Recepción: 02 Marzo 2015
Aprobación: 08 Febrero 2016
Resumen: Objetivo. Caracterizar filogenéticamente Ehrlichia canis a partir de perros naturalmente infectados y sus garrapatas, mediante PCR y secuenciación del gene 16SrRNA para compararlos con diferentes aislados encontrados en el continente Americano. Material y métodos. Se colectaron muestras sanguíneas de 139 perros con manifestaciones clínicas sugestivas a Ehrlichiosis, y que estuvieran infestados con garrapatas; una parte del gene 16SrRNA, fue secuenciada y alineada junto con las 17 secuencias reportadas en los países de América. Se construyeron dos árboles filogenéticos utilizando el método de Máxima verosimilitud compuesta, y Máxima parsimonia. Resultados. Fueron positivos a E. canis 25/139 (18.0%) perros y 29/139 (20.9%) garrapatas colectadas sobre los perros. Las manifestaciones clAínicas presentadas fueron fiebre, astenia, depresión y vómito. Las garrapatas Rhipicephalus sanguineus, Dermacentor variabilis y Haemaphysalis leporis-palustris fueron positivas para E. canis. El análisis filogenético mostró que las secuencias 16SrRNA de Ehrlichia canis aisladas de perros y garrapatas en este estudio forman un tercer grupo que diverge de las secuencias de Sudamérica y EUA. Conclusiones. Es el primer análisis filogenético de E. canis en México. Hay diferencias entre las secuencias de este estudio, con las reportadas en otros países de Sudamérica y en EUA. Esta investigación sienta las bases para profundizar en el estudio de la variabilidad genética.
Palabras clave: Ehrlichiosis, secuenciación, 16SrRNA, genética, etiología .
Abstract: Objective. Phylogenetic characterization of Ehrlichia canis in dogs naturally infected and ticks, diagnosed by PCR and sequencing of 16SrRNA gene; compare different isolates found in American countries. Materials and methods. Were collected Blood samples from 139 dogs with suggestive clinical manifestations of this disease and they were infested with ticks; part of 16SrRNA gene was sequenced and aligned, with 17 sequences reported in American countries. Two phylogenetic trees were constructed using the Maximum likelihood method, and Maximum parsimony. Results. They were positive to E. canis 25/139 (18.0%) dogs and 29/139 (20.9%) ticks. The clinical manifestations presented were fever, fatigue, depression and vomiting. Rhipicephalus sanguineus Dermacentor variabilis and Haemaphysalis leporis-palustris ticks were positive for E. canis. Phylogenetic analysis showed that the sequences of dogs and ticks in Mexico form a third group diverging of sequences from South America and USA. Conclusions. This is the first phylogenetic analysis of E. canis in Mexico. There are differences in the sequences of Mexico with those reported in South America and USA. This research lays the foundation for further study of genetic variability.
Keywords: Ehrlichiosis, sequencing, 16SrRNA, genetics, etiology .
INTRODUCTION
Ehrlichia canis is an obligate intracellular bacteria, the causative pathogen of Canine monocytic ehrlichiosis (CME), which is a potentially zoonotic vector-borne disease (1,2). The vector is Rhipicephalus sanguineus ticks. CME distribution is closely related to the distribution of the vector (3). The national seroprevalence of dogs in Mexico is 33% and 74.5% in the northwest of the country (4). The clinical symptoms commonly seen with this disease in infected dogs are fever, vomiting, arthralgia, rash, and diarrhea (5). Diagnosis is based on visualization of the morula in monocyte and enzymatic-immunoassay (4); however, as molecular tools 16SrRNA gene detection by PCR and sequencing have been successfully used for diagnosis (6,7). In Venezuela, E. canis was isolated from blood of an asymptomatic patient, and another study in infected dogs and ticks from the same region suggest that it is a zoonotic pathogen (2,8).
Because of the high seroprevalence of infection on dogs from Mexico, is necessary to determine the actual frequency using molecular methods, and knowing the genetic variability of E. canis in dogs and ticks reported from American countries. According to this, the aim of this study was to determine the frequency of Ehrlichia canis in dogs naturally infected, as well as infesting ticks it, comparing the sequences identified in Mexico with those published in GenBank from American countries, and perform phylogenetic analysis looking for the relation between isolates.
MATERIAL AND METHODS
Study areas and samples collection.The study was conducted in Northwestern of Mexico, state of Sinaloa. The study was approved by Comisión Nacional de Investigación (R-2013-069, México). Samples were collected from July 2010 to August 2011. In this study, dogs captured by the pound in three cities of North, Central and South, as well as dogs carried to any veterinary of Sinaloa were included. As well as owners of sick dogs, workers of veterinary and kennels to participate in the study, prior informed consent; 88 owners and kennel workers accepted and we collected their blood samples for finding infection (data not shown). 139 dogs with suggestive clinical manifestations were taken blood samples, and two ticks were collected from each dog.
Ticks were identified morphologically by entomologists, using dichotomous keys. DNA from 139 blood samples dogs of and ticks was extracted with QIAamp® DNA Blood kit (Qiagen, CA), and stored at -80 until the processing. For E. canis and Ehrlichia spp. detection, part of 16SrRNA gene was amplified with ECC-ECB and HE3-ECA primers, previously described (2,8) amplified an expected band 389pb; and sequencing was performed using 15F-842R primers, previously described amplifying the 16SrRNA gene, with an expected band of 800bp (9). In each reaction was included a positive and negative (distilled water) control.
Sequencing. Positive samples to Ehrlichia canis were purified by the kit protocol of QIAquick Gel Extration Minikit (Qiagen, CA). Sequences were analyzed with Chromas 233 program, and the search was conducted in GenBank database to determine the species and homology.
Phylogenetic analysis. 15-856 region of the 16SrRNA gene was sequenced and aligned individually with MUSCLE program. The phylogenetic trees were performed with the program MEGA v.5, using the Maximum Likelihood Composite (MLC) method, and Maximum Parsimony method, by assembling data from bootstrap in 1,000 repetitions. The Neighbor-Join algorithm was used to obtain the initial tree, with 10 replicas of the sequences (10,11).
RESULTS
Of 139 dogs, were obtained 41 positive dogs with clinical manifestations (Table 1). Ehrlichia spp. was found in 41/139 (27.52%) from dogs with clinical suspect, where E. canis was detected in 25/139 (18.0%). The tick R. sanguineus was the most prevalent (92.1%), and were identified Ixodes scapularis, H. leporis-palustris and D. variabilis ticks. Were positive to Ehrlichia spp. 32/139 (23.2%) ticks and 29/139 (20.86) ticks to E. canis (Table 2). The dogs risk to be infected with E. canis when ticks were positive was 8.24 OR (IC 3.2-21.9, 95%).


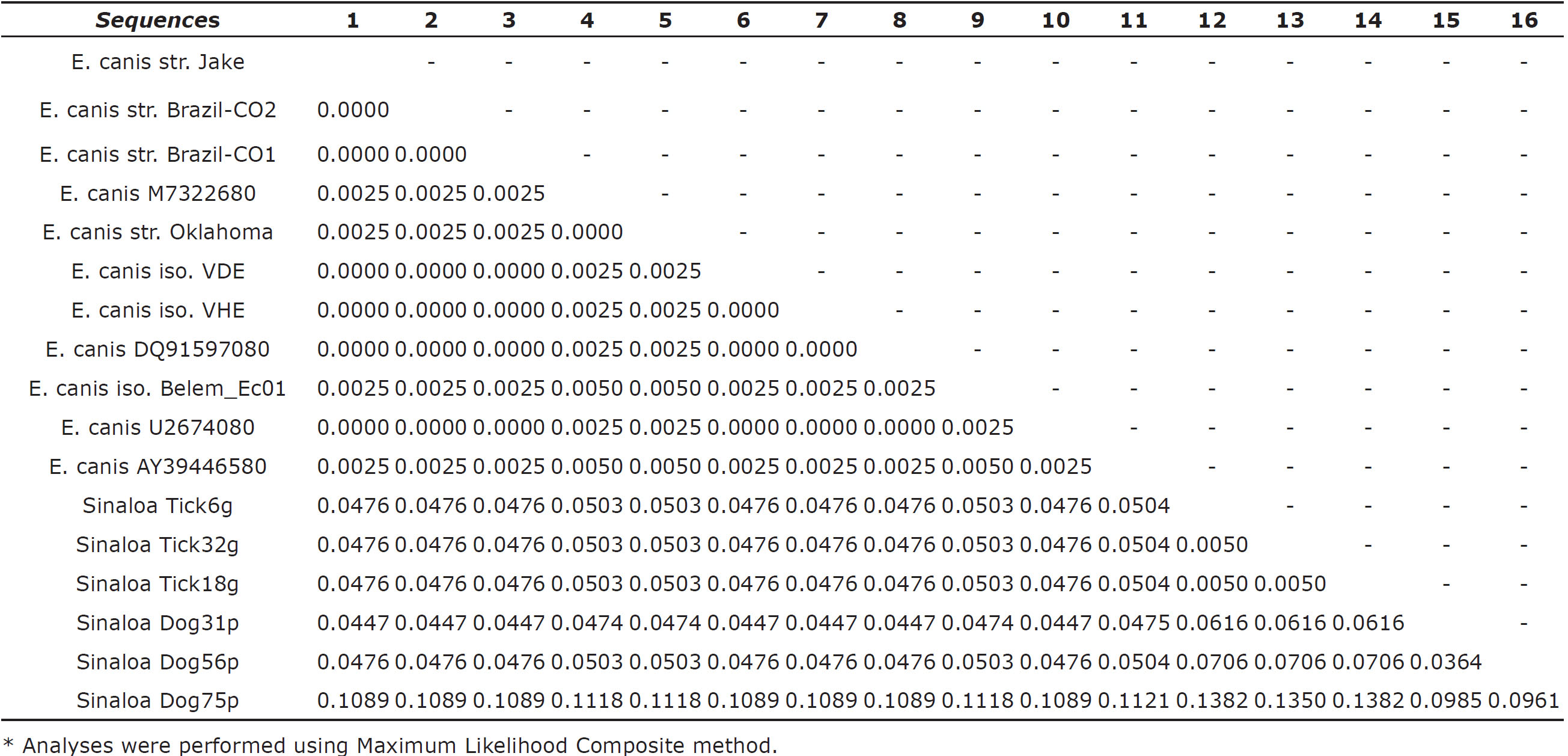
We sequenced six positive products for E. canis; three dog samples and three tick samples. The 16SrRNA gene amplified from dogs and ticks (GenBank No. KP844657-62) showed a 99.8% homology with Ehrlichia canis strain Jake, E. canis HEV, E. canis VDE and E. canis strain Brazil- COI sequences (Table 3).

Two trees were performed: the first with Maximum likelihood method (Figure 1), in which shows the tree with the highest log likelihood (-1074.2304); was constructed automatically, with the heuristic search by applying Neighbor-Join algorithm with a matrix of pairwise distances estimated, using MCL method; after selecting the topology with a value greater likelihood log. The tree was drawn to scale with branch lengths calculated using the average pathway method and are in the units of the number of changes over the whole sequence.

The second tree was constructed by Maximum Parsimony method (Figure 2). Tree number 1 out of 10 most parsimonious trees (length = 91) is showed. The consistency index is 0.967033 (0.936170), the retention index is 0.972973 (0.972973), and the composite index is 0.940897 (0.910868) for all sites and parsimony-informative sites. The Maximum parsimony tree was obtained using the Subtree-Pruning-Regrafting (SPR) algorithm with search level 0 in which the initial trees were obtained by the random addition of sequences (10 replicates).

DISCUSSION
These results confirm the existence of enzootic cycle transmission to E. canis in Sinaloa, Mexico. 92.1% of the ticks identified were R. sanguineus, in which 28 were positive for Ehrlichia spp., and 27 positive to E. canis. Two adult D. variabilis ticks were infected with Ehrlichia spp. This is the first report of this association in Mexico. It was already experimentally demonstrated the competitiveness of this vector to transmit the bacteria (4). Antibodies an E. canis can remain elevated during a period of time prolonging, causing false positives in endemic areas.
It is the first evidence of E. canis in H. leporis-palustris ticks in Mexico. It may represent the presence of potential vectors, capable of transmitting E. canis. More information is needed in order to prove if this vector can take on the role of competent vectors; ie, capable of transmitting the pathogen and causing the disease.
The presence of three main groups (I, II and III) for E. canis, shows that this pathogen has few variables in America, similar to that found in other studie (6). Although, Mexican isolates show differences between the groups I and II; the sequences found, presented an ancestral relationship with the sequences from Venezuela, Brazil and the United States; hypothesizing that it is possible to find the same variant of E. canis among American countries. It is required more phylogenetic analysis of E. canis between worldwide sequences, and search for other genes with greater variability and observe the behavior.
This study presents the first molecular evidence of E. canis in dogs and ticks from Sinaloa, Mexico. The results show a high risk of infection in tick-infested dogs. In Mexico, recent study in ticks proves a high frequency of infection of E. canis, and could play a hight risk in humans and dogs (12). The importance of understanding the enzootic cycle of Ehrlichia in ticks, wild and domestic reservoirs, can help implement strategies to prevent infection in dogs (12, 13).
This research provides the assessment for further study of genetic variability in isolated not only from E. canis, but the rest of vector, helping to understand the behavior and potential targets in preventing diseases.
Acknowledgments
The authors wish to thanks Abha Grover for grammar and language revision of this article. This work was supported by CONACYT-Health 2008-1 87,868 and a school scholarship from CONACYT: 252266.
Referencias
1. Sainz A, Rouna X, Miró G, Estrada-Peña A, Kohn B, Harrus S, Solano-Gallego L. Guideline for veterinary prectitioners on canine Ehrlichiosis and anaplasmosis in Europe. Parasit Vectors 2015; 8:75. doi: 10.1186/s13071-015-0649-0
2. Perez M, Bodor M, Zhang C, Xiong Q, Rikihisa, Y. Human infection with Ehrlichia canis accompanied by clinical signs in Venezuela. Ann NY Acad Sci 2006; 1078:110-117.
3. Villaescusa A, Tesourob MA, García-Sanchoa M, Ayllona T, Rodriguez-Francoa F, Sainz A. Evaluation of peripheral blood lymphocyte subsets in family-owned dogs naturally infected by Ehrlichia canis. Comparative Immunology. Microbiol Infect Dis 2012; 35:391–396.
4. Sosa-Gutierrez CG, Quintero MT, Gaxiola CS, Cota GS, Esteve-Gassent MD, Gordillo-Perez MG. Frequency and clinical epidemiology of Canine Monocityc Ehrlichiosis in Dogs infested with ticks from Sinaloa, Mexico. J Vet Med 2013; 797019.
5. Parola P, Paddock CD, Raoult D. Tick-borne rickettsioses around the word: emerging diseases challenging old concepts. Clin Microbiol Rev 2005; 18:719–756.
6. Siarkou VI, Mylonakis ME, Bourtzi-Hatzopoulou E, Koutinas AF. Sequence and phylogenetic analysis of the 16S rRNA gene of Ehrlichia canis strains in dogs with clinical monocytic ehrlichiosis. Vet Microbiol 2007; 125(3-4):304-312.
7. Carvalho FS, Wenceslau AA, Carlos RSA, Albuquerque GR. Epidemiological and molecular study of Ehrlichia canis in dogs in Bahia, Brazil. Genet Mol Res 2008; 7(3):657-662.
8. Dumler JS. Ehrlichiosis y anaplasmosis en las Américas. Acta méd costarric 2013; 55(1):1-5.
9. Vinasco J, Li O, Alvarado A, Diaz D, Hoyos L, Tabachi L, Sirigireddy K, Ferguson C, Moro MH. Molecular evidence of new strains of Ehrlichia canis from South America. J Cli Microbiol 2007; 45(8):2716-2719.
10. Tamura K, Nei M. Estimation of the number of nucleotide substitutions in the control region of mitochondrial DNA in humans and chimpanzees. Molec Biol Evol 1993; 10:512-526.
11. Tamura K, Peterson D, Peterson N, Stecher G, Nei M, Kumar S. MEGA5: Molecular Evolutionary Genetics Analysis using Maximum Likelihood, Evolutionary Distance, and Maximum Parsimony Methods. Moler Biol Evol 2011; 28:2731-2739.
12. Sosa-Gutierrez CG, Vargas-Sandoval M, Torres J, Gordillo-Perez MG. Tick-borne rickettsial pathogens in questing ticks, removing from humans and animals in Mexico. J Vet Sci 2015; 17(3):353-360.
13. Walker DH, Paddock CD, Dumler JS. Emerging and Re-emerging Tick-Transmitted Rickettsial and Ehrlichial Infections. Med Clin N Am 2008; 92:1345-1361.
Notas de autor
mcarososagtz@yahoo.com.mx