Articles
Saving Tendency of Developed and Developing European Countries
Saving Tendency of Developed and Developing European Countries
Ekonomika, vol. 100, núm. 1, pp. 139-155, 2021
Vilniaus Universitetas

Recepción: 22 Noviembre 2020
Revisado: 25 Marzo 2021
Aprobación: 09 Abril 2021
Abstract: In previous literature studies, saving condition is mainly examined focusing on Developing and Asian countries. The analysis on the saving condition is crucial due to the linkages between saving accumulation and economic growth. The studies that focus on Developed countries are limited. This study extends the analysis by comparing the saving determination in Developed and Developing European countries and contributes to the literature on saving in two ways. First, the study compares two panel groups, Developed and Developing European countries, which might reveal how economic development could affect the saving behavior. Second, the study considers the cross-section dependency effect in the panel data analysis by applying the testing (second-generation panel unit-root and cointegration tests) and the estimation approaches (Augmented Mean Group, AMG estimator). The study demonstrates that the disregard of the cross-section dependency effect might generate lead to misleading results. Four determinants of savings are examined (GDP per capita, age dependency ratio on working group, inflation and government expenditure). Our results reveal the existence of cointegration and cross-section dependency in the saving relationship in both panel groups. By comparing the results across panel groups, it is observed that government expenditure contributes to lower saving in both groups of countries with larger impact in the Developed European countries. On the other hand, GDP contributes to higher saving in both groups of countries. Inflation also leads to higher saving in the Developed group rather than in the Developing group. Age dependency ratio is not influential in the Developed group, however, it might trigger lower saving in the Developing group.
Keywords: saving, economic growth, European countries, cross-section dependency, panel data.
Introduction
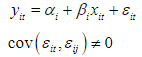
Saving is a macro indicator that may reflect the health and stability of an economy. The saving condition and tendency may signal the change of economic structure due to the linkages between accumulated saving and economic activities / indicators. Therefore, the change in the saving behavior may influence the economic performance and stability as a whole.
Saving is highly related to investment. Theoretically, when an economy achieves its equilibrium, both saving and investment should equal each other. According to Harrod and Domar (1946), savings and investments are two main variables determining the equilibrium of an economy, and other variables could be regulated according to saving tendency. Economic imbalance occurs when the planned savings are unequal to the planned investments. If the investments equal to the warranted rate of growth, an economy becomes stable (Harrod, 1939). On the other hand, Solow proposed saving and in- vestment as the determinants of economic growth. According to Solow’s growth model, higher saving and investment can increase the rate of growth of the national income and product. However, in the long run, increases of saving and investment have no effect on economic growth (Solow, 1956). Economic growth leads to the increase in income growth, and then the accumulation of saving promotes future economic growth by the way of capital accumulation and investments. Therefore, examining the determinants of saving is a substantial issue for the policy makers to maintain the balanced economic growth. Apart from the linkages among economic variables, saving may also reflect the behavior of household and the structure of the population. According to Modigliani (1970)’s life cycle hypothesis, private saving behavior mostly depends on the age struc- ture of the population. Working individuals generally tend to save for their retirement. If the share of working age population is considerable, it can be said that private sav- ings are also high. Additionally, income growth affects aggregate private saving. Income growth encourages individuals to save more to maintain their consumption level in the retirement period. Modigliani (1993) revised the life cycle hypothesis by investigating the role of government deficits. Apart from the private saving surveys, domestic savings is also examined in several studies. Common ground of these studies on examining the savings is the use of both demographic and macroeconomic variables.
While theoretical models have recognized saving as the main factor influencing the economic condition, numerous empirical studies have been conducted focusing on saving for decades. Most of these studies mainly focused on Asian and Developing coun- tries (Husain, 1995; Faruqee and Husain, 1998; Loayza et al., 2000; Qin, 2003; Ozcan et al., 2003;Schultz, 2005;Dobrinsky, 2005; Bhandari et al., 2007;Ferruci and Miralles, 2007; Jongwanich, 2010; Hess, 2010;Horioka and Hagiwara, 2011; Das and Ray, 2012; Thanoon and Baharumshah, 2012; Swasdpeera and Pandey, 2012; Ismail and Rashid, 2013; Chamon et al., 2013; Aric, 2015;Pan, 2016; Khan et al., 2018). However, there has been a small number of studies (Jappelli and Pagano, 1997; Harris et al., 2002; Cohn and Kolluri, 2003;Hondroyiannis, 2006;Kandil, 2015) investigating the determinants of saving in Developed countries. Most of these studies examine the determinants of saving at the country group level by using first generation panel unit root and cointegration analysis (Carroll and Weil, 1994;Edwards, 1995;Callen and Thimann, 1997;Sarantis and Stewart, 2001;Hondroyiannis, 2006; Kolasa and Liberda, 2015).
However, these studies are constrained by some limitations. To point a few, the results obtained are quite different, the majority of studies only focused on certain groups of samples / regions, and less accurate conventional estimation techniques were being applied. Differences in the results might be due to various reasons. The results might differ due to dissimilar time / period, different sample countries and even unlike methodology applied. The application of conventional techniques might lead to less accurate estimates. For instance, most studies mainly applied the linear regression. If the true relationship is nonlinear, the linear modelling approach may lead to biased results. In terms of panel data analysis, previous studies did not consider the cross-section effect in modelling the relationship. The panel data approaches applied include first generation panel unit-root and panel cointegration tests. These first-generation tests fell behind the second generation tests as they did not consider the cross-section effect, while the second generation tests did. Disregard of such effect might also lead to different results and conclusions.
In seeking to fill in the gaps and limitations from previous studies, this study performs both tests and estimation approaches. It differs from analogous literature by using second generation panel unit root and cointegration tests which are convenient for cross-sectional dependency condition. First generation panel unit root and cointegration analysis are in- sufficient and could refer to significant size distortions if the cross-section dependence is neglected (Baltagi and Pesaran, 2007). In this respect, we investigate the cross-section dependency to avoid the size distortions problem. The second goal of this study is to con- tribute the literature by examining the cointegration and causality on the determinants of saving in both Developed and Developing European countries. The reason is to examine whether the level of economic development might lead to different results.
In this study, 14 Developed European countries (France, Germany, the Netherlands, the UK, Denmark, Sweden, Norway, Belgium, Finland, Austria, Switzerland, Luxembourg, Italy, Spain) and 12 Developing European countries (Bulgaria, Estonia, Greece, Hungary, Latvia, Lithuania, Malta, Poland, Portugal, Romania, Slovakia and Slovenia) were analysed. The selection of the Developed and Developing countries is based on the classification of International Monetary Fund (IMF) as discussed by Nielsen (2011). The variables covered by the analysis include gross domestic saving, GDP per capita growth, age dependency ratio, inflation and government expenditure, respectively. Panel cointegration and panel causality test are implemented in the analysis process. The data for the Developed European countries are taken from 1971 to 2018, while the data for the Developing European countries come from 1996 to 2018.
This study consists of four sections. The first section reviews the literature on saving. The second section specifies the data and methodology applied in the analysis process. The third section discusses the analysis results, and the fourth section concludes the findings of the study.
Literature Review
The literature on saving is mainly focused on Asian and Developing countries. This might be due to the important role of saving in studying economic growth for the Developing countries. Thereby, the influence of saving is notable for both Emerging and Developing economies. However, the literature presents limited studies conducted in Developed countries. In this study, we examine the saving condition for the Developed and Developing European countries.
Previous empirical studies can be classified into two main groups. The first group focused on the saving-output growth causality, while the second group examined the determinants of saving. In the first group analysis, numerous studies revealed a significant relationship between income growth and saving, mainly a positive impact from in- come to saving. Carroll and Weil (1994) examined the causality between income growth and saving in the context of Modigliani’s (1970) life-cycle model. Two country group samples were examined for the period of 1958-1987. One group consists of 64 countries, while the other covers 22 countries. Unidirectional causality from growth to saving was found. The results revealed a saving tendency among young households, with those who expect faster income growth is bigger than those who expect slower income growth. Callen and Thimann (1997) analyzed the determinants of household saving for the 21 OECD countries from 1975 to 1995. They found that old age dependency ratio, taxes and net government transfers to the household sector have negative effects on savings. Two different results were obtained for the effect of income growth on savings. Income growth affects savings negatively in rich countries. However, the effect is positive in lower income countries. In addition, inflation and real interest rate have no significant effect on savings. Edwards (1995) investigated a comprehensive comparative analysis on saving in Developed and Developing countries from 1970 to 1992. He concluded that per capita growth is determinant on private and public savings. Governmental social security systems adversely affect private savings. Countries with higher political instability experienced lower public savings. The decrease in the current account balance is related with lower domestic saving rates.
In the second group of analysis on determinants of saving, the variables can be either population factor / consumer behavior or other macroeconomic variables. The results re- vealed quite different factors and relationship with saving across the groups of countries. In terms of macro determinants, Hondroyiannis (2006) investigated the determinants of aggregate private saving for 13 European countries in 1961-1998. He concluded that the explanatory variables are sensitive to the long run saving function which are: de- pendency ratio, old dependency ratio, liquidity, public finances, real disposable income growth, real interest rate, and inflation, respectively. Paul (2004) analyzed the determinants of saving in the US, Canada, the UK and Japan by using time series analysis in 1974-1999. According to the analysis results, borrowing constraints (credit to GDP and M2 to GDP) have negative effects in all countries. Current account has negative and significant effects on saving in the US and the UK. Real interest rate has a positive impact on saving in Canada and the UK. The age dependency variable is significant only in the US, and it affects saving negatively. Inflation variable is significant only in Canada and effects on saving negatively. The real effective exchange rate shows positive effects in the economies of Canada and Japan, while the effect is negative in the UK and the US.
Financial development is another determinant of private savings. Kolasa and Liberda (2015) compared the determinants of private and household saving rates in Poland and OECD countries. They found that income, interest rate, government saving, and corporate saving are substantial variables on private and household saving. In particular, when comparing the results of Poland and OECD countries, government saving and corporate saving have larger effects on saving rates in Poland against other OECD countries.
In terms of demographic factor, Sarantis and Stewart (2001) focused on the determinants of private saving for 20 Developed OECD countries from 1955 to 1994. Demo- graphic conditions are held with the variables of dependency ratios and retirement ratios. Other explanatory variables are income growth rate, government surplus / deficit to GDP and liquidity constraint. Demographic variables and credit constraint affect savings negatively. Government surplus shows a significant effect in 15 countries with the negative indication on saving shown in 12 countries. Income growth is significant in 12 countries, and the effect on saving is positive.
In terms of approaches applied, a number of studies adopted panel regression analysis (Carroll and Weil 1994;Edwards, 1995;Callen and Thimann, 1997). Other studies mainly used FMOLS (Hondroyiannis, 2006), DOLS and DGLS (Sarantis and Stewart, 2001), OLS and GMM (Kolasa and Liberda, 2015) estimators. DOLS and FMOLS estimators provide large flexibility in the existence of heterogeneity in the examined co-integrated vectors (Pedroni, 2001). In addition, these studies neglected the cross-sectional dependency. Sarantis and Stewart (2001) preferred Maddala and Wu’s (1999) unit root test to get smaller size distortions and varying time dimensions for each cross-section units. We consider the cross-sectional dependency to avoid size distortion problem in the analysis process. Additionally, Augmented Mean Group (AMG) estimator is used to consider the cross-section dependence by inclusion of a common dynamic effect in a country regression.
In terms of data, a wide range of them was used to proxy for saving: the use of private saving (Sarantis and Stewart, 2001; Paul, 2004; Hondroyiannis, 2006), private and public saving (Edwards, 1995), household saving (Callen and Thimann, 1997), private and household saving (Kolasa and Liberda, 2015) were included. This study examines the saving in the respect of domestic saving. The domestic saving includes both household, individual and public savings. These studies mainly used GDP per capita growth, de- pendency ratio, real interest rate, inflation and liquidity constraint as explanatory variables. We also used similar explanatory variables; characteristic to other studies, government expenditure variable is added to perceive the effect of government side on savings.
Data and Methodology
The data were obtained from the World Bank database and the World Development Indicators. Gross domestic saving (SAVE) was used as a dependent variable. The explanatory variables consist of GDP per capita growth (GDPP), age dependency ratio as a percentage of working age population (AGEDP), inflation (GDP deflator) (INF), general government final consumption expenditure as a percentage of GDP (GOV). All these variables were collected for 14 Developed European countries (France, Germany, the Netherlands, the UK, Denmark, Sweden, Norway, Belgium, Finland, Austria, Switzer- land, Luxembourg, Italy, Spain) and 12 Developing European countries (Bulgaria, Estonia, Greece, Hungary, Latvia, Lithuania, Malta, Poland, Portugal, Romania, Slovakia and Slovenia).
The effects of explanatory variables on the dependent variable could refer to the previous literature findings. In the life cycle hypothesis, it is asserted that if aggregate income increases over a period of time, saving rates will increase (Modigliani, 1966). The age dependency ratio is defined as the ratio of dependent people, who are under 15 or over 64, on the working population aged 15-64. There are different conclusions in the literature on saving about the effects of age dependency on saving. Some of them found evidence that age dependency affects saving negatively (Loayza et al., 2000;Kibet et al., 2009;Das and Ray; 2012). However, others came to the conclusion that age dependency affects saving positively (Agenor and Aizenman, 2004;Aric, 2015). Kelley and Schmidt (1996) argued that children entering market economy gain non-market income. Moreover, a number of children, who encourage parents to work more, increases. All these conditions lead to the positive effect of age dependency on saving. However, since we focus on the European countries, arguments of Kelly and Schmidt (1996) could be invalid in this study.
Inflation rates may affect saving in different ways. Uncertainty conditions occur when inflation rates increase, and such a situation leads to the decrease of saving rates. How- ever, higher inflation leads to higher nominal interest rates and, therefore, household income and saving could be increased (Masson et al., 1998). Public expenditures may affect private saving by the crowding-out effect or by the effect on expectation of future income availability (Bhandari et al., 2007). According to Ricardo equivalence, private sector’s savings tend to increase when public sector’s savings decrease (Barro, 1974).
Balanced panel data set is used in the panel data analysis. Balanced panel data implies that no data were missing. For Developed European countries, the panel dataset includes 14 horizontal section units. . symbolizes country and . symbolizes time; i=1, 2, 3,...,14 (14 countries) and t=1971-2018 (48 years). The total number of observations in the data set (i×t = 672) is 672. For Developing European countries, panel dataset includes 12 horizontal section units. i symbolizes country and t symbolizes time; i=1, 2, 3,...,12 (12 countries) and t=1996-2018 (23 years). The total number of observations in the data set (i×t = 276) is 276. Firstly, the cross-section dependency is used. This test is important to determine the further analysis process. Thereafter, unit root tests, cointegration test and causality test were applied, respectively.
Since we examine the Developed and Developing European countries, the basic regression models that we aim to estimate can be expressed as follows:

Cross-Sectional Dependency Test
It is important to take into account the effect of cross-section dependence to obtain sound estimation results. Cross-sectional dependency exists when individuals of the panels are correlated by the error terms in the panel data model. If the individuals are included in the panel and they get affected by a shock, other individuals will be affected by this shock as well. The testing on dependency is based on Equation (2). The null hypothesis assumes that there is no cross-sectional dependency.

The LM test statistics;

In Equation (3)
, asserts the sample estimate of the pair-wise correlation of the residuals from individual ordinary least squares (OLS) estimation for each ith observation. Pesaran (2004) proposed on a new LM test statistics for the size distortions cases, where N is large and T is small. LM statistics modified as T→∞ and N→∞;

In this study, the cross-sectional dependency is tested by using Breusch-Pagan (1980) CDLM1 and Pesaran (2004) CDLM1 tests for cases where T>N. CDLM test also could be used if N>T.
Cross-Sectional Augmented Dickey-Fuller (CADF) Unit Root Test
Pesaran (2007) modified the ADF test by adding cross-section averages of lagged levels and the first differenced of the individual series in the unit-root equation. Such modified ADF regression, which includes the cross-sectional effect, is called as CADF (see Equation (5)):

where it ȳit is the average of y of N observations. αi is a constant, Δ is the differenced operator and ȳit-1− is the value of one term delay of it ȳit , respectively. The null hypothesis of CADF test is:
H0 β1 β2 β3 (series contain unit root)
The rejection of the null hypothesis indicates the stationary nature of the series.
Panel Co-integration Tests
Westerlund (2005) introduced a co-integration test which assumes that the cross-sectional dependency can be approximated by means of common time effects. This method is very effective against general cross-sectional correlation structures in the test. Westerlund test is based on the stationary nature of the error term in the following regression:

where t=1,…,T and i=1,…,N are the time series and cross-sectional dimensions, respectively. In Equation (7), dt. is a vector of deterministic components and it includes a constant and a linear time trend. βi. are slope parameters, and is xit a vector of integrated regressors. Non–co-integration hypothesis is based on Equation (7). The residual series êit is stationary when yit and xit are co-integrated. However, if there is a unit root, they are not co-integrated. Therefore, testing the null hypothesis of non–co-integration for cross-sectional unit number i is equivalent to testing whether êit possesses a unit root by using the following autoregression:

The rejection of the null hypothesis implies the existence of co-integrating relationship.
Panel cross-sectional regression:
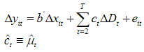
Augmented Mean Group (AMG) Estimator
AMG estimator method considers the cross-section dependence by inclusion of a common dynamic effect in the country regression. This model ensured the unobserved common factors form part of the country-specific co-integrating relation, the augmented country regression model comprise the co-integrating relationship which is released to differ across countries (Eberhardt and Bond, 2009).
Stage I
Stage II
Stage 1 indicates a standard FD-OLS regression with T-1 year dummies μt. in first differences. In Stage 2, this variable is contained in each of the N standard country regressions which additionally include linear trend terms to capture omitted idiosyncratic processes (Eberhardt and Bond, 2009). In Equation 9, ai. is the mean intercept of the panel group, bi is the coefficient estimates for each explanatory variable (x); ci is the coefficient of the linear trend and di refers to the common dynamic effect. This parameter represents the evolvement of unobserved common factors across all countries.
Panel Causality Test
Canning and Pedroni’s (2008) causality test is applied to determine the direction of the long-run causality among saving, income, age dependency, inflation and government expenditure. This methodology is preferred over the standard pooled approach to dynamic error correction modelling (ECM). It tolerates high degree of heterogeneity in long-run causality tests.
Canning and Pedroni’s (2008) causality test contains two panel-based statistical procedures. Group-mean procedure is based on the average of the individual countries’ t-tests. This procedure has a standard normal distribution under the null hypothesis of no long run causal effect for the panel. Other procedure is Lambda-Pearson’s procedure based on the p-values related with the individual countries’ .-tests. This procedure has a chi-square distribution under the null hypothesis of no long run casual effect for the panel.
Analysis Results
In this section, we discuss the results using different testing approaches observed above, while taking into account the cross-sectional effect. Prior to the estimation, the cross-section dependency tests are performed to examine the existence of the cross-section effect, while the panel unit-root and panel co-integration tests are performed to test for the stationarity and existence of the long-run relationship. The disclosure of the cross-section dependency effect, stationarity and the existence of co-integration will validate the application of Augmented Mean Group (AMG) estimator. Finally, the results of AMG estimator are compared with the causality tests.

Notes: In model
lag length was considered as (pi). The values indicated in parentheses are p-values
The results of the cross-sectional dependency test show that there is a cross-sectional dependency between variables for Developed and Developing European country groups (see Table 1). In this context, the cross-section effect should be considered in testing for unit-root and co-integration. Therefore, the second-generation tests which take into account the cross-sectional effect are applied; these are Cross-Sectionally Augmented Dickey-Fuller (CADF) unit root test and the Westerlund panel co-integration test.

Notes: Maximum lag length is considered as 4 and determined according to Schwarz Information Criteria. Panel statistics critical values for constant model; -2.57 (%1), -2.33 (%5) and -2.21 (%10) (Pesaran 2007, Table II(b), p:280); for constant and trend model -3.10 (%1), -2.86 (%5) and -2.73 (%10) (Pesaran 2007, Table II(c), p:281). Panel statistics are average of CADF statistics. The figures which are ** and *** show 5% and 1% levels, respectively
Table 2 shows that all variables are significant under the panel unit-root test. The significance of the test statistics indicate that the null hypothesis of panel unit-root is rejected. Hence, we came to the conclusion that all variables of Developed and Developing Europe countries are stationary (no unit-root). However, CIPS statistics values of Developing Europe contain unit root for GDPP and AGEDP when trend and constant term are included, however both variables are stationary under the constant term alone.

Table 3 summarizes the results of Westerlund panel cointegration test. In order to re- veal the existence of panel co-integration, the null hypothesis of no co-integration among variables should be rejected. The results showed that (SAVE, GDPP, AGEDP, INF and GOV) are cointegrated for both Developed and Developing Europe groups.
After the verification of the existence of co-integration in our basic regression model, the long-run relationship in the model given in Equation (1) is estimated by the AMG panel co-integration estimator introduced by Eberhardt and Bond (2009).

The results of estimation in Table 4 reveal that the saving behavior in both Developed and Developing Europe countries is different. In other words, there are different factors that may influence the gross saving in both groups of countries. It was observed that, among the four variables examined, GDPP, INF and GOV, except for AGEDP, have significant impact on saving in Developed European countries, but, in Developing European countries, all three significant determinants are GDPP, AGEDP and GOV, except for INF. By comparing the results of both panel groups, one similarity is found, where the main determinant to saving is government expenditure or GOV. The increase of GOV stimulates higher consumption of public, hence, lower saving. The impact of GOV is much larger in Developed Europe, implying more influential fiscal policy in this group of countries. In addition, in all country groups, the increasing of GDPP leads to the rising of saving. The income growth may cause saving to maintain current consumption level during the retirement period, while higher income growth leads to the increase of saving tendency in both Developed and Developing European countries. On the other hand, saving in Developed Europe is sensitive to inflation, i.e., higher inflation encourages more saving; however, no significant relationship is observed in Developing Europe. The impact of AGEDP is significant and negative only in the Developing European country group. When the age dependency ratio increases, it leads to the decrease of income re- served to save in Developing European countries.
Next, Table 5 summarizes the causality results of variables for 14 Developed European countries. The results indicate that the causality relationship is unidirectional from GDPP to SAVE for France, the UK, Sweden, Belgium, Finland, Austria and Spain. However, the causality between SAVE and GDPP is bidirectional for Norway. The causality between AGEDP and SAVE is bidirectional for France and Denmark, and unidirectional for the UK, Sweden, Norway, Belgium, Finland, Austria, Switzerland and Spain. The unidirectional causality from SAVE to AGEDP holds for Germany and Italy. On the other hand, the causality from INF to SAVE unidirectional for Germany, the UK, Denmark, Sweden, Belgium, Switzerland and Spain, and unidirectional causality from SAVE to INF is valid only for France. Causality from GOV to SAVE bidirectional for the Netherlands, Norway, Belgium and Spain, unidirectional causality valid for the UK, Finland and Austria.

***,**, and * indicate levels of significance at 1%, 5% and 10%, respectively

***,**, and * indicate levels of significance at 1%, 5% and 10%, respectively
Table 6 shows the causality results of variables for 12 Developing European countries. The results reveal that the causality from GDPP to SAVE is unidirectional for Bulgaria, Estonia, Greece, Latvia, Lithuania, Poland, Slovakia and Slovenia. The causality between SAVE and GDPP is bidirectional only for Portugal. The causality from AGEDP to SAVE is unidirectional for Bulgaria, Greece, Hungary, Latvia, Lithuania, Poland, Romania, Slovakia and Slovenia. However, there is no causality from SAVE to AGEDP. The causality from INF to SAVE is unidirectional for Bulgaria, Greece, Hungary, Latvia, Lithuania, Poland, Portugal, Romania, Slovakia and Slovenia. Besides, the causality from INF to SAVE is unidirectional only for Malta. The causality from GOV to SAVE is unidirectional for Bulgaria, Greece, Hungary, Lithuania, Poland, Slovakia and Slovenia. Finally, the causality from SAVE to GOV is unidirectional for Latvia and bidirectional for Portugal.
By summing up the results of the causality from Tables 5 and 6, we observe that mainly the causality impacts of explanatory factors (GDPP, AGEP, INF and GOV) on saving (SAVE) are unidirectional and the causality from saving to these variables is either not significant or is only observed in a few countries. The causality impact of saving might be indirect on these variables; however, saving might have a more direct impact on consumption and investment behavior.
Conclusion
This study examines the determinants of saving by applying both panel testing (unit- root, co-integration and causality tests) and estimation (AMG estimator) approaches. It is aimed to compare the saving behavior in two groups of European countries, namely, 14 Developed and 12 Developing European countries. The study contributes to the literature on saving in filling in the lack / limitation from the previous studies that did not consider the cross-sectional dependency of panel data analysis. Besides, this study also performed comparisons on saving on two different development levels, i.e.,Developed versus Developing European countries. Our results reveal the existence of cross-section dependency among countries, hence, validate the application of cross-section dependency feature in the testing approach of the second-generation panel unit-root and cointegration test, as well as the panel AMG estimator. Our testing approaches verify the stationarity of variables and the existence of long-run relationship in the saving equation. On the other hand, the results from the AMG estimation approach signified the government expenditure (GOV) as the main factor contributing to saving behavior in both panel groups, with Developed countries showing a larger negative impact than Developing countries. The increase of GOV has effectively stimulated consumption and investment, hence, lower saving. The age dependency ratio based on working age (AGEDP) also contributed to the fall in saving in both panel groups, where families with more dependent members tend to spend more with lower saving. This effect is slightly significant in the Developing group, however, not significant in the Developed group. On the other hand, both GDP per capita and inflation stimulate higher saving in the Developed group, how- ever, inflation is insignificant in the Developing group. The income growth may cause saving to maintain the current consumption level in the retirement period, while higher income growth leads to the increase of saving tendency in both Developed and Developing European countries. The Panel causality test revealed evidence of unidirectional causality from income growth, age dependency, inflation and government expenditure to saving in the majority of countries; however, the causality from saving to these variables is either absent, or is only observed in a few countries. Hence, the causality from saving on these variables might be not direct.
Since the government expenditure / fiscal policy and GDP are influential on saving, it is crucial for the authorities to revise and ensure the fiscal policy to be mapping / in line with the economic plan to form the saving pattern / tendency in fostering economic growth.
References
Agenor, P. R., Aizenman, J. (2004). Savings and the terms of trade under borrowing constraints. Journal of International Economics, Vol. 63, issue 2, p.321–340, https://doi.org/10.1016/S0022-1996(03)00069-2
Arıç, K. H. (2015). Determinants of savings in the APEC countries, Theoretical and Applied Economics, Vol. XXII, issue 2(603), p. 113–122.
Baltagi B. H., Pesaran M. H. (2007). Heterogeneity and cross section dependence in panel data models: Theory and applications. Journal of Applied Econometrics, Vol. 22, p. 229–232.
Barro, Robert J. (1974). Are government bonds net wealth? Journal of Political Economy, Vol. 82, issue 6, p. 1095–1118.
Bhandari, R. D. D., Pradhan, G., Upadhyaya, K.P. (2007). Determinants of private saving in South Asia. South Asia Economic Journal, Vol. 8, issue 2, p. 205–217.
Breusch, T. S., Pagan A. R. (1980). The langrange multiplier test and its applications to model specification in econometrics, The Review of Economic Studies, Vol. 47, issue 1, p. 239–253.
Callen, T., Thimann, C. (1997). Empirical determinants of household saving: Evidence from OECD countries, IMF WP/97/181, p. 1–26.
Canning D., Pedroni, P. (2008). Infrastructure, long-run economic growth and causality tests for cointegrated panels. The Manchester School, Vol. 76, issue, 5, p. 504–527.
Carroll, C. D., Weil, D. N. (1994). Saving and growth: A reinterpretation, Carnegie-Rochester Conference Series on Public Policy, Vol. 40, p. 133–192.
Cohn, A. R., Kolluri, B. R. (2003). Determinants of household saving in the G-7 Countries: Recent evidence. Applied Economics, Vol. 35, p. 1199–1208.
Das, S., Ray, P. (2012). Does developing Asia save more? Evidence from a panel of high saving nations in Asia. The IUP Journal of Applied Economics, p. 29–55.
Dobrinsky, R. (2005). Domestic savings and the driving forces of investment in the ECE emerging market. UN Economic Commission for Europe, Discussion Paper Series, No. 2005.2, p. 1–20.
Domar, E. D. (1946). Capital expansion, rate of growth and employment. Econometrica, Vol. 14 issue 2, p. 137–147.
Eberhardt, M., Bond, S. (2009). Cross-section dependence in nonstationary panel models: A novel estimator. MPRA Paper 17692. University Library of Munich, p. 1–26.
Edwards, S. (1995). Why are saving rates so different across countries? An international comparative analysis. NBER Working Paper Series, No. 5097, p. 1–48.
Faruquee, H., Husain, A. M. (1998). Saving trends in southeast Asia: a cross-country analysis, Asian Economic Journal, Vol. 12, issue 3, p. 195–217.
Ferrucci, G., Miralles, C. (2007). Saving behaviour and global imbalances: The role of emerging market economies, ECB Working Paper, No. 842, p. 1–45.
Harris, M. N., Loundes, J., Webster, E. (2002). Determinants of household saving in Australia. Economic Record, Vol. 78, issue 241, p. 207–223, https://doi.org/10.1111/1475-4932.00024
Harrod, R. F. (1939). An essay in dynamic theory. Economic Journal, Vol. 49, issue 193, p. 14-33.
Hess, P. (2010). Determinants of the Adjusted Net Saving Rate in Developing Economies. International Re- view of Applied Economics, Vol. 24, issue 5, p. 591–608, https://doi.org/10.1080/02692170903426070
Hondroyiannis, G. (2006). Private saving determinants in European countries a panel cointegration approach. The Social Science Journal, Vol. 43, issue 4 p. 553–569, https://doi.org/10.1016/j.soscij.2006.08.004
Horioka, C. Y., Hagiwara, A. T. (2011). The Determinants and Long-Term Projections of Saving Rates in Developing Asia. NBER Working Paper. 17581, p.1–35.
Hussain, A. M. (1996). Long run determinates of private saving behavior in Pakistan. The Pakistan Development Review, 34(4), p. 1057–1066.
Ismail, A., Rashid, K. (2013). Determinants of household saving: cointegrated evidence from Pakistan (1975- 2011). Economic Modeling, Vol. 32, p. 524–531, https://doi.org/10.1016/j.econmod.2013.02.004
Jappelli, T., Pagano M. (1997). The Determinants of Saving: Lessons from Italy, Inter-American Development Bank Office of the Chief Economist Research Network WP R-313, p. 1–32.
Jongwanich, J. (2009). The Determinants of Household and Private Savings in Thailand. Applied Economics, 42, issue 10, p. 965–976, https://doi.org/10.1080/00036840701721067
Kandil, M. (2015). Determinants of Lower Saving Rates in the USA: Prospects and Implications. International Journal of Finance & Economics, Vol. 20, issue. 4, p. 328–340, https://doi.org/10.1002/ijfe.1519
Kelley, A. C., Schmidt, R. M. (1996). Saving, Dependency and Development. Journal of Population Economics, Vol. 9, issue 4, p. 365–386.
Khan, M. I., Teng, J. Z., Nauman, M., Jadoon, A. U. (2017). Determinants of national saving evidence from South Asian countries. European Academic Research, Vol. V, issue. 8, p. 4158–4180.
Kibet, L. K., Muntai, B. K., Ouma, D. E., Ouma, S. A., Owour, G. (2009). Determinants of Household Saving: Case Study of Smallholder farmers, entrepreneurs and teachers in rural Kenya. Journal of Development and Agricultural Economics, Vol. 1, issue 7, p. 137–143.
Kolasa A., Liberda B. (2014). Determinants of Saving in Poland: Are They Different Than in Other OECD Countries? University of Warsaw Faculty of Economic Sciences WP No.13/2014(130), p. 1–27
Loayza, N., Schmidt-Hebbel, K., Serven, L. (2000). What drives private saving across the world. The Review of Economics and Statistics, Vol. LXXXII, No. 2, p. 165–181.
Chamon, M., Liu, K., Prasad, E.S. (2013). Income uncertainty and household savings in China. Journal of Development Economics, Vol. 105, p. 164–177, https://doi.org/10.1016/j.jdeveco.2013.07.014
Maddala, G. S., Wu, S. (1999). A Comparative Study of Unit Root Tests with Panel Data and a New Simple Test. Oxford Bulletin of Economics and Statistics, Vol. 61, issue 51, p. 631–652, https://doi.org/10.1111/1468-0084.0610s1631
Modigliani, F. (1966). The lifelife-cycle hypothesis of saving, the demand for wealth and the supply of capital. Social Research, Vol. 33, p. 160–217.
Modigliani, F. (1970). The life cycle hypothesis of saving and intercountry differences in the saving ratio. Elits, W.A. Scott, M.F. and Wolfe, J.N. (Ed.), Induction, Growth and Trade, Essays in Honor of Sir Roy Harrod. Clarendon Press, Oxford, p. 197–225.
Modigliani, F. (1993). Recent declines in saving rates: a life-cycle perspective. Baldassarri, M. Paganetto, L. and Phelps E.S. (Ed.), World Saving, Posperity and Growth, Palgrave Macmillan, p. 249–286
Nielsen, L. (2011). Classifications of Countries Based on Their Level of Development: How it is Done and How it Could be Done, IMF Working Paper, Strategy, Policy and Review Department, WP/11/31, p. 1-45.
Ozcan, K. M., Gunay, A., Ertac, S. (2003). Determinants of private savings behaviour in Turkey. Applied Economics, Vol. 35, issue 12, p. 1405–1416, https://doi.org/10.1080/0003684032000100373
Pan, Y. (2016). Understanding the Rural and Urban Household Saving Rise in China. Regional Science and Urban Economics, Vol. 56, p. 46–59, https://doi.org/10.1016/j.regsciurbeco.2015.10.002
Paul, Rodney J. (2007). A Time Series Approach to the Determination of Savings Rates. International Economic Journal, Vol. 18, issue 2, p. 147–159, https://doi.org/10.1080/1016873042000228303
Pedroni P. (2001). Purchasing Power Parity Tests in Cointegrated Panels. Review of Economics and Statistics, Vol. 83, issues. 4, p. 727–731.
Pesaran M. H. (2007). A simple panel unit root test in the presence of cross-section dependence. Journal of Applied Econometrics, Vol. 22, issue 2, p. 265–312, https://doi.org/10.1002/jae.951
Pesaran, M. Hashem; (2004). General Diagnostic Tests for Cross Section Dependence in Panels. University of Cambridge Working Paper, 0435.
Qin, D. (2003). Determinants of household savings in China and their role in quasi-money supply. Economics of Transition, Vol. 11, issue 3, p. 513–537, https://doi.org/10.1111/1468-0351.00161
Sarantis, N., Stewart, C. (2001). Saving Behaviour in OECD Countries: Evidence from Panel Cointegration Tests. The Manchester School, Vol. 69, issue 1, p. 22–41, https://doi.org/10.1111/1467-9957.69.s1.2
Schultz, T. P. (2005). Demographic Determinants of Savings: Estimating and Interpreting the Aggregate Association in Asia. IZA DP, No. 1479, p. 1–37.
Solow, R. (1956). A Contribution to the Theory of Economic Growth. Quarterly Journal of Economics, Vol. 70, issue.1, p. 65–94, https://doi.org/10.2307/1884513
Swasdpeera, P., Pandey, I. M. (2012). Determinants of Personal Saving: A Study of Salaried Individuals in Thailand. Afro-Asian J. of Finance and Accounting, Vol. 3, issue 1, p. 34–68, https://dx.doi.org/10.1504/AAJFA.2012.046347
Thanoon, M. A. M., Baharumshah, A. Z. (2012). Comparing Savings Behavior in Asia and Latin America: The Role of Capital Inflows and Economic Growth. The Journal of Developing Areas, Vol. 46, issue 1 p. 113–131.
Westerlund, J. (2007). New Simple Tests for Panel Cointegration, Econometric Reviews, Vol. 24, issue 3, p. 297–316, https://doi.org/10.1080/07474930500243019
Notes