ESTUDO PILOTO

Received: 11 February 2022
Accepted: 10 July 2022
Published: 26 September 2022
DOI: https://doi.org/10.25189/2675-4916.2022.v3.n1.id631
Resumo: PARA NÃO ESPECIALISTAS: Neste estudo, investigamos como a fluência em leitura está associada à habilidade de compreender o que se lê. Alunos do 2º ao 4º ano completaram uma tarefa de fluência em leitura e uma tarefa de compreensão de sentenças. Na tarefa de fluência, os alunos leram um texto em voz alta e se observou quantas palavras eles liam em um minuto, bem como a quantidade de erros cometidos. Essa tarefa foi aplicada individualmente. Na tarefa de compreensão, os alunos leram, em voz baixa e sem apoio, uma frase incompleta e escolheram, entre cinco alternativas, qual melhor completava a frase. O teste de compreensão foi composto por 36 frases e foi aplicado em grupo. Observamos que houve uma associação entre fluência em leitura e compreensão de sentenças: alunos com melhor fluência em leitura também compreenderam melhor as frases que leram. Esse resultado sugere que a promoção da fluência em leitura, através da prática extensiva, pode auxiliar no desenvolvimento da compreensão de leitura.
Palavras-chave: Leitura, Fluência em leitura, Compreensão de sentença.
Resumo: Estudos recentes têm apontado a fluência em leitura como um importante preditor da compreensão de leitura. Contudo, poucos estudos investigaram a associação entre essas variáveis no português brasileiro. No presente estudo, abordamos essa lacuna da literatura. Alunos do 2º ao 4º ano completaram um teste de fluência em leitura e um teste de compreensão de sentenças. Os resultados demonstraram que há progresso na fluência em leitura e na compreensão de sentenças dentre o 2º e o 4º ano, com progresso mais acentuado entre o 2º e o 3º ano. Além disso, os resultados mostraram que a associação entre fluência em leitura e compreensão de sentenças foi significativa e positiva em todos os anos escolares, com magnitude acima de . = 0,6. Em conclusão, alunos com melhor fluência em leitura também apresentaram melhor compreensão de sentenças, o que foi consistente nos diferentes anos escolares. Esses resultados corroboram resultados observados anteriormente em outros estudos nacionais e internacionais. É importante notar que os resultados do presente estudo contribuem para a prática ao sugerir que a promoção da fluência em leitura na sala de aula pode contribuir para o desenvolvimento de melhor compreensão de leitura.
Palavras-chave: Leitura, Fluência em leitura, Compreensão de sentença.
Abstract: Recently, studies have found that reading fluency is an important predictor of reading comprehension. However, only a few studies have investigated the association between these factors in Brazilian Portuguese. In the present study, we addressed this literature gap. 2nd to 4th-grade students completed a fluency task and a sentence comprehension task. The results showed progress in fluency and sentence comprehension skills from 2nd to 4th grade, with increased progress from 2nd to 3rd grade. Furthermore, results showed that the association between reading fluency and sentence comprehension was significant and positive in all grades, with magnitude greater than . = 0.6. In conclusion, students with better reading fluency also had better reading comprehension, which was consistent across the different grades. These results corroborate results previously observed in national and international studies. Importantly, the results from the present study contribute to practice, suggesting that promoting reading fluency in the classroom may lead to development of better reading comprehension skills.
Keywords: Reading, Reading fluency, Reading comprehension.
1. Introdução
O principal objetivo da leitura é a compreensão. A compreensão de leitura é um processo complexo, o qual envolve diversas habilidades que incluem, por exemplo, memória e funções executivas, criatividade, vocabulário, consciência fonológica, fonêmica e sintática, conhecimento das letras, do princípio alfabético, da linguagem e do contexto (VERHOEVEN; VAN LEEUWE, 2008; FUCHS et al., 2012). Por muito tempo, a ciência cognitiva defendeu que a compreensão de leitura tem como base dois componentes principais: a decodificação, definida como a habilidade de reconhecer palavras; e a compreensão da linguagem oral (GOUGH; TUNMER, 1986). Contudo, nos últimos 25 anos — em especial após a publicação do NationalReading Panel (US DEPARTMENT OF HEALTH AND HUMAN SERVICES, 2000) — ampliou-se a percepção sobre a compreensão de leitura, e a fluência em leitura tem recebido destaque como um de seus preditores.
A fluência em leitura é tipicamente definida como a habilidade de ler palavras ou textos com automaticidade, acurácia e prosódia (HUDSON et al., 2011). Conforme indicado por Hudson e colaboradores (2011), a automaticidade tem sido investigada como a quantidade de palavras lidas por minuto, enquanto a acurácia se refere a quantas palavras são lidas corretamente. Por fim, a prosódia se refere aos aspectos que moldam a enunciação, como acento, ênfase, entoação e ritmo, marcadores discursivos e aspectos proposicionais e sociais relacionados à língua (BARBOSA, 2012). Estudos desenvolvidos nas últimas décadas do século passado já indicavam a fluência em leitura como uma ponte entre a decodificação e a compreensão. Afinal, de um lado, a fluência está conectada à automaticidade e à acurácia da decodificação e, de outro lado, ela está conectada à prosódia e à expressão interpretativa, as quais se relacionam à compreensão (ver US DEPARTMENT OF HEALTH AND HUMAN SERVICES, 2000; RASINSKI, 2004).
Em geral, a maior parte dos estudos que demonstram associação significativa entre fluência e compreensão de leitura (medida tanto através da leitura de textos quanto da leitura de unidades menores, como sentenças e palavras) utilizaram como base outras línguas, como o inglês (e.g., FUCHS et al., 1988; JOSHI; AARON, 2000; JENKINS et al., 2003; CUTTING; SCARBOROUGH, 2006; KLAUDA; GUTHRIE, 2008) e o italiano (BIGOZZI et al., 2017; FLORIT et al., 2020). Contudo, uma vez que as habilidades de leitura podem depender de características da língua e da cultura (GEORGIOU et al., 2008; MCCLUNG; PEARSON, 2019), torna-se importante a investigação da associação entre fluência e compreensão de leitura no português brasileiro.
2. Associação entre fluência e compreensão de leitura no português brasileiro
Os estudos que investigaram a relação entre fluência em leitura e compreensão no português brasileiro têm encontrado uma associação positiva entre esses fatores. Ou seja, melhor fluência é associada a melhor compreensão. Contudo, uma associação significativa não foi encontrada em alunos de 4º ano e nem quando a fluência foi avaliada somente a partir de medidas de prosódia. Essas inconsistências nos resultados podem ser frutos de escolhas metodológicas, como a seleção das medidas de fluência e compreensão de leitura, e do tamanho amostral.
Em geral, os estudos que avaliaram a associação entre fluência e compreensão de leitura em alunos do 2º ano encontraram correlação positiva entre essas variáveis. Por exemplo, Mousinho e colaboradores (2009) avaliaram precisão, velocidade, prosódia e compreensão de leitura em 45 alunos do 2º ano. A fluência em leitura foi avaliada cronometrando-se a leitura de um texto composto por 196 palavras. A compreensão foi avaliada em seguida, através de quatro perguntas eliciadoras que abrangiam o conteúdo do texto usado na medida de fluência. Os resultados revelaram correlação entre as medidas de fluência (precisão, velocidade e prosódia) e compreensão de leitura, com magnitude moderada (r de Pearson variando entre 0,52 e 0,68), semelhante ao encontrado em outras línguas (e.g., r de Pearson = 0,65 no estudo de Klauda e Guthrie, 2008, com falantes do inglês). Resultados semelhantes foram encontrados em um estudo longitudinal. Cardoso-Martins e Navas (2016) investigaram a fluência em leitura em 65 alunos de 1º ano de uma rede privada de Belo Horizonte (MG). Esses alunos também completaram tarefas de compreensão de leitura (i.e., completar sentenças e completar lacunas em dois textos) um ano mais tarde, quando estavam no 2º ano. Os resultados demonstraram correlação forte (r de Pearson variando entre 0,64 e 0,82) entre fluência e compreensão de leitura. Em suma, os resultados aqui apresentados indicam que fluência e compreensão de leitura são correlacionadas no português brasileiro, em especial nos anos iniciais da alfabetização.
No entanto, estudos realizados com alunos mais velhos mostram resultados inconsistentes. Martins e Capellini (2014; 2019) investigaram a associação entre medidas de fluência e compreensão de leitura de textos em 32 alunos do 3º ano, 28 alunos do 4º ano e 37 alunos do 5º ano, matriculados em escolas públicas de uma cidade do interior de São Paulo. Os resultados indicaram associação não-significativa entre prosódia e compreensão de leitura em todos os anos escolares investigados. Entretanto, a quantidade de palavras lidas corretamente em um minuto foi significativamente correlacionada com a compreensão de leitura (r de Pearson variando entre 0,37 e 0,55) no 3º e no 5º ano, mas não no 4º ano. Esses resultados sugerem que, no português brasileiro, a fluência em leitura (em especial, a quantidade de palavras lidas corretamente em minuto) também se associa com a compreensão de leitura após os anos iniciais de alfabetização, mas a força dessa associação pode variar em função do ano escolar e da medida de fluência utilizada (se prosódia ou velocidade e acurácia). Por outro lado, esses dados podem ser também explicados por variáveis não investigadas por Martins e Capellini (2014; 2019), como diferenças individuais entre os alunos, questões relativas ao histórico escolar da amostra e outros aspectos socioculturais.
3. Presente estudo
Apesar de resultados que indicam uma associação significativa entre fluência e compreensão de leitura no português brasileiro, algumas inconsistências de resultados entre anos escolares e fraquezas metodológicas nos estudos mencionados acima (e.g., estudos quantitativos com tamanho amostral inadequado) fazem com que mais estudos sejam necessários. Em especial, como a maioria dos estudos anteriores teve baixo poder estatístico (e.g., menos de 100 alunos por ano escolar avaliado), ainda é incerto o quanto os resultados prévios podem ter sido enviesados por observações influentes (i.e., outliers).
No presente estudo, de natureza quantitativa, contribuímos com a discussão sobre a associação entre fluência e compreensão de sentenças no português brasileiro. Especificamente, investigamos a associação entre medidas de fluência em leitura e compreensão de sentenças em 504 alunos do 2º ao 4º ano. Os participantes do estudo foram apresentados a um texto com nível de dificuldade correspondente ao seu ano escolar e a quantidade de palavras lidas correta e incorretamente em um minuto foi computada. Por exemplo, investigamos a fluência em leitura de alunos de 2º ano através da leitura de texto com nível de dificuldade correspondente ao 2º ano. Além disso, os participantes completaram uma tarefa de compreensão de sentenças. Testamos a hipótese de que a fluência em leitura e a compreensão de sentenças são significativamente associadas. O objetivo principal deste estudo é contribuir para o conhecimento sobre a associação entre fluência em leitura e compreensão de sentenças no português brasileiro, em diferentes anos escolares.
4. Métodos
4.1. Participantes
Este estudo conduziu uma análise secundária de dados provenientes de uma avaliação diagnóstica realizada pelo IDados em parceria com uma rede municipal de ensino3. Os dados primários foram coletados como parte do monitoramento pedagógico da rede. A amostra de alunos selecionada para o teste de fluência foi uma amostra aleatória estratificada por desempenho na Prova Brasil e ano escolar. No planejamento da amostra, as escolas urbanas do município parceiro foram ordenadas e agrupadas em 10 conjuntos de acordo com seu desempenho na Prova Brasil 2019 (anos iniciais). Uma escola de cada conjunto foi sorteada para compor a amostra. Foi planejado que ao menos 10 alunos de duas turmas diferentes de cada ano escolar (2º, 3º e 4º anos) e de cada escola sorteada fossem escolhidos aleatoriamente para realizar os testes. Assim, a amostra planejada teria 600 alunos do 2º ao 4º ano, sendo cerca de 200 por ano escolar. Análises de poder da amostra indicam que uma diferença mínima entre séries de 0,3 desvio-padrão em palavras lidas por minuto seria identificada com 5% de significância e 80% de poder. No entanto, como o teste de compreensão de sentenças ocorreu em dia diferente do teste de fluência em leitura, parte dos alunos da amostra não fez o teste de compreensão. Assim, dos 600 alunos planejados para o teste de fluência, apenas 512 fizeram também o teste de compreensão.
Compuseram a amostra inicial do presente estudo os 512 alunos (147 alunos do 2º ano, 162 alunos do 3º ano e 203 alunos do 4º ano) que completaram tanto o teste de fluência quanto o teste de compreensão de sentenças. Dois alunos do 3º ano e seis alunos do 4º ano não foram apresentados a textos de dificuldade correspondente ao seu ano escolar no teste de fluência em leitura (ou seja, leram textos de dificuldade correspondente a outros anos escolares). Por isso, foram excluídos das análises. A amostra final foi composta por 504 alunos (147 alunos do 2º ano, 160 alunos do 3º ano e 197 alunos do 4º ano).
4.2. Instrumentos
Os instrumentos utilizados estão descritos abaixo.
“Fluência em Leitura”. Como medida de fluência em leitura, os alunos completaram o “Teste de Fluência de Leitura”, o qual foi desenvolvido pelo Instituto Alfa e Beto. Nesse teste, o aluno é instruído a ler em voz alta uma série de textos. O aluno inicia o teste lendo um texto com nível de dificuldade correspondente a seu ano escolar (2º ano: “João vai à cidade”, 3º ano: “Som, luz e seus efeitos especiais” e 4º ano: “As deliciosas misturas de Toni”), com um tempo limite de um minuto. Espera-se que um aluno de 2º ano leia pelo menos 80 palavras por minuto, um aluno de 3º ano leia pelo menos 100 palavras por minuto e um aluno de 4º ano leia pelo menos 120 palavras por minuto em textos narrativos (HASBROUK; TINDAL, 2017; OLIVEIRA, 2021). Se os participantes não leem a quantidade mínima de palavras por minuto esperadas para seu ano escolar ou leem a quantidade esperada com mais de 5% de erros, eles são apresentados a um texto de nível de dificuldade inferior. Por outro lado, se os participantes leem a quantidade de palavras por minuto esperadas para seu ano escolar com até 5% de erros, eles são apresentados a um texto com nível de dificuldade superior. Neste estudo, analisamos somente o desempenho dos alunos no texto com dificuldade correspondente ao seu ano escolar (e.g., analisamos o desempenho dos alunos do 2º ano no texto desenvolvido para alunos de 2º ano). Para cada texto lido, os aplicadores obtiveram três indicadores: total de palavras lidas por minuto (PPM), palavras lidas corretamente e palavras lidas incorretamente.
Os textos utilizados no “Teste de Fluência de Leitura” foram retirados da Coleção Leituras para o Ensino Fundamental I, desenvolvidos pelo Instituto Alfa e Beto. No desenvolvimento dessa coleção, o primeiro passo consistiu em identificar um corpus das palavras mais usadas em 26 livros “clássicos” de literatura infantil, como “Pinóquio”, “Peter Pan” e “Alice no País das Maravilhas”. As palavras identificadas foram ordenadas pela sua frequência de aparecimento nos “clássicos”. A partir dessa frequência, foram estabelecidas as palavras a serem usadas em cada nível de dificuldade dos textos (compatíveis com o esperado do 1º a 5º ano). Por exemplo, o texto com nível de dificuldade de 1º ano usou até a 100ª palavra mais usada no corpus identificado. Por outro lado, o texto com nível de dificuldade de 2º ano usou até a 500ª palavra. Os textos desenvolvidos incluíram apenas 10% de palavras não identificadas no corpus.
Além da limitação do vocabulário conforme a frequência identificada no corpus, os textos com nível de dificuldade de 2º a 4º ano (analisados neste estudo) seguiram a seguinte orientação: (a) Nível de dificuldade compatível com 2º ano: frases coordenadas com estruturas frasais repetidas; (b) Nível de dificuldade compatível com 3º ano: frases subordinadas; e (c) Nível de dificuldade compatível com 4º ano: sem restrições. Em geral, o nível de dificuldade dos textos foi pensado de acordo com o conceito de reading grade-level – difundidos por autores como Fountas e Pinnell (2016). Um estudo piloto feito pelo Instituto Alfa e Beto indicou que alunos de anos escolares mais avançados tinham mais facilidade de ler textos desenvolvidos para seus anos escolares do que alunos de anos menos avançados.
“Compreensão de Sentenças”. Como medida de compreensão de sentenças, os alunos completaram o “Teste de Leitura - Compreensão de Sentenças” (“TELCS”; VILHENA et al., 2016; VILHENA; PINHEIRO, 2020). No “TELCS”, os alunos são apresentados a 36 frases incompletas e devem escolher, dentre cinco alternativas apresentadas para cada item, qual melhor completa as frases. As frases têm tamanho variado (entre 8 e 20 palavras) e a palavra omitida é sempre a última da frase. As alternativas apresentadas têm semelhanças visuais (e.g., número de letras), fonológicas (e.g., número de rimas), ou semânticas (e.g., indicam a mesma classe semântica - por exemplo, indicam profissão). Os participantes têm um tempo limite de 5 minutos para completar o teste, por meio de leitura silenciosa e sem assistência. Antes de iniciar o teste, os participantes completam quatro itens de treino, os quais são respondidos em voz alta, sem tempo limite, e recebem feedback oral do avaliador. Um ponto é dado para cada item do teste completado corretamente (pontuação máxima = 36). O teste avalia a leitura através da compreensão de sentenças, uma vez que os participantes precisam compreender a sentença lida para completá-la corretamente.
4.3. Procedimentos
Este estudo fez uma análise secundária de dados coletados pelo IDados em parceria com uma rede municipal de ensino de uma cidade mineira de grande porte. Como parte das atividades escolares da rede, os alunos completaram uma avaliação diagnóstica em novembro de 2021. Os alunos completaram o “TELCS” em grupo, na sala de aula, e o “Teste de Fluência de Leitura” individualmente, em uma sala reservada na escola. A aplicação de ambos os testes foi conduzida por uma equipe treinada, a qual seguiu um roteiro para uniformizar a aplicação. Os alunos completaram os diferentes testes na mesma semana, em dias e horários alternados. A análise de dados foi realizada no software R, usando-se os pacotes dplyr, psych e ggplot2. Os alunos participantes foram tratados de acordo com o Código de Ética da Associação Médica Mundial, da Declarationof Helsinki de 1964 (WORLD MEDICAL ORGANIZATION, 2001). Alunos que não concordaram, oralmente, com sua participação, não completaram a avaliação. Devido à pandemia da COVID-19, os alunos avaliados passaram a maior parte de 2020 e 2021 em modalidade de ensino remoto. As aulas presenciais na rede retomaram no segundo semestre de 2021. Não obtivemos dados do histórico da prática de leitura no cotidiano das escolas participantes, e outras variáveis que caracterizam os alunos ou as escolas não foram avaliadas.
5. Resultados
Primeiramente, descrevemos o desempenho dos alunos em fluência em leitura e compreensão de sentenças. Por fim, mostramos a associação entre essas variáveis.
5.1. Fluência em leitura
A Tabela 1 apresenta a quantidade de palavras lidas por minuto (PPM), palavras lidas corretamente e palavras lidas incorretamente pelos alunos no texto de nível de dificuldade correspondente aos seus respectivos anos escolares. Ou seja, mostramos o desempenho dos alunos do 2º ano em um texto de dificuldade adequada para o 2º ano; dos alunos do 3º ano em um texto de dificuldade adequada para o 3º ano; e dos alunos do 4º ano em um texto de dificuldade adequada para o 4º ano. Como os alunos de anos diferentes leram textos diferentes, fizemos uma ANOVA de natureza exploratória, com PPM como variável dependente e ano escolar como variável independente. Os resultados sugerem efeito principal de ano escolar, . (2,501) = 45,13, .<0,001. Análises post-hoc de Tukey HSD indicaram que alunos do 4º ano leram mais palavras por minuto do que alunos do 2º ano (.<0,001) e do 3º ano (.<0,05), e que os alunos do 3º leram mais palavras por minuto que alunos do 2º ano (.<0,001).
Também conduzimos uma ANOVA exploratória com a quantidade de palavras lidas corretamente em um minuto como variável dependente e ano escolar como variável independente. Os dados sugerem efeito principal de ano escolar, . (2,501) = 46,06, .<0,001. Análises post-hoc de Tukey HSD indicaram que alunos do 4º ano leram mais palavras corretamente em um minuto do que alunos do 2º ano (.<0,001) e do 3º ano (.<0,05), e que os alunos do 3º leram mais palavras corretamente em um minuto do que alunos do 2º ano (.<0,001). Em média, alunos do 3º ano leram corretamente cerca de 25 palavras a mais que alunos do 2º ano e cerca de 10 palavras a menos que alunos do 4º ano.
Por fim, conduzimos uma ANOVA exploratória com a quantidade de palavras lidas incorretamente em um minuto como variável dependente e ano escolar como variável independente. Os resultados sugerem que o efeito principal de ano escolar não é significativo, . (2, 501) = 0,08, . = 0,93.

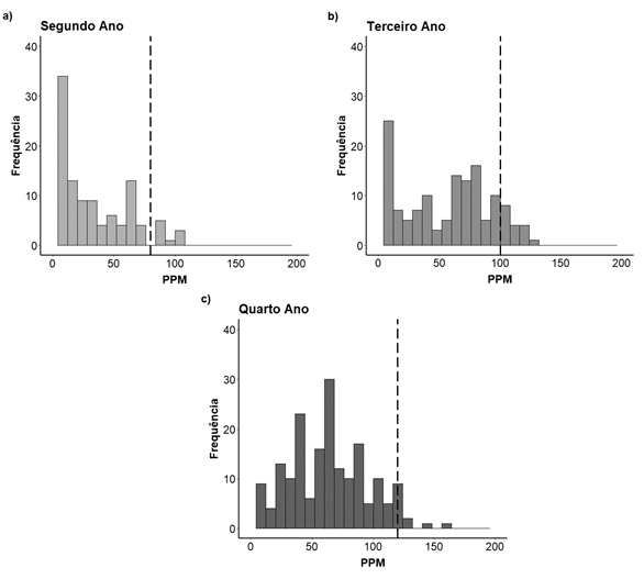
Apesar do aumento de PPM e palavras lidas corretamente à medida em que o ano escolar aumenta, os resultados sugerem que a maioria dos alunos avaliados apresentam fluência em leitura abaixo do esperado para seu ano escolar. O mínimo de PPM com menos de 5% de erros esperado para cada ano escolar foi estabelecido por normas do Instituto Alfa e Beto, publicadas em e-book (OLIVEIRA, 2021). Conforme ilustrado na Figura 1, somente 3% de alunos do 2º ano, 8% de alunos do 3º ano e 4% de alunos do 4º ano apresentaram nível de fluência em leitura esperado para seu ano escolar. Em especial, uma grande parte de alunos de 2º e 3º anos não conseguiram ler ao menos 5 palavras no tempo limite de um minuto.

5.2. Compreensão de sentenças
Os dados referentes ao “TELCS” são apresentados na Tabela 2. Uma ANOVA com pontuação no teste como variável dependente e ano escolar como variável independente indicou aumento significativo na pontuação do teste entre os anos escolares, . (2, 501) = 84,59, .<0,001. Análises post-hoc de Tukey HSD indicaram que alunos do 4º ano acertaram mais itens do que os alunos do 2º ano (.<0,001) e do 3º ano (.<0,001), e que alunos do 3º ano acertaram mais itens do que alunos do 2º ano (.<0,001).

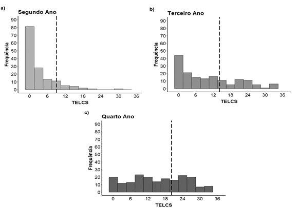
Embora a pontuação no “TELCS” tenha tendência a aumentar com o progresso dos anos escolares, a maioria dos alunos avaliados apresentou desempenho inferior à média esperada para seu ano escolar, de acordo com normas do teste (VILHENA; PINHEIRO, 2020). Os resultados são ilustrados na Figura 2. Somente 14% dos alunos do 2º ano, 29% dos alunos do 3º ano e 37% dos alunos do 4º ano apresentaram pontuação igual ou acima da média correspondente a seu ano escolar. Em especial, a pontuação mais frequente entre os alunos do 2º ano foi igual a zero.

5.3. Correlação entre fluência em leitura e compreensão de sentenças
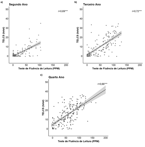
Investigamos a associação entre o desempenho dos alunos em fluência em leitura e compreensão de sentenças através de correlações de Pearson. Conforme demonstrado na Figura 3, as correlações entre PPM no “Teste de Fluência de Leitura” e a pontuação no “TELCS” foram fortes em todos os anos escolares investigados (todas acima de . = 0,66, .<0,001). Ou seja, os alunos que leram mais PPM também apresentaram maior pontuação no “TELCS”.
Para confirmar que esses resultados não foram enviesados por casos influentes, excluímos as observações com . Após a exclusão de casos influentes, restaram 133 casos no 2º ano, 147 casos no 3º ano e 192 casos no 4º ano. As correlações entre PPM e a pontuação no “TELCS” continuaram significativas e fortes: . = 0,82, .<0,001 no 2º ano, . = 0,82, .<0,001 no 3º ano e . = 0,72, .<0,001, no 4º ano. Ou seja, não há evidência de que os resultados observados são frutos de casos influentes.

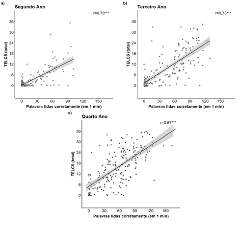
As correlações entre a quantidade de palavras lidas corretamente em um minuto no “Teste de Fluência de Leitura” e a pontuação no “TELCS” também foram fortes em todos os anos escolares investigados (todas acima de . = 0,67, .<0,001). Conforme ilustrado na Figura 4, os alunos que leram mais palavras corretamente dentro de um minuto também apresentaram maior pontuação no “TELCS”.
Para confirmar que esses resultados não foram enviesados por casos influentes, excluímos as observações com . Após a exclusão de casos influentes, restaram 134 casos no 2º ano, 147 casos no 3º ano e 192 casos no 4º ano. As correlações entre a quantidade de palavras lidas corretamente em um minuto no “Teste de Fluência de Leitura” e a pontuação no “TELCS” continuaram significativas e fortes: . = 0,82, .<0,001 no 2º ano, . = 0,82, .<0,001 no 3º ano e . = 0,73, .<0,001, no 4º ano. Ou seja, não há evidência de que os resultados observados são frutos de casos influentes.

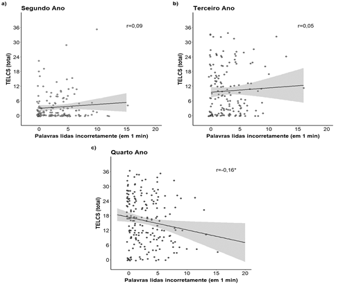
Todavia, as correlações entre a quantidade de palavras lidas incorretamente em um minuto no “Teste de Fluência de Leitura” e a pontuação no “TELCS” foram fracas, conforme ilustrado na Figura 5. A correlação entre essas variáveis não foi significativa no 2º ano (. = 0,09, . = 0,31) nem no 3º ano (. = 0,05, . = 0,51). No 4º ano, os alunos que leram maior quantidade de palavras incorretamente dentro de um minuto tiveram menor pontuação no “TELCS”. Contudo, essa correlação foi fraca (. = -0,16, . < 0,05).
Para confirmar que esses resultados não foram enviesados por casos influentes, excluímos as observações com . Após a exclusão de casos influentes, restaram 138 casos no 2º ano, 154 casos no 3º ano e 192 casos no 4º ano. As correlações entre a quantidade de palavras lidas incorretamente em um minuto no “Teste de Fluência de Leitura” e a pontuação no “TELCS” continuaram não significativas ou fracas.

Em geral, os resultados das análises de correlação sugerem que a quantidade de PPM e a quantidade de palavras lidas corretamente em um minuto são melhores preditores de compreensão de sentenças do que a quantidade de palavras lidas incorretamente.
6. Discussão
Neste estudo, investigamos a associação entre fluência em leitura e compreensão de sentenças em alunos do 2º, 3º e 4º anos, falantes do português brasileiro, com uma amostra maior e mais robusta do que estudos quantitativos previamente conduzidos no Brasil. Os resultados indicaram que os alunos de anos escolares mais avançados apresentaram melhor desempenho em fluência e compreensão do que os alunos de anos escolares mais baixos, o que indica boa calibração dos instrumentos utilizados e progresso adequado com aumento de escolaridade. Contudo, em todos os anos avaliados, os alunos apresentaram desempenho aquém do esperado para seu ano escolar, segundo normas de ambas as medidas. Por fim, os resultados indicaram que alunos com melhor fluência em leitura — medida como PPM e quantidade de palavras lidas corretamente em um minuto — também apresentaram melhor compreensão de sentenças. Essa associação foi consistente e de magnitude forte (todos r de Pearson acima de 0,66) em todos os anos escolares. Análises de distância de Cooks indicaram que as correlações observadas não foram consequentes de casos influentes.
6.1. Diferenças transversais de desempenho
Os resultados transversais indicaram aumento dos escores de fluência em leitura e compreensão de sentenças com o avanço dos anos escolares. Esses dados são consistentes com desenvolvimento e aumento da escolaridade, e corroboram dados transversais analisados em falantes do português brasileiro. Por exemplo, em um estudo prévio, Martins e Capellini (2019) mostraram que alunos do 4º ano liam corretamente uma média de dez palavras por minuto a mais do que anos do 3º ano (i.e., aumento de 67,09 para 77,96 palavras lidas corretamente em um minuto), o que foi consistente com o progresso encontrado no presente estudo.
Apesar de os resultados encontrados neste estudo serem consistentes com avanços do desenvolvimento e escolaridade, os alunos avaliados apresentaram desempenho aquém do esperado para seu ano escolar segundo normas dos testes usados. Como os alunos foram avaliados em 2021, quando a maior parte do ano letivo ocorreu de forma remota devido à pandemia da COVID-19, esses resultados podem refletir experiências educacionais insatisfatórias. Em geral, estudos têm demonstrado que alunos do ensino básico fizeram pouco progresso escolar ou tiveram perdas acadêmicas durante o fechamento das escolas pela COVID-19 (ENGZELL et al., 2021; MALDONADO; WITTE, 2022; para uma revisão, ver DONNELLY; PATRINOS, 2021). Para melhor compreensão dos impactos da pandemia no desempenho escolar de alunos brasileiros, estudos longitudinais fazem-se necessários. Além disso, o desempenho dos alunos pode ter sido também influenciado por suas características cognitivas, emocionais e socioculturais, as quais não foram avaliadas neste estudo e devem ser alvo de investigações futuras.
6.2. Associação entre fluência e compreensão de leitura
Através de metodologia transversal, o presente estudo demonstrou que alunos do 2º ao 4º ano escolar que leem mais palavras em um minuto, com maior acurácia, também apresentam melhor compreensão de sentenças — mesmo quando casos influentes são excluídos. Ou seja, alunos com maior fluência em leitura também compreendem melhor as sentenças lidas. Esses resultados são consistentes com a literatura nacional e internacional (e.g., FUCHS et al., 1988; JENKINS et al., 2003; CUTTING; SCARBOROUGH, 2006; MARTINS; CAPELLINI, 2019). Dada a forte associação entre fluência e compreensão de sentenças mostrada neste e em estudos prévios, a fluência — muitas vezes ignorada na sala de aula — deve ser um dos focos do currículo de alfabetização. Afinal, a fluência atua como uma ponte entre a decodificação e a compreensão de leitura (RASINSKI, 2004), e os alunos com maior fluência reduzem a sobrecarga cognitiva durante a leitura, o que libera recursos executivos destinados à compreensão (LABERGE; SAMUELS, 1974; KLAUDA; GUTHRIE, 2008).
É importante mencionar, contudo, que a fluência em leitura é desenvolvida através da prática extensiva de leitura, em especial da leitura de textos decodificáveis (LABERGE; SAMUELS, 1974). Ou seja, textos cujos fonemas e grafemas os alunos já dominam. Assim, atividades focadas no desenvolvimento da fluência em leitura devem complementar — e não substituir — outros focos da sala de aula, como o domínio do princípio alfabético e da decodificação e o reconhecimento/conscientização da sintaxe da língua materna.
6.3. Limitações e conclusões
O presente estudo demonstrou que fluência em leitura é associada à compreensão de sentenças em falantes do português brasileiro. Contudo, ele apresenta limitações importantes. Por se tratar de um estudo com metodologia de análise secundária de dados, com abordagem quantitativa, alguns aspectos cognitivos, emocionais e socioculturais dos participantes não foram levados em consideração. Tais aspectos podem mediar ou moderar a associação entre fluência e compreensão de sentenças, o que deve ser foco de estudos futuros. Além disso, é importante mencionar que o presente estudo operacionalizou compreensão de leitura através de um teste de compreensão de sentenças, e que é necessário investigar se os resultados aqui encontrados são generalizados para outras tarefas de compreensão (e.g., perguntas de interpretação literal e inferências implícitas e explícitas), inclusive quando a compreensão de leitura é medida através do mesmo teste que mede a fluência em leitura. Por fim, este estudo teve natureza correlacional, e a associação entre fluência e compreensão de leitura deve ser também investigada longitudinalmente por futuros estudos, para se poder traçar princípios causais entre essas variáveis. O principal diferencial deste estudo, em relação a estudos anteriores, foi o tamanho amostral robusto e a demonstração de que a associação entre fluência em leitura e compreensão de sentenças não foi explicada por casos influentes.
Informações Complementares
Conflito de Interesse
O(s) autor(es) não tem/têm conflitos de interesse a declarar.
Declaração de Disponibilidade de Dados
O compartilhamento de dados não é aplicável a este artigo, pois nenhum dado novo foi criado ou analisado neste estudo. O estudo realizou uma análise dados secundária. Os dados foram coletados em iniciativa junto à SME de uma cidade mineira de grande porte.
AVALIAÇÃO
DOI: https://doi.org/0.25189/2675-4916.2022.V3.N1.ID631.R
Rodadas de Avaliação
AVALIADOR 1: Wagner Rodrigues Silva
ORCID: https://orcid.org/0000-0002-3994-1225
FILIAÇÃO: Universidade Federal do Tocantins, Tocantins, Brasil.
AVALIADOR 2: Leonor Scliar-Cabral
ORCID: https://orcid.org/0000-0003-3163-5482
FILIAÇÃO: Universidade Federal de Santa Catarina, Santa Catarina, Brasil.
RODADA 1
AVALIADOR 1
2022-02-24 | 09:55
O artigo submetido está bem escrito e traz uma relevante fundamentação teórica circunscrita ao modelo/tipo de pesquisa realizado: experimento sobre tarefa de leitura, analisado a partir de uma abordagem analítica quantitativa. Destaca-se, porém, que a avaliação do artigo também foi realizada da perspectiva de recentes estudos linguísticos sobre textos e gêneros textuais, considerando inclusive relevantes trabalhos científicos sobre letramentos/alfabetização, sendo esses últimos desenvolvidos especialmente na Linguística Aplicada. Nesse sentido, vários questionamentos emergiram a partir desta avaliação especializada do artigo. São perguntas que ficaram sem respostas e seria pertinente esclarecê-las, garantindo-se um convencimento mínimo da diversidade de leitores que poderá acessar o trabalho publicado. Os ajustes também se justificam em função do perfil do periódico Cadernos de Linguística, o que requer uma interlocução sustentável com teorias linguísticas.
Considerando as inserções realizadas no corpo do artigo, compreende-se não se fazer necessário um maior detalhamento neste parecer. Dado o exposto, recomenda-se que os autores façam ajustes significativos no artigo para evitar que inúmeras perguntas fiquem sem respostas para os futuros leitores.
AVALIADOR 2
2022-03-18 | 02:31
Recomendação: Correções obrigatórias
RODADA 2
AVALIADOR 1
2022-05-28 | 02:38
Reconheço a forma respeitosa e profissional como o autor e a autora do artigo responderam as observações registradas na primeira avaliação do trabalho submetido. O texto ganhou mais consistência após os ajustes realizados.
Neste segundo momento, registro aqui duas principais observações sobre a versão ajustada: (1) rever o duplo uso da terminologia “compreensão de leitura” e “compreensão de sentença” (considerar inclusive o título do artigo). Recomendo que apenas o segundo termo seja utilizado ao fazer referência à pesquisa realizada pelo/a autor/autora, assim não restará dúvidas aos leitores sobre o teste de compreensão realizado com os alunos; (2) a relação direta estabelecida entre o desempenho dos alunos na fluência em leitura e a compreensão de sentença seria mais convincente se as duas avaliações fossem realizadas simultaneamente (aí seria a compreensão efetiva de textos). Talvez seja importante o autor e a autora se posicionarem explicitamente no artigo sobre essa segunda observação (testes simultâneos).
Ao longo do artigo, há outras observações registradas. Gostaria que os editores da revista se posicionassem sobre o esclarecimento apresentado pelo autor e autora sobre a não submissão do projeto ao Comitê de Ética em Pesquisa (CEP). Particularmente, compreendo que seria necessário ter o respaldo do CEP, mesmo sem identificação explícita das instituições e alunos participantes, mas os editores podem ponderar essa questão.
AVALIADOR 2
2022-05-29 | 12:40
Os autores do artigo "A relação entre fluência e compreensão de leitura: evidências para falantes do português-brasileiro.", Drs. João Batista Araujo e Oliveira e Isabella Starling-Alves acataram todas as sugestões, seja complementando o texto com as informações solicitadas, seja corrigindo as referências de acordo com a ABNT e, quando não puderam atendê-las, consignaram o fato, atribuindo-o a limitações da pesquisa a serem eliminadas em próximos trabalhos.
RODADA 3
AVALIADOR 1
2022-07-06 | 07:35
As recomendações pontuadas em pareceres anteriores foram consideradas pela autora e pelo autor, nas versões ajustadas/reformuladas do artigo. Dado o exposto, este parecer é favorável à publicação da última versão apresentada do artigo.
RESPOSTA DOS AUTORES
DOI: https://doi.org/0.25189/2675-4916.2022.V3.N1.ID631.A
RODADA 1
2022-05-10
Prezada equipe do “Cadernos de Linguística”,
Agradecemos a oportunidade de revisar e ressubmeter o nosso artigo “A relação entre fluência e compreensão de leitura – Evidências para falantes do português brasileiro.”
Ficamos muito felizes e gratos pelas contribuições feitas pelos revisores. Suas críticas construtivas, dúvidas e sugestões promoveram melhorias significativas no nosso estudo.
Revisamos o artigo cuidadosamente, segundo orientações dos revisores. Além de incluir as sugestões dos revisores, também fizemos uma revisão geral do texto e adaptamos as citações e referências para as normas da ABNT.
Estamos certos de que o nosso artigo melhorou consideravelmente graças às contribuições da revista e dos revisores. Esperamos que sua visão revisada esteja dentro dos padrões de qualidade típicos da revista “Cadernos de Linguística”.
Em anexo, incluímos respostas para cada um dos comentários dos revisores. As respostas, junto aos novos trechos do artigo, estão apresentadas em fonte vermelha.
Atenciosamente,
Dr. João Batista Araujo e Oliveira
jmeduc@gmail.com
Dra. Isabella Starling-Alves
isabella@alfaebeto.org.br
Referências:
BARBOSA, Plínio A. Conhecendo melhor a prosódia: aspectos teóricos e metodológicos daquilo que molda nossa enunciação. Revista de Estudos da Linguagem, v. 20, n. 1, p. 11-27, jun. 2012. ISSN 2237-2083. doi: http://dx.doi.org/10.17851/2237-2083.20.1.11-27. Acesso em: 09 maio 2022
BIGOZZI, Lucia et al. Reading fluency as a predictor of school outcomes across grades 4–9. Frontiers in Psychology, v. 8, n. 200, fev. 2017. doi: https://doi.org/10.3389/fpsyg.2017.00200. Acesso em: 09 maio 2022
CARDOSO-MARTINS, Cláudia.; NAVAS, Ana Luiza. O papel da fluência de leitura de palavras no desenvolvimento da compreensão da leitura: um estudo longitudinal. Educar em Revista, v. 62, p. 17-32, out./dez. 2016. doi: https://doi.org/10.1590/0104-4060.48307. Acesso em: 09 maio 2022
CUTTING, Laurie E.; SCARBOROUGH, Hollis S. Prediction of reading comprehension: Relative contributions of word recognition, language proficiency, and other cognitive skills can depend on how comprehension is measured. Scientific Studies of Reading, v. 10, n. 3, p. 277-299, jul. 2006. doi: https://doi.org/10.1207/s1532799xssr1003_5. Acesso em: 09 maio 2022
DONNELLY, Robin; PATRINOS, Harry Anthony. Learning loss during COVID-19: An early systematic review. Prospects, p. 1-9, nov. 2021. doi: https://doi.org/10.1007/s11125-021-09582-6. Acesso em: 09 maio 2022
ENGZELL, Per et al. Learning loss due to school closures during the COVID-19 pandemic. Proceedings of the National Academy of Sciences, v. 118, n. 17, p. e2022376118, abr. 2021. doi: https://doi.org/10.1073/pnas.2022376118. Acesso em: 09 maio 2022
FLORIT, Elena et al. The simple view of reading in Italian beginner readers: converging evidence and open debates on the role of the main components. Learning and Individual Differences, v.93, p. 101961, jan. 2022. doi: https://doi.org/10.1016/j.lindif.2020.101961. Acesso em: 09 maio 2022
FOUNTAS, Irene; PINNELL, Gay Su. The Fountas & Pinnell literacy continuum, expanded edition: A tool for assessment, planning, and teaching, prek-8. Expanded ed. Portsmouth: Heinemann, 2016.
FUCHS, Douglas et al. First-grade cognitive abilities as long-term predictors of reading comprehension and disability status. Journal of Learning Disabilities, v. 45, n. 3, pp. 217-231, maio/jun. 2012. doi: https://doi.org/10.1177/0022219412442154. Acesso em: 09 maio 2022
FUCHS, Lynn S. et al. The validity of informal reading comprehension measures. Remedial and Special Education, v. 9, n. 2, p. 20-28, mar. 1988. doi: https://doi.org/10.1177/074193258800900206. Acesso em: 09 maio 2022
GEORGIOU, George. K. et al. Predictors of word decoding and reading fluency across languages varying in orthographic consistency. Journal of Educational Psychology, v. 100, n. 3, p. 566-580, ago. 2008. doi: https://doi.org/10.1037/0022-0663.100.3.566. Acesso em: 09 maio 2022
GOUGH, Phillip. B.; TUNMER, William E. Decoding, reading, and reading disability. Remedial and Special Education, v. 7, n.1, p. 6-10, jan. 1986. doi: https://doi.org/10.1177/074193258600700104. Acesso em: 09 maio 2022
HASBROUCK, Jan; TINDAL, Gerald. An Update to Compiled ORF Norms. 1. ed. Oregon: Behavioral Research and Teaching, 2017. Disponível em:
HUDSON, Roxanne. F. et al. An examination of a small‐group decoding intervention for struggling readers: Comparing accuracy and automaticity criteria. Learning Disabilities Research & Practice, v. 26, n. 1, p. 15-27, fev. 2011. doi: https://doi.org/10.1111/j.1540-5826.2010.00321.x. Acesso em: 09 maio 2022
JENKINS, Joseph. R. et al. Sources of individual differences in reading comprehension and reading fluency. Journal of Educational Psychology, v. 95, n. 4, p. 719-729, dez. 2003. doi: https://doi.org/10.1037/0022-0663.95.4.719. Acesso em: 09 maio 2022
JOSHI, R. Malatesha.; AARON, P. G. The component model of reading: Simple view of reading made a little more complex. Reading Psychology, v. 21, n. 2, p. 85-97, abr. 2000. doi: https://doi.org/10.1080/02702710050084428. Acesso em: 09 maio 2022
KLAUDA, Susan Lutz; GUTHRIE, John. Relationships of three components of reading fluency to reading comprehension. Journal of Educational Psychology, v. 100, n. 2, p. 310-321, maio 2008. doi: https://doi.org/10.1037/0022-0663.100.2.310. Acesso em: 09 maio 2022
LABERGE, David; SAMUELS, S. Jay. Toward a theory of automatic information processing in reading. Cognitive Psychology, v. 6, n. 2, p. 293-323, abr. 1974. doi: https://doi.org/10.1016/0010-0285(74)90015-2. Acesso em: 09 maio 2022
MALDONADO, Joana Elisa; WITTE, Kristof. The effect of school closures on standardised student test outcomes. British Educational Research Journal, v. 48, n. 1, p. 49-94, fev. 2022. doi: https://doi.org/10.1002/berj.3754. Acesso em: 09 maio 2022
MARTINS, Maíra Anelli; CAPELLINI, Simone Aparecida. Fluência e compreensão da leitura em escolares do 3º ao 5º ano do ensino fundamental. Estudos de Psicologia (Campinas), v. 31, n.4, p. 499-506, dez. 2014. doi: https://doi.org/10.1590/0103-166X2014000400004. Acesso em: 09 maio 2022
MARTINS, Maíra Anelli; CAPELLINI, Simone Aparecida. Relação entre fluência de leitura oral e compreensão de leitura. CoDAS, v. 31, n.1, p. e20170244, fev. 2019. doi: https://doi.org/10.1590/2317-1782/20182018244. Acesso em: 09 maio 2022
MCCLUNG, Nicola A.; PEARSON, P. David. Reading comprehension across languages: Seven European orthographies and two international literacy assessments. Written Language & Literacy, v. 22, n. 1, p. 33-66, ago. 2019. doi: https://doi.org/10.1075/wll.00019.mcc. Acesso em: 09 maio 2022
MOUSINHO, Renata et al. Compreensão, velocidade, fluência e precisão de leitura no segundo ano do Ensino Fundamental. Revista Psicopedagogia, v. 26, n. 79, p. 48-54, mar. 2009.
US Department of Health and Human Services. Report of the National Reading Panel: Teaching children to read: An evidence-based assessment of the scientific research literature on reading and its implications for reading instruction: Reports of the subgroups. 1. ed. DC: Public Health Service, National Institutes of Health, National Institute of Child Health and Human Development, 2000.
OLIVEIRA, João Batista Araujo. Fluência de Leitura. 1. ed. Brasília: Instituto Alfa e Beto, 2021. Disponível em: <https://d335luupugsy2.cloudfront.net/cms%2Ffiles%2F324700%2F1640743468E-book_Fluencia_de_Leitura_20_12_21_V3.pdf?utm_campaign=par_02_email_agradecimento_download_e-book_fluencia_de_leitura&utm_medium=email&utm_source=RD+ Station>. Acesso em: 09 maio 2022
RASINSKI, Timothy. Creating fluent readers. Educational Leadership, v. 61, n. 6, 46-51, mar. 2004.
VERHOEVEN, Ludo; VAN LEEUWE, Jan. Prediction of the development of reading comprehension: a longitudinal study. Applied Cognitive Psychology, v. 22, n. 3, p. 407-423, mar. 2008. https://doi.org/10.1002/acp.1414. Acesso em: 09 maio 2022
VILHENA, Douglas de Araújo; PINHEIRO, Ângela Maria Vieira. Fidedignidade, validade e normatização do Teste de leitura: compreensão de sentenças. Psicologia: Teoria e Pesquisa, v. 36, p. e36325, abr. 2020. https://doi.org/10.1590/0102.3772e36325. Acesso em: 09 maio 2022
VILHENA, Douglas de Araújo et al. Reading test—sentence comprehension: An adapted version of Lobrot's lecture 3 test for Brazilian Portuguese. Dyslexia, v. 22, n. 1, p. 47-63, fev. 2016. doi: https://doi.org/10.1002/dys.1521. Acesso em: 09 maio 2022
WORLD MEDICAL ORGANIZATION. World Medical Association Declaration of Helsinki, 1964: Ethical principles for medical research involving human subjects. Bulletin of the World Health Organization, v. 79, n. 4, p. 373-374, jul. 2003.
Notas