Artículo original
Frecuencia de comorbilidades en pacientes con artritis psoriásica y evaluación de la adherencia de los médicos a las recomendaciones de tratamiento de las Guías GRAPPA 2015
Frequency of comorbidities in patients with psoriatic arthritis and evaluation of the adherence of physicians to the treatment recommendations of the GRAPPA 2015 Guidelines
Frecuencia de comorbilidades en pacientes con artritis psoriásica y evaluación de la adherencia de los médicos a las recomendaciones de tratamiento de las Guías GRAPPA 2015
Revista Argentina de Reumatología, vol. 33, núm. 4, pp. 205-214, 2022
Sociedad Argentina de Reumatología

Recepción: 07 Julio 2022
Aprobación: 17 Diciembre 2022
Resumen:
Introducción: los pacientes con artritis psoriásica (APs) presentan más comorbilidades. Las guías del Group for Research and Assessment of Psoriasis and Psoriatic Arthritis (GRAPPA) establecen lineamientos para los tratamientos de acuerdo a ellas.
Objetivos: describir la prevalencia de comorbilidades en pacientes con APs según el Rheumatic Disease Comorbidity Index (RDCI), analizar el efecto sobre la enfermedad y estudiar la adherencia a las guías GRAPPA.
Materiales y métodos: estudio observacional. Se incluyeron pacientes con APs de la cohorte RAPSODIA. Se reportaron características sociodemográficas y clínicas. Las comorbilidades se valoraron por RDCI. Se estudiaron variables asociadas a RDCI ≥1 mediante análisis multivariado. Se analizó el cumplimiento de las recomendaciones de tratamiento en relación a las comorbilidades según las guías GRAPPA.
Resultados: se incluyeron 170 pacientes. El 67,6% presentó al menos una comorbilidad (RDCI ≥1); estos eran de mayor edad (X 57,3±12,7 años vs. 48,2±13,2 años; p<0,0001), presentaban más sobrepeso u obesidad (84,3% vs. 67,3%; p=0,011) y peor calidad de vida (PsAQoL X 7,6±6,6 vs. 5,2±6; p=0,025). El análisis multivariado evidenció asociación de la edad y el uso de antiinflamatorios no esteroideos (AINEs) con RDCI ≥1. Contrariamente a las recomendaciones de GRAPPA, el 70% de los pacientes con cardiopatía utilizaba AINEs, y la mitad de aquellos con enfermedades hepáticas o renales tomaba AINEs o metotrexato.
Conclusiones: la prevalencia de comorbilidades en los pacientes con APs es alta. En algunos casos no se cumplían las recomendaciones de tratamiento en relación a las comorbilidades.
Palabras clave: comorbilidades, Rheumatic Disease Comorbidity Index, guías GRAPPA, artritis psoriásica.
Abstract:
Introduction: comorbidities are common in patients with psoriatic arthritis (PsA). The GRAPPA (Group for Research and Assessment of Psoriasis and Psoriatic Arthritis) guidelines strengthen the choice of treatments according to them.
Objetives: to describe the prevalence of comorbidities in patients with psoriatic arthritis according to Rheumatic Disease Comorbidity Index (RDCI) and to analyze the influence of them on disease activity, functional capacity and quality life and to assess adherence to GRAPPA 2015 treatment recommendations according to the presence of comorbidities.
Materials and methods: Adult patients with PsA (CASPAR criteria) from the RAPSODIA cohort were included. Sociodemographic and clinical characteristics, disease activity and current treatment were recorded. Comorbidities were assessed by the RDCI. Variables associated with RDCI≥1 were studied by multivariate analysis. Adherence to treatment recommendations in relation to the reported comorbidities was analyzed according to the 2015 GRAPPA guidelines.
Results: a total of 170 patients were included. Patients with RDCI ≥1 were reported by 67.6%. These patients were older (57±13 years vs 48±13 years, p<0.0001), had a higher frequency of overweight or obesity (84.3% vs 67.3%, p=0.011), and had a poorer quality of life (PsAQoL 7.6±6.6 vs 5.2±6, p=0.025). The multivariate analysis showed an association between age and the use of NSAIDs with RDCI≥1. Contrary to GRAPPA recommendations, 70% of patients with heart disease were using NSAIDs. Moreover, about half of those with hepatic or kidney disease took NSAIDs or methotrexate.
Conclusions: most patients with PsA presented at least one comorbidity. GRAPPA recommendations were not followed in a considerable number of patients.
Keywords: comorbidities, Rheumatic Disease Comorbidity Index, GRAPPA guidelines, psoriatic arthritis.
INTRODUCCIÓN
Los pacientes con enfermedad reumatológica presentan un mayor riesgo de morbimortalidad lo que contribuye a una peor evolución de la enfermedad de base y un deterioro en la calidad de vida1-3. La prevalencia de comorbilidades en los pacientes con artritis psoriásica (APs) es mayor en comparación con la población general4-6. Datos locales sugieren que el 86,6% presenta al menos una comorbilidad y las más frecuentes son: enfermedad cardiovascular, tabaquismo, sobrepeso y obesidad7.
En este contexto y considerando el impacto que las comorbilidades ejercen sobre la evolución de la enfermedad reumatológica, la sobrevida de los tratamientos, la capacidad funcional y la calidad de vida de quienes las padecen, es necesario estandarizar y aplicar herramientas específicas para medir la carga de las mismas8,9. En la actualidad disponemos de múltiples índices que evalúan la presencia de comorbilidades y el impacto que generan en la calidad de vida y en la salud de manera global10,11. Los más utilizados son el índice de comorbilidad de Charlson (ICC)10 y el Elixhauser puntuación de comorbilidad (ECS)11. Recientemente se ha implementado el uso del Rheumatic Disease Comorbidity Index (RDCI), un índice de comorbilidades adecuado para pacientes con enfermedades reumatológicas12,13 que evalúa la presencia de alteraciones pulmonares, cerebro cardiovasculares (infarto agudo de miocardio -IAM-, hipertensión, accidente cerebrovascular y otras afecciones cardiovasculares), gastrointestinales (úlceras y otros problemas gástricos), fracturas (vertebral, de cadera o pierna en mayores de 50 años), depresión, diabetes mellitus (DM) y cáncer.
El RDCI se aplicó previamente para estudiar una población de pacientes con APs y se encontró que la proporción de personas con RDCI ≥1 era significativamente más alta en este grupo en comparación con la población general. Además, se observó que aquellos que presentaban al menos una comorbilidad, habían recibido más prescripciones para cualquier tipo de analgésico que quienes no tenían comorbilidad, incluyendo opioides14.
La identificación de las comorbilidades es fundamental para el manejo y el tratamiento óptimo de todo paciente con APs. Varios grupos de expertos desarrollaron recomendaciones para el manejo terapéutico contemplando la presencia de las mismas. En las guías del Group for Research and Assessment of Psoriasis and Psoriatic Arthritis 2015 Treatment Recommendations for Psoriatic Arthritis (GRAPPA 2015) se identificaron las comorbilidades y manifestaciones extra musculoesqueléticas más frecuentes en este grupo de pacientes, como enfermedad cardiovascular, insuficiencia cardíaca congestiva, obesidad, síndrome metabólico y DM, entre otras. El grupo GRAPPA realizó consideraciones basadas en la evidencia disponible para el tratamiento de pacientes con APs que padecen estas comorbilidades de manera concomitante15. Si bien estas recomendaciones son ampliamente aceptadas, se desconoce su aplicación en la vida real.
Por este motivo, los objetivos de este estudio fueron: describir la prevalencia de comorbilidades en pacientes con APs utilizando el RDCI, analizar el efecto de las mismas sobre la actividad de la enfermedad, la capacidad funcional y la calidad de vida de los mismos, y su asociación con diferentes factores sociodemográficos y clínicos; además estudiar la adherencia en nuestro centro a las recomendaciones de tratamiento de las guías GRAPPA 2015 en relación con la presencia de comorbilidades.
MATERIALES Y MÉTODOS
Se realizó un estudio observacional, de corte transversal, en el cual se incluyeron pacientes de ambos sexos, ≥18 años de edad, con diagnóstico de APs según la Classification Criteria for Psoriatic Arthritis (CASPAR)16, incluidos en la cohorte de seguimiento longitudinal del Registro de Artritis Psoriásica del IReP Argentina (RAPSODIA). Es un registro digital de visitas anuales de pacientes con APs creado en 2011.
Se consignaron datos sociodemográficos (sexo y edad), peso, talla e índice de masa corporal (IMC). Se evaluaron las características de la enfermedad, incluyendo tiempo de evolución, demora diagnóstica, tipo de APs (periférica pura, axial pura, mixta) y tratamientos instaurados. El tratamiento con antiinflamatorios no esteroideos (AINEs) se evaluó como variable categórica según la presencia o ausencia de consumo de alguno de ellos. Se estudió la actividad de la enfermedad a través del dolor, fatiga y evaluación global de la patología según el paciente y el médico por medio de la escala visual numérica (EVN) (0-10 cm). Se valoró la presencia, intensidad (EVN 0-10 cm) y duración (minutos) de rigidez matinal. Se determinó el recuento de 66/68 articulaciones tumefactas y dolorosas, presencia de dactilitis y entesitis por medio del Maastricht Ankilosing Spondylitis Enthesits Score (MASES)17. Se registraron los valores de eritrosedimentación (ERS; mm/h) y proteína C reactiva (PCR; mg/%). La psoriasis cutánea se valoró por medio del Body Surface Area (BSA)18 y se constató la presencia de psoriasis ungueal mediante el Psoriasis Nail Severity Score (PNSS)19,20. Se administraron los autocuestionarios para valorar la capacidad funcional usando el Health Assessment Questionnaire (HAQ-A)21,22, y la calidad de vida a través del Psoriatic Arthritis Quality of Life (PsAQoL)23 y el Dermatology Life Quality Index (DLQI)24. Se calcularon los índices compuestos Disease Activity in PSoriatic Arthritis (DAPSA)25 y DAPSA-ERS26 para valorar la actividad de la enfermedad y el cumplimiento de los criterios del Minimal Disease Activity (MDA)27.
La presencia de comorbilidades se registró mediante el RDCI12,13. Este score evalúa las alteraciones pulmonares, cerebro cardiovasculares (IAM, hipertensión, accidente cerebrovascular y otras afecciones cardiovasculares), gastrointestinales (úlceras y otros problemas gástricos), fracturas (vertebral, de cadera o pierna en mayores de 50 años), depresión, DM y cáncer. Para su cálculo se suma un punto por cada comorbilidad, a excepción de la enfermedad pulmonar y el IAM/accidente cerebrovascular, por los cuales se aplican 2 puntos. El rango del RDCI varía de 0 a 9, donde 0 refiere a la ausencia de comorbilidades y 9 a su mayor presencia.
Finalmente, se reportó la adherencia a las indicaciones de tratamiento de acuerdo a la presencia de comorbilidades según lo sugerido por las guías GRAPPA15.
Se realizó estadística descriptiva. Las variables continuas se expresaron según su distribución en mediana (.) y rango intercuartílico (RIC) o media (X) y desvío estándar (DE), y las categóricas en frecuencia y porcentaje. El valor del RDCI se analizó de manera continua y categórica (punto de corte RDI ≥1). Para estudiar la asociación entre la presencia de comorbilidades (RDCI ≥1) con distintas variables clínicas y sociodemográficas se utilizaron los test T de Student o Mann Whitney, ANOVA o Kruskal Wallis, chi2 o test exacto de Fisher, según correspondiera. Se realizó un modelo de regresión logística con el fin de identificar variables sociodemográficas y clínicas asociadas independientemente con la presencia de comorbilidades (RDCI ≥1). Las variables independientes de los modelos se seleccionaron según si su significancia en el análisis univariado era menor a 0,1 y también se incluyeron aquellas que el investigador consideró relevantes, ya sea por interacción o por ajuste. En todos los casos se consideró significativo un valor de p<0,05. Para el análisis estadístico de los datos se usó el programa R (versión 4.1.1, Free Software Foundation, Inc., Boston, USA).
RESULTADOS
Se incluyeron 170 pacientes con APs. El 50% pertenecía al sexo femenino, con una edad . de 56,3 años (RIC 44.9-64.6) y un tiempo de evolución . de 9,9 años (RIC 4.4-17.1). La actividad de la enfermedad valorada por DAPSA-ERS fue de . 14,1 (RIC 8-22.2) y 58 pacientes (34,1%) cumplieron los criterios del MDA. Las demás características se describen en la Tabla 1.
En relación con el tratamiento al momento de la evaluación, 105 pacientes (61,8%) recibían drogas modificadoras de la enfermedad convencionales (DME-c), metotrexato (51,8%), leflunomida (6,5%), hidroxicloroquina (0,6%) y sulfasalazina (0,6). Asimismo, 45 pacientes (26,5%) se encontraban en tratamiento con drogas modificadoras de la enfermedad biológicas (DME-b): adalimumab (10,6%), etanercept (8,8%), secukinumab (3,5%), certolizumab pegol (1,8%), infliximab (1,2%) y abatacept (0,6).
El 95,9% de los pacientes tenía al menos una condición comórbida (considerando también aquellas que no se encuentran dentro del RDCI) y las más frecuentes fueron: sobrepeso u obesidad (78,8%), endocrinológicas (44,7%), cardiovasculares (44,1), gastrointestinales (41,2%), dislipemia (25,9%), hepatobiliares (24,7%), psiquiátricas (18,2%), DM2 (17,1%), extabaquismo (25,3%) y tabaquismo actual (17,1%).
La prevalencia de comorbilidades según el punto de corte utilizado del RDCI (RDCI ≥1) fue del 67,6%, mencionando en orden de frecuencia: cerebro cardiovasculares (44,2%), gastrointestinales (41,2%), DM2 (17,1%), fracturas (12,9%), enfermedad pulmonar (11,2%), depresión (10,6%) y cáncer (3,5%). El 16% tenía antecedente de IAM, accidente cerebrovascular u otra afectación cardiovascular (excluyendo hipertensión) (Figura 1).
Los pacientes con RDCI ≥1 eran de mayor edad (X 57,3±12,7 años vs. 48,2±13,2 años; p<0,0001), presentaban más frecuentemente sobrepeso u obesidad (84,3% vs. 67,3%; p=0,011) y peor calidad de vida (PsAQoL X 7,6±7,6 vs. 5,2±6; p=0,025 y DLQI X 4,8±6,6 vs. 2,3±3,3; p=0,010) (Tabla 2).
Aquellos con compromiso periférico puro (X 1,6 ±1,6 vs. 0,9 ±1,1; p=0,01) y que consumían antiinflamatorios no esteroideos (AINEs) (X 1,8 ±1,7 vs. 1,1 ±1,8; p=0,005), tenían valores más altos de RDCI. No se encontró asociación significativa entre el valor de RDCI y el sexo, el uso de glucocorticoides, ni el tratamiento con DME-c o DME-b (Tabla 3).
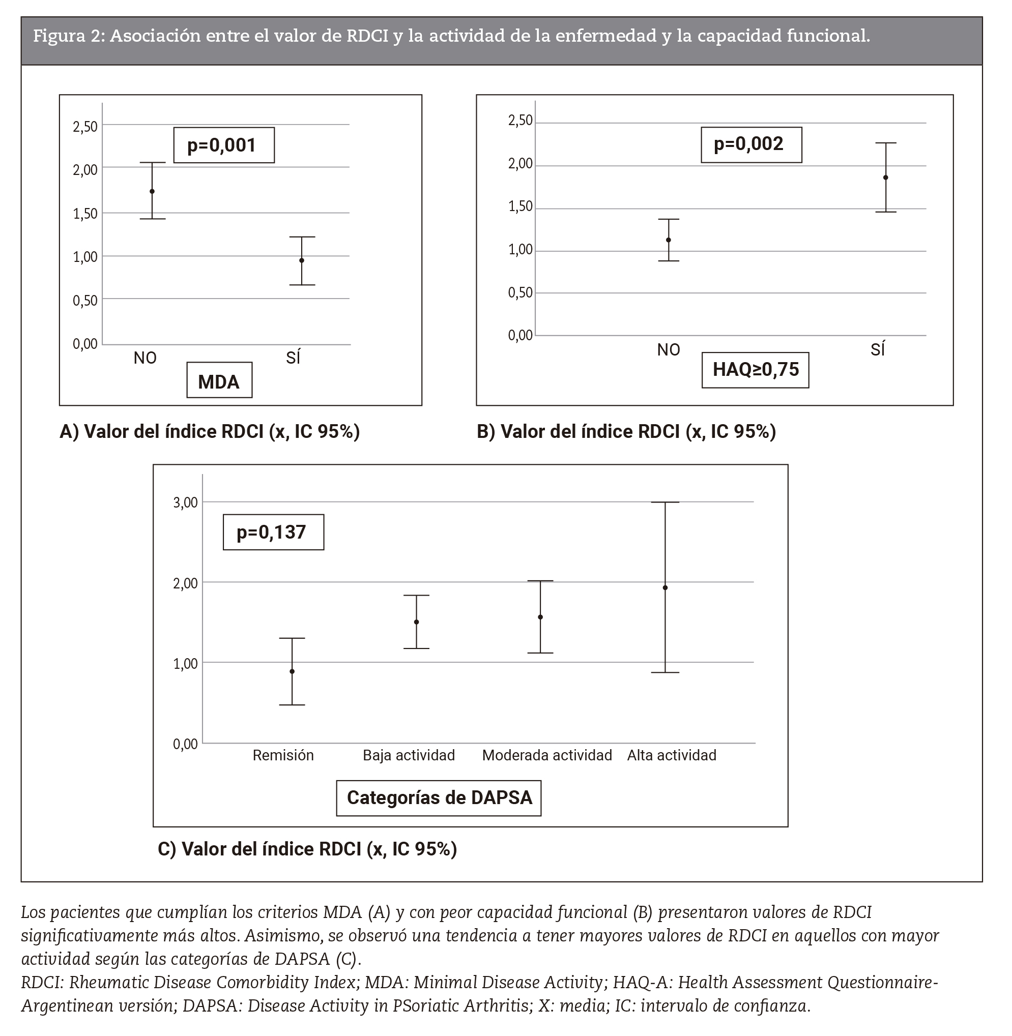
Asimismo, los pacientes que tenían peor capacidad funcional (HAQ-A ≥0,75) y quienes no se encontraban en MDA, presentaron mayor número de comorbilidades (RDCI X 1,9±1,8 vs. 1,1±1,1; p=0,002 y RDCI X 1,7 ±1,7 vs. 0,9±1; p=0,001) respectivamente. Los pacientes con mayor actividad de APs, según las categorías de DAPSA, también tuvieron mayores valores de RDCI. Sin embargo, estas diferencias no fueron significativas (Figura 2 A, B y C).
En la regresión logística, la presencia de al menos una comorbilidad (RDCI .1) se asoció a mayor edad (OR 1.06, IC 95% 1,03-1,09) y al consumo de AINEs (OR 2.10, IC 95% 1,01-4,37) (Tabla 4).
Cuando se analizó la adherencia de los tratamientos a las recomendaciones de las guías GRAPPA, contrariamente a los lineamientos establecidos, encontramos que el 70% de los pacientes con insuficiencia cardíaca utilizaba AINEs y el 20% glucocorticoides. De manera similar, un grupo considerable de aquellos con antecedentes de cardiopatía isquémica recibían estas drogas (64,7% y 29,4% respectivamente).
Aproximadamente la mitad de los pacientes con esteatohepatitis (47,4%) tomaba AINEs (47,4%) y/o metotrexato (57,9%). Dentro del grupo con insuficiencia renal, la mitad utilizaba AItes con esteatohepatitis (47,4%) tomaba AINEs NEs y/o metotrexato, y el 28% de las personas con DM recibía glucocorticoides (Tabla 5).


El 67,6% de los pacientes con APs presentó al menos una comorbilidad por RDCI.
RDCI: Rheumatic Disease Comorbidity Index; CCV: cerebro cardiovascular; GI: gastrointestinal; DM2: diabetes mellitus tipo 2; FX: fracturas; EP: enfermedad pulmonar.



Los pacientes que cumplían los criterios MDA (A) y con peor capacidad funcional (B) presentaron valores de RDCI significativamente más altos. Asimismo, se observó una tendencia a tener mayores valores de RDCI en aquellos con mayor actividad según las categorías de DAPSA (C).
RDCI: Rheumatic Disease Comorbidity Index; MDA: Minimal Disease Activity; HAQ-A: Health Assessment QuestionnaireArgentinean versión; DAPSA: Disease Activity in PSoriatic Arthritis; X: media; IC: intervalo de confianza.


AINEs: antiinflamatorios no esteroideos; Anti-TNFα: inhibidor del factor de necrosis tumoral alfa
DISCUSIÓN
La mayoría de los pacientes con APs de nuestra cohorte presentó comorbilidades incluidas dentro del RDCI, y su presencia se asoció principalmente a mayor edad y al consumo de AINEs. De igual modo, valores más elevados del RDCI se observaron en aquellos con compromiso periférico puro, sobrepeso u obesidad, enfermedad activa y con peores parámetros de calidad de vida. No solamente hallamos una alta prevalencia de comorbilidades, sino que además cerca de un cuarto de los pacientes tenía tres o más patologías comórbidas. También identificamos una considerable adherencia a las recomendaciones GRAPPA 2015 en relación a algunas comorbilidades, sin embargo, detectamos que los pacientes con afectaciones cardiovasculares recibían AINEs y glucocorticoides, lo cual no está recomendado. Además, aproximadamente la mitad de los pacientes con enfermedades hepáticas o renales también tomaba AINEs o metotrexato, y algunos pacientes diabéticos recibían glucocorticoides.
La detección de las comorbilidades es sumamente importante en pacientes con APs dado que su presencia se asoció a menor sobrevida de los tratamientos y a menor probabilidad de alcanzar la remisión28. Estos hallazgos son similares a lo reportado por nuestra cohorte, en la cual los pacientes con valores más altos del RDCI tenían niveles más elevados de actividad y menor asociación con el MDA. Además, resultados comparables se describieron en otras artropatías inmunomediadas, como la artritis reumatoidea. Batko et al. observaron que quienes tenían mayor número de comorbilidades evolucionaban tórpidamente y presentaban menor probabilidad de alcanzar un estado de baja actividad de la enfermedad29.
Diversos autores demostraron el impacto de las comorbilidades sobre la calidad de vida de los pacientes con enfermedades reumáticas. Particularmente, y de manera comparable a nuestro estudio, Bavière et al. establecieron la asociación entre valores más elevados del RDCI en pacientes con APs y peores desenlaces relacionados con la calidad de vida, medidos en este caso con el cuestionario de salud SF-36. El valor de RDCI fue capaz de explicar el 4,9% de la variación del componente mental de este cuestionario30. En nuestra cohorte, los pacientes con comorbilidades tuvieron un promedio de 2 puntos más en los cuestionarios PsAQoL y DLQI, en comparación con quienes no las padecían.
Múltiples estudios establecieron que la obesidad no solo es un factor de riesgo para el desarrollo de APs, sino que también puede afectar la actividad de la enfermedad y las opciones terapéuticas31. Incluso constituye un factor de riesgo para otras comorbilidades. En una revisión reciente de pacientes con APs se encontró una frecuencia de sobrepeso u obesidad cercana al 60%, un poco menor al porcentaje hallado en nuestros pacientes, que fue de 78,8%. Cabe mencionar que el RDCI ha sido modificado (mRDCI), incluyendo a la obesidad y a la enfermedad renal dentro de los ítems evaluados, validándose en una cohorte de pacientes con gota32. El mRDCI se utilizó previamente en pacientes con APs para evaluar la sobrevida de los tratamientos27.
Es imperativo considerar las comorbilidades existentes al momento de elegir la terapia farmacológica para cada paciente, ya que puede impactar considerablemente en su control. Se sabe que la APs aumenta el riesgo de enfermedad cardiovascular y de eventos cardiovasculares adversos mayores en comparación con la población general33. En este contexto, los AINEs se han relacionado con un aumento del riesgo de aterogénesis, hipertensión, arritmias e insuficiencia cardíaca34. Ciertos AINEs, como el naproxeno, conllevan menor riesgo cardiovascular en comparación con los otros. En nuestro estudio, más de la mitad de los pacientes con afectación cardíaca consumía AINEs, sin embargo, no analizamos por separado aquellos que recibían naproxeno. Por otro lado, a pesar de que el tratamiento con glucocorticoides se asoció con un aumento del riesgo cardiovascular35, encontramos que casi un tercio de los pacientes con antecedente de enfermedad cardiovascular recibía este tipo de terapia.
Este estudio tiene fortalezas y debilidades. Es la cohorte longitudinal más grande estudiada en nuestro país y, hasta nuestro conocimiento, es la primera vez que se aplica el RDCI a nivel local. En relación con las limitaciones, es un estudio de un solo centro y por lo tanto, no pueden generalizarse los resultados relacionados con la adherencia de los médicos a las recomendaciones de las guías GRAPPA. Por otro lado, aplicamos el RDCI y no el RDCI modificado. Finalmente, encontramos solo dos pacientes con osteoporosis y seis densitometrías solicitadas en la última visita en toda nuestra cohorte, por lo cual probablemente sea un subdiagnóstico de la misma.
CONCLUSIONES
En nuestro estudio encontramos que dos de cada tres pacientes con APs tienen al menos una comorbilidad y su presencia se asocia fundamentalmente con la mayor edad. Observamos que un mayor número de comorbilidades se asoció con menor probabilidad de alcanzar MDA y mayor consumo de AINEs. En un porcentaje considerable de casos no se cumplían las recomendaciones de tratamiento en relación a la presencia de comorbilidades.
BIBLIOGRAFÍA
I. Lacaille D, Avina-Zubieta JA, Sayre EC, Abrahamowicz M. Improvement in 5-year mortality in incident rheumatoid arthritis compared with the general population-closing the mortality gap. Ann Rheum Dis 2017;76(6):1057-63.
II. Haddad A, Saliba W, Lavi I, Batheesh A, Kasem S, Gazitt T, et al. The association of psoriatic arthritis with all-cause mortality and leading causes of death in psoriatic arthritis. J Rheumatol 2022;49(2):165.170. doi: 10.3899/jrheum.210159.
III. Ogdie A, Haynes K, Troxel AB, Love TJ, Hennessy S, Choi H, et al. Risk of mortality in patients with psoriatic arthritis, rheumatoid arthritis and psoriasis: a longitudinal cohort study. Ann Rheum Dis 2014;73(1):149-53.
IV. Elalouf O, Muntyanu A, Polachek A, Pereira D, Ye JY, Lee KA, et al. Mortality in psoriatic arthritis: Risk, causes of death, predictors for death. Semin Arthritis Rheum 2020;50(4):571-5.
V. Kaine J, Song X, Kim G, Hur P, Palmer JB. Higher incidence rates of comorbidities in patients with psoriatic arthritis compared with the general population using U.S. administrative claims data. J Manag Care Spec Pharm 2019;25(1):122-32.
VI. Horreau C, Pouplard C, Brenaut E, Barnetche T, Misery L, Cribier B, et al. Cardiovascular morbidity and mortality in psoriasis and psoriatic arthritis: a systematic literature review. J Eur Acad Dermatol Venereol 2013;27(3):12-29.
VII. González MC, Carrillo I, Cerda O, Landi M, Maldonado Ficco H, Maldonado-Cocco JA, et al. Comorbilidades en artritis psoriática y su impacto en la actividad de la enfermedad, capacidad funcional y calidad de vida. Rev Arg Reumatol 2013;27(8):72.
VIII. Fortin M, Hudon C, Dubois MF, Almirall J, Lapointe L, Soubhi H. Comparative assessment of three different indices of multimorbidity for studies on health-related quality of life. Health Qual Life Outcomes 2005;3(74):1-7.
IX. Rupp I, Boshuizen HC, Jacobi CE, Dinant HJ, van den Bos G. Comorbidity in patients with rheumatoid arthritis. Effect on health-related quality of life. J Rheumatol 2004;31(7):58-65.
X. Charlson ME, Pompei P, Ales KL, MacKenzie CR. A new method of classifying prognostic comorbidity in longitudinal studies. Development and validation. J Chronic Dis 1987;40(8):373-83.
XI. Elixhauser A, Steiner C, Harris DR, Coffey RM. Comorbidity measures for use with administrative data. Med Care 1998;36(8):8-27.
XII. England BR, Sayles H, Mikuls TR, Johnson DS, Michaud K. Validation of the rheumatic disease comorbidity index. Arthritis Care Res 2015;67(6):865-72.
XIII. Michaud K, Wolfe F. Comorbidities in rheumatoid arthritis. Best Pract Res Clin Rheumatol 2007;21(5):885-906.
XIV. Stouten V, Pazmino S, Verschueren P, Mamouris P, Westhovens R, de Vlam K, et al. RMD Open 2021;7(2):e001671.
XV. Coates LC, Kavanaugh A, Mease PJ, Soriano ER, AcostaFelquer L, Armstrong AW, et al. Group for Research and Assessment of Psoriasis and Psoriatic Arthritis 2015 Treatment Recommendations for Psoriatic Arthritis. Arthritis Rheumatol 2016;68(5):1060-71.
XVI. Taylor W, Gladman D, Helliwell P, Marchesoni A, Mease P, Mielants H. Classification criteria for psoriatic arthritis: development of new criteria from a large international study. Arthritis Rheum 2006;54(8):2665-73.
XVII. Heuft-Dorenbosch L, Spoorenberg A, van Tubergen A, Landewé, Tempel H. Assessment of enthesitis in ankylosing spondylitis. Annals of the Rheumatic Diseases. 2003;62(5):127-32.
XVIII. Wallace AB. The exposure treatment of burns. Lancet 1951;3(4):501-4.
XIX. Sobolewski P, Walecka I, Dopytalska K. Nail involvement in psoriatic arthritis. Reumatol 2017; 55(3):131-5.
XX. Klassen KM, van de Kerkhof PC, Bastiaens MT, Plusjé LG, Baran RL, Pasch MCJ. Scoring nail psoriasis. Am Acad Dermatol 2014;70(6):1061-6.
XXI. Esteve J, Batlle E, Reig A. Spanish version of the Health Assessment Questionnaire: reliability, validity and transcultural equivalency. Grupo para la adaptación del HAQ a la población española. J Rheumatol 1993;20(12):2116-22.
XXII. Citera G, Arriola MS, Maldonado-Cocco J, Rosemffet M, Sánchez M, Goñi M, et al. Validation and crosscultural adaptation of an Argentine spanish version of the health assessment questionnaire disability index. J Clin Rheumatol 2004;10(3):110-5.
XXIII. McKenna SP, Doward LC, Whalley D, Tennant A, Emery P, Veale P. Development of the PsAQoL: a quality of life instrument specific to psoriatic arthritis. Annals of the Rheumatic Diseases 2004;63(2):162-69.
XXIV. Finlay A, Khan G. Dermatology Life Quality Index (DLQI): a simple practical measure for routine clinical use. Clin Exp Dermatol 1994; 19(3):210-16.
XXV. Schoels M, Aletaha D, Funovits J, Kavanaugh A, Baker D, Smolen J. Application of the DAREA/DAPSA score for assessment of disease activity in psoriatic arthritis. Ann Rheum Dis 2010;69(8):1441-7.
XXVI. Coronel-Ale AL, Schneeberger EE, Cerda OL, Zaffarana CF, MN, Landi M, et al. Disease Activity in Psoriatic Arthritis-ESR Index maybe a valid tool to evaluate disease activity in patients with psoriatic arthritis when CRP is not available. Arthritis Rheumatol 2017;69(10):2554.
XXVII. Coates L, Helliwell P. Validation of minimal disease activity criteria for psoriatic arthritis using interventional trial data. Arthritis Care Res 2010;62(7):965-9.
XXVIII. Iannone F, Salaffi F, Fornaro M, Di Carlo M, Gentileschi S, Cantarini L, Lopalco G. Influence of baseline modified Rheumatic Disease Comorbidity Index (mRDCI) on drug survival and effectiveness of biological treatment in patients affected with Rheumatoid arthritis, Spondyloarthritis and Psoriatic arthritis in real-world settings. Eur J Clin Invest 2018;48(11):e13013.
XXIX. Batko B, Urbański K, Świerkot J, Wiland P, Raciborski F, Jędrzejewski M, et al. Comorbidity burden and clinical characteristics of patients with difficult-to-control rheumatoid arthritis. Clin Rheumatol 2019;38(9):2473-81.
XXX. Bavière W, Deprez X, Houvenagel E, Philippe P, Deken V, Flipo RM, et al. Association between comorbidities and quality of life in psoriatic arthritis. Results from a multicentric cross-sectional Study. J Rheumatol 2020;47(3):369-76.
XXXI. Bhole VM, Choi HK, Burns LC, Vera Kellet C, Lacaille DV, Gladman DD, et al. Differences in body mass index among individuals with PsA, psoriasis, RA and the general population. Rheumatology (Oxford) 2012;51(3):552-6.
XXXII. Spaetgens B, Wijnands JM, van Durme C, Boonen A. Content and construct validity of the Rheumatic Diseases Comorbidity Index in patients with gout. Rheumatology (Oxford) 2015 Sep;54(9):1659-63.
XXXIII. Ogdie A, Yu Y, Haynes K, Love TJ, Maliha S, Jiang Y, et al. Risk of major cardiovascular events in patients with psoriatic arthritis, psoriasis and rheumatoid arthritis: a population-based cohort study. Ann Rheum Dis 2015;74(2):326-32.
XXXIV. Gossec L, Baraliakos X, Kerschbaumer A, de Wit M, McInnes I, Dougados M, et al. EULAR recommendations for the management of psoriatic arthritis with pharmacological therapies: 2019 update. Ann Rheum Dis 2020;79(6):700-12.
XXXV. Li L, Hagberg KW, Peng M, Shah K, Paris M, Jick S. Rates of cardiovascular dsease and major adverse cardiovascular events in patients with psoriatic arthritis compared to patients without psoriatic arthritis. J Clin Rheumatol 2015;21(8):405-10.
Información adicional
Conflictos de interés: los autores declaran que no presentan conflictos de interés.
Edita: Sello Editorial Lugones, Ciudad Autónoma de Buenos Aires, Argentina.