Article
Global dynamics of a stage-structured hantavirus infection model with seasonality
Global dynamics of a stage-structured hantavirus infection model with seasonality
Nonlinear Analysis: Modelling and Control, vol. 26, núm. 1, pp. 21-40, 2021
Vilniaus Universitetas

Recepción: 17 Septiembre 2019
Revisado: 20 Abril 2020
Publicación: 01 Enero 2021
Abstract: In this paper, we study a time-periodic model, which incorporates seasonality and host stage-structure. This model describes the propagation of Puumala hantavirus within the bank vole population of Clethrionomys glareolus. The basic reproduction number R0 is obtained. By appealing to the theory of monotone dynamical systems and chain transitive sets, we establish a threshold-type result on the global dynamics in terms of R0, that is, the virus-free periodic solution is globally attractive, and the virus dies out if R0 ≤ 1, while there exists a unique positive periodic solution, which is globally attractive, and the virus persists if R0 > 1. Numerical simulations are given to confirm our theoretical results and to show that cleaning environment and controlling thegrow of mice population are essential control strategies to reduce hantavirus infection.
Keywords: hantavirus, seasonality, basic reproduction number, global attractivity, threshold dynamics.
1 Introduction
Hantaviruses are a family of viruses spread mainly by rodents and can cause serious disease syndromes in people worldwide. Infection with any hantavirus can produce han- tavirus disease in people. It causes a rare but extremely serious lung disease called han- tavirus pulmonary syndrome (HPS), about 40% of the people who get the disease die, it may also causes hemorrhagic fever with renal syndrome (HFRS). As of January 2017, 728 cases of hantavirus disease have been reported since surveillance in the United States began in 1993. These are all laboratory-confirmed cases and include HPS and nonpul- monary hantavirus infection [21]. Worldwide, approximately 150,000 to 200,000 peopleare hospitalized with HFRS each year. Different hantaviruses tend to cause mild, mod- erate or severe cases of HFRS; the mortality rate can vary from 0.1 to 3% for Puumala virus infections, to approximately 5 to 15% for Hantaan and Dobrava virus infections. Hantaviruses are found naturally in various species of rodents. Infections do not appear to be pathogenic to their rodent hosts and may be carried lifelong [22]. There is no specific treatment, cure, or vaccine for hantavirus infection. However, if infected individuals are recognized early and receive medical care in an intensive care unit, they may do better. Infected people may be given medication for fever and pain and oxygen therapy [20].
In recent years, mathematical models have shown great values in understanding and control of infectious disease. Gedeon et al. [6] developed a compartmental model for hantavirus infection in deer mice (Peromyscus maniculatus) with the goal of comparing relative importance of direct (contacts between individuals) and indirect transmission (through the environment) in sylvan and peridomestic environments. Their model pre- dicted that direct transmission dominates in the sylvan environment, while both pathways are important in peridomestic environments. Kenkre et al. [8] proposed a stage-structured hantavirus epidemic model, they considered two types of mice, stationary (adults) and itinerant (juveniles). They assumed that adult mice remain largely confined to locations near their home ranges and itinerant juvenile mice that are not so confined, they will search for their own homes, move and infect both other juveniles and adults that they meet during their movement. The dynamics of mean field equations was analyzed. Wolf [16] analyzed a mathematical model for the propagation of Puumala hantavirus, within a pop- ulation of bank voles (Clethrionomys glareolus), both chronological age and infection- age of individuals are included. A weakly coupled system of hyperbolic equations was formulated, the global existence and uniqueness of solutions were established.
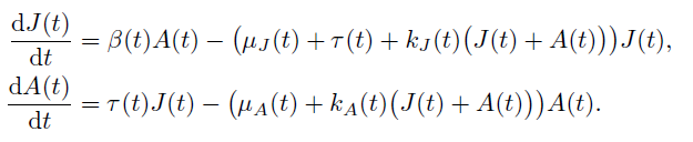
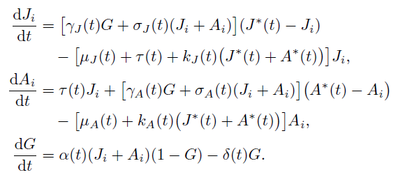
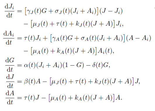
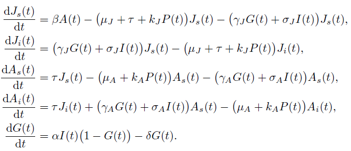
Mathematical models were also proposed in [1, 2, 4, 5] to include diffusion of rodents to investigate influence of host movement on the transmission dynamics. More recently, a deterministic hantavirus epidemic model has been developed and analyzed in Wolf et al. [17]. This model described the hantavirus spread within the bank vole population. The adult mice move within their home ranges and do not stray far from the burrow, while the juvenile mice must leave to find their own home ranges. Because of different behaviors between juvenile and adult individuals, thus two types of mice are consid- ered, adults and juveniles. The host population is divided into four classes: susceptible juveniles, infected juveniles, susceptible adults and infected adults, their densities are denoted respectively by J.(.), J.(.), A.(.) and A.(.). Then the density of juveniles is .(.) = J.(.) + J.(.), the density of adults is .(.) = A.(.) + A.(.), and the total population density reads . (.) = .(.) + .(.). The density of infected individuals is denoted as .(.) = J.(.) + A.(.). Population densities may oscillate due to climate variability, so demographic parameters are supposed to be time periodic. Let .(.) be the adult fertility rate, . (t, A) be the juvenile maturation rate depending on the density of adults. Let µ. (.) and µ.(.) be the natural death rates of juveniles and adults, respectively. They considered the population competition for food and shelters against predators and assumed that the density dependent effects on mortality rates k. (.) for juveniles and k.(.) for adults, respectively. Since infected mice release excreta to the local environment, hence the environment becomes contaminated, and susceptible individuals can be infected
by indirect contact with the contaminated environment. Assume that .(.), 0 ≤ .(.) ≤ 1 for . ≥ 0, is the proportion of contaminated environment, and .(.) is described by the equation ..(.) = .(.)(1 .(.)) .(.).(.) [3, 11], wherein .(.) is the contamination rate of the environment by infected individuals, and .(.) is a decontamination rate. Let σ. (.) and σ.(.) be the direct transmission rates for the juveniles and adults; γ. (.) and γ.(.) be the indirect contamination rates for the juveniles and adults.
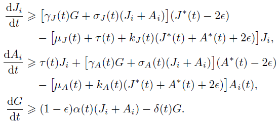
In [17], the existence, nonnegativity of solutions, as well as stability of the autonomous case, were investigated. They further studied the existence of periodic solutions for small periodic perturbations of the constant coefficients. Numerical simulations and extensive discussions of modeling are also given in [17]. Motivated by this model, the purpose of the current paper is to study the global dynamics of periodic system in [17]. We assume that the available territories where mice live are large enough so that the juveniles will not experience difficulties to mate, therefore, we neglect the adult density dependence in juvenile maturation rate, that is, . (t, A) = . (.). Then we obtain the following model:
(1)where all the parameters are positive, continuous and . -periodic functions for some T > 0.
The rest of this paper is organized as follows. In Section 2, we introduce the basic reproduction number .. and then obtain a threshold result on the global dynamics of system (1) by the theory of monotone dynamical systems and chain transitive sets. The last section gives some numerical simulations and a brief discussion.
2 Global dynamics
This section is devoted to study the global dynamics of system (1). We first show the existence, uniqueness of solutions to system (1). For convenience, we define the time-average of a T -periodic function x(t) as ⟨x(t)⟩ := (1/T ) ∫ T x(t) dt, µ := min{µ , µ }
and k := min{kJ , kA}. For x, y ∈ Rn, we write x ≥ y if x − y ∈ Rn , x > y if
x − y ∈ Rn and x /= y, and x y if x − y ∈ int(Rn ).
To avoid the extinction of the population, we need the following assumption:
(A1) ⟨β(t)⟩ > ⟨µ(t)⟩.
First, we consider the equation
(2)where a(t) is positive, a(t) and b(t) are continuous and T -periodic functions. By [13, Lemma 1] we have the following result.
Lemma 1. System (2) has a unique nonnegative T-periodic solution y∗(t), and y(t) − y∗(t) → 0 as t → ∞. Moreover,
(i) if ⟨b(t)⟩ > 0, then y∗(t) > 0 for all t ≥ 0;
(ii) if ⟨b(t)⟩ ≤ 0, then y∗(t) ≡ 0 for all t ≥ 0.
Lemma 2. System (1) has a unique and bounded nonnegative solution with initial value
Further, let (A1) hold, then all the solutions of system (1) with initial values in Ω ul- timately go into region D(t) := {(Js, Ji, As, Ai, G) ∈ R5 : Js + Ji + As + Ai ≤ x∗(t), 0 ≤ G ≤ 1}, where x∗(t) will be given in the proof.
Proof. For any z Ω, define H(t, z) = (H1(t, z), H2(t, z), H3(t, z), H4(t, z), H5(t, z)) with

Then H(t, z) is continuous and Lipschitizian in z on each compact subset of R Ω. Clearly, Hi(t, z) ≥ 0 whenever z ≥ 0 and zi = 0, i = 1, . . . , 5, if z5 = 1, then
H5(t, z) ≤ 0. It follows from [12, Thm. 5.2.1] that there exists a unique nonnegative solution for system (1) through z Ω in its maximal interval of existence. The total host population satisfies

By Lemma 1(i), if (A1) holds, then

has a positive T -periodic solution x∗(t), which is globally attractive. The standard com- parison theorem implies that P (t) is ultimately bounded. Thus, the solution of system (1) exists globally on the interval [0, ). Further, D(t) is positively invariant and attracts all positive orbits in Ω.
The density of juveniles J(t) = Js(t) + Ji(t) and the density of adults A(t) = As(t) + Ai(t) satisfy the following coupled differential equations:

From the biological view of point the feasible domain for (3) should be

It is not hard to see that for any (J0, A0) ∈ Λ(0), system (3) has a unique solution. (J(t), A(t)) with (J(0), A(0)) = (J0, A0) and (J(t), A(t)) ∈ Λ(t) for all t ≥ 0
To obtain Lemma 3, we need to impose the following condition:
(A2 β(t) > kJ (t)x∗(t), τ (t) > kA(t)x∗(t).
Lemma 3. Assume that (A1) and (A2) hold. Let Πt(u0) be the solution of system (3) with initial value u0 ∈ X := Λ(0). Then the following statements are valid:
(i) For each t ≥ 0, the map Πt is monotone in the sense that Πt(u) ≥ Πt(v) whenever u ≥ v in X.
(ii) For each t > 0, the map Πt is strongly subhomogeneous in the sense that Πt(θu0) θΠt(u0) for all u0 0 in X and θ ∈ (0, 1).
Proof. Let (u1, u2) := (J, A) and rewrite (3) as follows:

For any (u1, u2) ≥ (v1, v2) with ui = vi, we can show that
Ri(t, u1, u2) ≥ Ri(t, v1, v2).
In fact, when (u1, u2) ≥ (v1, v2) with u1 = v1, we have
R1(t, u1, u2) = β(t) kJ (t)u1 u2 µJ (t) + τ (t) + kJ (t)u1 u1
β(t) − kJ (t)v1 v2 − µJ (t) + τ (t) + kJ (t)v1 v1
β(t) − kJ (t)u1 v2 − µJ (t) + τ (t) + kJ (t)u1 u1
= R1(t, v1, v2).
Similarly, we see that R2(t, u1, u2) ≥ R2(t, v1, v2) for (u1, u2) ≥ (v1, v2) with u2 = v2. Then system (4) satisfies the Kamke condition. By [12, Prop. 3.1.1] it follows that the map Πt is monotone. This proves statement (i).
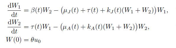
Given u0 0 in X and θ (0, 1). We set W (t) := (W1(t), W2(t)) = Πt(θu0) and V (t) := (V1(t), V2(t)) = θΠt(u0). Then we have

and

It then follows from (5), (6) and the comparison theorem that
Wi(t) > Vi(t) ∀t > 0, i = 1, 2.
That is, we have Πt(θu0) θΠt(u0) for all t > 0. This proves statement (ii).
Here we would like to emphasize that if the juvenile maturation rate depends on the density of adults, then system (4) does not satisfy the Kamke condition, that is, for any (u1, u2) ≥ (v1, v2), R1(t, u1, u2) ≥ R1(t, v1, v2) with u1 = v1 and R2(t, u1, u2) ≥ R2(t, v1, v2) with u2 = v2 cannot be true at the same time. So the conclusion in Lemma 3 may not hold.
Let E be an ordered Banach space with positive cone P such that int(P ) = . For x, y E, if a < b, we define [a, b] := x E: a ≤ x ≤ b . Assume that U P is a nonempty, closed and order convex set, and f : U U is a continuous map. We first give the following two conditions:
(C1) f : U → U is monotone and strongly subhomogeneous.
(C2) f : U → U is strongly monotone and strictly subhomogeneous.
Lemma 4. (See [19, Thm. 2.3.4].) Let either V = [0, b]E with b 0 or V = P. Assume that
(i) f : V → V satisfies either (C1) or (C3)
(ii) f : V V is asymptotically smooth, and every positive orbit of f in V is bounded.
(iii) f (0) = 0, and DF (0) is compact and strongly positive.
Then there exist threshold dynamics:
(a) If r(Df (0)) ≤ 1, then every positive orbit in V converges to 0.
(b) If r(Df (0)) > 1, then there exists a unique fixed point u∗>>in V such that every positive orbit in V \ {0} converges to u∗.
Let P1 : X → X be the Poincaré map associated with system (3), that is
P1 J(0), A(0) = J(T ), A(T ) ∀x := J(0), A(0) ∈ X
where (J(t), A(t)) is the unique solution of system (3). Let r(DP1(0, 0)) be the spectral radius of the Fréchet derivative of P1 at (0, 0), that is, the largest-amplitude eigenvalue of the Jacobian matrix DP1(0, 0). Then we have the following threshold type result for system (3).
Lemma 5. Let (A1) and (A2) hold. Then the following statements are valid:
(i) If r(DP1(0, 0)) ≤ 1, then the trivial solution (0, 0) is globally attractive for system (3) in X.
(ii) If r(DP1(0; 0)) > 1, then system (3) admits a unique positive T-periodic solution(J*(t);A*(t)) such that any solution (J(t);A(t)) of system (3) with (J(0);A(0)) 2 X \(0; 0)g satisfies

Proof. By Lemma 3, P1 is monotone, strongly subhomogeneous in the sense that P1(θx) θP1(x) for all x X with x 0 and θ (0, 1). Moreover, we can show that P1(0, 0) = (0, 0), by Lemma 4 it follows that
(i) If r(DP1(0, 0)) ≤ 1, then every positive orbit of P1 in X converges to (0, 0).
(ii) If r(DP1(0, 0)) > 1, then there exists a unique fixed point u∗ 0 in X such that every positive orbit of P1 in X (0, 0) converges to u∗.
Consequently, corresponding to the fixed point of the period map P1, the conclusions in the lemma are true.
To give the virus-free periodic solution, we need the following additional assumption:
(A3) r(DP1(0, 0)) > 1.
Letting Ji = Ai = G = 0 in (1), we then get the following differential equations:

Hence, when (A1)–(A3) holds, there is only one virus-free state, E0(t) = (J∗(t), 0, A∗(t), 0, 0), where (J∗(t), A∗(t)) is the unique positive T -period solution of (3), and there always exists another trivial equilibrium, (0, 0, 0, 0, 0).
Let B(t) be a continuous, cooperative, irreducible and periodic n n-matrix function with period T > 0, ΦB(t) be the fundamental solution matrix of the linear ordinary differential equation
x˙ = B(t)x.
Let r(ΦB(T )) be the spectral radius of ΦB(T ). By Perron–Frobenius theorem, r(ΦB(T )) is the principle eigenvalue of ΦB(T ) in the sense that it is simple and admits an eigenvec- tor v∗ 0. The following lemma is useful for our discussion in this section.
Lemma 6. (See [18, Lemma 2.1].) Let p = (1/T ) ln r(ΦB(T )). Then there exists a posi- tive T-periodic function v(t) such that eptv(t) is a solution of (7).
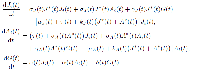
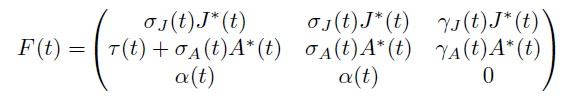
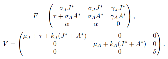
In what follows, we introduce the basic reproduction number for system (1) by apply- ing the theory in Wang and Zhao [15]. Linearizing the system at the virus-free periodic solution E0(t) = (J∗(t), 0, A∗(t), 0, 0), we then obtain the following periodic linear system for the infective variables Ji, Ai and G:

Let

and

Then we can rewrite system (8) as

where x(t) = (Ji(t), Ai(t), G(t))T.
Let Y (t, s), t ≥ s, be the evolution operator of the linear periodic system

that is,

where I is the 3 × 3 identity matrix.
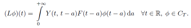
Let CT be the ordered Banach space of all T -periodic functions from R → R3, which is equipped with maximum norm ǁ·ǁ∞ and the positive cone C+ = {φ ∈ CT : φ(t) ≥ 0 for any t ∈ R}. Consider the following linear operator L : CT → CT :

It then follows from [15] that L is the next infection operator, and define the spectral radius of L as the basic reproduction number R0 := r(L).
The following result gives the local stability of the virus-free periodic solution E0(t) for the system (1).
Lemma 7. (See [15, Thm. 2.2].) The following statements are valid:
(i) R0 = 1 if and only if r(ΦF −V (T )) = 1.
(ii) R0 > 1 if and only if r(ΦF −V (T )) > 1.
(iii) R0 < 1 if and only if r(ΦF −V (T )) < 1.
Thus, the virus-free periodic solution E0(t) = (J∗(t), 0, A∗(t), 0, 0) of (1) is locally asymptotically stable with respect to (Js(0), Ji(0), As(0), Ai(0), G(0)) ∈ Ω \ {(0, 0, 0, 0, 0)} if R0 < 1 and unstable if R0 > 1.
Now we study the following system:

The reasonable region for (9) should be

It is not hard to see that Σ(t) is positively invariant for system (9).By similar arguments as in Lemma 3 we obtain the following results.
Lemma 8. Assume that (A1), (A2) and (A3) holds. Let Ψt(u0) be the solution of sys- tem (9) with initial value u0 ∈ Y := Σ(0). Then the following statements are valid:
(i) For each t ≥ 0, the map Ψt is monotone in the sense that Ψt(u) ≥ Ψt(v) wheneveru ≥ v in Y .
(ii) For each t > 0, the map Ψt is strongly subhomogeneous in the sense that Ψt(θu0) θΨt(u0) for all u0 0 in Y and θ ∈ (0, 1).
Let P2 : Y → Y be the Poincaré map associated with system (9), that is,

where (Ji(t), Ai(t), G(t)) is the unique solution to system (9). It is not hard to see that P2(0, 0, 0) = (0, 0, 0) and DP2(0, 0, 0) = ΦF −V (T ), where DP2(0, 0, 0) denotes the Fréchet derivative of P2 at (0, 0, 0). From Lemmas 4 and 7 and the similar arguments as in Lemma 5 we have the following threshold type result for system (9).
Lemma 9. Let (A1), (A2) and (A3) hold. Then the following statements are valid:
(i) If R0 ≤ 1, then the trivial solution (0, 0, 0) is globally attractive for system (9) in Y .
(ii) If R0 > 1, then system (9) admits a unique positive T-periodic solution (Ji∗(t), A∗i (t), G∗(t)) such that any solution (Ji(t), Ai(t), G(t)) of system (9) with (Ji(0), Ai(0), G(0)) ∈ Y \ {(0, 0, 0)} satisfies

Let Z be a metric space with metric d and g : Z-Z a continuous map. We then have the following results.
Lemma 10. (See [19, Lemma 1.2.1′].) Let Ψ (t) : Z Z, t ≥ 0, be a continuous-time semiflow. Then the omega (alpha) limit set of any precompact positive (negative) orbit is internally chain transitive.
Lemma 11. (See [19, Lemma 1.2.2].) Assume that each fixed point of g is an isolated invariant set, that there is no cyclic chain of fixed points, and that every precompact orbit converges to some fixed point of g. Then any compact internally chain transitive set is a fixed point of g.
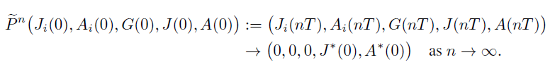
Theorem 1. Assume that (A1), (A2) and (A3) hold. Then the following statements are valid for system (1):
(i) If R0 ≤ 1, then the virus-free periodic solution (J∗(t), 0, A∗(t), 0, 0) is globally attractive for system (1) in Ω \ {(0, 0, 0, 0, 0)}.
(ii) If R0 > 1, then every solution (Js(t), Ji(t), As(t), Ai(t), G(t)) of system (1) with (Js(0), Ji(0), As(0), Ai(0), G(0)) ∈ Ω \ {(a, 0, b, 0, c): a, b, c ∈ R+} satisfies

where Js∗(t) = J∗(t) Ji∗(t), A∗s (t) = A∗(t) A∗i (t), and (Ji∗(t), Ai∗(t), G∗(t))
is the unique positive T-periodic solution of system (9)
Proof. Rewrite system (1) as follows:

Let

Claim. If x := (J0, A0, G0, J0, A0) ∈ X˜, then the solution of (11) through x satisfies X˜0 := (Ji, Ai, G, J, A) ∈ X˜: (Ji, Ai) /= (0, 0)}, ∂X˜0 := X˜ \ X˜0.
To prove this claim, we let Js(t) = J(t) Ji(t), As(t) = A(t) Ai(t). Then (Js(t), Ji(t), As(t), Ai(t), G(t)) satisfies (1), (Js(0), Ji(0), As(0), Ai(0)) ≥ (0, 0, 0, 0), 0 ≤ G(0) ≤ 1 and J(0) + A(0) ≤ x∗(0). Then it follows that (Js(t), Ji(t), As(t), Ai(t)) ≥ (0, 0, 0, 0), 0 ≤ G(t) ≤ 1 and J(t) + A(t) ≤ x∗(t). Thus, the claim is true.
By Lemma 5 we have

Let P : X → X be the Poincaré map associated with system (11) and ω(x) be the omega limit set of the orbit of P with initial values x ∈ X. Then there exists a set C ∈ R3 such that ω(x) = C × {(J∗(0), A∗(0))}. For any given (J0, A0, G0) ∈ C, we have Y , and hence, C ⊂ Y , where Y := Σ(0) is defined in (10).
By Lemma 10, ω(x) is a compact, invariant and internal chain transitive set for P˜. Moreover, if x0 2 R3+ with (x0, j*(0), A* (0)) E W (x), we can show that

where P2 : Y → Y is the Poincaré map associated with system (9). It then follows that C is a compact, invariant and internal chain transitive set for P2 on Y .
In the case where R0 6 1, it follows from Lemma 9(i) that (0; 0; 0) is globally attractivefor P2 in Y . This implies that the unique fixed point (0; 0; 0) is an isolated invariantset in Y and no cycle connecting (0; 0; 0) to itself in Y . Since C is a compact, invariantand internal chain transitive set for P2 : Y ! Y , then by Lemma 11, C is a fixed point ofP2. That is, C = f(0; 0; 0)g, and hence, !(x) = (0; 0; 0; J(0);A(0)). This implies that(0; 0; 0; J(0);A(0)) is globally attractive for e P in eX. Clearly, (0; 0; 0; J(0);A(0))is a fixed point of e P, then system (11) has a globally attractive T-periodic solution(0; 0; 0; J(t);A(t)) in eX. In view of J(t) = Js(t) + Ji(t) and A(t) = As(t) + Ai(t),we see that statement (i) is valid.is a fixed point of P , then system (11) has a globally attractive T -periodic solution (0, 0, 0, J∗(t), A∗(t)) in X. In view of J(t) = Js(t) + Ji(t) and A(t) = As(t) + Ai(t), we see that statement (i) is valid.
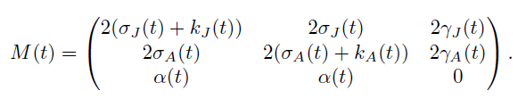
In the case where R0 > 1, by Lemma 7 we have r(ΦF −V (T )) > 1. Then we can choose ϵ > 0 small enough such that r(ΦF −V −єM (T )) > 1, where

By Lemma 9(ii) it follows that (9) admits a positive T -periodic solution (Ji∗(t), A∗i (t), G∗(t)) in Y0 := Y (0, 0, 0) , which is globally attractive. Note that (0, 0, 0) is also a T -periodic solution of (9). This implies that the possible fixed points (0, 0, 0) and (Ji∗(0), Ai∗(0), G∗(0)) are isolated invariant sets in Y and no subset of {(0, 0, 0)} ∪ {(Ji∗(0), Ai∗(0), G∗(0))} forms a cycle in Y . Since C is a compact, invariant and internal chain transitive set for P2, by Lemma 11 it follows that either C = {(0, 0, 0)} or C = {(Ji∗(0), Ai∗(0), G∗(0))}.
Suppose, by contradiction, that C = {(0, 0, 0)}, then we have

Thus, limt [(Ji(t), Ai(t), G(t), J(t), A(t)) (0, 0, 0, J∗(t), A∗(t))] = (0, 0, 0, 0, 0),and there exists a t0 > 0 such that 0 ≤ Ji(t) ≤ ϵ, 0 ≤ Ai(t) ≤ ϵ, 0 ≤ G(t) ≤ ϵ, J∗(t) − ϵ ≤ J(t) ≤ J∗(t) + ϵ and A∗(t) − ϵ ≤ A(t) ≤ A∗(t) + ϵ for all t ≥ t0. Then
for any t ≥ t0, we have

From (Ji(0);Ai(0)) > (0; 0) we can show that (Ji(t);Ai(t);G(t)) (0; 0; 0) forall t > 0. By Lemma 6 there exists a positive T-periodic function v(t) and =(1=T ) ln r(F-V -M(T)) such that W(t) = ae(t-t0)v(t) is a solution of dW(t)=dt =(F(t)-V (t)-EM(t))W(t), where a satisfiesW(t0) = av(t0) 6 (Ji(t0);Ai(t0);G(t0)).Since > 0, we see that W(t) ! 1 as t ! 1. By the standard comparison theoremwe have (Ji(t);Ai(t);G(t)) > W(t) for all t > t0. This implies that (Ji(t);Ai(t);G(t)) ! 1 as t ! 1, a contraction. It then follows that C = f(Ji (0);Ai(0);G(0))g,and hence, !(x) = C f(J(0);A(0))g = f(Ji (0);Ai(0);G(0); J(0);A(0))g.This implies

In view of J(t) = Js(t) + Ji(t) and A(t) = As(t) + Ai(t), we see that statement (ii) is valid.
When all the coefficients are positive constants, in this case, system (1) reduces to the following autonomous one:

For the densities of juveniles J(t) = Js(t) + Ji(t) and adults A(t) = As(t) + Ai(t), we have

Then assumptions (A1)–(A3) can be replaced by
(A1′) β > µ;
(A2′) β < kJ µ/(kJ − k), τ > kA(β − µ)/k;
(A3′) C := βτ/µA(µJ + τ ) > 1.
By Lemma 5 we have the following result.
Theorem 2. Let (A1′) and (A2′) hold. Then the following statements are valid:
(i)If C ≤ 1, then the trivial solution (0, 0) is globally asymptotically stable for system (13) in Γ = {(J, A) ∈ R2 : J + A ≤ (β − µ)/k}.
(ii) If C > 1, then system (13) admits a unique positive equilibrium (J∗, A∗), which is globally asymptotically stable in Γ \ {(0, 0)}.
The conclusion in Theorem 2 is consistent with that in Theorem 2.1 in [17].
For this autonomous case, the basic reproduction number is [R0] = r(FV −1), where

Condition (A3′) is equivalent to β > µAµJ /τ + µA > µ, then (A3′) implies (A1′).
By Theorem 1 we have the following observation for system (12).
Theorem 3. Assume that (A1′) and (A3′) hold. Then the following statements are valid for system (12):
(i) If [R0] ≤ 1, then the virus-free equilibrium (J∗, 0, A∗, 0, 0) is globally asymptot- ically stable for system (12) in Ω \ {(0, 0, 0, 0, 0)}.
(ii) If [R0] > 1, then every solution (Js(t), Ji(t), As(t), Ai(t), G(t)) of system (12) with (Js(0), Ji(0), As(0), Ai(0), G(0)) (a, 0, b, 0, c): a, b, c satisfies

where Js∗ = J∗ Ji∗, As∗ = A∗ Ai∗, and (Ji∗, Ai∗, G∗) is the unique positive equilibrium of the following system:

The authors in [17, Thm. 2.3] completed the local stability analysis for the autonomous model (12). Theorem 3 generalizes the conclusion of local stability in Theorem 2.3 of [17] and gives the global stability of the virus-free equilibrium and the positive equilibrium in terms of the basic reproduction number.
3 Discussion and simulations
Although there are many models that describe the spread of the hantavirus, there are few papers provide a thorough classification of dynamics for the model systems. In particular, if the basic reproduction number is greater than one, then a unique positive periodic solution (equilibrium) exists and is globally attractive in the feasible region, and the disease persists at a positive periodic solution (equilibrium) if it initially exists. In this paper, we have studied a deterministic mathematical model, which was proposed by Wolf et al. [17]. This model describes the propagation of Puumala hantavirus within the bank vole population of Clethrionomys glareolus. The host population is split into juvenile and adult individuals. Both direct transmission (contacts between individuals) and indirect transmission (through the environment) are considered. To incorporate the influence of seasonal temperature variations, the demographic parameters in the model systems are assumed to be time periodic. We first define the basic reproduction number, .., for the system (1). Then, by appealing to the theory of monotone dynamical systems and chain transitive sets, we show that .. is a sharp threshold, which completely determines the global dynamics and the outcome of the virus. If .. ≤ 1, the virus-free periodic solution is globally attractive, and the virus always dies out (see Theorem 1(i)). If .. > 1, there exists a unique positive periodic solution, which is globally attractive, and the virus persists (see Theorem 1(ii)). The theory of monotone dynamical systems and chain tran- sitive sets have also been applied in [7, 14]. Hsu et al. [7] studied a mathematical model of two species competing in a chemostat for two internally stored essential nutrients, both uniform persistence and the existence of periodic coexistence state were established. Wang et al. [14] investigated two-vessel gradostat models, which describe the dynamics of harmful algae with seasonal temperature variations, the global attractivity of positive periodic steady-state solution was obtained.
In this section, we will present some simulations, which illustrate our analytic results of the previous section and perform sensitivity analysis of the basic reproduction number .. in terms of system parameters. The time unit is 1 year. The parameters are taken as


which are chosen from Wolf et al. [17]. We take direct transmission rate σJ (t) = σA(t) := σ as variable.
If we choose σ = 0.18, then we get R0 = 0.9215 < 1, and the virus will die out for system (1) (see Fig. 1). If we increase σ to 0.35, we have R0 = 1.4272 > 1, then the virus will occur periodically for system (1), and the virus is persistent in host population and environment (see Fig. 2). These results are coincident with Theorem 1(i) and (ii), respectively.
Now we examine the sensitivity of the disease risk R0 on system parameters. Take the direct transmission rate σ, the indirect contamination rate γ, the contamination rate of the environment α and the decontamination rate δ as examples and keep all the other parameter values the same as those in Fig. 1. This result is shown in Fig. 3, where the basic reproduction numbers are functions of σ, γ, α and δ. We plot two curves, the red one refers system (1) with time-periodic coefficients, and the blue one reflects system (12) with constant coefficients. One can observe that the red curve always lie above the blue one, which implies that the risk of hantavirus will be underestimated if periodicity is neglected. In other words, periodicity can be more favorable to the persistence of the virus. This implies that we need to make much more efforts to control the spread of hantavirus.

Then we further do sensitivity analysis by evaluating partial rank correlation coefficients(PRCCs) [9, 10]. We assume that B(t) = B0(|sin(2(t - 0:15))j + sin(2 (t-0:15))),|+ sin (2Ŕ x (t-0.15))), Fig. 4 reflects the impact of parameters on the basic reproduction number R0,according to importance, they are the baseline birth rate 0, direct transmission rate Afor adult mice, direct transmission rate J for juvenile mice, indirect contamination rateA for adult mice, the rate of environmental decontamination , the rate of environmentalcontamination and the indirect contamination rate J for juvenile mice. These resultsindicate that controlling the grow of mice population and enhancing environmental disinfectionare important control strategies in reducing hantavirus infection.Even though we used a general model, if more data was available, the model can beused for predictions. With the data to be collected, the parameters can be modified to fita particular situation. Our model can be useful for epidemiologists. They can utilize themodel to help predict the behavior of the hantavirus spread. For example, suppose onenotices hantavirus endemic occurs, but after a period of time they notice that fewer miceare becoming infected. This periodic model will let the one know that there will be anincrease in the number of infections at a later time because of the periodic oscillatorybehavior of the model. This will force epidemiologists to not become relaxed in trying tocombat the virus through hantavirus control methods.
![R0 and [R0] vs σ, γ, α and δ.](../694172828002_gf4.png)

Our work generalized the results in [17], but we also did some significant simplifica- tions in modeling and analysis. For example, the juvenile maturation rate does not depend on the density of adults, and we also assume that (A1)–(A3) hold, these assumptions make the threshold type results hold for systems (3) and (9) (see Lemmas 5 and 9). Otherwise, the analysis will become much more complicated than those in the current paper. It will be challenging and interesting projects if we relax the aforementioned simplifications, we leave these problems for future investigation.
References
1. G. Abramson, V.M. Kenkre, Spatiotemporal patterns in the Hantavirus infection, Phys. Rev. E, 66:011912, 2002, https://doi.org/10.1103/PhysRevE.66.011912.
2. G. Abramson, V.M. Kenkre, T.L. Yates, R.R. Parmenter, Traveling waves of infection in the hantavirus epidemics, Bull. Math. Biol., 65:519–534, 2003, https://doi.org/10. 1016/S0092-8240(03)00013-2.
3. K. Berthier, M. Langlais, P. Auger, D. Pontier, Dynamics of a feline virus with two transmission modes within exponentially growing host populations, Proc. R. Soc. Lond., Ser. B, 267:2049– 2056, 2000, https://doi.org/10.1098/rspb.2000.1248.
4. R. Bürger, G. Chowell, E. Gavilán, L.M. Villada P. Mulet, Numerical solution of a spatio- temporal gender-structured model for hantavirus infection in rodents, Math. Biosci. Eng., 15: 95–123, 2018.
5. G. Camelo-Neto, A.T.C. Silva, L. Giuggioli, V.M. Kenkre, Effect of predators of juvenile rodents on the spread of the hantavirus epidemic, Bull. Math. Biol., 70:179–188, 2008, https://doi.org/10.1007/s11538-007-9247-4.
6. T. Gedeon, C. Bodelón, A. Kuenzi, Hantavirus transmission in sylvan and peridomestic envi- ronments, Bull. Math. Biol., 72:541–564, 2010, https://doi.org/10.1007/s11538- 009-9460-4.
7. S.B. Hsu, F.B. Wang, X.-Q. Zhao, Competition for two essential resources with internal storage and periodic input, Differ. Integral Equ., 29:601–630, 2016.
8. V.M. Kenkre, L. Giuggioli, G. Abramson, G. Camelo-Neto, Theory of hantavirus infection spread incorporating localized adult and itinerant juvenile mice, Eur. Phys. J. B, Condens. Matter Complex Syst., 55:461–470, 2007, https://doi.org/10.1140/ epjb/e2007-00074-x.
9. S. Marino, I.B. Hogue, C.J. Ray, D.E. Kirschner, A methodology for performing global uncer- tainty and sensitivity analysis in systems biology, J. Theor. Biol., 254:178–196, 2008, https://doi.org/10.1016/j.jtbi.2008.04.011.
10. A. Saltelli, K. Chan, M. Scott (Eds.), Sensitivity Analysis, Wiley, New York, 2000.
11. F. Sauvage, M. Langlais, N.G. Yoccoz, D. Pontier, Modelling hantavirus in cyclic bank voles: The role of indirect transmission on virus persistence, J. Anim. Ecol., 72:1–13, 2003, https://doi.org/10.1046/j.1365-2656.2003.00675.x.
12. H.L. Smith, Monotone Dynamical Systems: An Introduction to the Theory of Competitive and Cooperative Systems, Math. Surv. Monogr., Vol. 41, AMS, Providence, RI, 1995, https://doi.org/10.1090/surv/041.
13. Z. Teng, Y. Yu, L. Feng, The stability of positive periodic solution for periodic predator–prey systems, Acta Math. Appl. Sin., 21:589–596, 1998.
14. F.B. Wang, S.B. Hsu, W. Wang, Dynamics of harmful algae with seasonal temperature varia- tions in the cove-main lake, Discrete Contin. Dyn. Syst., Ser. B, 21:313–335, 2016, https://doi.org/10.3934/dcdsb.2016.21.313.
15. W. Wang, X.-Q. Zhao, Threshold dynamics for compartmental epidemic models in periodic environments, J. Dyn. Differ. Equ., 20:699–717, 2008, https://doi.org/10.1007/ s10884-008-9111-8.
16. C. Wolf, A mathematical model for the propagation of a hantavirus in structured populations, Discrete Contin. Dyn. Syst., Ser. B, .:1065–1089, 2014, https://doi.org/10.3934/ dcdsb.2004.4.1065.
17. C. Wolf, M. Langlais, F. Sauvage, D. Pontier, A multi-patch epidemic model with periodic demography, direct and indirect transmission and variable maturation rate, Math. Popul. Stud., 13:153–177, 2006, https://doi.org/10.1080/08898480600788584.
18. F. Zhang, X.-Q. Zhao, A periodic epidemic model in a patchy environment, J. Math. Anal. Appl., 325:496–516, 2007, https://doi.org/10.1016/j.jmaa.2006.01.085.
19. X.-Q. Zhao, Dynamical Systems in Population Biology, Springer, New York, 2003, https://doi.org/10.1007/978-0-387-21761-1.
20. https://www.ccohs.ca/oshanswers/diseases/hantavir.html.
21. https://www.cdc.gov/hantavirus/surveillance/reporting-state. html.
22. https://www.nj.gov/agriculture/divisions/ah/diseases/ hantavirus.html.