Originales
Current status of Melongena melongena (Mollusca: Gastropoda) in Cispatá Bay, Colombian Caribbean
Estado actual de Melongena melongena (Mollusca: Gastropoda) en la bahía de Cispatá, Caribe Colombiano
Current status of Melongena melongena (Mollusca: Gastropoda) in Cispatá Bay, Colombian Caribbean
Revista MVZ Córdoba, vol. 25, no. 2, pp. 1-13, 2020
Universidad de Córdoba

Received: 04 November 2019
Accepted: 04 May 2020
Published: 06 July 2020
Abstract: Objective. Evaluate the current status of Melongena melongena in Cispat. Bay, Colombian Caribbean through the population aspects of the species. Materials and methods. Three sampling sectors were established, according to the zoning of the mangrove in the bay. For the collection of the biological material a linear transect of 4 x 20 m was located perpendicular to the area of the mangrove with two replicas at 50 m. For the determination of sex, a subsample of 10 individuals with sizes greater than that estimated for the sexual maturity of the species was taken. The shells were measured in total length, in order to differentiate the sizes of females and males. In each sector, the water temperature and salinity were measured in situ using an Extech EC170 multiparameter while water transparency is calculated using the Secchi disk. Results. A total of 1149 individuals of .. melongena were recorded, obtaining the highest abundance in the Caño Salado sector (522), followed by Las Cagás (458) and finally Amaya (169). 63% of the individuals were in a size range between 41-61 mm. The sex ratio was 1:1.2 (H:M). The sizes recorded in females were from 55 to 92 mm and in males from 54 to 77 mm. Conclusions. .. melongena in Cispatá Bay is showing evident signs of recovery in the last decade, because most of the registered individuals have reached the average size of sexual maturity.
Keywords: Abundance, estuary, fishery, mangrove, sexual proportion, size, snail .
Resumen: Objetivo. Evaluar el estado actual de Melongena melongena en la bahía de Cispatá, Caribe Colombiano a través de los aspectos poblacionales de la especie. Materiales y métodos. Se establecieron tres sectores de muestreo, conforme con la zonificación de los manglares en la bahía. Para la recolección del material biológico se ubicó un transecto lineal de 4 x 20 m perpendicular al área del manglar con dos replicas a una distancia de 50 m. Para la determinación del sexo, se tomó una submuestra de 10 individuos con tallas superiores a la estimada para la madurez sexual de la especie. A las conchas se les midió la longitud total, con el fin de diferenciar las tallas de hembras y machos. En cada sector, la temperatura del agua y salinidad fueron registradas in situ, empleando un medidor multiparámetro Extech EC170, mientras la trasparencia del agua se calculó mediante el disco Secchi. Resultados. Se registraron un total de 1.149 individuos de .. melongena, obteniendo la mayor abundancia el sector Caño Salado (522), seguido de Las Cagás (458) y finalmente Amaya (169). El 63% de los individuos se encontraron en un intervalo de talla entre 41-61 mm. La proporción sexual fue 1:1.2 (H:M). Las tallas registradas en hembras fueron de 55 a 92 mm y en machos de 54 a 77 mm. Conclusiones.M. melongena en la bahía de Cispatá está presentando signos evidentes de recuperación en la última década, debido a que la mayoría de los individuos registrados han alcanzado la talla media de madurez sexual.
Palabras clave: Abundancia, caracol, estuario, manglar, pesquería, proporción sexual, talla .
INTRODUCTION
Melongena melongena (L.) is widely distributed over the Caribbean, the Antilles and Gulf of Mexico. This snail lives in slightly deep zones of marine, estuary and coastal habitats associated with the mangrove remains an essential marine fauna component in muddy or soft seabeds. This species tends to concentrate in areas with high densities of their prey which belong to bivalves, other snails, ascidians, and carrion (1,2,3,4). Bearing in mind the above-mentioned behavior, fishermen sometimes use the mangrove roots, covered with bivalves as bait (5). This snail reaches sizes of up to 200 mm of shell height (6), as the Maturity Average Size (MAS) is of an earlier age in males (52 mm) than in females (65 mm), according to results obtained by Hernández and Stotz (5).
M. melongena has become a substantial food resource in Colombia as it has been caught and collected by hand mostly for self-consumption and for local and regional marketing (7), consequently the species is fished under its MAS, and its fishery is carried out over small sizes due to the non-selective catching method used by fishermen (8). This situation has caused this population show over-exploitation signs, therefore, a decreasing production has come out on certain areas of the Colombian Caribbean areas (5,9). Research works about this specie have been poor despite its economic weight as it is a shallow seabed species in mangrove zones. The morphological and geographic distribution of the .. melongena in the Colombian Caribbean are found on Díaz and Puyana (6), whereas the studies on biological and fishing aspects of the species at the Cispatá estuary complex are shown in Hernández and Stotz (5), who also registered the MAS known for this snail until now.
The objective of this research was to update the M. melongena information at Cispatá Bay, focused on its abundance, size and sexual proportion, as well as this specie’s relation with some environmental variables such as temperature, salinity and transparence for the purpose of contributing with scientific information which allows us to establish management and conservation measures of this resource by pertinent authorities.
MATERIALS AND METHODS
Study area. The Cispatá Bay is located on the southern area of the Morrosquillo Gulf, between coordinates 09°22’07”, 09°26’11” north latitude, and 75°46’30”, 75°56’30” west longitude (Figure 1), and it belongs to the Integrated Management District (IMD) of Cispatá which has 8571 hectares of total extension of mangrove (10). The zone’s climate system is unimodal-two seasons, with a solid dry season between December and April, and a moisty one running from May to November which coincides with the flow increase of the Sinú River. The average yearly rainfall is 1337.4 mm., the potential average evaporation is 1826 mm/year, and the yearly average temperature is 28°C, ranging between 32.9 and 26.7°C (8,10).

Description of sectors. Three sampling sectors were established, in accordance with the mangrove zoning map at the bay, which consists of spatial and geographic divisions, as per grouping principles of ecological, social, economic, and logistic nature (10). The preservation zone, sustainable usage and recovery were monitored from March to October, 2016.
Caño Salado (09°41’84”N, 75°81’48”W) stands out by being a disconnected sector from the Sinú River, and it takes water only from very strong floods. Indeed, it is a mangrove preservation area which must be protected, due to its ecological relevance, high productivity, strategic location and good species condition, for research works, for improving education and conservation of species and communities (10); Las Cag.s (09°39’70”N, 75°82’32”W) is made of a mature and mixed forest, mainly of Rhizophora mangle, Conocarpus erectus, and Lagunculariaracemosa. It is located within the sustainable usage zone, which are mangrove areas subject to direct and sustainable use, as a conservation modality. In this zone, the exploitation levels will never be greater than the reproduction and growing cycles of used or extracted resources (10); Amaya (09°39’41”N, 75°79’09”W) is characterized by its muddy and sandy seabed, and it corresponds to a recovery zone of mangrove areas which require actions aimed at recovering goods and services, due to its bad conservation condition or its progressive degradation state (10).
Field activities. In each sector, the water temperature and salinity were measured in situ by using an Extech EC170 multiparameter while water transparency is calculated using the Secchi disk. For the collection of the biological material a linear transect of 4 x 20 m was located perpendicular to the area of the mangrove with two replicas at a distance of 50 m. established three strata in relation to the distance to the mangrove (5,11). Through autonomous diving in each transect, ten quadrants of 1 m. were randomly located, where all individuals of M. melongena were counted and measured in terms of their total length. For the determination of sex, a subsample of 10 individuals with sizes greater than that estimated for the sexual maturity of the species was taken (5). Then, the collected material was properly preserved, stored and taken to the Postharvest Laboratory of the University of Córdoba (PLUC).
Laboratory. Collected specimens were subjected to warming for five minutes for the purpose of separating their soft tissues from the shells. Afterwards, they were observed on the stereoscope in which the males showed penis and the female’s oviduct. Finally, shells total length was measured in order to distinguish the female and male sizes. Referred specimens were deposited at the Zoology Laboratory of the University of Córdoba (ZLUC-MOL 00105, 00106, 00107).
Analysis of data. Density was calculated by dividing the total number of collected snails by the total of sampled meters (snails/m.) as this operation was carried out with a total of collected snails in all transects. Furthermore, normality assumptions were evaluated by applying the Shapiro-Wilks Test, then a Kruskall-Wallis test (H) was conducted for the purpose of determining if there are significant differences between the number of specimens in sectors and months of sampling.
The sizes structure for the species was determined by using histograms of size frequency (mm); 20 mm intervals were chosen based upon the lowest and highest observed sizes for the species taking the work conducted by Hernández and Stotz (5) as a reference. The total number of collected females was divided by the total number of males in order to know the sexual proportion (F:M), and this calculation was made over the base of total females and males which were collected in all the samples, and the total for each sampled area in the three sectors. That way, the proportion of total number of males and females of this research was compared by applying the Chi-squared test (X.).
Lastly, a redundancy analysis (RDA) using the R program, version 3.6.1 was carried out for the purpose of establishing which physical chemical variables were more vital of changes in the snail abundance at the Cispatá Bay. For doing this, data of the abundance of snail individuals in each sampling sector and month were used, and the physical chemical variables registered in field and their significance in the RDA, was determined by using the Monte Carlo Test (p<0.05).
RESULTS
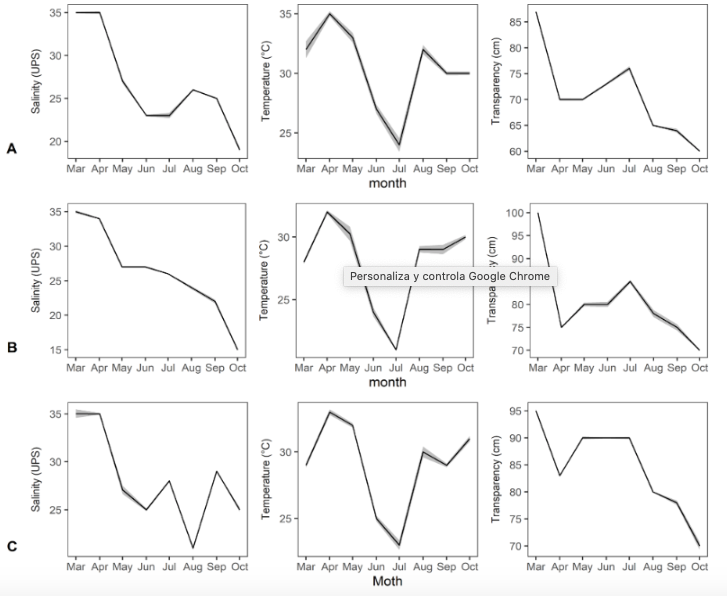
Environmental variables. Superficial Average Salinity was less in October in Amaya (19.1 ups) and Caño Salado (15.2 ups) due to rainfall effect, and it was high in March and April (35 ups) for each sector because of the evaporation effect. The average salinity was similar in Amaya (26.6 ups) y Caño Salado (26.3 ups) during that year, while Las Cagas showed a higher one (28,1 ups). The average water temperature in each sector was higher in April, May, September and October due to rainy periods of the year, and it was low in June and July (<27°C) as a result of decreasing precipitations caused by the Indian Summer of Saint John (San Juan). The water transparency reached a minimum of 66.7 cm in October, and a highest one of 91,7 cm in March, which is an evident trend for each one of the sampled locations (Figure 2).

Abundance of M. melongena. A total of 1.149 individuals in the research area were recorded (14.36 ind/m.) in which the Caño Salado and Las Cagás sectors showed the highest densities (6.5 ind/m. and 5.7 ind/m.) respectively, while the Amaya sector had the lowest ones (2.1 ind/m.) (Figure 3A). The highest abundance average values were reported in March, April and May, while the lowest ones occurred in June, September, and October (Figure 3B). Statistically significant differences were not found based upon the snail’s average abundance in the research sectors (H=5.3, DF=2, p>0.05), and sampling months (H=7.9, DF=7, p>0.05). During the dry and slightly rainy season, a higher number of individuals near the mangrove, in number 1 and 2 strata was found, while in the rainiest season, organisms were significantly distant from this ecosystem, especially in stratum 3 (Figure 4).


In Cispatá Bay, 63% of the individuals evaluated were found in a size range between 41-61 mm, followed by 20.6% (20-40 mm.), 15.8% (62-82 mm), and 0.5% (83-103 mm) respectively. The sexual proportion of M. Melongena was 1:1.2 (H:M), with a higher number of males than females observed during the research. However, the Chi-square test indicated that no statistically significant differences were found between the sex ratio and the catch sectors (x.=5.7, p>0.05), and the sampling months (x.=7.9, p>0.05). The best represented sizes in females were from 55 to 92 mm, and in males from 54 to 77 mm. (Figure 5).

Effect of environmental variables and abundance. The result of the redundancy analysis of the physical-chemical variables and the abundance of M. Melongena individuals in the sectors and months of sampling is shown in Figure 6. The first analysis axe of the RDA explains 68.1% of the total variance and is positively correlated by the transparency, and negatively by the salinity and temperature. The second axe explains 29.4% of the total variability and it is positively correlated by rainy months (April, June, September, and October), and negatively by March, July, and August. The two axes of the RDA, explain the 97.5% of the accumulated variance.
Although transparency, temperature and salinity play an important role on the population of this snail in the research area, the highest abundances of this snail are positively correlated in March with salinity, while the lowest abundances are related with the rainy months as well as the decreases in water salinity (Figure 6).

DISCUSSION
The water temperature remained constant throughout the months of research, with a decrease in July, which coincides with the transition period. This behavior is similar to the one reported by Sánchez-Páez et al (8), and Quintana-Saavedra (12) for the research area, who indicated that between June and July, this variable tends to decrease due to the increases in cloudiness. Likewise, transparency reached the highest values during the dry season, while minimum values were obtained during the rainiest season. This result can be related to rainfall levels, because, as precipitation increases, the quantity of particulate material increases, which in turn, influences the turbidity of water (12). The salinity during the month of March showed the highest value, due to the effect of intense evaporation, while the lowest values were obtained in the months of September and October. This decrease in salinity over the months of research can be attributed to the increase in inland water inputs with the rainfall arrivals (12). The increase in salinity coincided with the high values of the abundance of the species, as this relationship is discussed by authors such as Acosta et al (13), Kabir et al (14), Chávez et al (15), and Balán-Dzul and De Jesús-Navarrete (16), who confirm that this variable can regulate the reproductive cycle of certain gastropods.
The density of Melongena melongena was found to be higher than estimated by Hernández and Stotz (5) in the research area, suggesting a possible recovery in the population attributed to a decrease in the fishing efforts because of external reasons to fishing such as the displacement of fishermen to other activities like agriculture, road construction, civil works, among others. On the other hand, the change in the Sinú River’s water dynamics has permitted the intrusion of marine waters into the bay’s estuary complex, causing a water salinization process (8), a situation that can be helping to increase the area’s population. This result confirms what was recorded by Barroso and Mathews-Cascon (17), who reported that changes in salinity ranges affect the abundance of gastropods in an estuarine system.
Caño Salado was the sector that registered the highest abundance in M. Melongena due to the low pressure of this resource by the snail farmers, as it is considered a preservation area where the exploitation of hydrobiological resources is limited (10). Las Cagas registered an important abundance although was under Caño Salado; this is a consequence of the rational exploitation of the resource that does not affect the abundance of the species (8). Amaya showed the lowest abundance possibly related to the lowest availability of space and food for the species, due to the fact that the sector does not count on a consolidate mangrove forest, but small relics of R. mangrove. According to Cannicci et al (18) some estuarine snails within the mangrove forest require specific conditions, being sensitive to deforestation, as well as to anthropogenic alterations, changing their population dynamics in an unexpected way, altering the movement of species, population density, juvenile dispersion, the distribution of space and body size.
The temporal variation of M. melongena population showed a pattern influenced by precipitation. Abundance was higher in March during the dry season and lower in September and October at the beginning of the second rainy period. This way the variability in the number of individuals of the species during the year may be a consequence of the differences of salinity, as well as the low demand for the snail resource, which forced the snail farmers to choose other sources of employment. Authors such as Molina-Bolívar et al (19) and Quirós and Arias (20) point out that environmental factors such as salinity, temperature and transparency concentrations, which are regulated by the dry and rainy seasons affect estuarine ecosystems conditioning the distribution and abundance of species in the estuaries.
In regards of the distribution of M. melongena by strata at the Cispatá Bay, in dry months, a higher number of individuals were observed near the mangrove (strata 1 and 2), while in rainy months they moved significantly away from it (strata 3), a condition that could be attributed to the variations in salinity during these periods since in the dry season river water flows are reduced, causing high salinity values, due to intense evaporation. During the rainy season, the concentration of dissolved salts is lower, influenced by the higher fluvial contribution produced by high precipitations and the increase in the flow of the Sinú River (12). According to Ortiz and Blanco (21), this behavior is characteristic of estuarine species which tend to fluctuate widely in its abundance, due to variations in water body conditions. In addition, Acosta et al (13), and Mieszkowska et al (22) point out that increases in salinity cause changes in population structure of some gastropods. Furthermore, these results confirm what was recorded by Kabir et al (14), who reported that this variable is one of the environmental parameters that has the greatest influence on the distribution of estuarine snails with respect to mangrove areas.
The vast majority of individuals that make up the population of M. melongena in Cispatá Bay, are medium sized (shell length between 41-61 mm) which seems to indicate high recruitment rates or the existence of some mortality factor affecting preferentially larger animals (18). Also, the extraction pressure that is exerted on larger individuals is apparently one of the main reasons for the dominance of medium sized individuals in the melongenids populations in the research area. On the other hand, M. melongena did not show statistically significant differences in the sexual proportion (H:M) as the females were larger than the males. Population researches of mollusks with other melongenids conducted by Santos et al (11) and Young et al (23) described a similar pattern to that of the present survey, with females among the larger individuals and males among the smaller ones. This way, the equality of the proportion between males and females could be explained by a differential growth between the sexes, where the females reach larger sizes in order to accumulate food for reproduction, whereas the males invest their reserves at reproducing, they do not spend energy on increasing their size (11,14,24).
In conclusion, the population of M. melongena at Cispatá Bay has shown signs of recovery in recent years, taking as a reference the work of Hernández and Stotz (5), due to the fact that most of the individuals recorded have reached a length of 41-61 mm, which seems to indicate that species is reaching the MMR. The sexual ratio (H:M) showed no statistically significant differences, which clearly indicate that in Cispatá Bay, in the state of Córdoba the trend is toward an equal ratio 1:1 (H:M). Distribution of M. melongena in the survey area is influenced by the hydrological periods, where the salinity was the variable that influenced the most in abundance of the species. Therefore, it is suggested to continue carrying out researches that include other abiotic and biotic activities in the sectors where this resource is extracted, in order to continue possible positive and/or negative changes in the behavior of their population. In the same way, it is important to carry out surveys to evaluate fishing aspects of the species, due to the commercial interest it represents for the region, and finally, to develop awareness campaigns with snail farmers in the area, for the purpose of agreeing on management and usage measures for a sustainable exploitation.
Conflict of interest
The authors of this research hereby declare that there is no conflict of interest with the publication of the herein accepted paper.
Acknowledgments
This research is part of a macro-project on invertebrate diversity in Córdoba, financed by the Universidad de Córdoba. We thank the Association of Caimaneros (ASOCAIMÁN, a Colombian acronym for Cayman Hunting Association) for all their cooperation and support in carrying out this research. To Dr. Clara Sierra Diaz for the logistical support provided. To Manuel Sánchez Crespo, Sandra Hernández Barrero and Nancy Suárez Mozo for their valuable contributions during the research. Finally, we thank Professor Robinson Rosado Cárcamo for his confidence in this whole process.
REFERENCES
1. Castillo-Rodríguez Z. Biodiversidad de moluscos marinos en México. Rev Mex Biodivers. 2014; 85(supl.1):419-430. https://doi.org/10.7550/rmb.33003
2. Quirós J, Campos NH. Moluscos asociados a ensamblajes macroalgales en el litoral rocoso de Córdoba, Caribe Colombiano. Bol Invest Mar Cost. 2013; 42(1):101–120. http://dx.doi.org/10.25268/bimc.invemar.2013.42.1.62
3. Álvarez-León R. Biodiversidad de la flora y fauna asociada a los manglares de Colombia. Arq Ciên Mar. 2015; 48(2):85–92. https://doi.org/10.32360/acmar.v48i2.5852
4. López-Sánchez CM, Mancera-Pineda JE. Parámetros estructurales de dos poblaciones de Crassostrea rhizophorae (Ostreidae) en bahía de Cispatá, Caribe Colombiano. Acta Biol Colomb. 2019; 24(2):361–371. http://dx.doi.org/10.15446/abc.v24n2.68941
5. Hernández S, Stotz WB. Reproductive Biology of the “Copey” snail Melongenamelongena (Linnaeus, 1758) in Cispatá Bay on the Caribbean coast of Colombia. J Shellfish Res. 2004; 23(3):849–854. https://go.gale.com/ps/anonymous?id=GALE%7CA130777671&sid=googleScholar&v=2.1&it=r&linkaccess=abs&issn=07308000&p=AONE&sw=w
6. Díaz J, Puyana M. Moluscos del Caribe colombiano: un catálogo ilustrado. Bogotá, Colombia: COLCIENCIAS, Fundación Natura e INVEMAR; 1994.
7. Nieto-Ramón B, Chasqui L, Rodríguez AM, Castro E, Gil-Agudelo D. Composición, abundancia y distribución de las poblaciones de gasterópodos de importancia comercial en La Guajira, Caribe colombiano. Rev Biol Trop. 2013; 61(2):683–700. https://doi.org/10.15517/rbt.v61i2.11168
8. Sánchez-Páez H, Ulloa H, Tavera H, Gil W. Plan de manejo integral de los manglares de la zona de usos sostenible del sector estuarino de la bahía de Cispatá, departamento de Córdoba -Colombia. Bogotá: Corporación Autónoma Regional de los Valles del Sinú y del San Jorge (CVS), Corporación Nacional de Investigación y Fomento Forestal (CONIF); 2005. https://es.scribd.com/document/110384331/Plan-de-Manejo-Integral-de-los-Manglares-de-la-Zona-de-Uso-Sostenible-de-la-Bahia-de-Cispata-Colombia
9. Duarte L, Díaz-Vesga R, Cuello F, Manjarrés L. Cambio estacional en la fauna acompañante de la pesquería estacional de arrastre de camarón del golfo de Salamanca, Mar Caribe de Colombia. Acta biol Colomb. 2013; 18(2):319.328. https://revistas.unal.edu.co/index.php/actabiol/article/view/37604/40734
10. Corporación Autónoma Regional de Los Valles del Sinú y del San Jorge - CVS, Instituto de Investigaciones Marinas y Costeras - INVEMAR. Plan Integral de manejo del Distrito de Manejo Integrado (DMI) bahía de Cispatá - La Balsa - Tinajones y sectores aledaños del delta estuarino del río Sinú, departamento de Córdoba. Serie de Publicaciones Especiales No. 18. Santa Marta, Colombia: INVEMAR; 2010. https://www.oceandocs.org/bitstream/handle/1834/6607/Plan_manejo_DMI_Cispata.pdf?sequence=1&isAllowed=y
11. Santos J, Enríquez M, Aldana D. Dinámica poblacional y reproductiva de Turbinella angulata y Busycon perversum (Mesogasteropoda: Turbinellidae y Melongenidae) en el banco de Campeche, México. Rev Biol Trop. 2013; 61(1):15–28. https://doi.org/10.15517/rbt.v61i1.10940
12. Ospina L, Quintana-Saavedra DM. Variación espacio-temporal de la calidad del agua del golfo de Morrosquillo durante al año 2013. Bol Cient CIOH 2015; 33(1):19–38. https://www.cioh.org.co/dev/publicaciones/acceso_dev.php?nbol=cioh_bcc3301.pdf
13. Acosta V, Betancourt R, Prieto A. Estructura comunitaria de bivalvos y gasterópodos en raíces de mangle rojo Rhizophora mangle (Rhizophoraceae) en isla Larga, bahía de Mochima, Venezuela. Rev Biol Trop. 2014; 62(2):551-565. https://doi.org/10.15517/rbt.v62i2.9803
14. Kabir M, Abolfathi M, Hajimoradloo A, Zahedi S, Kathiresan K, Goli S. Effect of mangroves on distribution, diversity and abundance of molluscs in mangrove ecosystem: a review. AACL Bioflux 2014; 7(4):286–300. http://www.bioflux.com.ro/docs/2014.286-300.pdf
15. Chávez J, Enríquez M, Aldana D. Abundancia y diversidad larval de gasterópodos en el Caribe Mexicano en relación con la temperatura, la salinidad y el oxígeno disuelto. Rev Biol Trop. 2014; 62(Suppl. 3):223–230. https://doi.org/10.15517/RBT.V62I0.15917
16. Balán-Dzul V, De Jesús-Navarrete A. Densidad, abundancia y estructura poblacional del caracol blanco Strombus costatus en el Caribe Mexicano. Rev Biol Mar Oceanogr. 2011; 46(1):1–8. http://dx.doi.org/10.4067/S0718-19572011000100001
17. Barroso CX, Matthews-Cascon H. Distribuição espacial e temporal da malacofauna no estuário do rio Ceara, Ceara, Brasil. Pan-Am J Aquat Sci. 2009; 4(1):79.86. https://panamjas.org/pdf_artigos/PANAMJAS_4(1)_79-86.pdf
18. Cannicci S, Burrows D, Fratini S, Smith III TJ, Offenberg J, Dahdouh-Guebas F. Faunal impact on vegetation structure and ecosystem function in mangrove forests: A review. Aquat Bot. 2008; 89(2):186–200. https://doi.org/10.1016/j.aquabot.2008.01.009
19. Molina-Bolívar G, Jiménez IA, Nava ML. Taxocenosis Mollusca-Crustacea en raíces de Rhizophora mangle, delta del río Ranchería - La Guajira, Colombia. Intropica. 2017; 12(2):87–100. https://doi.org/10.21676/23897864.2281
20. Quirós J, Arias J. Taxocenosis de moluscos y crustáceos en raíces de Rhizophora mangle (Rhizophoraceae) en la bahía de Cispatá, Córdoba, Colombia. Acta Biol Colomb. 2013; 18(2):329–340. https://revistas.unal.edu.co/index.php/actabiol/article/view/37794/40857
21. Ortiz LF, Blanco JF. Distribución de los gasterópodos del manglar, Neritina virgínea (Neritidae) y Littoraria angulifera (Littorinidae) en la Ecorregión Darién, Caribe colombiano. Rev Biol Trop. 2012; 60(1):219–232. https://doi.org/10.15517/RBT.V60I1.2755
22. Mieszkowska N, Hawkins SJ, Burrows MT, Kendall MA. Long-term changes in the geographic distribution and population structure of Osilinus lineatus (Gastropoda: Trochidae) in Britain and Ireland. J Mar Biol Assoc. U.K. 2007; 87:537–545. https://doi.org/10.1017/S0025315407053799
23. Young JM, Yeiser BG, Whittington JA. Spatiotemporal dynamics of spawning aggregations of common snook on the east coast of Florida. Mar Ecol Prog Ser. 2014; 505:227–240. https://doi.org/10.3354/meps10774
24. Kandeel KE, Mohammed SZ, Mostafa AM, Abd-Alla ME. Reproductive biology of the cockle Cerastoderma glaucum (Bivalvia: Cardiidae) from Lake Qarun, Egypt. Egypt J Aquat Res. 2013; 39(4):249–260. https://doi.org/10.1016/j.ejar.2013.12.003
Additional information
How to cite (Vancouver).: Niño-Miranda D. Córdoba-Martínez A, Arias-Reyes L, Quirós-Rodríguez J. Current status of Melongena melongena (Mollusca: Gastropoda) in Cispata Bay, Colombian Caribbean. Rev MVZ Cordoba. 2020; 25(2):e1873. https://doi.org/10.21897/rmvz.1873