérito de B x 2 contextos (ganancias y pérdidas) x 2 factores intersujeto (distribución a terceros y distribución propia).
Resultados: se encontraron diferencias estadísticamente significativas entre las condiciones de asignación a terceros y asignación propia en relación con las ganancias (F (1,38) = 216.18, p < .001, η2p = .85) y pérdidas (F (1,38) = 110.45, p < 0.001, η2p = .71).
Conclusiones: las reglas aditivas de integración aparecieron en el contexto de las ganancias, mientras que las reglas sustractivas, así como aversión a la inequidad, se observaron en el contexto de las pérdidas.
Palabras clave: Teoría de integración de información, juicios de equidad, psicofísica social, ganancias monetarias, pérdidas monetarias.
Introduction
One of the conceptual approaches relevant to the study of equity arises from behavioral sociology. Homans (1958) established the notion of universal proportionality between costs and benefits. However, differences emerge among societies due to the diversity that exists when it comes to conceiving investments, rewards, and the way in which they are ranked. This led Homans to identify three elements of conceptual proportionality: a) the cost-benefit ratio, b) natural environmental experiences, and c) exchange experiences.
Later, Adams’ equity theory stated that the individuals’ sense of fairness and equity depends on the balance between their contributions and their rewards. Thus, the key elements of his theory are inputs and outputs. Inputs are defined as «a person perceives the way in which his or her contributions affect the exchange, consequently expecting a fair profit» (Adams (1965, p. 280). In the present study, we refer to inputs as «merits». In contrast, outputs are conceived as what the individual receives in the exchange, for example, profits, salary allocations, or personal satisfaction. Hence, equity is perceived when the input/output ratio of a person (A) in exchange is like the input/output ratio of the other person (B) with whom the interaction takes place.
The following equation formalizes that relationship:

where O = Output, I = Input, A = person A, B = person B
Adams (1965) further proposed that an inequitable relationship implies emotional and motivational elements that lead participants to make important decisions during the exchange, based primarily on the assumption that every inequitable relationship is aversive, and that the affected participants will employ some strategy (or strategies) to reduce the inequity. One of Adams’ most The following equation formalizes that relationship: determine the values of inputs and outputs. Adams’ application setting was restricted to the industrial sphere, but the model can be applied in different surroundings, including the academic world (Anderson, 1976). So, for example, the inputs -or merits- of professors include preparation, teaching, research, community service, and other aspects that must always be considered, such as age, personality, and the academic context. Their outputs can include prestige in different forms, promotions, and funding for research, among others. In the industrial context, these outputs appear as salary increases, opportunities for growth, and labor benefits like major medical insurance and the support of one’s supervisor (De Gieter et al., 2012). All these factors are evaluated within everyone’s frame of reference in a value system that makes it possible to understand the emotions that are involved regarding equity or inequity. In a fair distribution of resources between one person (A) and another (B), each one can exercise a claim to the inputs. Those claims will be valued equally since this division is considered an arrangement between two factors and it is susceptible to empirical testing. Under these constraints of the equity model, Anderson and Farkas (1975), Anderson (1976), Farkas and Anderson (1979), and Singh (1985) have proposed the following model in which a proportional part of the output equals the proportional contribution of the input. Equation 2 presents the resulting equity relation.

where O = Output, I = Input, A = person A, B = person B
Conceptually, equations 1 and 2 are distinct. Adams’ equation implies that the initial comparison between output and input is made by each person individually, followed by a second comparison of those two individuals using those two input/output points. Equation 2, in contrast, implies a reverse order in the comparisons; that is, first between the individuals for each input and output separately, and then between them in terms of interpersonal proportions.
Mathematically, however, these two equations are similar, and one can be derived from the other. Psychologically, as outlined above, they represent distinct structures of comparison. This equivalence is based on the ideal of equity. In the field of study of inequity judgments, the extensions of these models lead to contrasting predictions (Anderson, 1976).
Farkas and Anderson’s proposal (1979) is derived from the previous equation, which allows us to make predictions about the amount that should be given to employee A according to the merit level of employee B, since on the experimental tasks they are asked to divide a fixed amount (M) between them such that M = A + B. This can be written as:

where O = Output, I = Input, A = person A, B =person B, M = the money or amount to be distributed
This research is framed in the field of decisionmaking processes. The most important models in this domain assume that an assessment process of the information exists, which originates in the environment (Gigerenzer & Goldstein, 1999; Goldstein & Gigerenzer, 2011; Kahneman, 2011; Kahneman and Tversky’s (1979). To study the assessment of environmental stimuli, we use the information integration theory (IIT).
IIT was proposed by Anderson (1976). This theory is concerned with how people integrate information from two or more stimuli to give a numerical response. This theory focuses on assessing
IIT was proposed by Anderson (1976). This theory is concerned with how people integrate information from two or more stimuli to give a numerical response. This theory focuses on assessing the unobservable psychological process involved in making judgments. IIT is developed around four concepts: stimulus valuation, stimulus integration, cognitive algebra, and functional measurement (Anderson, 2013). Stimulus valuation is simply defined as the process of extracting information from a physical stimulus and transforming it into a psychologically derived value. Stimulus integration means that, in a natural environment, most responses are based on multiple interacting factors. It is rare to find one predictor of behavior. IIT attempts to analyze how these factors are integrated psychologically. These stages remain unobservable, so with the cognitive algebra nested in the integration phase, it is the process in which observers combine multiple factors into a numeric response using algebraic rules. And finally, functional measurement is the combination of the weighting factors in the valuation process and ends with the rules of information integration. Anderson (1996, 2008, (2012, 2013) found that there are three rules of information integration: additive, multiplicative, and averaging. Our study centers on the additive rule. The additive function for information integration operates when the stimulus and its psychological counterpart have a linear relationship that is maintained throughout the process of information integration. This implies that the variables do not interact but are merely added up. Given the algebraic properties of the information integration process, when making graphs of the answer patterns of all the factorial combinations, a parallel line is observed. However, this use of the term «parallel» does not imply that the lines have the same slope. According to the concepts of IIT, rather, it means that the Euclidean distances are similar for each arranged point.
In recent years, IIT has been found to be useful for evaluating complex cognitive processes like sleep cognitive algebra (Mairesse et al., 2010), marketing and financial value (Hilgenkamp & Shanteau, 2010), promoting physical exercise (Brengman et al., 2010), somatic anxiety (Moore et al., 2010), interpersonal relations (Theuns et al., 2010), recognizing emotions in faces (Pereira et al., 2016), body postures and emotions (Silva & Oliveira, 2016), aversion to losses (Viegas et al., 2016), perception of financial risk (Laskov-Peled & Wolf, 2016), moral development in sexuality (Hommers & Görs, 2016), ethics in politics (Mullet et al., 2016), and dilemmas related to public goods (Acevedo et al., 2019).
Anderson (1976) used IIT to evaluate the numerical allocations that people make in an experimental preparation of the following type: the situation was of a hypothetical university in which the participants distribute resources between two professors who differ in their merit levels. The productivity of the two professors, A and B, was described as follows: both worked on the same task and the participants received the information on the performance of A and B (as in phase 1); thus, it was a factorial experiment of 5 (A’s merit levels) x 5 (B’s merit levels). The participants’ task consisted in assigning a profit to employee B as a function of his/ her own merit and that of A. The results of this research indicate that the payment given to B is a direct function of his/her merits. The profile graphs of A’s 5 merit levels by B’s 5 merit levels show a clear tendency towards parallelism that was supported by a test (F (16,368) = 2.99, p < .05). The main findings in that research indicate that IIT is useful as a model and method for the study of equity and that the additive rule shows that the participants add up the values for the merit levels algebraically.
Using a similar method, Mellers (1982) posed a situation in which the participants had to allocate salaries to professors in a hypothetical university where the merit level of professor A could take 7 distinct levels (.5, 1, 1.5, 2, 2.5, 3, and 3.5) while that of professor B had only 4 levels (.5, 1.5, 2.5, and 3.5). Three different budgets were considered: USD 20 000, USD 40 000, and USD 80 000. The aim of that research was to evaluate distinct equity models. The participants were instructed to assign salaries to professor B as a function of his/her own merit level and that of A. Results indicated a significant interaction between the respective merits of professor A and those of professor B (F (18,666) = 16.53, p < .05). The profile graphs of the professors’ respective merit levels showed a clear tendency toward parallelism suggestive of an additive rule of information integration. The equity model proposed by Anderson (1976) is thus consistent since it can explain the interaction that occurs in a psychophysical function of judgment.
Santoyo & Bouzas’ (1992) study expanded Mellers’ (1982) works to various contexts in which university students were asked to assign salaries to two professors at a different merit level. In that case, however, the researchers aimed to evaluate whether differences existed due to the amount to be distributed, so two different amounts were posited: MXN 1 million and MXN 2 million, in such a way that the experiment resulted in a factorial preparation of A’s 7 levels x B’s 4 levels x 2 budgets through a three-factor repeated measures ANOVA (2 budgets x 7 merit levels of A x 4 merit levels of B). They evaluated the main effects of budget (F (1,1769) = 2318, p < .001), of A’s merit (F (6,1769) = 182, p < .001), of B’s merit((F (3,1769) = 438, p < .001), and the interaction between the respective merits of A and B (F (18,1769) = 6326, p < .001). Since no differences were found due to the interaction between the amount of the budgets and A’s and B’s merits (F (18,1769) = 1.74, p < .32), the researchers concluded that the model of proportionality (Adams, 1965; Anderson, 1976) predicts that an individual’s allocation of resources will be a linear function of the relative merits of the other people who are compared, as can be observed in the results obtained. Researchers found that the budget has no effect on the rules of information integration just like Mellers’ (1982) study.
A second experiment by Santoyo et al. (2000) continued the study of equity. In that work, the main target consisted in evaluating the effect of a context of inflation on the process of assigning resources to professors at a hypothetical university where their respective merits varied. Applying a methodology like one of the earlier studies in designing the instrument, in the new experimental situation the participants were instructed to assign salaries to professors with distinct merit levels, but on the same scale as in the prior study and considering a factor not included in the previous exercise; namely, a level of inflation. Professor A had 7 merit levels (.5, 1, 1.5, 2, 2.5, 3, and 3.5) while professor B had only 4 (.5, 1.5, 2.5, and 3.5), all under conditions of inflation of 10%, 50%, and 100%. That study design resulted in a factorial design of 7 (professor A’s merit levels) x 4 (professor B’s merit levels) x 3 (inflation levels) and x 2 (budget levels: MXN 1 200 000 and MXN 2 400 000). As in the earlier work, a three-section written document was used. The first part contained the instructions for the participants, the second presented the items, and the third consisted of an answer sheet. Based on the repeated measures ANOVA, the authors evaluated the effect of the variables of the budget level and annual inflation, but neither statistically significant principal nor interaction effects were found. The authors concluded, therefore, that no differences were found among the diverse levels of inflation or concerning the context of the budgetary levels used. As occurred with the repeated measures ANOVA, there were no differences regarding the budgetary levels stipulated. The study did determine, however, a tendency towards parallelisms like those reported by Anderson (1976) and Mellers (1982), which is indicative of an additive rule of integration. Finally, they found an effect in which the low merit levels of employee B tended to be assigned higher amounts than those the model of equity predicted. This also occurred with A’s merit levels below 2.5 and, in the opposite case, with higher merit levels (3 and 3.5) where lower amounts than those predicted by the equity model were given. This seems to suggest that higher merit levels were being «punished,» while lower ones were «compensated».
Hofmans (2012) made a partial replication of Anderson’s (1976) study to evaluate the various rules of integration. With this goal in mind, a study with a sample of 58 participants and a factorial design of 5 x 5 stimuli was designed. For each combination of stimuli, the participants were instructed to assign a fixed amount of money to employee A. The results showed an additive integration pattern for employee A and employee B that was supported by a repeatedmeasures ANOVA: (F (4,228) = 118.06, p < .001) and (F (4,228) = 107.39, p < .001), respectively. However, the main result suggested that the use of cluster analysis to identify the different rules of information integration found that 53 participants had followed the additive rules of integration while the other 5 had assigned the same amount of money in all possible combinations, such that the results for employee A were (F (4,12) = < 1, p = .368)) and for employee B (F (4,12) = < 1, p = .853)). This could be interpreted as indicating that those 5 participants considered the experimental situation «inequitable», so they allocated similar amounts of money without considering the merit level of the hypothetical employees. The profile chart of the average allocation of this group of participants had the appearance of a group of overlapped horizontal lines.
Reyes-Contreras & Santoyo (2017) had the main aim to evaluate the effect of a situation of monetary losses on equity exchanges by generating two contexts: one of the gains, and the other of losses. To this end, they posed an experimental task in a hypothetical industrial automotive setting. In both contexts, the participants were asked to imagine that they were human resources directors and they had to increase their salary in the gains context due to the profits earned in the preceding year. In the losses context, they had to reduce the salary due to the low car sales of the preceding year. In the case of gains, the participants were asked to distribute resources between two employees, A and B, as in previous studies, but A’s merit levels were .5, 1, 1.5, 2, and 2.5, and B’s were .5, 1.5, and 2.5. This resulted in a factorial arrangement of A’s 5 merit levels x B’s 3 merit levels. The same stimuli were used in the case of losses. To evaluate the effect of the context, the authors performed a repeated-measures ANOVA of A’s 5 merit levels x B’s 3 merit levels x 2 contexts (gains, losses). They determined the main effects of the factor context (F (1,36) = 6.453, p < .05), A’s merit (F (4,33) = 6.213, p < .05), and B’s merit (F (2,35) = 22.887, p < .001), and found that the losses scenario influenced resource distribution. As in previous studies, they also observed an additive rule of integration, together with a tendency on the part of the participants to grant higher salaries to the employees with lower merit levels and lower salaries to those with higher merit levels, suggestive of a subtractive rule of integration. Similarly, the participants applied lower discounts to the lower merit levels and higher discounts to the higher merit levels compared to the predictions of the equity model.
One aspect of contextual interest that those earlier studies did not address, however, is the situation of emitting judgments a third party -not the participant her/himself- is involved. For this reason, the present experiment was designed to analyze if, when the participant is involved in the situation, the individual perspective produces additional bias to the information integration process.
In summary, previous research has studied equity judgments from an impersonal perspective; that is, the participants were not involved in the psychophysical judgments they were instructed to effectuate. In general, those studies found additive rules of integration and an effect that «compensated» lower merit levels and «punished» higher ones. However, evaluating a personalized perspective was missing from those reports; that is, when the participants themselves are involved in the decisions they are asked to make. We hypothesize that this will be an important element in the equity model by involving the exchange experiences and the consequences of inequity for individual participants.
The present study: A contextual approach to the study of equity exchanges
For this experiment, we adopted a contextual approach (Bevan, 1968) because it allows the systematic study of two types of stimuli: focal and background. Focal stimuli are those that a person identifies immediately. Background stimuli constitute the specific surrounding conditions that give meaning to the focal stimuli. Kahneman and Tversky’s (1979) studies, for example, showed that the value of psychophysical estimates of money as a focal stimulus is asymmetrical and will be assessed depending on the context in which they are presented; that is, gains or losses (background stimulus). Relevant literature suggests that the way in which money is valued psychologically differs in the case of gains versus that of losses (Kahneman and Tversky (1979; Krueger et al., 2011).
Little evidence exists, however, on how information on equity judgments is integrated when the participants find themselves in a context of monetary losses in which they are involved and that will be affected by the decisions they make. Thus, the main objective of the present study consists in evaluating the effect of resource allocation (salary increase or decrease) and context (background stimulus) of two psychophysical tasks using the conjoint measurement method: the participants were instructed to distribute salaries between two hypothetical employees -employee A and employee B (focal stimuli)- and then between two employees where the participant her/himself was involved with a hypothetical employee B.
We hypothesized that in the gains context the additive rule of integration would appear, while in the losses context a distinct kind of rule of information integration would appear.
Method
Sample
The study was conducted with a convenience sample of 40 college students at a private university in western Mexico City. About 50% of the sample were females. The average age of the study subjects was 19.2 years old (SD = .5).
Instruments
Four written instruments were prepared to represent the experimental situations. They included previous exercises to familiarize the participants with the task, the gains or losses context, the items involved, and an identification code. The previous exercises helped the participants become familiar with the type of answer required in the items. We created four resource allocation contexts, two for gains and two for losses. In the gains context, the situation was that the participants worked in the automotive industry and that sales in the previous years had been extraordinary, allowing the automotive plant to distribute additional resources to its employees. In the first case -that is, third-party gains with hypothetical employees A and B- the study subjects were asked to determine the salary increases for those two employees. In the case of personal gains (i.e., where subjects played the role of employee A), the situation was similar, except that they were told their opinion about the salary increase they should receive as needed. In the case of losses, the participants were told that the company had lost market share, so to avoid laying off employees it had decided to reduce work hours, though this would have implications on the salaries that employees would receive. In the third scenario -third-party losses- subjects were asked to distribute a discount between two employees, while in the case of personal losses they were instructed to give their opinions on the discounts they felt they deserved after comparing the merits of a third party to their own. The instructions were identical in all four instruments. Each merit level was exemplified and an estimated percentage of employees in that merit level was distributed in a normal curve to replicate Mellers’ (1982) study. Finally, the items were based on the same values of merit -.5, 1, 1.5, 2, 2.5, 3, and 3.5- used in previous studies by Mellers (1982), Reyes-Contreras & Santoyo (2017), Santoyo et al. (1992, 2000), and Pulido et al. (2007). The amount of MXN 11,500 to be distributed monthly was obtained from the average of the tabular salaries of full-time academic technicians, assistants, and associates at the National Autonomous University of Mexico (UNAM, 2017) in effect as of February 1st, 2017. The instructions in the items indicated that the participants were to distribute that amount. «Rounding up» was allowed to keep the participants’ answers simpler. This amount was used, as well, because the average monthly salary of Mexicans in 2016, according to the National Institute of Geography and Statistics (2017), was around MXN 9900 for 70% of the Mexican population. The goal was to work with «realistic» current monetary amounts that were close to average family incomes. This measure gave greater ecological validity to the experimental task: what Anderson has called «personal design» using hypothetical situations but real values (Anderson, 1996, 2008, 2012, 2013).
The following text is a sample item from the thirdparty gains allocation based on the comparison of two employees: «Employee A has a merit of 3.5, employee B has a merit of 2.5. With a monthly budget of MXN 11 500, by what amount would you increase employee A’s salary?»
The following sentence is a sample item from the self-gains allocation based on the comparison to another employee: «You have a merit of .5, employee B has a merit of 2.5. With a monthly budget of MXN 11 500, by what amount would you increase your own salary?»
Here is a sample item from the third-party losses allocation based on evaluating the relative merit of two employees: «Employee A has a merit of .5, employee B has a merit of 1.5. Given a wage cut of MXN 11 500, what monthly amount would you discount from employee A?»
Finally, here is a sample item from the self-losses allocation based on evaluating self-merit versus that of another employee: «You have a merit of 1.5, employee B has a merit of 3.5. Given a wage cut of MXN 11 500, what monthly amount would you discount from your own income?»
Software
The software to present the instructions, previous exercises, the gains or losses contexts, and the randomized items of the instrument described above was created and designed in HTML5 language. It gathered the participants’ answers and presented the factorial combinations randomly (that is, 7 merit levels for A x 4 for B). It did not allow the participants to exceed the amount that could be distributed.
Hardware
Computers equipped with Windows 8.1 Pro operating system, Intel® Core™ i5-3470 processor (3.20 GHz, 8 GB RAM), alphanumeric keyboard, mouse, and monitor.
Experimental Design
We used a repeated measures design composed of a within-subject factor of A’s 7 merit levels x B’s 4 merit levels x 2 contexts (gains, losses) and two between-group factors called third-party allocation and self-allocation. Table 1 summarizes the variables analyzed in the experiment.

Procedure
Participation was voluntary, and the confidentiality and anonymity of the subjects’ answers were guaranteed in the sense that none of the information recorded could indicate their identity. The participants were free to withdraw from the study at any time if they deemed it necessary. A reward for contributing to the research was offered and it consisted of a 1GB USB drive. The same gift was given to the professors who provided access to the sample. Finally, at the end of the study, the general feedback was given on the main results of the experiment.
The study began with an e-mail message that was sent to professors, inviting them to ask their students to participate in a two-session experiment in which each session would last 40 minutes on average. After agreeing on a schedule with the professor, the students were taken in groups of 5 to a computer laboratory for the first session. They were seated in such a way that they could not see the other participants’ answers on the computer screen. The researcher read the instructions and the first previous exercise aloud to clarify any possible doubts about the requirements for performing the task. Upon completion, they were informed that a second session would take place. It proceeded in the same way by taking groups of 5 participants to the computer lab and seating them in the same fashion as just described.
Table 2 summarizes the procedure. The sample was divided into groups of equal size. Note that, in the first session, group 1 students were exposed to the third-party gains scenario, and, in the second session, to the third-party losses scenario. Group 2 answered in the reverse order, beginning with the self-allocation (SA) condition, like group one, was presented the self-gains context in the first session and the personal losses context in the second. Group 4 responded to the tasks in the reverse order. There third-party allocation (TPA) condition. Group 3 of the Results self-allocation (SA) condition, like group one, was presented the self-gains context in the first session and the personal losses context in the second. Group 4 responded to the tasks in the reverse order. There was a rest period between sessions (PBS) for all the groups aimed at reducing reactivity and the learning of the instruments. The PBS was three weeks between observations.

Results
Data were analyzed with Jamovi software version 1.6 (The Jamovi Project, 2021) to calculate the repeated-measures analysis of variance (RMANOVA), and the partial eta squared was used (η2p) to measure the effect size of each factor.
First, control statistics were collected to evaluate the effects due to the order of the experimental phases, using an RM-ANOVA of 7 (A’s merit levels) x 4 (B’s merit levels), and the between-group factor called group x 2 (1 and 2) (F (1,18) = .48, p > .05). No statistical differences were found due to the order of the experimental phases, so groups 1 and 2 were treated as one. The same analysis was conducted for groups 3 and 4. The result was (F (1,18) = .23, p > .05), so it was decided to treat them as a single group as well. Analyses of the gains context were performed first, followed by the losses context.
Gains Context
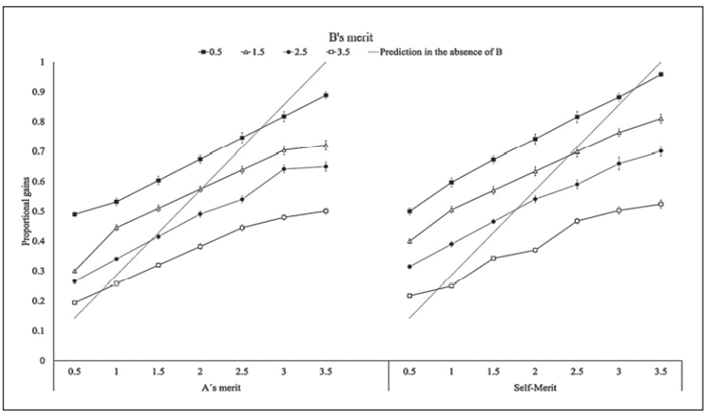
The analysis of the third-party gains allocation condition was based on an RM-ANOVA of 7 (A’s merit levels) x 4 (B’s merit levels). It showed the principal effects for employee A’s merits (F (6,114) = 651.12, p < .001, η2p = .97) and employee B’s merits (F (3,57) = 878.98, p < .001, η2p = .97). The interaction effects among the factors were not statistically significant (F (18,342) = 1.37, p > .05). The same analyses were carried out for the self-allocation condition: 7 (self-merit levels) x 4 (B’s merit levels). This demonstrated the principal effects for both self merit (F (6,114) = 473.54, p < .001, η2p = .96) and B’s merit (F (3,57) = 808.79, p < .001, η2p = .97). The interaction effects among the factors were not statistically significant (F (18,342) = 1.11, p > .05). Finally, an RM-ANOVA of 7 (A’s merit levels) x 4 (B’s merit levels) was conducted with a between-group factor called allocation condition to evaluate the differences between third-party allocation and selfallocation gains. In this case, statistically significant differences were found between the conditions (F (1,38) = 216.18, p < .001, η2p = .85), as the participants increased the salary more in the selfallocation condition. Figure 1 shows the profile chart of the average responses of the participants in the gains context. The horizontal axis is divided into two panels. The left panel shows the third-party condition with A’s merit on the axis; the right panel presents the self-allocation condition. The vertical axis represents the proportional gains, and each line represents B’s merit. The dotted line represents the prediction of the proportional gains in the absence of employee B (equation 1).
Losses Context
The same analysis was conducted for the thirdparty condition of 7 (A’s merit levels) x 4 (B’s merit levels). We found principal effects for A’s merit (F (6,114) = 30.31, p < .001, η2p = .61) and B’s merit (F (3,57) = 34.18, p < .001, η2p = .64). In this case, the interaction effects were statistically significant (F (18,342) = 3.21, p < .001, η2p = .01). The same procedure was conducted for the personal losses allocation of 7 (A’s merit levels) x 4 (B’s merit levels). It revealed the principal effects for self-merit (F (6,114) = 49.15, p < .001, η2p = .71) and B’s merit (F (3,57) = 119.33, p < .001, η2p = .85). No interaction effects were found (F (18,342) = 1.22, p > .05).

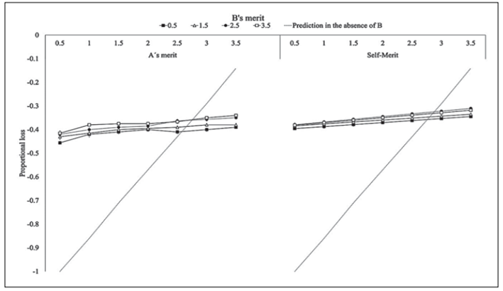
Finally, an RM-ANOVA of 7 (A’s merit levels) x 4 (B’s merit levels) was conducted with a between-group factor called allocation condition to evaluate the differences between the third-party and personal losses allocation conditions. It produced statistically significant differences (F (1,38) = 110.45, p < .001, η2p = .71), as the participants showed less willingness to decrease the salary in the self-allocation condition. Figure 2 shows the profile chart of the average responses of the participants in the losses context. Once again, the horizontal axis is divided into two panels. The left panel shows the third-party condition with A’s merit on the axis; the right panel presents the self-allocation condition. The vertical axis represents the proportional losses, and each line represents B’s merit. The dotted line represents the prediction of the proportional losses in the absence of employee B (equation 1).

Discussion
IIT is a model that identifies rules about the way in which people assess and integrate information from different stimuli in a single observable answer. In this study, an additive rule of integration was found in the case of gains, which was corroborated by the principal effects of A’s merits or self-merits and B’s merit. These results suggest that the variables analyzed were assessed independently of each other such that the informative variable that exerted greater control over the willingness to increase the salary in both allocation conditions was B’s merit. Previous studies have similarly identified an additive rule of integration in the case of gains (Anderson, 1976; Hofmans, 2012; Mellers, 1982; Pulido et al., 2007; Reyes-Contreras & Santoyo, 2017; Santoyo et al., 1992; Santoyo et al., 2000).
The data collected in this study are consistent with previous findings in the case of both third-party gains and personal gains. Likewise, the effect of «compensating» lower merit levels and «punishing» higher merit levels were replicated, as can be seen in the average allocations made by the participants on merits levels .5 - 1.5, which are above the predictions of the equity model (equation 1) represented with the dotted line in Figure 1. The opposite is true for merit levels 2 - 3.5, where subjects’ allocations are below the equity line. In the case of the gains context, results show that the equity model adequately explains the behavioral data.
For the third-party losses and self-losses conditions, we found a subtractive rule of integration that was corroborated by the RM-ANOVA and the negative values of the slopes for each curve. In the allocation conditions -third-party and self- the informative variable was A’s merit or self-merit; however, the effect of the informative variable of A’s merit or self-merit was not as clearly defined as in the gains condition. Additionally, the data presented in an orderly manner and the observed value of the partial eta squared showed a «large effect size». The study, therefore, replicated the findings of Reyes-Contreras & Santoyo (2017), in which a subtractive integration pattern existed in the case of third-party losses, such that the projections of the equity model were not met as in the case of gains. We can infer from the data that the participants were more willing to apply lower discounts to merit levels 0 - 2.5 and higher discounts to merit levels 3 - 3.5. Furthermore, this same effect of «compensating» and «punishing» was represented with the dotted line (equation 1) in Figure 2. Hofmans’ (2012) study found that a subgroup of participants integrated the information in such a way that the profile graphs showed the presence of lines that were horizontal and parallel to each other. Those results allowed the inference that the experimental situation could be perceived as aversive; hence, the data pattern was found. In that sense, and in relation to prospect theory (PT), an effect called aversion to inequity was found as an analog mechanism to aversion to risk in losses, because the rules of integration do not have a clear negative gradient or a defined integration pattern.
As for the comparison between self-gains and third-party gains, equation 2 works as a contextual method of social comparison because there are both focal stimuli (A’s merit and self-merit) and background stimuli (B’s merit). The differences found in third-party gains and self-gains, corroborated by the respective RM-ANOVAs, indicate that the model is sensitive to the manipulation of focal stimuli since changes in the focal stimulus modified the way in which the information that originated in the stimuli was assessed. This led to the finding that in the self-allocation condition the participants were more willing to increase their own salary in relation to the judgment they delivered in the third-party allocation condition.
Likewise, in the case of the comparison of the personal losses and third-party losses conditions, the equity model proved to be sensitive to the changes in the focal stimuli, in the sense that the participants were willing to reduce their salary when they were involved in the judgments they were instructed to make and, they reduced their salary lesser in the personal losses condition in comparison with the third-party condition. And finally, we found interaction effects in third-party allocation between factors in the losses conditions, which could be an indication of a rule of integration other than the additive one -probably the multiplicative one- due to the differential effect of one factor on the levels of another.
While it is true that the differences between the psychophysical tasks of prospect theory and the one used in this research are substantial, we consider that the manipulations of the losses context have a defined effect in both the fields of information integration theory and prospect theory. The «S» value function in the prospect theory (Kahneman & Tversky, 1979) is composed of two power functions in the gains field U(x) = xα and in the losses field U(x) = -β(-xa), where α = .88 and β = 2.25. This parameter shows that the psychological value of losses is «double» than the gains value. In this way, regarding the slopes of the lines, the fact that the value of the gradient of gains is neither reciprocal nor of the opposite sign to the value of losses is interesting, for it suggests that distinct cognitive processes may occur and, moreover, that assessments of gains and losses are not complemented by one another. In terms of classic psychophysics, this leads to the inference that these two conditions are found in different sensory dimensions or perceived in different forms.
The contributions of the present study can be enumerated as follows:
1. The effect of «compensating» lower meritlevels and «punishing» higher ones was replicated in the cases of both third-party and personal gains.
2. The same effect was replicated in the case ofthird-party and personal losses.
3. An additive rule of integration was found in thecase of gains, but a subtractive rule was manifested for the opposite case of losses.
4. The general applicability of the equity modelis extended for the gains condition but was found to be inefficient in the case of losses.
5. Aversion to inequity can be inferred in the caseof losses, thus maintaining the differences between the experimental tasks performed and the assumptions of prospect theory.
6. Assessments of gains and losses are notcomplementary processes; rather, they seem to entail distinct cognitive processes.
7. The methodological advantages of using afactorial design makes it possible to handle different threats to internal validity compared to the simple comparison studies («one-shot») used in prospect theory.
8. The data collection procedure using computersoftware and the counterbalanced repeated measures design permitted maintaining greater experimental control over the factors.
It is essential to highlight the social implications of the current study since it allows a better understanding, at the molecular level, of the distribution of resources to individuals who differ in merits. This is important because it occurs in an economic system in which public access to social, economic, and financial resources is produced by means of assessing personal merit (Franco, 2015).
Finally, even though the judgments made by the participants may indicate a willingness to increase or decrease an individual’s salary, this does not mean that they will actually do so (Ortega, 2017). A second limitation is that the conjoint measurement method we used emerges as somewhat artificial for the study of the phenomena of equity/inequity (Hofmans, 2012) because the participants have no direct contact with the consequences of the experimented conditions of equity or inequity. Previous studies did not manipulate direct contact with consequences of choice. This is important in equity theory since a basic assumption of the theory is that consequences shape equity exchanges (Homans, 1958). Therefore, continuing this line of study requires generating a dyadic experimental situation in which the participants offer salary increases and others either accept or reject what is offered. The experimental preparation involved could adopt the logic of the ultimatum game or the gift exchange game in gains and losses contexts from a perspective of the behavioral sciences but maintaining symmetry in the monetary amounts used in the psychophysical task. Doing this will help us to understand if the same behavior pattern remains between the experimental tasks. A third limitation of the research regarding the discrepancy between the principal and interaction effects is probably due to the averaging of the numerical estimates that mask the rules of information integration provided by each observer. It is essential to mention that IIT is a nomothetic model; that is, it seeks to generate general principles and it is an ideographic model in the sense that it seeks specific responses from specific situations (Anderson, 2012). Through data reduction techniques such as cluster or latent class analysis, subgroups with maximum Euclidean distances between themselves that apply different rules to those reported by the averages could be identified. These data analysis strategies have been applied in studies conducted by Hofmans (2012) and Acevedo et al. (2019).
Acknowledgments
The first author wishes to thank the support of the National Council of Science and Technology (CONACYT, for its acronym in Spanish) for the doctoral scholarship number 333985. The second author wishes to thank the support of the Support Program for Research and Technological Innovation Projects (PAPIIT)/National Autonomous University of Mexico (UNAM) for the project number 301922.
References
Acevedo, D., Santoyo, C., & Reyes-Contreras, R. (2019). Integración del plazo y contribución vecinal bajo contextos de pérdidas y ganancias. Revista Mexicana de Psicología, 36(2), 106-118. https://www.redalyc.org/journal/2430/243067142002/movil/
Adams, J. S. (1965). Inequity in Social Exchange. Advances in Experimental Social Psychology, 2, 267299. https://doi.org/10.1016/S0065-2601(08)60108-2
Anderson, N. H. (1976). Equity Judgments as Information Integration. Journal of Personality and Social Psychology, 33(3), 291-299. https://doi.org/10.1037/0022-3514.33.3.291
Anderson, N. H. (1996). A Functional Theory of Cognition (1st ed.). Psychology Press. https://doi.org/10.4324/9781315805924
Anderson, N. H. (2008). Unified Social Cognition (1st ed.). Psychology Press. https://doi.org/10.4324/9780203837634
Anderson, N. H. (2012). Moral Science. Self-Published. https://psychology.ucsd.edu/people/profiles/nanderson.html
Anderson, N. H. (2013). Unified Psychology Based on Three Laws of Information Integration. Review of General Psychology, 17(2), 125-132. https://doi.org/10.1037/a0032921
Anderson, N. H., & Farkas, A. J. (1975). Integration Theory Applied to Models of Inequity. Personality and Social Psychology Bulletin, 1(4), 588-591. https://doi.org/10.1177/014616727500100408
Bevan, W. (1968). The Contextual Basis of Behavior. American Psychologist, 23(10), 701-714. https://doi.org/10.1037/h0026697
Brengman, M., Wauters, B., Macharis, C., & Mairesse, O. (2010). Functional Effectiveness of Threat Appeals in Exercise Promotion Messages. Psicologica, 31(3), 577604.
De Gieter, S., De Cooman, R., Hofmans, J., Pepermans, R., & Jegers, M. (2012). Pay-Level Satisfaction and Psychological Reward Satisfaction as Mediators of the Organizational Justice-Turnover Intention Relationship. International Studies of Management & Organization, 42(1), 50-67. https://doi.org/10.2753/IMO00208825420103
Farkas, A. J., & Anderson, N. H. (1979). Multidimensional input in equity theory. Journal of Personality and Social Psychology, 37(6), 879-896. https://doi.org/10.1037/0022-3514.37.6.879
Franco, A. (2015). Mérito: construyendo el país de nosotros (1st ed.).
Gigerenzer, G., & Goldstein, D. G. (1999). Simple Heuristics that Make us Smart. Oxford University Press.
Goldstein, D. G., & Gigerenzer, G. (2011). Models of Ecological Rationality: The Recognition Heuristic. Heuristics: The Foundations of Adaptive Behavior, 109(1), 60-81. https://doi.org/10.1093/acprof:oso/9780199744282.003.0003
Hilgenkamp, H., & Shanteau, J. (2010). Functional Measurement Analysis of Brand Equity: Does Brand Name Affect Perceptions of Quality? Psicologica, 31(3), 561-575.
Hofmans, J. (2012). Individual Differences in Equity Models. Psicologica, 33(1), 473-482.
Homans, G. C. (1958). Social Behavior as Exchange. American Journal of Sociology, 63(6), 597-606. https://doi.org/10.1086/222355
Hommers, W., & Görs, M. (2016). Information Integration of Kohlbergian Thoughts about Consensual Sex. Universitas Psychologica, 15(3). https://doi.org/10.11144/Javeriana.upsy15-3.iikt
Kahneman, D. (2011). Thinking , Fast and Slow. Farrar, Straus and Giroux.
Kahneman, D., & Tversky, A. (1979). Prospect Theory: An Analysis of Decision under Risk. Econometrica, 47(2), 263-291. https://doi.org/10.2307/1914185
Krueger, J. I., Evans, A. M., & Goldin, G. (2011). The Tangled Web of Rationality (Review of the book Rational Choice in an Uncertain World: The Psychology of Judgment an Decision Making by R. K. Hastie, & R. M. Dawes). The American Journal of Psychology, 124(2), 247-251. https://doi.org/10.5406/amerjpsyc.124.2.0247
Laskov-Peled, R., & Wolf, Y. (2016). Information Trading in Terms of Brokers’ Functional Cognition: An Exploratory Single Participant Experimentation. Universitas Psychologica, 15(3). https://doi.org/10.11144/Javeriana.upsy15-3.ittb
Mairesse, O., Hofmans, J., Neu, D., De Oliveira, A. L. D. M., Cluydts, R., & Theuns, P. (2010). The Algebra of Sleepiness: Investigating the Interaction of Homeostatic (S) and Circadian (C) Processes in Sleepiness Using Linear Metrics». Psicologica, 31(3), 541-559.
Mellers, B. A. (1982). Equity Judgment: A Revision of Aristotelian Views. Journal of Experimental Psychology: General, 111(2), 242-270. https://doi.org/10.1037/0096-3445.111.2.242
Moore, P. J., Chrabaszcz, J. S., & Peterson, R. A. (2010). The Cognitive Processing of Somatic Anxiety: Using Functional Measurement to Understand and Address the Fear of Pain. Psicologica, 31(3), 605-627.
Mullet, E., López, W., Kpanake, L., Mukashema, I., Armange, R., Kamble, S., Guedez, A. G., Munoz, M. T., Sorum, P. C., Nieto, F., & Pineda, C. (2016). Medición funcional en el campo de la Ética en Política. Universitas Psychologica, 15(3). https://doi.org/10.11144/javeriana.upsy15-3.fmf
Ortega, E. (2017). Procrastinación en tareas escolares: características de la tarea. ( Undergraduate tesis, Universidad Nacional Autónoma de México). Repositorio Institucional de la UNAM. https://repositorio.unam.mx/contenidos/245205
Pereira, T., Oliveira, A., & Fonseca, I. B. (2016). Brain Activation Follows Adding-Type Integration Laws: Brain and Rating Responses in an Integration Task with Pairs of Emotional Faces. Universitas Psychologica, 15(3). https://doi.org/10.11144/Javeriana.upsy15-3.bafa
Pulido, M., Andreu, C., Lanzargota, N., & Preciado, T. (2007). Juicios de equidad: los efectos de la complejidad de la tarea. Enseñanza e Investigación En Psicología, 12, 223-235.
Reyes-Contreras, R., & Santoyo, C. (2017). Juicios psicofísicos de equidad en el contexto de las variaciones salariales. In C. Santoyo (Ed.), Mecanismos basicos de toma de decisiones: Perspectivas desde las ciencias del comportamiento y del desarrollo (pp. 45-75). CONACYT/Universidad Nacional Autónoma de México.
Santoyo, C., & Bouzas, A. (1992). Juicios psicofísicos de equidad: algunas implicaciones para la asignación de incrementos salariales. Revista Mexicana de Psicología, 9, 85-90.
Santoyo, C., Pulido, M. A., & Bouzas, A. (2000). Juicios de equidad: el efecto del contexto inflacionario para la asignación de recursos salariales. Revista Mexicana de Psicología, 17, 143-150.
Silva, A. D., & Oliveira, A. M. (2016). Do Faces and Body Postures Integrate Similarly for Distinct Emotions, Kinds of Emotion and Judgment Dimensions? Universitas Psychologica, 15(3). https://doi.org/10.11144/Javeriana.upsy15-3.fbis
Singh, R. (1985). A Test of the Relative-Ratio Model of Reward Division with Students and Managers in India. Genetic, Social, and General Psychology Monographs, 111(3), 363-384.
The Jamovi Project. (2021). Jamovi (1.6). www.https://www.jamovi.org
Theuns, P., Verresen, N., Mairesse, O., Goossens, R., Michiels, L., Peeters, E., & Wastiau, M. (2010). An Experimental Approach to the Joint Effects of Relations with Partner, Friends and Parents on Happiness. Psicologica, 31(3), 629-645.
Universidad Nacional Autónoma de México. (2017, 01 de febrero). Tabulador de personal académico. Portal de Transparencia Universitaria. https://www.plataformatransparencia.unam.mx/archivos/repositorio/UNAM/2017/percepciones/peraca.pdf
Viegas, R. G., Oliveira, A. M., & Gaspar, R. (2016). Comparing Adults and Adolescents Regarding the Scope Insensitivity of Value Curves: A Functional Measurement Approach. Universitas Psychologica,15(3). https://doi.org/10.11144/Javeriana.upsy15-3.caar
Notes
Author notes
Conflict of interest declaration