Resumen: En este trabajo se proponen, prueban y comparan tres algoritmos de balanceo pasivo, basados en tensión, de celdas de batería con tecnología de cátodo óxido de litio-níquel-manganeso-cobalto (NMC), como parte del desarrollo de un sistema de manejo de batería (BMS) para una batería de iones de litio. El enfoque del trabajo está orientado a la aplicación de dichos algoritmos en BMS de vehículos eléctricos. Se realizó un software para llevar adelante el ensayo el cual permite modificar parámetros de forma sencilla y flexible, para adaptarse a baterías de iones de litio con otros tipos de celdas. En particular, los ensayos se realizaron sobre una batería en configuración 14S1P, definiéndose tres pruebas diferentes, sin balancear, balanceando, partiendo de celdas balanceadas y balanceando, partiendo de celdas desbalanceadas. Se muestran los resultados obtenidos a partir de los ensayos realizados, concluyendo sobre cual algoritmo presenta mejores resultados, considerando la capacidad del pack de celdas utilizado, el balanceo logrado y la energía disipada por ecualización.
Palabras clave: Batería de iones de litio, BMS, Celda de batería, Balanceo pasivo de celda, Algoritmo de balanceo.
Abstract: In this work, three voltage-based passive balancing algorithms of battery cells with lithium-nickel-manganese-cobalt oxide (NMC) cathode technology are proposed, tested, and compared as part of the development of a battery management system (BMS) for a lithium-ion battery. The focus of the work is oriented to the application of these algorithms in BMS of electric vehicles. Software was developed to carry out the test, which allows parameters to be changed in a simple and flexible way, to adapt to lithium-ion batteries with other types of cells. In particular, the tests were carried out on a battery in 14S1P configuration, defining three different tests, unbalanced, balancing, starting from balanced cells and balancing, starting from unbalanced cells. The results obtained from the tests carried out are shown, concluding on which algorithm presents the best results, considering the capacity of the cell pack used, the balance achieved and the energy dissipated by equalization.
Keywords: Lithium-ion battery, BMS, Battery cell, Passive cell balancing, Balancing algorithm.
Articles
Propuesta y Comparación de Algoritmos de Balanceo Pasivo de Celdas NMC para una Batería de Iones de Litio
Proposal and Comparison of Passive Balancing Algorithms of NMC cells for a Lithium-ion Battery
Received: 28 March 2024
Accepted: 17 February 2025
Las baterías de iones de litio han demostrado ser la alternativa más adecuada para aplicaciones tales como computadoras portátiles, teléfonos móviles, vehículos híbridos y eléctricos (Youssef et al., 2021; Reddy et al., 2022). Esto se atribuye a sus características convenientes al ser comparadas con otras tecnologías, como plomo-ácido, níquel-cadmio (Ni-Cd) o níquel-metal hidruro (Ni-MH), en virtud de sus altos niveles de densidad de energía y potencia (determinando un menor peso y volumen), elevados ciclos de vida, baja tasa de autodescarga y un bajo efecto de memoria (Hannah et al., 2018; Quintero et al., 2021; Zhang et al., 2022).
Una batería está constituida por varias celdas electroquímicas que pueden conectarse en serie o en paralelo. Mediante una celda electroquímica puede generarse energía eléctrica a través de una reacción química o viceversa (Quintero et al., 2021). De esta manera, las características de las baterías dependen de la combinación de materiales del cátodo y el ánodo de las celdas, estableciéndose diferentes valores de tensión nominal de operación (Cueva et al., 2018). De acuerdo con Nitta et al. (2015), gran parte de la investigación en baterías de iones de litio se relaciona con los materiales empleados en la construcción de los electrodos para mejorar las prestaciones de la batería. La tecnología de iones de litio puede distinguirse según los materiales del cátodo: óxido de litio-cobalto (LCO), óxido de litio-manganeso (LMO), óxido de litio-níquel-manganeso-cobalto (NMC), óxido de litio-níquel-cobalto-aluminio (NCA) y fosfato de litio-hierro (LFP) (Brand et al., 2013; Incell Academy, n.d.; Zachmann et al., 2023). Estas composiciones químicas poseen características particulares y, por lo tanto, deben ser consideradas para lograr la utilización óptima de acuerdo con la aplicación deseada. Por otro lado, una batería con la potencia y tensión necesarias para un uso determinado requiere un arreglo de varias celdas en serie y paralelo, dado que generalmente las tensiones de operación de las celdas de litio se encuentran en el rango de 2,5 V a 4,2 V, dependiendo de los materiales de sus electrodos (Lu et al., 2013).
Particularmente hay dos parámetros importantes relacionados con el uso de una batería: el estado de carga (state-of-charge - SoC) y el estado de salud (state-of-health - SoH). El SoC es un indicador de la cantidad de energía disponible en la batería comparada con su capacidad máxima y el SoH es un indicador porcentual de la degradación de la batería y se refiere a su condición actual en función de la capacidad nominal (batería nueva) (Hussein y Batarseh, 2011; Xing et al., 2014).
Las celdas deben tener límites estrictos de operación en tensión, dado que las sobretensiones de una celda se asocian directamente a su SoH, acortando lentamente su vida útil. Una sobretensión puede conducir rápidamente a la destrucción de la batería, pudiendo causar daños a dispositivos, equipos y personas. Por otro lado, las subtensiones se asocian a la capacidad de las celdas y también al SoH. Además de perder vida útil, cuando una celda se somete a una subtensión pierde capacidad de forma permanente (Vitols, 2015). Otra característica importante es el límite de corriente admisible, pues valores mayores a los especificados para una celda, conducen a un sobrecalentamiento que afecta negativamente al SoH y su capacidad.
Al conectar las celdas en serie para obtener un valor de tensión determinado, puede producirse un desequilibrio de la carga almacenada (Wei et al., 2017). Aunque mediante las tecnologías de fabricación actuales se logran celdas de gran similitud, las mínimas diferencias en cuanto a resistencia interna o autodescarga harán que, en reiterados ciclos de carga y descarga, terminen con diferentes tensiones y SoC, provocando el desbalanceo de la batería (Zheng et al., 2016). A su vez una batería de gran tamaño tendrá gradientes de temperatura que modificarán los parámetros eléctricos de las celdas, aumentando aún más el desbalanceo.
En las baterías de iones de litio se utiliza un sistema de gestión o manejo de batería (Battery Management System - BMS), no sólo para protegerla de sobretensiones, subtensiones, cortocircuito y elevada temperatura, prolongando su vida útil y garantizando la seguridad de operación (Rodríguez Patarroyo et al., 2015; Castano et al., 2016), sino también para mantener el SoC de las celdas de manera uniforme (Voloskyi et al., 2024).
Particularmente, la implementación de técnicas de balanceo pasivas o activas de celdas se considera un aspecto relevante en un BMS. El balanceo pasivo sólo es útil durante el proceso de carga y consiste en drenar el exceso de energía de las celdas más cargadas mediante una resistencia en paralelo, lo cual lo convierte en un método poco eficiente, pero mucho más simple que la técnica de balanceo activa, ya que ésta utiliza un elevado número de dispositivos de conmutación, lo que aumenta el costo y disminuye su competitividad (Aizpuru et al., 2017; Song and Lee, 2023). En los trabajos de Lee et al. (2016), Omariba et al. (2019), Kurpiel et al. (2021) y Tyrpekl et al. (2022) se presentan revisiones detalladas sobre las técnicas actuales de balanceo pasivo y activo de celdas.
Por otro lado, los algoritmos de balanceo son criterios utilizados para que el software determine en qué momento se debe balancear una celda. Dichos algoritmos pueden dividirse en dos grupos: algoritmos basados en tensión y algoritmos basados en SoC (Aizpuru et al., 2013; Zheng et al., 2016). Si bien este último puede considerarse mejor, se torna complejo en grandes paquetes de baterías porque se hace difícil estimar exactamente el SoC individual de cada celda.
En los últimos años se han publicado diversos trabajos basados en técnicas y algoritmos de balanceo pasivo, con diferentes arreglos de celdas y contextos de aplicación, lo que muestra su amplia utilización (Di Rienzo et al., 2020; Grupta et al., 2022; Song & Lee, 2023).
En este trabajo se proponen, validan y comparan tres algoritmos de balanceo pasivo de celdas NMC, basados en tensión, para una batería de iones de litio. El trabajo se contextualiza en el desarrollo de un vehículo eléctrico urbano en la Facultad de Ingeniería - UNCPBA. Por tal motivo, el enfoque del trabajo está orientado a la aplicación del BMS a vehículos eléctricos.
Los ensayos son realizados sobre una batería en configuración 14S1P de celdas NMC marca Powerad, modelo 26650NMC. Para el hardware del BMS se empleó un microcontrolador MSP430F247 de TI y tres circuitos integrados BQ76PL536A, también de TI. Dicho circuito integrado (CI) es un dispositivo electrónico para el monitoreo de variables y protección, de tres a seis celdas de iones de litio (Texas Instruments, 2016). Se utilizaron tres CIs en cascada, para lograr conectar las 14 celdas en serie del arreglo considerado, tal como se muestra en la Figura 1.
El CI mencionado tiene la capacidad de medir la tensión de las celdas, la temperatura e implementar el control del balanceo. Solo el primer CI posee conexión directa con el microcontrolador, estableciéndose comunicación vía SPI entre los bloques.
Se ha considerado una placa con el microcontrolador (host) y otra que permite armar stacks de CIs para lograr modularidad y adaptación a mayor cantidad de celdas.

En este trabajo se utilizaron algoritmos basados en la medición de tensiones. La estrategia propuesta emplea un criterio similar
al utilizado por Amin et al. (2017) y consiste en comparar las tensiones de las celdas de un pack con una tensión de referencia, considerando un valor de umbral por encima de ésta, resultando así una tensión límite, por encima de la cual la celda debe ser balanceada, produciéndose un efecto de ecualización en el pack
Como criterio general, la tensión de referencia se determina como la tensión más baja de celda, la tensión promedio o una tensión definida (Aizpuru et al., 2013; Amin et al., 2017; Wei et al., 2017).
En la Figura 2 se muestran los valores de tensiones obtenidos y estados de ecualización, en función del tiempo, a partir de un ensayo sobre dos celdas NMC, empleando algoritmo basado en la medición de tensiones. Se comparan las curvas de tensión de ambas celdas (en color amarillo y verde) con el valor límite de tensión (en color negro). En el caso que se muestra en la figura, el valor límite corresponde al de la celda de menor tensión. La ecualización activa se representa por valor uno, mientras que la ecualización inactiva, se representa por valor cero. Si se supera el valor límite de tensión, establecido por celda de menor tensión, el algoritmo de balanceo pasivo hará que se descargue la celda a través de un resistor en paralelo con ella.

Se proponen tres algoritmos de balanceo y se realizan ensayos para encontrar cuál de ellos resulta más conveniente.
Además, se han considerado los siguientes criterios de comparación: a) la capacidad alcanzada por el pack; b) el balanceo logrado y c) la energía disipada debido a la ecualización.
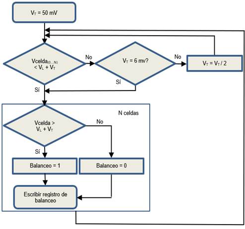
Debido a que la corriente de balanceo circula a través de la resistencia interna de la celda habrá una diferencia entre la tensión de circuito abierto de la celda y su tensión con el resistor de balanceo conectado. Mediante ensayos se comprobó que la conexión del resistor de balanceo produce una caída de tensión entre 3 mV y 6 mV. Por este motivo, se adoptó como criterio utilizar un umbral de tensión (VT) de, al menos, 6 mV.
Para este algoritmo se utiliza como referencia la tensión de la celda de menor tensión (VL), más un valor umbral (VT) definido en + 6 mV. Aquellas celdas cuya tensión sea superior a la mínima más el umbral, serán ecualizadas. Este es el algoritmo más simple, pero, a la vez, el menos conservador en cuanto a disipación de energía. En la Figura 3 se muestra el diagrama simplificado del algoritmo.
Este algoritmo es similar al anterior, con tensión de referencia correspondiente a la de la celda de menor tensión (VL), no obstante, con umbral de tensión variable. En principio, emplea un valor de VT de 50 mV. Si ninguna celda excede a la referencia en este valor, entonces se reduce el umbral a la mitad. Este proceso se repite hasta alcanzar 6 mV como tensión umbral. Con este algoritmo es esperable reducir la energía disipada en la ecualización, en comparación con el anterior. Este algoritmo es más conservador dado que ecualiza solo las celdas que tienen diferencia de tensión mayor al valor límite. En la Figura 4 se observa su diagrama simplificado.

El tercer algoritmo propuesto utiliza como referencia el valor promedio de la tensión de las celdas (VA) y VT de ± 6 mV. En caso de que alguna celda presente una tensión menor al promedio menos 6 mV, se aplica el algoritmo 1. Si ninguna celda (celdax) cumple esta condición, se balancean aquellas cuya tensión resulte superior al promedio por 6 mV o más. En la Figura 5 se muestra el diagrama simplificado del tercer algoritmo.
El software para el ensayo permite modificar parámetros de forma sencilla para adaptarse a la batería y los requerimientos necesarios. Por ejemplo, si se cambia de tecnología de celdas entre NMC y LFP, deben modificarse los valores de tensiones admisibles. También pueden modificarse la frecuencia de lectura y comunicación, y la duración de la ecualización, entre otros parámetros.
En términos generales, el programa implementado comienza con la inicialización del hardware para configurar el microcontrolador (registros, conversor AD, temporizadores, reloj, entradas y salidas, y comunicaciones).
Posteriormente se realiza la asignación de direcciones a los CIs y se las verifica. En la secuencia de programa se configuran los CIs de acuerdo a su utilización, considerando registros para el control del conversor AD, control de tiempo de balanceo y la cantidad de celdas que monitorea cada uno de ellos. Posteriormente se ejecuta el bucle principal que realiza la lectura y análisis de tensiones y corriente, ejecuta la máquina de estados y luego realiza la comunicación de datos. La primera parte de dicho bucle hace que se almacenen todos los valores de tensiones de las celdas en una matriz, para buscar la menor de ellas, calcular la tensión total de la batería y calcular la tensión promedio de las celdas. También se verifica la existencia de celdas con sobretensión o subtensión y se modifican los flags correspondientes a estas condiciones. Del mismo modo, se almacena el valor de corriente y se determina si corresponde a carga o descarga. En la secuencia se ejecuta una máquina de estados que, dependiendo de las entradas del sistema, establece un estado determinado, en cada uno de los cuales se modifican las salidas correspondientes.


Finalmente, se envían, a través del BMS y mediante comunicación serie, los valores de tensión de todas las celdas, la tensión total de la batería, el signo y valor de la corriente, las celdas que se están ecualizando y el estado actual de la máquina de estados, a una terminal de usuario que se ejecuta en una computadora.
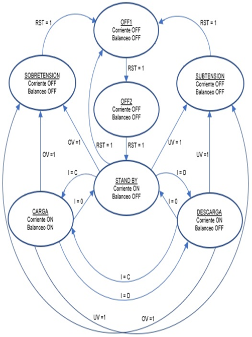
Como parte del programa se ha diseñado una máquina de estados sencilla, la cual es mostrada en la Figura 6, para implementar la funcionalidad principal del sistema y realizar los ensayos correspondientes. Dicha máquina posee cuatro entradas: sentido de la corriente de la batería (I), es decir carga o descarga; flag de subtensión (UV) que se modifica cuando al menos una celda posee una tensión menor que la mínima admisible; flag de sobretensión (OV) que se modifica cuando al menos una celda posee una tensión mayor que la máxima admisible y reset (RST) que le permite al usuario reiniciar el sistema. Las salidas de la máquina de estados corresponden a: corriente (ON/OFF) (salida a relé de corte de batería, ver Figura 1) y balance (ON/OFF) que es un vector que contiene la información referente a las celdas que deben balancearse en cada circuito integrado. Por otro lado, se definieron siete estados: STAND BY, DESCARGA, CARGA, SUBTENSIÓN, SOBRETENSIÓN, OFF1 y OFF2.
STAND BY es el estado inicial del sistema y su estado de reposo. Cuando la máquina se encuentra en él, espera la ocurrencia de un evento, ya sea que se establezca una corriente en la batería o que alguna de las celdas alcance una tensión fuera de los valores admisibles. En este estado las salidas corresponden a corriente ON y balanceo OFF.
Mientras la corriente sea de descarga y no se establezcan el flag de subtensión o sobretensión, la máquina permanecerá en el estado DESCARGA. Si la corriente se anula, pasará al estado de reposo, mientras que, si invierte su signo, pasará al estado de carga. Si la máquina se encuentra en el estado DESCARGA y ocurre subtensión o sobretensión se pasará al estado correspondiente. En este estado las salidas corresponden a corriente ON y balanceo OFF.
Mientras la corriente sea de carga y no se establezcan el flag de subtensión o sobretensión, la máquina permanecerá en el estado CARGA. En este estado se aplica el algoritmo de balanceo. Si la corriente se anula, pasará al estado de reposo, mientras que, si invierte su signo, pasará al estado de descarga. En caso de ocurrir subtensión se pasará a dicho estado, priorizando frente a la sobretensión. En el estado CARGA las salidas corresponden a corriente ON y balanceo ON.
Al pasar al estado SUBTENSIÓN se abre inmediatamente el relé y la máquina se mantiene en este estado hasta que se introduzca una señal de reset manualmente. En este estado se incorporó una función para llevar a todas las celdas a un SoC de aproximadamente 0 %, para la realización de los ensayos de selección del algoritmo de balanceo.
Al pasar al estado SOBRETENSIÓN se abre inmediatamente el relé y, como en el caso anterior, la máquina se mantiene en este estado hasta que se introduzca una señal de reset manualmente. En ambos estados las salidas corresponden a corriente OFF y balanceo OFF.
OFF1 y OFF2 son estados de seguridad, no hay alarmas, pero sólo se puede volver al estado de reposo mediante el botón de reset. A los fines de los ensayos, se introdujeron dos etapas para evitar cierres accidentales del relé durante su ejecución, debido al posible rebote mecánico del botón de reset.
Todos los ensayos tienen en común parámetros que son dependientes del tipo de celda y las especificaciones del fabricante, independientes del algoritmo de balanceo. Para las celdas de tecnología NMC utilizadas se fijaron los valores de tensión mínima y máxima admisible en 3000 y 4150 mV, respectivamente, definiendo un margen de seguridad a partir de la recomendación del fabricante que corresponden a 2800 mV y 4200 mV, respectivamente. Se aplicaron corrientes de carga de 0,5 C y corrientes de descarga de 1 C, de acuerdo con los valores máximos recomendados por el fabricante.

Todos los ensayos tienen en común parámetros que son dependientes del tipo de celda y las especificaciones del fabricante, independientes del algoritmo de balanceo. Para las celdas de tecnología NMC utilizadas se fijaron los valores de tensión mínima y máxima admisible en 3000 y 4150 mV, respectivamente, definiendo un margen de seguridad a partir de la recomendación del fabricante que corresponden a 2800 mV y 4200 mV, respectivamente. Se aplicaron corrientes de carga de 0,5 C y corrientes de descarga de 1 C, de acuerdo con los valores máximos recomendados por el fabricante.
Se espera que en una batería para un vehículo eléctrico todos los SoC de las celdas que la componen se igualen antes de su armado. En este sentido, Garaventta y Actis (2018) recomiendan estudiar el comportamiento de las celdas elegidas previo a la integración de la batería, a fin de disminuir los requerimientos del BMS. De esta manera, las diferencias de SoC pueden surgir por diferencias mínimas de autodescarga o resistencia interna (Stroe et al., 2018). En este contexto, la corriente de balanceo debe ser tan solo suficiente para compensar el desbalance que se produce durante el uso de la batería, debido a las diferencias constructivas de las celdas. En este caso se utilizó una corriente de balanceo de 100 mA.
Las celdas NMC utilizadas fueron medidas individualmente por el proveedor. Su tensión nominal se encontró entre 3715 mV y 3798 mV, mientras que su resistencia interna entre 14,5 mΩ y 16 mΩ. Además, poseen las siguientes características: capacidad nominal: 5 Ah @1 C; tensión de carga: 4,2 V; tensión de corte en descarga: 2,75 V; corriente de carga recomendada: 0,5 C; corriente máxima de carga: 1 C; corriente de descarga recomendada: 1 C; corriente máxima de descarga: 3 C; ciclos de vida > 700.
Cada ensayo consiste en una serie de pasos definidos:
Consiste en descargar la batería con una corriente máxima de 1 C hasta que una de las celdas alcance la tensión mínima admisible. La descarga finaliza automáticamente por el software, ya que detecta la subtensión y cambia al estado correspondiente. Para la descarga se utilizó un banco de resistores de potencia de 1 kW con valor óhmico individual de 22 Ω. Colocando dos de ellas en paralelo, se obtuvo una corriente máxima de aproximadamente 1C. Cada descarga se corresponde con la carga alcanzada por el ensayo anterior. De esta forma, la batería se almacena cargada y no se corren riesgos de subdescargas. Para el primer ensayo la batería se cargó previamente.
Dado que no todas las celdas se descargan por completo, se propuso llevarlas a todas a la mínima tensión posible, haciendo uso de las resistencias de balanceo. De este modo, se logra un SoC inicial más cercano al 0 % para todas las celdas al momento de iniciar la carga, garantizando la comparabilidad entre los ensayos. Para los ensayos donde se partió de un desbalance inicial, se cargaron dos celdas individualmente luego de alcanzado el estado de SoC 0 %. Para ello, se aplicó 4,2 V 0,5 C a una celda durante 6 minutos, para alcanzar un SoC de aproximadamente 5 %, y a otra celda durante 12 minutos, para alcanzar un SoC de 10 %.
Se propuso un tiempo de reposo entre 30 y 60 minutos para que se estabilicen los valores de tensión de las celdas.
Consiste en cargar la batería con una corriente máxima de 0,5 C hasta que una de las celdas alcance la tensión máxima admisible. La carga finaliza automáticamente debido al software que detecta la sobretensión y cambia al estado correspondiente. Para la carga se utilizaron dos fuentes de laboratorio en serie para alcanzar el valor de tensión de 58,1 V y se utilizaron sus limitadores de corriente a fin de no superar el valor establecido.
A fin de comparar los resultados se calcularon las siguientes magnitudes:
Corriente media de descarga (Id ) y corriente media de carga (Ic ) en (A), de acuerdo a las Ecuaciones (1) y (2), respectivamente.


Donde: Nd es la cantidad de períodos de bucle principal (sección 2.4) que duró la descarga y Nc es la cantidad de períodos de que duró la carga, respectivamente.
Duración de descarga (Td ) y carga (Tc ) en (h), según las Ecuaciones (3) y (4), respectivamente, donde t en (h) es el período del bucle principal.

Tensión media de descarga (Vd ) y tensión media de carga (Vc ) en (V), de acuerdo a las Ecuaciones (5) y (6), respectivamente y tensión de celda Vcelda (Ecuación 7) representativa de la media de una celda individual durante la descarga.

Capacidad de descarga (Cd ) en (Ah) y (Wh), de acuerdo a las Ecuaciones (8) y (9), respectivamente.

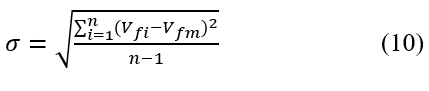
Desviación final en carga (σ) en (mV), expresada mediante la Ecuación (10). Donde 𝑉𝑓𝑖 corresponde a los valores finales de tensión al culminar la carga, 𝑉𝑓m a la media de estos valores y n al número de celdas en serie.

Finalmente, energía disipada por ecualización en carga (E) en (Ah) y (Wh), de acuerdo a las Ecuaciones (11) y (12), respectivamente.

Donde 𝐼𝑏 es la corriente de balanceo, tb el tiempo de duración del balanceo y 𝑁𝑏 es el conteo de todas las señales de balanceo que se realizaron durante la carga.
En la Figura 7 se muestra el sistema montado para realizar tres tipos de ensayos: sin balancear; balanceando, partiendo de celdas balanceadas y balanceando, partiendo de celdas desbalanceadas. El sistema se compone de las siguientes partes principales:
Batería (A)
Host (B)
Placas electrónicas con los circuitos integrados (C)
Resistores de ecualización (D)
Transistores MOSFET de ecualización (E)
LED indicador de ecualización (F)
Relé (G)
Sensor de corriente (H)
Fuente de alimentación (I)

Los resultados obtenidos en los ensayos sin balanceo se detallan en la Tabla 1, donde se observan desviaciones elevadas, por lo que se asume que las celdas se encontraban desbalanceadas.

En la Figura 8 se muestran las gráficas de carga correspondientes a los ensayos de balanceo, partiendo de celdas balanceadas. Se observa que las tensiones se aproximan rápidamente y poseen una desviación muy pequeña a lo largo del ensayo. La curva inferior (en color negro) representa la energía disipada por la ecualización. En el caso del Algoritmo 1 (Figura 8, izquierda) se registra un cambio en la pendiente de la curva de energía cerca de la mitad del ensayo, indicando que se disipa mayor potencia en la zona final de la carga. En el caso del Algoritmo 2 (Figura 8, centro) las pendientes de la curva de energía son más suaves, dando como resultado menor disipación de energía por ecualización. Estas pendientes reducidas se deben al umbral de tensión variable, que reduce la cantidad de celdas ecualizadas cuando las diferencias de tensión son elevadas. Para el caso del Algoritmo 3 (Figura 8, derecha) la curva de energía presenta una zona plana, donde prácticamente no se disipa potencia por ecualización. Esto se debe a que al tener un umbral de +/- 6mV, se reduce significativamente el número de celdas ecualizadas. Luego, sobre el final, se percibe un cambio acentuado de pendiente, indicando una mayor disipación de potencia por ecualización. Las pendientes elevadas sugieren que sobre el final de la carga las diferencias de tensiones de las celdas aumentan lo suficiente como para que alguna celda quede por debajo del umbral, aplicando el criterio de ecualización del algoritmo 1.
En la Tabla 2 se resumen los resultados obtenidos en los ensayos de balanceo, partiendo de celdas balanceadas, comparándose con los obtenidos sin balanceo. La principal diferencia que se encuentra con el caso del ensayo sin balanceo es que las desviaciones alcanzadas por todos los algoritmos son mucho menores. Sin embargo, si se realiza una comparación entre los 3 algoritmos, el tercero no alcanza una desviación tan pequeña como los otros dos.
Por otro lado, la capacidad lograda no difiere demasiado en ningún caso. El valor máximo fue alcanzado por el Algoritmo 2 y el mínimo por el Algoritmo 3. En términos de eficiencia energética, la disipación de energía por ecualización es menor al utilizar los algoritmos 2 y 3.


En la Figura 9 se presentan las curvas de carga obtenidas en los ensayos de balanceo con desbalanceo inicial de celdas. Se observa el desbalanceo inicial impuesto y el estado final más ecualizado que logra el BMS. Para el caso del Algoritmo 1 (Figura 9, izquierda) el perfil de disipación de energía es similar al caso sin desbalanceo, pero con un leve cambio de pendiente en la zona media. En caso del Algoritmo 2 (Figura 9, centro) la curva de energía posee pendientes acentuadas en todo el rango, lo que significa mayor cantidad relativa de energía disipada. Para el caso del Algoritmo 3 (Figura 9, derecha) puede observarse que la curva de energía no posee la zona plana que presentó en el caso sin desbalanceo, sino que se asemeja mucho a la obtenida mediante el Algoritmo 1.

En la Tabla 3 se resumen los resultados obtenidos en los ensayos de balanceo con desbalance inicial de celdas. Puede observarse que la capacidad cae, ya que la batería no logra ecualizarse por completo luego de un ciclo de carga. Con reiterados ciclos de carga balanceando se logra una desviación similar a la obtenida anteriormente y el consecuente incremento de capacidad. El Algoritmo 2 fue el que mayor capacidad logró con un único ciclo de carga balanceando, pero también fue el que más energía disipó por ecualización. A su vez, la mayor capacidad alcanzada coincide con la mínima desviación lograda por el Algoritmo 2.

En la Tabla 4 se muestra un resumen comparativo y cualitativo entre los algoritmos propuestos. Frente a los resultados arrojados en los ensayos puede notarse que el algoritmo 2 es el que mejores características presenta en cuanto a la optimización de la carga de la batería.

Se ha propuesto 3 algoritmos para realizar el balanceo pasivo de celdas NMC que forman parte de una batería de iones de litio empleada en un vehículo eléctrico experimental. Dichos algoritmos fueron ensayados y evaluados como parte del sistema BMS propuesto para una batería configuración 14S1P.
Mediante los ensayos ha sido posible analizar y comparar los algoritmos de balanceo y concluir sobre cuál de ellos resulta más adecuado para su implementación. Se concluye que el algoritmo 2 alcanzó los mejores resultados considerando, capacidad del pack de celdas utilizado, balanceo logrado y energía disipada por ecualización.
Se ha implementado la medición de corriente y el control de corte de la batería para garantizar la protección de las celdas, desconectándolas automáticamente al alcanzar los límites establecidos de tensión.
El software de ensayo permite realizar diferentes pruebas con diferentes tecnologías de celdas con modificaciones sencillas.
*rjdlv@fio.unicen.edu.ar












