Artículos de investigación
Una orquestación instrumental para un curso en línea a nivel universitario
An instrumental orchestration for online course at the university level
Una orquestación instrumental para un curso en línea a nivel universitario
Apertura (Guadalajara, Jal.), vol. 13, núm. 2, pp. 22-37, 2021
Universidad de Guadalajara, Sistema de Universidad Virtual
Recepción: 31 Marzo 2021
Aprobación: 20 Agosto 2021
Publicación: 30 Septiembre 2021
RESUMEN: En este artículo se presenta una propuesta de orquestación instrumental, la cual organiza el uso de los entornos tecnológicos en la enseñanza de la matemática en línea (modalidad sincrónica) para los conceptos de valor y vector propio de un primer curso de álgebra lineal con estudiantes de ingeniería. Se utilizó el enfoque de la orquestación instrumental como marco teórico para planificar y organizar los artefactos que intervienen en el entorno (configuración didáctica) y las formas en las que se implementan (modo de explotación). Las actividades se diseñaron mediante escenarios didácticos virtuales interactivos, en un entorno de geometría dinámica, hojas de exploración guiadas y videograbaciones del trabajo de manera individual o por pares de los estudiantes. Se presentan los resultados obtenidos y se discuten las orquestaciones de una secuencia de instrucción para introducir los conceptos de valor y vector propio. El trabajo permitió identificar nuevas orquestaciones instrumentales para la enseñanza de la matemática en línea.
Palabras clave: Orquestación instrumental, entorno de geometría dinámica, álgebra lineal, educación matemática, enseñanza en línea.
Abstract: In this article, we present a proposal for instrumental orchestration that organizes the use of technological environments in online mathematics education, in the synchronous mode for the concepts of eigenvalue and eigenvector of a first linear algebra course with engineering students. We used the instrumental orchestration approach as a theoretical framework to plan and organize the artefacts involved in the environment (didactic configuration) and the ways in which they are implemented (exploitation modes). The activities were designed using interactive virtual didactic scenarios, in a dynamic geometry environment, guided exploration worksheets with video and audio recordings of the work of the students, individually or in pairs. The results obtained are presented and the orchestrations of a pedagogical sequence to introduce the concepts of eigenvalue and eigenvector are briefly discussed. This work allowed us to identify new instrumental orchestrations for online mathematics education.
Keywords: Instrumental orchestration, dynamic geometry environment, linear algebra, mathematics education, online course.

INTRODUCCIÓN
Durante marzo de 2020, la Organización Mundial de la Salud (OMS) declaró una pandemia mundial debido a la covid-19, lo cual provocó que las instituciones educativas en el mundo tuvieran que migrar del modelo de enseñanza presencial a una instrucción en línea. La mayoría de las instituciones no estaban preparadas para este cambio, por lo que los profesores tuvieron la necesidad de involucrarse en el uso y el manejo de las tecnologías digitales; asimismo, los estudiantes debieron de adaptarse rápidamente a esta nueva modalidad de enseñanza en línea. Esto trajo problemas graves en la educación (Engelbrecht et al., 2020). Este artículo ofrece una contribución en la investigación de la enseñanza y el aprendizaje del álgebra lineal en un ambiente virtual mediante la orquestación de diversos artefactos o dispositivos digitales, la cual va dirigida a estudiantes universitarios. Desde hace años se ha trabajado en el diseño y la construcción de un software educativo para apoyar la enseñanza de las matemáticas (Cuevas-Vallejo & Mejía, 2003; Orozco-Santiago, 2014; 2020). Debido a esto, fue posible la adaptación a esta nueva enseñanza en corto tiempo, a partir de lo que se presenta la experiencia lograda en un curso de álgebra lineal.
El álgebra lineal es uno de los primeros cursos de matemáticas abstractas que los estudiantes encuentran en los años iniciales en la educación superior (Oktaç y Trigueros, 2010; Stewart, Andrews-Larson, Berman y Zandieh, 2018). El amplio uso de las definiciones rigurosas y la demostración de teoremas y lemas hacen de esta asignatura una de las más formales y abstractas del currículo de matemática en ingeniería y, en consecuencia, una de las materias con el más alto índice de falla y frustración de los estudiantes (Carlson et al., 1993; Dorier, 2000; Orozco-Santiago, 2020).

Se han llevado a cabo investigaciones desde diferentes perspectivas teóricas para estudiar los obstáculos que enfrentan los estudiantes en el proceso de enseñanza-aprendizaje de conceptos del álgebra lineal. Dentro de estas podemos mencionar a Hillel (2000), quien consideró tres niveles de lenguajes de descripción específicos (abstracta, algebraica y geométrica) de los objetos y operaciones básicos; Sierpinska (2000), que señala tres modos de pensamiento: sintético-geométrico, analítico-aritmético y analíticoestructural; Dorier y Sierpinska (2001), quienes distinguen dos fuentes inseparables de las dificultades de los estudiantes en los procesos de aprendizaje y conocimiento: la naturaleza del álgebra lineal (dificultades conceptuales) y el tipo de pensamiento necesario para su comprensión (dificultades cognitivas). Por otra parte, el grupo de estudio del currículo de álgebra lineal (Carlson et al., 1993) recomendó que se alentara a los profesores de matemáticas a utilizar la tecnología en el primer curso de álgebra lineal: “Creemos que el uso de computadoras por parte de los estudiantes para tareas y proyectos puede reforzar los conceptos de las clases, contribuir al descubrimiento de nuevos conceptos y hacer factible la solución de problemas aplicados realistas (p. 45)”. Para situar este trabajo se presentan los antecedentes que informan de los materiales de instrucción para introducir y promover la comprensión de los valores y vectores propios en los estudiantes.
REVISIÓN DE LA LITERATURA
La era digital actual induce cambios drásticos en la manera como los profesores y los estudiantes tienen acceso a la información y construyen conocimiento, en la forma en que se comunican, interactuan y trabajan (Artigue, 2016). La National Council of Teachers of Mathematics (NCTM, 2000) sostiene que “la tecnología es esencial en la enseñanza y aprendizaje de las matemáticas; influye en las matemáticas que se enseñan y refuerza el aprendizaje de los estudiantes” (p. 24). En los años ochenta se popularizó el uso de las calculadoras científicas, sin embargo, estas no se diseñaron con fines educativos (su diseño se vio forzado en gran medida por la tecnología disponible) y los objetivos iniciales de sus ventas fueron comerciales y trabajos científicos (Monaghan, Trouche y Borwein, 2016). Los sistemas de álgebra computacional (CAS, del inglés: Computer Algebra System) por sus capacidades gráficas, simbólicas y numéricas han sido más explotadas en cálculo diferencial e integral que en álgebra lineal.
El álgebra lineal es una de las materias más abstractas y formales en la enseñanza superior y, por lo tanto, resulta difícil cognitiva y conceptualmente (Dorier y Sierpinska, 2001). Además, cuenta con pocos recursos para su enseñanza en línea. En Khan Academy, Coursera y MéxicoX existen cursos de álgebra lineal, que por sus cualidades no consideran su parte formal. Ambas situaciones dificultan su adaptación a una enseñanza en línea.
Uno de los temas obligados que contiene el currículo escolar en un primer curso de álgebra lineal son los valores y vectores propios, tema que se enseña al final del curso y donde se utilizan la mayoría de los conceptos previos. Debido a esto, la enseñanza-aprendizaje de estos conceptos ha presentado problemas en su adquisición por parte de los estudiantes. Algunos investigadores han intentado facilitar su aprendizaje mediante el uso de tecnologías digitales. Klasa (2010) utilizó dos entornos computacionales, Maple V y Cabri II, para estudiar los conceptos: transformación lineal, valores y vectores propios, formas cuadráticas, cónicas con cambios de bases y valores singulares. Klasa proporciona un applet en el entorno Maple a los estudiantes, quienes ejecutan una animación de un vector unitario υ que gira sobre un círculo unitario junto con su imagen T(v). La autora les pide que observen en qué momento −si existe− v y T(v) son colineales. Este mismo escenario desarrollado en Cabri proporcionó a los estudiantes interacción al manipular el movimiento del vector v. Posteriormente, con algunas herramientas de Cabri, se midieron las normas de v y T(v) y, finalmente, encontraron la relación ||T(v)||/||v|| que proporciona el valor propio asociado. Klasa (2010) señala que Cabri facilita la comprensión geométrica y Maple apoya al realizar las operaciones matriciales y algebraicas-simbólicas computacionalmente.
Con estas experiencias, la investigadora afirma que la visualización y la manipulación mejoran y facilitan el aprendizaje del álgebra lineal; además, agrega que los estudiantes que trabajan en equipos alrededor de computadoras −o incluso calculadoras gráficas− guiados por el docente, se convierten a menudo en expertos de la disciplina que experimentan. En el mismo sentido, Gol Tabaghi (2014) estudió el cambio de las representaciones geométricas dinámicas en el pensamiento de los estudiantes mediante el uso de diferentes modalidades de arrastres en un entorno de geometría dinámica (The Geometer Sketchpad).
Gol Tabaghi (2014) realiza un análisis con tres estudiantes universitarios mediante entrevistas clínicas individuales basadas en tareas sobre el tema, de valores y vectores propios, que los estudiantes habían abordado previamente. Esta matemática diseñó varios bocetos para observar la geometría de los valores y vectores propios reales de una matriz de 2×2, que al arrastrar el vector sobre la pantalla, el vector se movía en consecuencia, lo que atrajo la atención de los estudiantes para analizar con mayor detalle la relación entre y y, a la vez, realizar una coordinación entre la representación geométrica en el boceto con la definición algebraica.
Apoyado en los tres modos de pensamiento de Sierpinska (2000), Gol Tabaghi (2014) concluye que las representaciones geométricas dinámicas permitieron a los estudiantes comprender los conceptos de vector y valor propio al identificar sus propiedades geométricas invariables y desarrollar el pensamiento dinámico sintético-geométrico; sin embargo, añadir la tecnología a un curso no necesariamente puede provocar un cambio educativo positivo (Drijvers et al., 2016; Hegedus et al., 2017).
MARCO TEÓRICO
Inicialmente la integración de la tecnología consistía en entregarla a los estudiantes o profesores y explicarles cómo utilizarla. Esta ingenua posición se tenía en cursos de cálculo diferencial e integral que utilizaban el programa Derive, o en cursos de estadística en donde se empleaba la hoja de cálculo. Incluso en los años ochenta se pensaba que para enseñar geometría bastaba introducir o mostrar las operaciones básicas de la tortuga en Logo. Al no obtener los resultados deseados, fue necesario analizar de qué manera las diversas propuestas tecnológicas podrían ayudar en la enseñanza-aprendizaje de la matemática (Pantoja, 1997; Guin y Trouche, 2002).
De esta forma surgen propuestas como el enfoque instrumental, que introduce una distinción entre un artefacto disponible (computadora portátil, calculadora, tableta o teléfono inteligente) para un aprendiz al realizar una actividad (proceso de instrumentación) y la conversión a un instrumento durante el curso de una actividad realizada por él (proceso de instrumentalización). Este enfoque se ha integrado en la didáctica de las matemáticas (Rabardel, 1995; Artigue, 2002). Trouche (2004) introduce el término orquestación instrumental como una necesidad para que el profesor organice las interacciones entre los estudiantes y los instrumentos con intenciones didácticas particulares; presenta dos niveles: una configuración didáctica (arreglo de estudiantes y los artefactos disponibles en el entorno) y los modos de explotación de estas configuraciones.
La configuración estudiante-sherpa (un estudiante cuya computadora o calculadora se proyecta en la clase) fue durante varios años una configuración didáctica emblemática. Para una configuración determinada, existen diversas formas de funcionamiento posibles. Drijvers et al. (2010) consideran: “[En] la metáfora musical de la orquestación, el escenario de la configuración didáctica se puede comparar con la elección de instrumentos musicales que se incluirán en la orquesta y su disposición en el espacio de manera que los diferentes sonidos produzcan la armonía más hermosa (p. 3)”. Una orquestación instrumental está parcialmente preparada de antemano y parcialmente creada “sobre el terreno” durante la enseñanza, por lo que Drijvers et al. (2010) agregan a las configuraciones y modos de explotación un tercer nivel denominado rendimiento didáctico, el cual
involucra las decisiones más adecuadas que se asumen mientras se enseña cómo realizar efectivamente la configuración didáctica elegida y el modo de explotación: ¿qué preguntas plantear?, ¿cómo hacer justicia (o dejar de lado) a cualquier aportación particular del estudiante?, ¿cómo tratar un aspecto inesperado en la tarea matemática o en la herramienta tecnológica u otros objetivos emergentes? (p. 215, traducción propia).
En relación con la metáfora musical, Drijvers et al. (2010) sugieren pensar en el modelo tripleta como una banda de jazz, compuesta por músicos principiantes y avanzados (estudiantes), así como el profesor, líder de la banda, quien preparó una participación conjunta, pero está abierto a la improvisación e interpretación de los estudiantes, además de hacer justicia a entradas a diferentes niveles. Esta afirmación se volvió realidad en la presente experiencia debido a que no había antecedentes sobre una enseñanza en línea en álgebra lineal, por lo que se tuvo que “improvisar”1 formas y métodos de enseñanza. Drijvers et al. (2010) extendieron el repertorio de orquestaciones instrumentales, e identificaron seis tipos para la enseñanza de clase completa:
Demostración-técnica. El profesor demuestra los aspectos técnicos para utilizar la herramienta. Una configuración didáctica para esta orquestación es un arreglo en el aula de manera que permita a los estudiantes ver la pantalla proyectada y seguir la demostración.
Explica-la-pantalla. Las explicaciones del profesor superan los aspectos técnicos e incluyen contenido matemático, guiado por lo que aparece en la pantalla. Una configuración didáctica para esta orquestación es un arreglo en el aula de tal manera que permita a los estudiantes ver la pantalla proyectada y seguir la demostración.
Enlaza-pantalla-pizarrón. El profesor enfatiza a la clase las conexiones entre las representaciones en la pantalla y las de estos conceptos matemáticos en los libros o en la pizarra. Una configuración didáctica para esta orquestación es un arreglo en el aula de forma que permita a los estudiantes ver la pantalla proyectada, lo escrito en la pizarra y seguir la demostración.
Discute-la-pantalla. La discusión sobre lo que sucede en la pantalla es liderada por el profesor en busca de potenciar la génesis instrumental colectiva. Una configuración didáctica para esta orquestación es un arreglo en el aula de manera que: 1) permita al profesor acceder al trabajo de los estudiantes y 2) los estudiantes puedan ver la pantalla proyectada, lo escrito en la pizarra, seguir la demostración y favorecer la discusión.
Indica-y-muestra. El profesor identifica y muestra los trabajos de los estudiantes que él considera más relevantes. Una configuración didáctica para esta orquestación es un arreglo en el aula de forma que: 1) permita al profesor acceder al trabajo de los estudiantes durante la preparación de la lección, y 2) los estudiantes puedan ver la proyección del trabajo.
Estudiante-sherpa-en-el-trabajo. La herramienta tecnológica está en manos de un estudiante-sherpa, quien tendrá el rol de realizar las actividades. Una configuración didáctica para esta orquestación es un arreglo en el aula de manera que: 1) permita al estudiante-sherpa proyectar su trabajo o para llevar a cabo las acciones que el profesor le solicite, y 2) los estudiantes puedan ver y seguir la proyección del trabajo del estudiante-sherpa.
Estas orquestaciones no están aisladas, en las primeras tres el profesor dirige la comunicación, mientras que en las últimas tres el profesor les da más espacio a los estudiantes. En 2012, Drijvers et al. agregaron una séptima orquestación: circula-mientras-trabajan, donde los estudiantes trabajan en la computadora solos o en parejas, mientras el profesor circula entre los escritorios monitoreando su progreso y apoyándolos en puntos técnicos o matemáticos. En 2013, Drijvers et al. refinaron la séptima orquestación e identificaron cuatro tipos adicionales, además de clasificarlas en dos amplias categorías: orquestaciones de clase completa y orquestaciones individuales o de parejas.
Guía-y-explica. Es una orquestación intermedia entre explica-la-pantalla y discute-la-pantalla. Una configuración didáctica para esta es un arreglo en el aula de manera que: 1) permita al profesor acceder al trabajo de los estudiantes, 2) los estudiantes puedan ver la pantalla proyectada, lo escrito en la pizarra y seguir la demostración, y 3) permita al profesor realizar preguntas −a menudo cerradas− a los estudiantes.
Información-sobre-la-pizarra. Representa al profesor enseñando y escribiendo frente a la pizarra sin soporte tecnológico.
Demostración-técnica, guía-y-explica, enlaza-pantalla-papel, discute-la-pantalla y apoyo-técnico. Son orquestaciones en las que los estudiantes trabajan individualmente o en parejas frente a su dispositivo tecnológico. Tienen en común la configuración didáctica, aunque difieren en sus modos de explotación.
Demostrar-técnica. El profesor realiza la demostración de las técnicas de forma individual evita exponer al estudiante a dificultades debido a su inexperiencia con el entorno digital.
Guía-y-explica. El profesor interactúa con un estudiante o con una pareja para explicar o informar aspectos matemáticos o tecnológicos, basado en lo que se muestra en la pantalla.
Enlaza-la-pantalla-y-el-papel. El profesor vincula lo que se muestra en la pantalla con lo que se muestra en libros y enlaza las matemáticas de forma convencional con lápiz y papel.
Discute-la-pantalla. El profesor realiza la discusión con un alumno o con una pareja, basado en lo que se muestra en la pantalla.
Apoyo-técnico. El profesor apoya al estudiante con problemas técnicos, como dificultades de conexión, errores de software o de hardware.
En la actualidad, en casi toda actividad didáctica participan diversos actores, como los software, las calculadoras, las guías, los libros, el profesor, el estudiante y el proyector. Es necesario establecer la organización y la administración de los diversos artefactos o instrumentos que intervienen para realizar una determinada actividad matemática, así como el rol del profesor, el cual mantiene su importancia. De esta forma, se considera pertinente plantear la pregunta de investigación: ¿qué orquestaciones instrumentales podría elegir un profesor universitario cuando usa la tecnología en la enseñanza en línea de valor y vector propio?
METODOLOGÍA
El experimento de enseñanza se llevó a cabo con un grupo conformado por 24 estudiantes de segundo año de ingeniería en una universidad pública mexicana. Debido a la pandemia, solo diez estudiantes completaron el curso; fueron cinco sesiones con duración de hora y media cada una; uno de los autores fue el profesor titular del curso. Si bien los estudiantes tenían computadoras portátiles o dispositivos móviles (teléfonos inteligentes y tabletas), las condiciones físicas necesarias para las clases en línea no eran del todo satisfactorias. Se presentaron problemas como conexiones a internet bastante débiles, ruidos tanto en el hogar como fuera de este, estrés; una configuración de esto se presenta en la figura 1. La experiencia se desarrolló mediante videoconferencias sincrónicas en la plataforma Zoom, en el mismo horario que en las clases presenciales. La mayoría de los estudiantes optaron por no utilizar sus cámaras y micrófonos durante las conferencias impartidas por el investigador, debido a que se requería un mayor ancho de banda para hacerlo, y muchos no tenían este acceso. Durante todo el curso existieron las siguientes formas de comunicación: a) correo electrónico, b) mensajería instantánea (WhatsApp, propuesto por los estudiantes), c) servicio de almacenamiento en la nube (Google Drive), y d) los archivos a utilizar en cada sesión se subían a la nube minutos antes de la clase.

Recolección de datos
Durante todo el curso se recolectaron los datos de las siguientes formas: a) mensajes por correo electrónico; b) mensajería instantánea por WhatsApp; c) videograbación de las pantallas de los estudiantes, para lo que el profesor propuso el software libre OBS Studio a fin de posteriormente depositarlas en el servicio de almacenamiento en la nube (Google Drive); d) notas de los estudiantes; e) videograbaciones de las actividades de clase que el investigador realizó en el Zoom; y f) videograbación del trabajo en parejas de los estudiantes la cual también se almacenaba en la carpeta de Google Drive. Para el diseño de nuestra secuencia de tareas, se utilizó una trayectoria didáctica que fue desarrollada para implementarse en forma presencial en el aula; sin embargo, debido a la pandemia y al confinamiento, este esquema se adaptó para desarrollar las actividades en línea. La trayectoria se conforma por siete actividades para el estudiante, organizadas por las orquestaciones instrumentales de los profesores.
RESULTADOS
Las orquestaciones instrumentales reportadas por Trouche (2004) y Drijvers et al. (2010) y (2013) se han desarrollado para clases presenciales en las que el profesor y los estudiantes están ubicados en un aula, cara a cara. Por las circunstancias de pandemia, esta experiencia de enseñanza se desarrolló en línea de forma sincrónica, lo que permite utilizar algunas orquestaciones e improvisar otras.
En esta experiencia no se pueden aplicar varias de las orquestaciones sugeridas; por ejemplo, circula-mientras-trabajan, debido a que el profesor no podía observar el trabajo en tiempo real de cada uno de los estudiantes de esta forma (caminar entre las computadoras) y ver qué estaban realizando. Para sobrellevar esta situación hubo dos opciones: 1) solicitar al estudiante acceso remoto a su computadora o 2) que el estudiante comparta su pantalla, lo que generó que se desarrollara mayormente la orquestación discute-la-pantalla.
En las figuras 2a y 2b se muestra una configuración utilizada en la clase: en la figura 2a se muestra el PowerPoint abierto y la herramienta Anotación de Zoom, y en la figura 2b el escenario didáctico virtual interactivo (EDVI) y la herramienta Anotación de Zoom habilitada para escribir en la pantalla; como se puede observar, es análogo a la pizarra usual de un aula.

Una configuración didáctica para esta orquestación instrumental demostración-técnica es compartir la pantalla de la videoconferencia por parte del profesor, lo cual permite a los estudiantes seguir la demostración, semejante a un aula. Como modo de explotación, el profesor muestra a toda la clase cada nuevo comando y la funcionalidad del comando en el artefacto.
Para esta experiencia se ha modificado la orquestación instrumental demostración-técnica a lo que se denomina demostración-técnica-Online, que se refiere a la demostración de técnicas para el uso de un artefacto por parte del profesor, apoyado por un estudiante-sherpa. La configuración didáctica para esta orquestación es compartir la pantalla de la videoconferencia sincrónica por parte del docente, y después la intervención de un estudiante-sherpa (bajo el criterio de trabajar en una computadora y tener una buena conexión a internet), que reafirme la explicación del profesor. Como modo de explotación, el profesor y el estudiante-sherpa muestran a toda la clase cada nuevo comando y la funcionalidad de estos en el artefacto. El examen diagnóstico y la tarea construcción de un cuadrilátero son actividades para lograr determinada instrumentación con el entorno. Se presentan los hallazgos de los distintos tipos de orquestaciones instrumentales que se observaron en la experiencia, la conexión que realizan los estudiantes con las propiedades geométricas del vector en con su transformación lineal (matriz) y la relación matemática entre los vectores A y -valor y vector propio.
Relación de las columnas de la matriz con los vectores en el DGE en
En esta actividad el profesor utilizó una orquestación demostración-técnica para indicarles a los estudiantes que al abrir el EDVI se presentaban tres vistas: algebraica (contorno rojo), gráfica 1 (contorno verde) y gráfica 2 (contorno azul) (ver figura 3). Se les indicó que esta actividad estaría centrada en la vista gráfica 1 (contorno verde), y se les proporcionó 20 minutos para que interactuaran con el EDVI y, a la vez, respondieran a la hoja de exploración guiada. Los estudiantes trabajaron individualmente, realizaron la videograbación de sus actividades y las agregaron a la nube en sus respectivas carpetas.

Las orquestaciones instrumentales más utilizadas fueron: apoyo-técnico y discute-la-pantalla como una orquestación de toda la clase. Cabe señalar que la hoja de instrucción guiada fue fundamental para lograr el objetivo y de alguna manera suple la orquestación “caminar entre las computadoras”, al revisar el trabajo realizado. Asimismo, se presentó el rendimiento didáctico Nicté-Ha: “Estaba grabando mi actividad, pero se dejó de grabar solita, ¿la comienzo de nuevo o sigo grabando donde me quedé?”. Como se pretendía observar el trabajo de los estudiantes, se indicó que si la grabación se interrumpía procuraran retomar su trabajo en el punto en el que fue interrumpida. Al finalizar la actividad se presentó otro rendimiento didáctico: “Profesor, ya he finalizado, ¿puedo subir mi trabajo más tarde? Es que en este momento mi internet está lento” (Randy). Lo relevante de estos rendimientos didácticos es que solo se observan en la modalidad en línea.
Los estudiantes reconocen que los valores del vector y del vector corresponden a los valores de la primera y segunda columna de la matriz (ver figura 3). Después, el profesor continuó con la siguiente actividad y preguntó a una estudiante:
Profesor: “¿Cómo son los vectores columna de la matriz A?, ¿son colineales o no colineales?”.
Leonardo: “No son colineales porque en la representación gráfica lo vi. También porque no existe 0 o 180 grados entre ellos”.
Profesor: “¿Los vectores columna de la matriz son dependientes o independientes?”.
Arely: “Son dependientes” [respuesta incorrecta].
En este momento, el profesor cambia su orquestación a enlaza-pantalla-pizarrón para conectar la interpretación geométrica del determinante de la matriz con el área del polígono generada por los vectores y y mostrarles a los estudiantes la relación del determinante nulo y la singularidad de la matriz A. En esta actividad los estudiantes abordaron por primera vez el determinante de una matriz de 2 x 2 de forma geométrica y reconocieron que el área generada por define el área del paralelogramo formado por los vectores y .
Reconocimiento de las relaciones del vector y el vector A
El objetivo de esta actividad fue que los estudiantes descubrieran la colinealidad de los vectores A y y que la razón de proporcionalidad entre ellos es , para después abordar la igualdad . La vista gráfica 2 (contorno azul), de la figura 3, muestra dos vectores: un vector arrastrable sobre esa vista gráfica y su vector transformado . Cuando el vector se arrastra, el vector se mueve según la matriz de transformación. La vista gráfica 2 también incluye una representación aritmética , el valor de la norma del vector y el valor de la norma del vector , la medida del ángulo entre el vector y el vector en grados, así como un texto con la leyenda “ y son colineales”, que se muestra solo cuando estos vectores tienen un error º con los ángulos de 0º o 180º, para evitar que por problemas de aproximación nunca se llegue a la solución deseada. También se agrega otra representación aritmética con una aproximada, que solo se ve cuando se visualiza el texto anterior. El estudiante puede modificar los valores de la matriz A.
Esta actividad la realizaron en casa sin asesoría del profesor. Otro rendimiento didáctico se presentó cuando un estudiante eliminó el permiso de acceso a la carpeta de Google Drive a todos los usuarios, pero el profesor logró recuperar el permiso para los estudiantes; debido a que todos los usuarios tienen el permiso de edición, se puede presentar este tipo de problemas con el almacenamiento de los archivos. Nuevamente, el profesor utilizó la orquestación instrumental explica-la-pantalla a través del trabajo de uno de los estudiantes como modo de explotación. El trabajo del estudiante seleccionado fue en criterio del primer trabajo que se cargó en el Google Drive y, después de haber presentado, el profesor utilizó la orquestación discute-la-pantalla.
Profesor: “Dalia, ¿cómo obtuviste que el vector y son colineales al vector ?”.
Dalia: “Es que lo fui probando”.
Profesor: “¿Alguien observó que, dado un vector colineal a , el vector también era colineal a ?”.
Nicole: “Yo, profe”.
Profesor: “¿Cómo llegaste a esta idea?”.
Nicole: “Tal vez porque son colineales deben de estar en la misma línea. Por eso llegué a esa conclusión en mi mente”.
A continuación, el profesor les pidió a los estudiantes que arrastraran el vector a las coordenadas (-2,2), que observaran las coordenadas del vector y calcularan . Posteriormente, que arrastraran el vector a las coordenadas (-1,1), (2,-2) y (4,-4), que observaran las coordenadas del vector y calcularan .
Profesor: “¿Qué podrían inferir o generalizar con estos datos?”.
Arely: “Que todos esos puntos son colineales. Si los pusiéramos todos, serían una recta. Por lo tanto, serían colineales”.
Profesor: [traza la recta x + y = 0] “¿Qué podrías decir?”.
Arely: “Que, por ejemplo, los vectores que dio usted, que subrayó, si los colocáramos en el plano cartesiano, igual nos quedarían sobre la misma recta, por lo tanto, esos cuatro puntos (-2,2), (-1,1), (2,-2) y (4,-4) son colineales”.
Profesor: “¿Qué podríamos generalizar?”.
Ulises: “El vector si lo multiplicamos por el escalar 2 nos da el vector ”.
Leonardo: “Yo vi que eran dos rectas”.
Hasta este punto, los estudiantes no logran identificar cuáles son las ecuaciones de las rectas, pero ya tienen la idea de que todos los vectores que están sobre ellas son colineales al vector . El profesor les reafirmó que todos los vectores que están sobre la recta eran colineales con el vector . Además, se pidió que calcularan y comprobaran que siempre es “0.5” para una recta y “1” para la otra. En este momento el docente comentó que estaban estudiando la ecuación matricial , y da la definición formal de valor y vector propios de una matriz . Posteriormente, utilizó la orquestación enlaza-pantalla-pizarrón para mostrarles nuevamente la relación del área del polígono formado por las columnas de la matriz y el determinante de la matriz de 2 x 2. También mostró la relación de las lambdas con el determinante de la matriz A y su traza (ver figura 4).

Cálculo algebraico de los valores y vectores propios
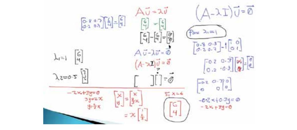
Thomas y Stewart (2011) señalan que los libros de texto muestran , luego insertan un pequeño paso a , pero no explican qué es ; es decir, que es una matriz . Con la orquestación Board-instruction-screen el profesor explica cómo la ecuación se transforma en con la participación de los estudiantes (ver figura 5).

Profesor: “Recuerdan que no se puede operar, ¿qué hicimos en el tema de operaciones entre matrices para que se pudiera operar?”.
Leonardo: “Se multiplicó por la matriz identidad”.
El profesor desarrolló la solución de con para obtener el espacio propio; después de esto (-0.2x + 0.3y = 0), le pidió a un estudiante que multiplicara la ecuación del espacio propio por diez, para que observara que era una de las dos rectas que el alumno había comentado en la clase anterior. Posteriormente, el profesor les pidió a los estudiantes que ingresaran la ecuación de la recta “2x + 3y = 0” en GeoGebra y que colocaran el vector sobre esta, para que corroboraran que cuando el vector está sobre la recta, el vector y el vector son colineales con el mismo valor propio . Dado el espacio propio, el docente les mostró a los estudiantes la obtención de un vector propio; mostró el cálculo de los valores y vectores propios de forma analítica y corroboró con los estudiantes los valores y vectores propios que obtuvieron de forma dinámica en el DGE.
Cálculo de valores y vectores propios de matrices de orden 2 y 3
El profesor indicó que resolvieran esta actividad a lápiz y papel, sin apoyo de la tecnología y que videograbaran su solución. Para la primera matriz , la mayoría de los estudiantes (siete) no tuvo dificultad en calcular correctamente el polinomio característico, los valores propios y después los vectores propios; solo dos tuvieron problemas con su álgebra operacional. Para la matriz , la mayoría de los estudiantes (seis) no tuvo dificultad en calcular correctamente el polinomio característico, los valores propios y después los vectores propios. En este ejercicio tres estudiantes presentaron problemas en el cálculo del espacio nulo de la matriz debido a errores algebraicos. Para la matriz
solo cuatro estudiantes realizaron correctamente el proceso para encontrar los valores y vectores propios; sin embargo, tuvieron errores aritméticos y solo uno la resolvió correctamente (ver figura 6). Aunque las matrices de orden 3 x 3 no se abordaron durante las actividades, los estudiantes que lo intentaron resolver mostraron ser capaces de aplicar lo aprendido o lo realizado en a vectores en .

La posibilidad de experimentar dinámicamente y visualizar geométricamente el efecto que produce una transformación lineal o matriz sobre un vector, ayudó a entender mejor la relación . La exposición en línea promovió el trabajo grupal y originó un trabajo colaborativo al formarse pequeños subgrupos de discusión y análisis, dirigidos en la plataforma por el maestro; esto permitió a los alumnos resolver por sí mismos gran parte de sus deficiencias. Al tener las respuestas de los estudiantes a los ejercicios antes de la clase, el profesor trabajó en el rediseño de su instrucción hacia algo más adecuado.
CONCLUSIONES
Actualmente, al hablar sobre temas relacionados con la enseñanza y el aprendizaje de las matemáticas, incuestionablemente se incluyen las herramientas tecnológicas. Estas no pueden pensarse como artefactos que se utilizan libremente, pero su implementación en el aula ha evidenciado que los estudiantes requieren de un proceso de apropiación de estas herramientas. Esta es la gran aportación del enfoque instrumental, apoyar a los profesores de matemáticas en sus esfuerzos por integrar la tecnología en su práctica docente, aunque aún es un desafío para la comunidad de educación matemática.
La pregunta de investigación: ¿qué orquestaciones instrumentales podría elegir un profesor universitario cuando usa la tecnología en la enseñanza en línea de valor y vector propio? enmarcó el presente estudio. Se examinó la práctica docente de un profesor universitario con estudiantes de ingeniería durante el inicio de la pandemia provocada por la covid-19 mediante una enseñanza en línea a través del marco teórico de la orquestación instrumental. En 2004 se presentó a la comunidad de matemática educativa la metáfora orquestación instrumental para reflexionar sobre la integración de los artefactos en sus enseñanzas y organización; sin embargo, a medida que la tecnología cambia, los tipos de orquestaciones instrumentales -previamente identificados- deben ser reexaminados con la posibilidad de ser modificados o ampliados.
Esta investigación propone a la comunidad la posibilidad de ampliar las orquestaciones instrumentales previamente definidas con demostración-técnica-Online, para una enseñanza en línea; es decir, mediante el uso de un software dinámico, la creación de EDVI y las hojas de exploración guiadas se proporcionan evidencias para realizar situaciones de enseñanza-aprendizaje conceptos matemáticos, como valores y vectores propios, que pueden ser utilizadas en el tiempo estimado por el programa de estudio y reproducible en cualquier situación semejante.
Las orquestaciones presentadas en este artículo se originaron debido a que los estudiantes subían las videograbaciones de sus trabajos y el profesor tenía oportunidad de acceder y realizar orquestaciones a partir de estos trabajos. Este estudio abona a un camino largo por recorrer. Esta aportación, hasta hoy, no es concluyente, pues faltaría mayor experimentación; sin embargo, resulta alentadora para continuar estrategias de este tipo en la enseñanza, la cual podrá ser cubierta con nuevas contribuciones del medio de la investigación y docencia. Esta propuesta no pretende competir con la enseñanza presencial ni sustituirla, pero sí aportar elementos a una enseñanza en línea, ya demandada antes de la pandemia actual.
Consideraciones futuras
Las circunstancias adversas de una pandemia mundial, y de la crisis económica, social y emocional, afectó al alumnado; durante las sesiones del curso algunos estudiantes contrajeron la covid-19 y otros sufrieron el deceso de familiares. A pesar de ello, el trabajo se llevó a cabo con éxito, por lo que consideramos que nuestras actividades en situaciones normales tendrán el logro deseado. Creemos que nuestro trabajo aporta una nueva forma de orquestación y explotación que nuestros colegas profesores podrán utilizar, ampliar o modificar y aplicar a otros conceptos matemáticos.

AGRADECIMIENTOS
José Orozco-Santiago agradece al Consejo Nacional de Ciencia y Tecnología por apoyar sus estudios de doctorado, durante los cuales se llevó a cabo esta investigación.
REFERENCIAS
Artigue, M. (2002). Learning Mathematics in a CAS Environment: The Genesis of a Reflection about Instrumentation and the Dialectics between Technical and Conceptual Work. International Journal of Computers for Mathematical Learning, 7(3), pp. 245-274. http://doi.org/10.1023/A:1022103903080
Artigue, M. (2016). Mathematics Education Research at University Level: Achievements and Challenges. En E. Nardi, C. Winslow & T. Hausberger (eds.), Proceedings of theFirstconference of the International Network for Didactic Research in University Mathematics (pp. 11-27). Montpellier: University of Montpellier and INDRUM. http://hal.archives-ouvertes.fr/INDRUM2016/public/indrum2016proceedings.pdf
Carlson, D.; Johnson, C. R.; Lay, D. C. & Porter, A. D. (1993). The Linear Algebra Curriculum Study Group Recommendations for the First Course in Linear Algebra. The College Mathematics Journal, 24(1), pp. 41-46. http://doi.org/10.2307/2686430
Cuevas-Vallejo, A. & Mejía, H. (2003). Cálculo visual. México: Oxford University Press.
Dorier, J. L. & Sierpinska, A. (2001). Research into the Teaching and Learning of Linear Algebra. En D. Holton, M. Artigue, U. Kirchgräber, J. Hillel, M. Niss, & A. Schoenfeld (eds.), The Teaching and Learning of Mathematics at University Level (pp. 255-273). Kluwer Academic Publishers. http://doi.org/10.1007/0-306-47231-7_24
Drijvers, P. (2012). Teachers transforming resources into orchestrations. En G. Gueudet, B. Pepin & L. Trouche (eds.), From text to ‘lived’ resources: Mathematics curriculum materials and teacher development (pp. 265-281). Cham: Springer.
Drijvers, P.; Doorman, M.; Boon, P.; Reed, H. & Gravemeijer, K. (2010). The teacher and the tool: Instrumental orchestrations in the technology-rich mathematics classroom. Educational Studies in Mathematics, 75(2), pp. 213-234. http://doi.org/10.1007/s10649-010-9254-5
Drijvers, P.; Tacoma, S.; Besamusca, A.; Doorman, M. & Boon, P. (2013). Digital resources inviting changes in mid-adopting teachers’ practices and orchestrations. ZDM Mathematics Education, 45(7), pp. 987- 1001. http://doi.org/10.1007/s11858-013-0535-1
Drijvers, P.; Ball, P.; Barzel, B.; Heid, M-K.; Cao, Y. & Maschietto, M. (2016). Uses of Technology in Lower Secondary Mathematics Education. ICME-13 Topical Surveys. Cham: Springer . http://doi.org/10.1007/978-3-319-33666-4_1
Engelbrecht, J.; Llinares, S. & Borba, M. C. (2020). Transformation of the mathematics classroom with the internet. ZDM Mathematics Education , 52, pp. 825-841. http://doi.org/10.1007/s11858-020-01176-4
Gol Tabaghi, S. (2014). How Dragging Changes Students’ Awareness: Developing Meanings for Eigenvector and Eigenvalue. Canadian Journal of Science, Mathematics and Technology Education, 14(3), pp. 223-237. http://doi.org/10.1080/14926156.2014.935528
Guin, D. & Trouche, L. (2002). Mastering by the teacher of the instrumental genesis in CAS environments: necessity of intrumental orchestrations. ZDM, 34(5), pp. 204-211. http://doi.org/10.1007/bf02655823
Hegedus, S. et al. (2017). Uses of Technology in Upper Secondary Mathematics Education. Luxembourg: Springer. http://doi.org/10.1007/978-3-319-42611-2
Hillel, J. (2000). Modes of Description and the Problem of Representation in Linear Algebra. En J.-L. Dorier (ed.), On the Teaching of Linear Algebra (pp. 191-207). Netherlands: Springer. http://doi.org/10.1007/0-306-47224-4_7
Klasa, J. (2010). A few pedagogical designs in linear algebra with Cabri and Maple. Linear Algebra and Its Applications, 432(8), pp. 2100-2111. http://doi.org/10.1016/j.laa.2009.08.039
Monaghan, J.; Trouche, L. & Borwein, J. M. (2016). Tools and Mathematics. 110. Netherlands: Springer . http://doi.org/10.1007/978-3-319-02396-0
National Council of Teachers of Mathematics. (2000). Principles and Standards for School Mathematics. National Council of Teachers of Mathematics: Reston, VA.
Oktaç, A. y Tigueros, M. (2010). ¿Cómo se aprenden los conceptos de álgebra lineal? Revista Latinoamericana de investigación en matemática educativa, 13(4-II), pp. 373-385. http://relime.org/index.php/numeros/todos-numeros/volumen-13/numeroespecial-13-4-ii/499-201021d
Orozco-Santiago, J. (2014). Falsas interpretaciones en la solución de un Sistema de Ecuaciones Lineales (tesis maestría). Cinvestav, México.
Orozco-Santiago, J. (2020). Una propuesta de orquestación instrumental para introducir los conceptos de valores y vectores propios en un primer curso de álgebra lineal para estudiantes de ingeniería (tesis doctoral). México: Cinvestav.
Pantoja, A. (1997). ¿Ha muerto LOGO? Una reflexión sobre las posibilidades creativas de LOGO en el futuro de la informática educativa. Cultura y Educación, 9(2-3), pp. 157-172. http://doi.org/10.1174/113564097761403553
Rabardel, P. (1995). Les hommes et les technologies, une approche cognitive des instruments contemporains. París: Armand Colin.
Sierpinska, A. (2000). On Some Aspects of Students’ Thinking in Linear Algebra. En J. L. Dorier (ed.), On the Teaching of Linear Algebra (pp. 209-246). Netherlands: Springer . http://doi.org/10.1007/0-306-47224-4_8
Stewart, S.; Andrews-Larson, C.; Berman, A. & Zandieh, M. (eds.). (2018). Challenges and Strategies in Teaching Linear Algebra. Netherlands: Springer . http://doi.org/10.1007/978-3-319-66811-6
Thomas, M. O. J. & Stewart, S. (2011). Eigenvalues and eigenvectors: Embodied, symbolic and formal thinking. Mathematics Education Research Journal, 23(3), pp. 275-296. http://doi.org/10.1007/s13394-011-0016-1
Trouche, L. (2004). Managing the complexity of human/machine interactions in computerized learning environments: Guiding students’ command process through instrumental orchestrations. International Journal of Computers for Mathematical Learning , 9(3), pp. 281-307. http://doi.org/10.1007/s10758-004-3468-5
Trouche, L. (2018). Comprender el trabajo de los docentes a través de su interacción con los recursos de su enseñanza-una historia de trayectorias. Educación Matemática, 30(3), pp. 9-40. http://doi.org/10.24844/EM3003.01
Notas