Original Research
Received: 19 April 2018
Accepted: 21 July 2018
DOI: 10.18549/PharmPract.2018.03.1256
Background: Benzodiazepine and z-hypnotic prescribing has slowly decreased over the past 20 years, however long-term chronic prescribing still occurs and is at odds with prescribing guidance.
Objectives: To identify the pattern of benzodiazepine and z-hypnotic prescribing in psychiatric inpatients at discharge and 12 months post-discharge.
Methods: Retrospective observational longitudinal cohort study of patients admitted to two adult psychiatric wards between June and November 2012 (inclusive) who were discharged with a prescription for a benzodiazepine or z-hypnotic drug. Routinely collected prescription data available from NHS Scotland Prescribing Information System was used to identify and follow community prescribing of benzodiazepine and z-hypnotics for a 12 month period post-discharge. Data were entered in Excel ® and further analysed using SPSS 23. Ethical approval was not required for this service evaluation however Caldicott Guardian approval was sought and granted.
Results: Eighty patients were admitted during the study period however only those patients with a single admission were included for analysis (n=74). Thirty per cent (22/74) of patients were prescribed a benzodiazepine or z-hypnotics at discharge; 14 of whom received ‘long-term’ benzodiazepine and z-hypnotics i.e. continued use over the 12 month period. Seven patients received a combination of anxiolytics and hypnotics (e.g., diazepam plus temazepam or zopiclone). Long-term use was associated with a non-significant increase in median benzodiazepine or z-hypnotic dose, expressed as diazepam equivalents.
Conclusions: One in three patients were prescribed a benzodiazepine or z-hypnotics at discharge with 1 in 5 receiving continuous long-term treatment (prescriptions) for 12 months post-discharge. As chronic long-term B-Z prescribing and use still remains an issue, future strategies using routine patient-level prescribing data may support prescribers to review and minimise inappropriate long-term prescribing.
Keywords: Benzodiazepines, Patient Discharge, Practice Patterns, Physicians’, Psychiatric Department, Hospital, Psychiatry, Retrospective Studies, United Kingdom.
INTRODUCTION
Benzodiazepine and z-hypnotic (B-Z) prescribing remains an issue across different care settings in North America, Australasia and Europe. 1- 3 Whilst there has been some reduction in the use of specific benzodiazepines, it appears to be at the expense of z-hypnotics, whose usage has increased. 4 Much of the B-Z prescribing results in long-term chronic use 1, 2 which is contrary to good practice, guidance, and terms of license. 5 B-Zs demonstrate marginal benefits for short-term relief of insomnia and some anxiety disorders 6 which are traits common in most psychiatric disorders and so may warrant short-term or ‘as required’ use in acute settings. However, issues with tolerance, dependence and adverse effects including cognitive impairment, depression and paradoxical effects i.e. disinhibition, anxiety and impulsivity, can limit their usefulness. 7 More recently, studies have reported increased mortality associated with B-Z use in various populations including those with psychiatric illness. 8, 9
Information regarding B-Z prescribing upon discharge from inpatient psychiatric services is limited, although a few studies have reported that 36%, 37% and 50% of patients in New Zealand 10 and the UK 11, 12 received B-Zs on discharge. More importantly, information is lacking regarding their prescribing post-discharge which may contribute to potentially inappropriate long-term prescribing in primary care. At a practical level, routine patient-level prescribing information required to follow a patient’s journey from hospital to community care is often lacking or incomplete in most health care systems. However, recent developments in Scotland in the collection and processing of routine patient-level primary care prescription dispensing data can now make this possible. 13 This paper reports on a study which set out to identify the pattern of B-Z prescribing in psychiatric inpatients at discharge and 12 months post-discharge using routine patient-level prescribing and dispensing information.
METHODS
Ethical opinion was sought from the West of Scotland Research Ethics Service on the use of anonymised patient-level data for the study. The advice received was that the study was considered to be service evaluation and hence did not require research ethics approval. Nevertheless, Caldicott Guardian approval was sought and granted by the NHS Greater Glasgow and Clyde Prescription Data Governance Group.
A retrospective observational longitudinal cohort study design was applied. All patients admitted between June and November 2012, to two acute adult wards in the same psychiatric hospital, in the southwest region of the health board area were eligible for inclusion. Individual patient-level data including: Community Health Index (CHI) number; age; gender; residential postcode to allow mapping of Scottish Index of Multiple Deprivation (SIMD) codes 14; primary psychiatric diagnosis and admission status (informal or detained) were collected using a standardised data collection form. Patients with multiple admissions during the study period were excluded, as it was assumed these individuals were ‘more unwell/complicated’ and so any B-Z prescribed would not necessarily be representative of ‘routine practice’.
In Scotland, healthcare is delivered by a tax funded National Health Service (NHS) and service users are assigned a CHI number. The CHI number acts as a unique identifier containing details of gender and date of birth. 15 The CHI number enables linkage to other national datasets which use the CHI number as their point of reference such as the national Prescribing Information System (PIS). The PIS contains information pertaining to all NHS prescriptions that have been dispensed in the community i.e. primary care. 13 The overwhelming majority of which are prescribed by the patient’s general practitioner (GP), with a minority of prescriptions being written by non-medical prescribers (e.g. nurses and pharmacists), Out of Hours and speciality outpatient services and dispensed in community. The CHI number was used to identify patients who had received a prescription, in primary care, for a B-Zs during within 12 months after discharge. The prescriptions included the patients CHI number and medication details: drug name, dosage form, strength, quantity dispensed, dosage instructions and date dispensed.
Patient-level admission data and B-Z prescribing data were matched for the 12 months following discharge. Details of any B-Z dispensed at months 1 to 12 post-discharge including the name of the medication and the total daily dose were collected from PIS. Where dosage instructions were unavailable or ambiguous e.g. ‘as directed’ or ‘as required’, the average daily dose was estimated by dividing the total prescription dose by 28 days e.g. 14 temazepam 10mg tablets (one as required) is 140mg/28 and would be recorded as a total daily dose of 5mg temazepam. As the majority of ‘as required’ and ‘as directed’ prescriptions were being dispensed monthly (e.g. zopiclone 7.5 mg tablets, 14 tablets, dispensed each month) and all regular prescriptions were supplied as 28 day prescriptions.
To enable comparison of individual patient-level total daily doses at various times post-discharge, diazepam dose equivalents were calculated for the different B-Zs in line with previous guidance. 16, 17 Since most clinical guidelines and product licenses’ recommend restricting B-Z use to 2-4 weeks 5, 6, long-term or inappropriate use was defined as ‘receiving the medication for more than 4 weeks’. All data was anonymised prior to analysis.
Data were entered in Excel and further analysed using SPSS v.23. Where appropriate, due to small cell sizes containing data counts <5, data were aggregated into ‘quarters’ for the 12 months post-discharge and were defined as: quarter 1=month 1, 2 and 3, quarter 2=month 4, 5 and 6, etc. Where appropriate the Chi-square test or Mann-Whtney U test were used. Since the diazepam dose equivalents did not exhibit normal distribution, the Mann-Whitney U test was used to assess statistical difference between discharge doses and quarter 4 doses for all patients prescribed B-Zs.
RESULTS
Eighty patients were admitted during the study period, six of whom had multiple admissions and were thus excluded. The remaining 74 patients had a mean age of 40 years (range 18-77 years), 45 of whom (61%) were male with just over half (54%, n=40), according to the SIMD score, living in the 20% most deprived areas of Scotland. The most common primary diagnosis was schizophrenia (n=25), followed by mood disorder (n=16), personality disorder (n=14), substance misuse (n=10) and anxiety disorder (n=7). Fourteen patients (19%) had multiple psychiatric co-morbidities. Twenty-three patients (31%) were detained under Mental Health Act legislation on admission.
Twenty-two patients (30%) were prescribed B-Z medication at discharge, five (7%) of whom received a combination of an anxiolytic and a hypnotic, e.g. diazepam plus temazepam or zopiclone, with males more commonly prescribed B-Zs (Odds Ratio 1.19, 95% CI 0.42 to 3.32). No significant differences in demographics were found between patients prescribed B-Zs and those not prescribed B-Zs at discharge ( Table 1). The most commonly prescribed B-Zs were diazepam (n=11), zopiclone (n=8) and nitrazepam (n=3), with z-hypnotics more commonly prescribed than benzodiazepine-hypnotics. The median total daily dose expressed as diazepam equivalents was 8mg (range 2.5mg to 50mg). Four patients, not discharged on B-Zs, started treatment within three months of discharge and remained on long-term treatment.

B-Z prescribing for 12 months post-discharge
Of the 22 patients discharged on B-Zs, six patients did not receive any further B-Zs prescriptions. Of the remaining 16 patients (73%, 9 males and 7 females) who continued to receive repeat B-Z prescriptions post-discharge, 14 individuals received ‘long-term’ treatment including 9 patients receiving B-Zs continuously for 12 months; 3 patients for 12 months with a single 4 week break in their supply, 1 patient for 10 months and another for 7 months. Only two patients received less than a 4 weeks supply post-discharge. Three patients who were not originally discharged on B-Zs started and remained on long-term treatment: two for 12 months and one for 6 months continuously.
Seven of the 16 patients were dispensed diazepam in combination with either nitrazepam, temazepam or a z-hypnotic. Four of these individuals were prescribed these as ‘regular’ doses with the remainder using them on an ‘as required’ basis. Another 9 patients from the original cohort were found to have started a B-Z within the 12 months post-discharge period. Five of whom received short-term irregular treatment but 4 people received regular (long-term) prescriptions of a single B-Zs.
For all 25 patients who received B-Zs in the 12 months post-discharge, 275 B-Z prescriptions had been dispensed. The most frequent was diazepam (n=123, 45%, median total daily dose of 15mg, range 2mg to 50mg), followed by zopiclone (n=46, 17%, 7.5mg, 3.75mg to 15mg), nitrazepam (n=39, 14%, 10mg, 2.5mg to 20mg), zolpidem (n=28, 10%, 10mg, 5mg to 10mg), temazepam (n=21, 8%, 20mg, 20mg to 60mg) and lorazepam/lormetazepam (n=18, 7%). The most common primary diagnosis amongst this cohort was schizophrenia (n=7), personality disorder (n=5) and mood disorders (n=5). The remainder were diagnosed with either an anxiety disorder, substance misuse or had an ‘unknown’ diagnosis.
B-Z long-term use
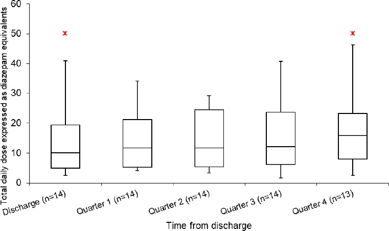
Of the 14 patients discharged on B-Zs who subsequently received long-term regular prescriptions there was a statistically non-significant (Mann-Whitney U test, p=0.519) increase in median doses (expressed as diazepam equivalents) from 10mg at discharge to 15.8mg at 12 months, Figure 1. For all patients (n=18) who received long-term B-Zs including those not prescribed at discharged, the most common primary diagnoses were schizophrenia (33%) followed by depression (22%) and personality disorder (22%). While the median dose for this group increased from 10mg at discharge to 14.6mg at 12 months, Figure 2.


DISCUSSION
One in three patients in this cohort were prescribed B-Zs at discharge. This is comparable to other studies 10, 12, but significantly lower than a previous UK study. 11 One in five patients were also found to receive continuous, long-term, B-Zs prescriptions 12 months post-discharge. Most clinicians are aware of the problems associated with chronic B-Z use, and that courses should be limited to a maximum of 2-4 weeks 5, stopping or reducing chronic prescribing in this instance may be more challenging. This may be partly due to patient or carer expectations of continuing treatment, or GPs having reservations in reducing or stopping B-Zs as they were initiated by specialist mental health services. GPs may also lack training or the psychiatrists support in managing the reduction and withdrawal of long-term B-Zs. 18
B-Z tolerance can develop quickly, particularly if there is dose escalation, and our study is the first to our knowledge to demonstrate small escalations in median doses over time. One factor acknowledged by others as contributing to dose escalation is concomitant use of 2 or more B-Zs. This was observed in a small proportion of our patients and was higher than that reported amongst a Spanish sample. 19 Diazepam was the most commonly prescribed B-Z, with one patient’s dose being above the licensed maximum daily dose of 30mg at discharge and at three months post-discharge. 5 The median discharge B-Z dose, expressed as diazepam equivalents, of 10 mg daily is nearly half that previously reported 12 although the dose range was similar to that reported by Summers and Brown. 11 Some differences will be due to patient characteristics including severity and nature of illness or prescriber characteristics which can be influenced by local practice and policy 20, such as z-hypnotic use in preference to benzodiazepine-hypnotics, e.g. temazepam, due to the potential for misuse and drug-related deaths. 21, 22
The majority of those prescribed B-Zs had a diagnosis of schizophrenia, followed by mood disorders and personality disorder, as with other studies 10- 12, although Summers and Brown more commonly reported alcohol dependence as the main indication. 11 The long-term use of B-Zs in people with schizophrenia may be to address suboptimal antipsychotic response or an attempt to achieve an antipsychotic sparing effect. 23 However, the evidence supporting such strategies is lacking 24, and more worryingly, B-Z use is associated with increased mortality for people with schizophrenia. 9 For those with mood disorders, selective serotonin reuptake inhibitors (SSRIs) use has been associated with greater longer-term B-Z use, and in part may be due to SSRIs exacerbating insomnia and agitation, especially at higher doses. 25, 26 A possible reason for long-term B-Z use in personality disorder could be the challenging nature of the patients who present with a range of behaviours. Nevertheless, B-Zs can provoke aggressive behaviour and increase the risk of suicide amongst people with personality disorder. 27 Another problem is that concomitant B-Z use can reduce the efficacy of some psychological therapies, particularly for anxiety. 28 Alternatives such as sedating antipsychotics are not without their own substantial cardiometabolic risks and require more intensive physical health monitoring. 29, 30
The main strength of this study is that it uses routine patient-level primary care prescribing data for dispensed prescriptions containing the CHI number, allowing primary and secondary care data to be ‘linked’. This enables relatively easy longitudinal assessment of long-term routine prescribing, without the demands of significant resource implications which previously made this work very challenging and prohibitive prior to PIS data being available. Another strength was that we did not solely rely on the manual collection of prescribing data and the inherent problems associated with that type of data collection.
The main limitations, as with other studies, is that we were unable to assess concordance and compliance with the prescription directions and actual drug use, including possible self-medication with non-prescribed B-Zs 31, 32, as well as patient, carer, ward staffing, and prescriber factors which are known to be associated with variations in B-Z prescribing. The lack of post-discharge information such as: if prescribers discussed, attempted or supported patients with B-Z reductions; or if patients’ experienced crises which did not require admission but did require extra ‘as required’ doses which may have inadvertently continued, all contribute to potential limitations affecting the depth and totality of the analysis. Finally, some may consider findings to be limited in their generalisablity; however, this study’s findings may be of interest to those working in primary and secondary care serving populations with similar demographics.
As already acknowledged, a challenge for practice is ensuring good communication between specialist services and general practice 33, 34 to help minimise inappropriate long-term B-Z prescribing and avoidable drug-related harms. In recent years, pharmacists working within general practices have been supporting GPs to review patients receiving B-Zs; including those attending mental health services, and where appropriate support joined up working. 35 This study demonstrates the utility of routine patient-level PIS prescribing data and ‘linked data’ in identifying such prescribing issues within specific patient groups at a local level. The use of PIS data will enable national, regional, and local services to target resources to achieve reductions in inappropriate prescribing of various medicines, including psychotropics in line with clinical guidance and policies. It can also be used to enable clinicians to identify high-priority patients for regular medication review in line with national polypharmacy guidance supporting the reduction in inappropriate medicines and associated avoidable drug risks, as well as assessing the impact of regional and national prescribing strategies and interventions. 36 The ability to ‘link’ PIS patient-level data with other datasets at local, regional and national levels opens up significant potential for pharmacists and non-pharmacist led pharmacovigilance and pharmacoepidemolgical studies, as well as evaluating changes in routine practice at a local, regional or national level. However, patient-level PIS data could also be used to support and enable secondary care specialists to review and reflect on prescribing as general practitioners and practice pharmacists currently do.
CONCLUSIONS
One in three patients were prescribed B-Zs at discharge with 1 in 5 receiving continuous long-term B-Z prescriptions 12 months post-discharge. For those receiving regular long-term benzodiazepine and z-hypnotics prescriptions there was a small non-statistically significant increase in median prescribed dose during the 12 months post-discharge. As chronic long-term B-Z prescribing and use still remains an issue, future strategies using routine patient-level prescribing data may support prescribers to review and minimise inappropriate long-term prescribing.
ACKNOWLEDGEMENTS
We thank all senior staff and non-medical staff for their help and support with this study.
REFERENCES
1. Donoghue J, Lader M. Usage of benzodiazepines: A review. Int J Psychiatry Clin Pract. 2010;14(2):78-87. doi: 10.3109/13651500903447810
2. Olfson M, King M, Schoenbaum M. Benzodiazepine use in the United States. JAMA Psychiatry. 2015;72(2):136-142. doi: 10.1001/jamapsychiatry.2014.1763
3. Hollingworth SA, Siskind DJ. Anxiolytic, hypnotic and sedative medication use in Australia. Pharmacoepidemiol Drug Saf. 2010;19(3):280-288. doi: 10.1002/pds.1899
4. McKean A, Vella-Brincat J. Ten-year dispensing trends of hypnotics in New Zealand. N Z Med J. 2011;124(1331):108-110.
5. Joint Formulary Commitee. British National Formulary. 63rd ed. BMJ Group and Pharmaceutical Press, 2012.
6. Baldwin DS, Anderson IM, Nutt DJ, Allgulander C, Bandelow B, den Boer JA, Christmas DM, Davies S, Fineberg N, Lidbetter N, Malizia A, McCrone P, Nabarro D, O'Neill C, Scott J, van der Wee N, Wittchen HU. Evidence-based pharmacological treatment of anxiety disorders, post-traumatic stress disorder and obsessive-compulsive disorder: A www.pharmacypractice.org (eISSN: 1886-3655 ISSN: 1885-642X) 6 revision of the 2005 guidelines from the British Association for Psychopharmacology. J Psychopharmacol. 2014;28(5):403-439. doi: 10.1177/0269881114525674
7. Dell'osso B, Lader M. Do benzodiazepines still deserve a major role in the treatment of psychiatric disorders? A critical reappraisal. Eur Psychiatry. 2013;28(1):7-20. doi: 10.1016/j.eurpsy.2011.11.003
8. Weich S, Pearce HL, Croft P, Singh S, Crome I, Bashford J, Frisher M. Effect of anxiolytic and hypnotic drug prescriptions on mortality hazards: retrospective cohort study. BMJ. 2014;348:g1996. doi: 10.1136/bmj.g1996
9. Tiihonen J, Mittendorfer-Rutz E, Torniainen M, Alexanderson K, Tanskanen A. Mortality and cumulative exposure to antipsychotics, antidepressants, and benzodiazepines in patients with schizophrenia: An observational follow-up study. Am J Psychiatry. 2016;173(6):600-606. doi: 10.1176/appi.ajp.2015.15050618
10. Peters SM, Knauf KQ, Derbidge CM, Kimmel R, Vannoy S. Demographic and clinical factors associated with benzodiazepine prescription at discharge from psychiatric inpatient treatment. Gen Hosp Psychiatry. 2015;37(6):595-600. doi: 10.1016/j.genhosppsych.2015.06.004
11. Summers J, Brown KW. Benzodiazepine prescribing in a psychiatric hospital. Psych Bull1998;22(8):480-483.
12. Wheeler A, Kairuz T, Sheridan J, McPhee E. Sedative-hypnotic treatment in an acute psychiatric setting: Comparison with best practice guidance. Pharm World Sci. 2007;29(6):603-610.
13. Information Services Division. Prescribing Information System for Scotland. Available at: http://www.isdscotland.scot.nhs.uk/Health-Topics/Prescribing-and-Medicines/Prescribing-Datamarts/ (accessed June 25, 2018)
14. Scottish Index of Multiple Deprivation: Background and Methodology. 2012; Available at: http://www.gov.scot/Topics/Statistics/SIMD/BackgroundMethodology (accessed June 25 2018)
15. Information Services Division. CHI Number. Available at: http://www.ndc.scot.nhs.uk/Dictionary-A-Z/Definitions/index.asp?Search=C&ID=128&Title=CHI (accessed June 25, 2018)
16. Ashton H. The Ashton Manual. Benzodiazepines: how they work and how to withdraw. Available at: http://www.benzo.org.uk/ (accessed 25th June 2018)
17. Department of Health (England) and the devolved administrations (2007). Drug Misuse and Dependence: UK Guidelines on Clinical Management. London: Department of Health (England), the Scottish Government, Welsh Assembly Government and Northern Ireland Executive; 2007.
18. Rogers A, Pilgrim D, Brennan S, Sulaiman I, Watson G, Chew-Graham C. Prescribing benzodiazepines in general practice: a new view of an old problem. Health (London). 2007;11(2):181-198. doi: 10.1177/1363459307074693
19. Sotoca J, Rovira M, Codina C, Ribas J. Concurrent use of different benzodiazepines in different healthcare levels. Eur J Hosp Pharm 2013;20(Supp 1):A16.
20. Tsimtsiou Z, Ashworth M, Jones R. Variations in anxiolytic and hypnotic prescribing by GPs: a cross-sectional analysis using data from the UK Quality and Outcomes Framework. Br J Gen Pract. 2009;59(563):e191-e198. doi: 10.3399/bjgp09X420923
21. Hammersley R, Pearl S. Temazepam Misuse, Violence and Disorder. Addiction Research 1997;5(3):213. doi: 10.3109/16066359709005262
22. Hammersley R, Cassidy MT, Oliver J. Drugs associated with drug-related deaths in Edinburgh and Glasgow, November 1990 to October 1992. Addiction. 1995 Jul;90(7):959-965.
23. Paton C, Banham S, Whitmore J. Benzodiazepines in schizophrenia: Is there a trend towards long-term prescribing? Psych Bull 2000;24(3):113-115. doi: 10.1192/pb.24.3.113
24. Dold M, Li C, Tardy M, Khorsand V, Gillies D, Leucht S. Benzodiazepines for schizophrenia. Cochrane Database Syst Rev. 2012;11:CD006391. doi: 10.1002/14651858.CD006391.pub2
25. Johnson CF, Dougall NJ, Williams B, MacGillivray SA, Buchanan AI, Hassett RD. Patient factors associated with SSRI dose for depression treatment in general practice: a primary care cross sectional study. BMC Fam Pract. 2014;15:210. doi: 10.1186/s12875-014-0210-9
26. Donoghue J, Lader M. Antidepressants are associated with increased length of hypnotic use in primary care. Eur Neuropsychopharmacol 2008;18(S4):S326-S327.
27. Cowdry RW, Gardner DL. Pharmacotherapy of borderline personality disorder. Alprazolam, carbamazepine, trifluoperazine, and tranylcypromine. Arch Gen Psychiatry. 1988;45(2):111-119. doi: 10.1001/archpsyc.1988.01800260015002
28. Otto MW, Bruce SE, Deckersbach T. Benzodiazepine use, cognitive impairment, and cognitive-behavioral therapy for anxiety disorders: issues in the treatment of a patient in need. J Clin Psychiatry. 2005;66(Suppl 2):34-38.
29. Huthwaite M, Cleghorn M, MacDonald J. Out of the frying pan': The challenges of prescribing for insomnia in psychiatric patients. Australas Psychiatry. 2014;22(3):288-291. doi: 10.1177/1039856214530015
30. Mitchell AJ, Delaffon V, Vancampfort D, Correll CU, De Hert M. Guideline concordant monitoring of metabolic risk in people treated with antipsychotic medication: systematic review and meta-analysis of screening practices. Psychol Med. 2012;42(1):125-147. doi: 10.1017/S003329171100105X
31. Bibi S, Bremner DH, Macdougall-Heasman M, Reid R, Simpson K Tough A, Waddell S, Stewartb IJ, Matthews H. A preliminary investigation to group disparate batches of licit and illicit diazepam tablets using differential scanning calorimetry. Anal Methods 2015;7:8597-8604. doi: 10.1039/C5AY01711D
32. Corkery JM, Schifano F, Ghodse AH. Phenazepam abuse in the UK: an emerging problem causing serious adverse health problems, including death. Hum Psychopharmacol. 2012;27(3):254-261. doi: 10.1002/hup.2222
33. Agyapong VIO, Ahmodu O, Guerandel A. Communication between community mental health services and primary care. Ir J Psychol Med. 2011;28(3):134-137. doi: 10.1017/S0790966700012106
34. Stockdale SE, Sherin JE, Chan JA, Hermann RC. Barriers and strategies for improving communication between inpatient and outpatient mental health clinicians. BMJ Qual Saf. 2011;20(11):941-946. doi: 10.1136/bmjqs.2010.050450
35. Johnson C, Thomson A. Prescribing support pharmacists support appropriate benzodiazepine and Z-drug reduction 2008/09 – experiences from North Glasgow. Clin Pharm 2010;3(Supp 1):S5-S6.
36. MacBride-Stewart S, Marwick C, Houston N, Watt I, Patton A, Guthrie B. Evaluation of a complex intervention to improve primary care prescribing: a phase IV segmented regression interrupted time series analysis. Br J Gen Pract. 2017;67(658):e352-e360. doi: 10.3399/bjgp17X690437
37. World Health Organization. International Statistical Classification of Diseases and Related Health Problems 10th (ICD-10)
Notes
None.