Article
Hopf-zero bifurcation of the ring unidirectionallycoupled Toda oscillators with delay
Hopf-zero bifurcation of the ring unidirectionallycoupled Toda oscillators with delay
Nonlinear Analysis: Modelling and Control, vol. 26, núm. 3, pp. 375-395, 2021
Vilniaus Universitetas

Recepción: 18 Noviembre 2019
Revisado: 11 Noviembre 2020
Publicación: 01 Mayo 2021
Abstract: In this paper, the Hopf-zero bifurcation of the ring unidirectionally coupled Toda oscillators with delay was explored. First, the conditions of the occurrence of Hopf-zero bifurcation were obtained by analyzing the distribution of eigenvalues in correspondence to linearization. Second, the stability of Hopf-zero bifurcation periodic solutions was determined based on the discussion of the normal form of the system, and some numerical simulations were employed to illustrate the results of this study. Lastly, the normal form of the system on the center manifold was derived by using the center manifold theorem and normal form method.
Keywords: Toda oscillators, normal form, Hopf-zero.
1 Introduction
In more recent decades, the bifurcation theory in dynamical system has become a research hotspot, which is widely used in the fields of physics, chemistry, medicine, finance, biology, engineering and so on [3,12,13,15,19,20,22,24,30–35]. In particular, the bifurcation phenomenon of the system is analyzed, and the dynamic characteristics of the nonlinear model are characterized. In real life, the mathematical models to solve practical problems have been described based on nonlinear dynamical systems, in which, how to study the dynamic characteristics of the high-dimensional nonlinear system is very important. In engineering, Toda oscillators (named after the Morikazu–Toda) refer to a dynamical system employed to model a chain of particles with exponential potential interaction between neighbors. The Toda oscillators model has been extensively applied in engineer- ing [21, 23, 25]. It is noteworthy that it acts as a simple model to clarify the phenomenon of self-pulsation, namely, a quasiperiodic pulsation of the output intensity of a solid-state laser in the transient regime [16].
For the different control parameters of the chains of coupled Toda oscillators with external force, most scholars have investigated the effect of external force
on the system from the numerical continuation and experimental simulation, they suggest that the system eventually produces the coexistence stable limit cycle in synchronous region [10, 11, 17]. Under the action of external force
, the coexistence stability limit cycle is generated in the synchronous region. This shows that the final trajectories of the Toda oscillators are asymptotically stable in the synchronous region, that is to say, there is a regular stable transmission between the oscillators, and the industrial productivity reaches the maximum. Thus far, the bifurcation phenomenon caused by coupled delay in nonlinear differential equations has been extensively studied, especially, the Hopf-zero bifurcation [1, 2, 4, 5, 18, 26–29], but no studies have been conducted on the Hopf-zero bifurcation of the ring unidirectionally coupled Toda oscillators with delay as we know today. Therefore, it is of great significance to probe into the Hopf-zero bifurcation of system (1). Under the guidance of the bifurcation theory, our study is majorally under the premise that the external force does not exist (considering only the coupled effect between oscillators).
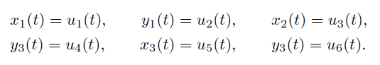
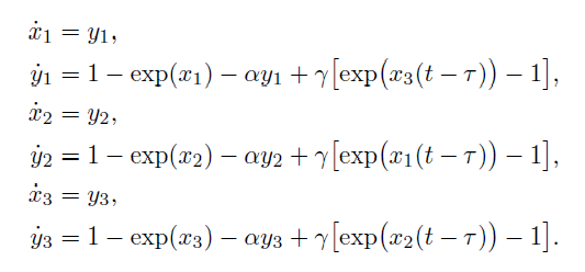
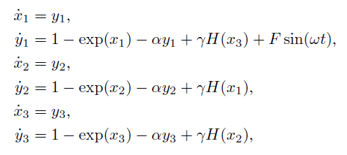
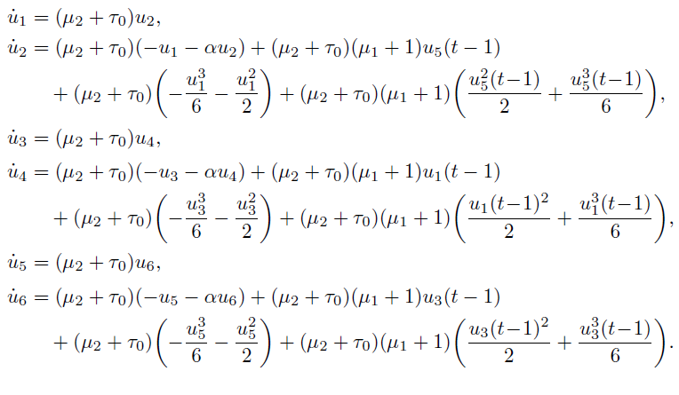
In this study, we investigate the ring system of three unidirectionally coupled Toda oscillators [6]
(1)where
and
are the dynamical variables of system (1),
is the damping coefficient,
is the coupled coefficient
is the coupling func- tion, . and . represent the amplitude and the frequency of the external force, respectively. The symbol
denotes the effect of external force on the coupled system (1). In [6], with XPPAUT software package, the author has summarized the dynamic characteris- tics of system (1) with numerical integration of differential equations and Runge–Kutta method, such as exponential spectrum, projections of phase portraits, bifurcation diagram and periodic multiplier on the parameter plane. The author mainly investigated the pecu- liar phenomena of the ring structure of the coupled oscillators with the change of coupled

coefficient
under the effect of external force
. In other words, with the threshold of self-oscillation birth, the further increase of coupled coefficient . will be followed by the new ring resonance phenomenon, besides when the threshold of self-oscillation birth is exceeded, the interaction between external oscillations and the inner oscillatory mode of system (1) will result in the synchronization region in the parameter plane [6, 7].
In the small neighborhood of the equilibrium point of system (1), the coupled time delay should be considered since the propagations between oscillators .., .. and .. are no longer instantaneous. Assuming
= 0, system (1) generated the rich dynamic characteristics with the joint change of the coupled coefficient ., the coupled time delay . and control parameters. Furthermore, the appropriate coupled time delay is introduced to facilitate the understanding of high-dimensional bifurcation analysis followed by the generation of a new Toda oscillators model with delay, and the coupled direction in the model is shown in Fig. 1.
In this paper, we mainly study the dynamic behaviors of the following simplified system:
(2)In engineering fields, such a time-delay feedback indicates an unidirectional interaction between oscillators
and
That is to say, the dynamic characteristics of system (2) are determined uniquely by the effect of connection when the oscillators have coupled delay in a ring structure.
The rest of the paper is organized as follows. In Section 2, the existence of Hopf-zero bifurcation in the ring of unidirectionally coupled Toda oscillators with delay is consid- ered. In Section 3, according to the normal form of system (2), the dynamic bifurcation analysis and numerical simulation are conducted. Lastly, in Section 4, the conclusion is drawn
2 Existence of Hopf-zero bifurcation
In this section, we will give the existence conditions of Hopf-zero bifurcation of sys- tem (2). To convenience for expression, we make the following assumptions:

Then system (2) can be written as
(3)Clearly, system (3) is equivalent to system (2), where
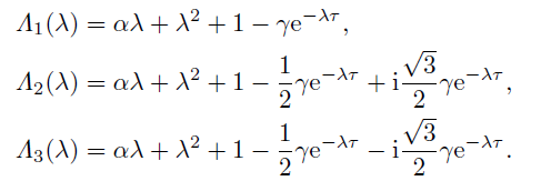
is an equilibrium point of system (3). The characteristic equation according to the linear part of system (3) at the equilibrium point is given by
(4)Where

There exists three types of bifurcations as follows:
Case 1: Fixed-point bifurcation. Substituting
into equation (4), we obtain
= 1 u√n.er which the three roots of equation (4) with
are
=
then system (3) undergoes a fixed-point bifurcation.
Case 2: Hopf-bifurcation. Substituting
into
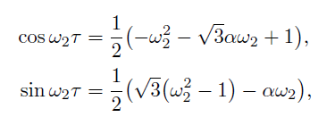
and separating the real and imaginary part, we obtain
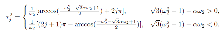
(5)Then the time delay
can be solved from system (5) as
(6)where
Under the assumption
we have
After a simple calculation, the transversality conditions are shown by
(7)where “Re” represents the real part.
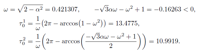
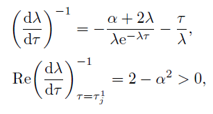
Next, let
be the root of
It is not difficult to verify that
is the root of
In order to study the distribution of the roots of
, we only need to investigate the distribution of the roots of
. Substituting the root
into
and separating the real and imaginary parts, we obtain
(8)then the time delay
can be solved from system (5) as
(9)Under the assumption
, we have
After a simple calculation, the transversality conditions are shown as follows
(10)Case 3: Hopf-zero bifurcation. Combining cases 1 and 2, we have the following theorem.
Theorem 1
Assume
and
we have
The critical time delays and the transversality conditions are given by systems (6), (9), (7) and (10), respectively. Moreover, when
, where
theroots of characteristic equation (4) are 0 and -
. Then the Hopf-zero bifurcation occursassociated with eigenvalues 0 and
of system (3). When
the trivial equilibriumof system (3) is asymptotically unstable.
3 Hopf-zero Bifurcation analysis and Numerical simulations
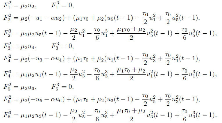
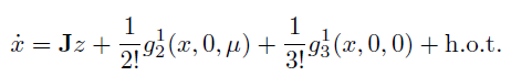
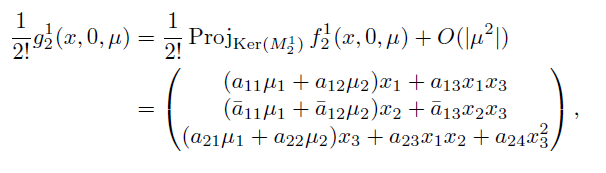
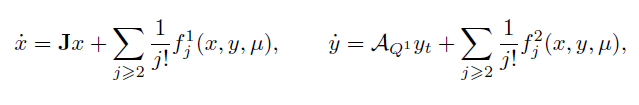
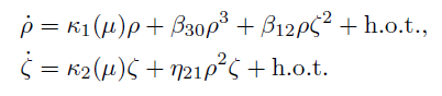
In the present section, a clearer analysis of the dynamic bifurcation of system (3) is to be conducted. The normal form on the center manifold of system (3) is reduced to the following form:
(11)The detailed calculation and analysis of system (11) are made in the Appendix. Since
through the change of variables
and
if we use double polar coordinates
then we get
and system (11) becomes

Since the third equation describes a rotation around the .-axis, it is irrelevant to our discussion, and we shall omit it. Hence we get the system in the
-plane up to the third order
(12)Where

From Section 2 we have
then the coefficient
is sufficiently small. For simplicity, we only discuss the case of
. So system (12) becomes
(13)System (13) is equivalent to system (3), we can analyze the dynamic behaviors of sys- tem (13) in the neighborhood of the bifurcation critical point, which are obtained by
When
system (13) has no solution, then the spatially inhomogeneous steady states does not exist. In order to give a mor√e .lear bifurcation picture, we choose
which satisfy the assumption
of Theorem 1. Then we have

We take
the characteristic equation (4) has a zero root and a pair of purely imaginary eigenvalues
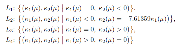
and all the other eigenvalues have negative real part. Assume that system (3) undergoes a Hopf-zero bifurcation from the equilibrium point (0, 0, 0, 0, 0, 0). After a simple calculation, we get
, By analyzing the above contents we can obtain the bifurcation critical lines

and phase portraits as shown in Fig. 2.
From [14] the dynamic characteristic of system (13) in
near the critical parameters
are as follows:
In D1, system (13) has only one trivial equilibrium Mo, which is a sink.
In D2, the trivial equilibrium (corresponding to Mo) becomes a saddle from a sink, and an unstable periodic orbit (corresponding to M1) appears.
In D3, the trivial equilibrium (corresponding to Mo) becomes a source from a saddle, the periodic orbit (corresponding to M1) becomes stable, and a pair of unstable periodic solution equilibria (corresponding to
.) appears.
In D4, the trivial equilibrium (corresponding to Mo) becomes a saddle from a source, the periodic orbit (corresponding to M1) remains unstable, and the unstable periodic orbit (corresponding to
) disappear





The first, we choose a group of perturbation parameter value:
, which determined by
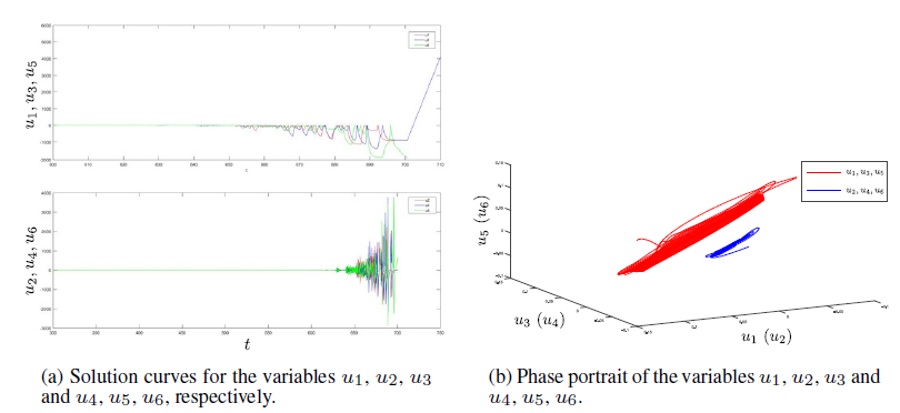
and belong to region D1 (see Fig. 3).
The second, we choose a group of perturbation parameter value:
, which determined by
and belong to the region D2 (see Fig. 4).
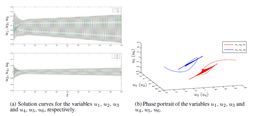
The third, we choose a group of perturbation parameter value:
, which determined by
and belong to the region .. (see Fig. 5).
The last, we choose a group of perturbation parameter value:
, which determined by
and belong to the region .. (see Fig. 6).
4 Conclusions
In this paper, we have investigated the Hopf-zero bifurcation in the ring of unidirectionally coupled Toda oscillators with delay. We mainly conclude the singularity in a small enough neighborhood of system (3) near equilibrium point, such as the phenomenon of stable coexistence periodic solution and unstable quasiperiodic solution caused by the self- pulsation without external force
. Moreover, the Hopf zero bifurcation of system (3) on the parameter plane is determined according to the change of control parameters
and the time delay
It shows that there may exhibit a stable trivial equilibrium point, an unstable periodic equilibrium point orbit and a pair of unstable periodic solutions (see Fig. 4(b)). Firstly, the stability of equilibrium and existence of Hopf-zero bifurcation induced by delay were discussed through characteristic equation. It is then followed by the normal form on the center manifold so that the bifurcation direction and stability of Hopf-zero bifurcation could be determined. Finally, in two-dimensional space, we presented numerical simulations to illustrate a homogeneous periodic solution bifurcating from the positive equilibrium when
and . = 
According to the physical meaning of the Toda oscillator model, the trajectory of the oscillator in the synchronous region is asymptotically stable because the more stable the system is, the more regular the transmission between the oscillators is, and the higher the industrial productivity is. In our conclusion, Hopf-zero bifurcation of the model with
occurs when the control parameters . and time delay . vary in a small range. Then we find that the dynamic characteristics of system (3) will change from stable to unstable, that is, an unstable region will be generated near the equilibrium point. However, the neighborhood is small enough to be ignored in industrial production and can almost be regarded as a stable region. We further confirm that the effect of time delay and the mutual coupling between oscillators will eventually lead to the synchronization region in the parameter plane indicating that the external oscillations and internal oscillations of the system are equally important. Therefore, it is meaningful to analyze the Hopf-zero bifurcation of the Toda oscillators model without external intervention
.
Acknowledgments
The authors wish to express their gratitude to the editors and the reviewers for the helpful comments.
References
1. C.A. Buzzi, M.A. Teixeira, J. Yang, Hopf-zero bifurcations of reversible vector fields, Nonlinearity, 14(3):623–638, 2001, https://doi.org/10.1088/0951-7715/14/ 3/310.
2. Y. Cai, C. Zhang, Hopf-pitchfork bifurcation of coupled van der Pol oscillator with delay, Nonlinear Anal. Model. Control, 22(5):598–613, 2017, https://doi.org/10.15388/ NA.2017.5.2.
3. X. Chang, J. Wei, Hopf bifurcation and optimal control in a diffusive predator-prey system with time delay and prey harvesting, Nonlinear Anal. Model. Control, 17(4):379–409, 2012, https://doi.org/10.15388/NA.17.4.14046.
4. Y. Ding, W. Jiang, P. Yu, Hopf-zero bifurcation in a generalized Gopalsamy neural network model, Nonlinear Dyn., 70(2):1037–1050, 2012, https://doi.org/10.1007/ s11071-012-0511-2.
5. T. Dong, X. Liao, T. Huang, H. Li, Hopf–pitchfork bifurcation in an inertial two-neuron system with time delay, Neurocomputing, 97:223–232, 2012, https://doi.org//10.1016/j. neucom.2012.06.008.
6. A. Dvorak, V. Astakhov, P. Perlikowski, T. Kapitaniak, Nonlinear resonance and synchronization in the ring of unidirectionally coupled Toda oscillators, Eur. Phys. J. Spec. Top., 225(13–14):2635–2643, 2016, https://doi.org/10.1140/epjst/e2016- 60016-0.
7. B. Ermentrout, Simulating, Analyzing, and Animating Dynamical Systems. A Guide to XPPAUT for Researchers and Students, Softw. Environ. Tools, Vol. 14, SIAM, Philadelphia, PA, 2002, https://doi.org/10.1137/1.9780898718195.
8. T. Faria, L.T. Magalhăes, Normal forms for retarded functional differential equations and applications to Bogdanov-Takens singularity, J. Differ. Equations, 122(2):201–224, 1995, https://doi.org/10.1006/jdeq.1995.1145.
9. T. Faria, L.T. Magalhăes, Normal forms for retarded functional differential equations with parameters and applications to Hopf bifurcation, J. Differ. Equations, 122(2):181–200, 1995, https://doi.org/10.1006/jdeq.1995.1144.
10. K. Geist, W. Lauterborn, The nonlinear dynamics of the damped and driven Toda chain: Energy bifurcation diagrams, Physica D, 31:103–116, 1988, https://doi.org/10. 1016/0167-2789(88)90016-4.
11. K. Geist, W. Lauterborn, The nonlinear dynamics of the damped and driven Toda chain: III. Classification of the nonlinear resonances and local bifurcations, Physica D, 52(2-3):551– 559, 1991, https://doi.org/10.1016/0167-2789(91)90145-Y.
12. J. Guckenheimer, P.J Holmes, Nonlinear Oscillations, Dynamical Systems and Bifurcations of Vector Fields, Springer, New York, 1983, https://doi.org/10.1007/978-1-4612- 1140-2.
13. W. Haixia, W. Qingyun, Z. Yanhong, Bifurcation analysis for Hindmarsh-Rose neuronal model with time-delayed feedback control and application to chaos control, Sci. China, Technol. Sci., 57(5):872–878, 2014, https://doi.org/10.1007/s11431-014-5535-z.
14. W. Jiang, H. Wang, Hopf-transcritical bifurcation in retarded functional differential equations, Nonlinear Anal., Theory Methods Appl., 73(11):3626–3640, 2010, https://doi.org/ 10.1016/j.na.2010.07.043.
15. W. Jiang, J. Wei, Bifurcation analysis in van der Pol’s oscillator with delayed feedback, J. Comput. Appl. Math., 213(2):604–615, 2008, https://doi.org/10.1016/j.cam. 2007.01.041.
16. D. Kouznetsov, J.F. Bisson, J. Li, K. Ueda, Self-pulsing laser as oscillator Toda: Approximations through elementary functions, J. Phys. A, Math. Theor. 40, 40(9):2107–2124, 2007, https://doi.org/10.1088/1751-8113/40/9/016.
17. J. Kozhowski, U. Parlitz, W. Lauterborn, Bifurcation analysis of two coupled periodically driven Duffing oscillators, Phys. Rev. E, Stat. Phys. Plasmas Fluids Relat. Interdiscip. Top.,51(3):1861–1867, 1995, https://doi.org/doi:10.1103/physreve.51.1861.
18. J. Llibre, A. Makhlouf, Zero-Hopf bifurcation in the generalized Michelson system, Chaos Solitons Fractals, 89(2):228–231, 2016, https://doi.org/10.1016/j.chaos. 2015.11.013.
19. G. Mircea, M. Neam¸tu, D. Opris¸, The Kaldor–Kalecki stochastic model of business cycle, Nonlinear Anal. Model. Control, 16(2):191–205, 2010, https://doi.org/10.15388/ NA.16.2.14105.
20. H. Nijmeijer, A. van der Schaft, Nonlinear Dynamical Control Systems, Springer, New York, 1996, https://doi.org/10.1007/978-1-4757-2101-0.
21. G.L. Oppo, A. Politi, Toda potential in laser equations, Z. Phys. B, Condens. Matter, 59(1):111–115, 1985, https://doi.org/10.1007/BF01325388.
22. Q. Song, R. Yang, C. Zhang, L. Tang, Bifurcation analysis of a diffusive predator-prey model with Monod-Haldane functional response, Int. J. Bifurcation Chaos Appl. Sci. Eng., 29(11):1950152, 2019, https://doi.org/10.1142/S0218127419501529.
23. N.V. Stankevich, A. Dvorak, V. Astakhov, P. Jaros, M. Kapitaniak, P. Perlikowski, T. Kapita- niak, Chaos and hyperchaos in coupled antiphase driven Toda oscillators, Regul. Chaotic Dyn., 23(1):120–126, 2018, https://doi.org/10.1134/S1560354718010094.
24. W. Stephen, D.S. Mazel, Introduction to applied nonlinear dynamical systems and chaos, Comput. Phys., .(5):563, 1990, https://doi.org/10.1063/1.4822950.
25. M. Toda, Studies of a non-linear lattice, Phys. Rep., 18(1):1–123, 1975, https://doi. org/10.1016/0370-1573(75)90018-6.
26. H. Wang, W. Jiang, Hopf-pitchfork bifurcation in van der Pol’s oscillator with nonlinear delayed feedback, Journal of Mathematical Analysis and Applications, 368(1):9–18, 2010, https://doi.org/10.1016/j.jmaa.2010.03.012.
27. X. Wu, L. Wang, Zero-Hopf bifurcation for van der Pol’s oscillator with delayed feedback, J. Comput. Appl. Math., 235(8):2586–2602, 2011, https://doi.org/10.1016/j. cam.2010.11.011.
28. X. Wu, L. Wang, Zero-Hopf singularity for general delayed differential equations, Nonlinear Dyn., 75(1–2):141–155, 2014, https://doi.org/10.1007/s11071-013-1055-9.
29. X. Wu, L. Wang, Zero-Hopf bifurcation analysis in delayed differential equations with two delays, J. Franklin Inst., 354(3):1484–1513, 2017, https://doi.org/10.1016/j. jfranklin.2016.11.029.
30. X. Xu, J. Wei, Bifurcation analysis of a spruce budworm model with diffusion and physiological structures, J. Differ. Equations, 262:5206–5230, 2017, https://doi.org/ 10.1016/j.jde.2017.01.023.
31. R. Yang, C. Zhang, Dynamics in a diffusive predator prey system with a constant prey refuge and delay, Nonlinear Anal., Real World Appl., 31:1–22, 2016, https://doi.org/10. 1016/j.nonrwa.2016.01.005.
32. C. Zhang, A. Ke, B. Zheng, Patterns of interaction of coupled reaction-diffusion systems of the FitzHugh-Nagumo type, Nonlinear Dyn., 97(6):1451–1476, 2019, https://doi.org/ 10.1007/s11071-019-05065-8.
33. C. Zhang, B. Zheng, Explicit formulas for computing the normal form of Bogdanov-Takens bifurcation in delay differential equations, Nonlinear Dyn., 89(2):1187–1194, 2017, https://doi.org/10.1007/s11071-017-3509-y.
34. C. Zhang, B. Zheng, R. Su, Realizability of the normal forms for the non-semisimple 1:1 resonant Hopf bifurcation in a vector field, Commun. Nonlinear Sci. Numer. Simul.,91:105407, 2020, https://doi.org/10.1016/j.cnsns.2020.105407.
35. B. Zheng, H. Yin, C. Zhang, Equivariant Hopf-pitchfork bifurcation of symmetric coupled neural network with delay, Int. J. Bifurcation Chaos Appl. Sci. Eng., 26(12):1650205, 2016, https://doi.org/10.1142/S0218127416502059.
Appendix
Appendix
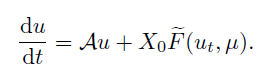
In this section, we will derive the normal form of system (3) by using the Faria and M√a- galhăes method [8, 9] regrading γ and τ as bifurcation parameters. Suppose
, then system (3) undergoes a Hopf-zero bifurcation from the trivial equilibrium at the critical point
. After scaling
, system (3) can be written as
(A.1)Consider the linearization of system (A.1)

Choose the space
and, for any
define that
, then the phase space C can be chosen as the Banach space of con- tinuous function from
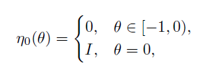
with the supremum norm. Since L0 is a bounded v linear operator, then we define

where
is a matrix-valued function whose components are bounded variation, and its definition is given by

And

Take the Taylor expansion of system (A.1) at the equilibrium point, and let
, then µ is the bifurcation parameter, and system (A.1) becomes
(A.2)Let

Where

Then system (A.2) can be transformed into

and the bilinear form on C and C* (* stand for adjoin) is

where

Because L0 has a simple 0 and a pair of purely imaginary eigenvalues
all other eigenvalues have negative real part.
can be the generalized eigenspace associated with Λ and PΛ∗ the space adjoint with PΛ. Then C can be decomposed as
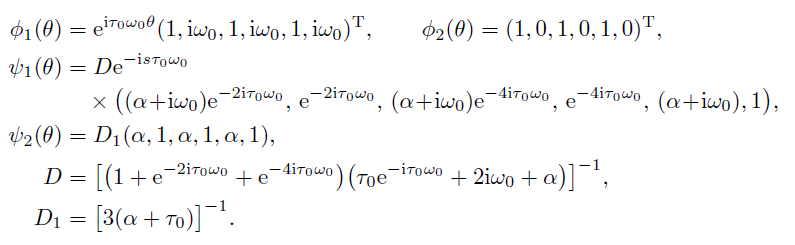
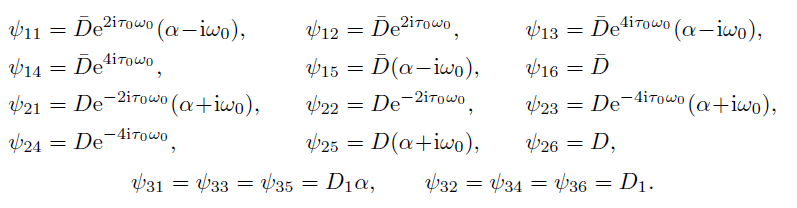
Choose the bases
and
Suppose that the bases for
are given by

Where

Thus system (A.2) becomes an abstract ODE in the space BC, which can be identified as 
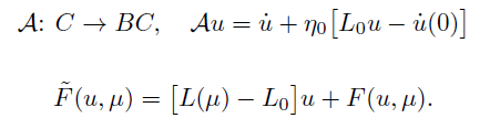
(A.3)The elements of BC can be written as
, and

where u ∈ C and A is defined by

Then the enlarged phase space BC can be decomposed as
is the restriction of A as an operator from Q1 to the Banach space Ker π, namely

Equation (A.3) is decomposed to the form (

Using the method of Faria and Magalhăes [8, 9], the above system can be written as
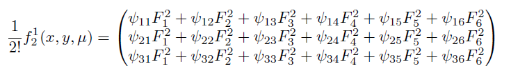
(A.4)where fi(x, y, µ) is homogeneous polynomials of degree j about (x, y, µ) with coeffi- cients in C3. Here, define Mj to be the operator in
with the range in the same space by

where
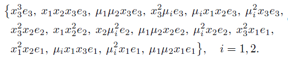
represents the linear space of the second-order homogeneous polynomials in seven variables
with coefficients in C3, and it is easy to verify that one can choose such a decomposition

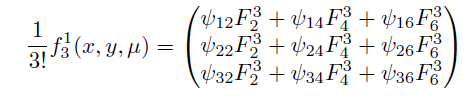
where Ker(M 1/2) and Ker(M 1/3) represent the complimentary space, respectively, and thespan elements of Ker(M1/2 ) are

Similarly, we can get that Ker(M 1/3) is spanned by

Let

where

Next, we will do a little more detailed calculation:

then we have

And

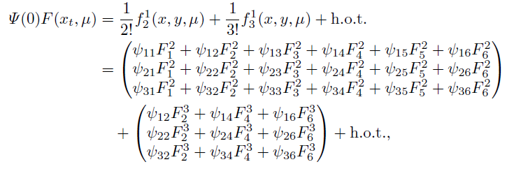
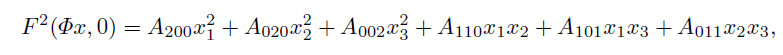
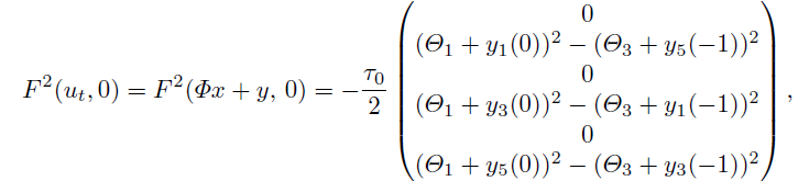
On the center manifold, the first equation of system (A.4) can be transform as the Following normal form:

with
.
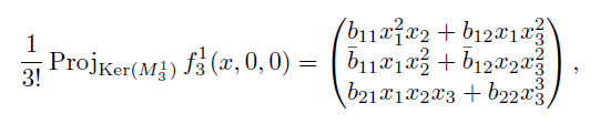
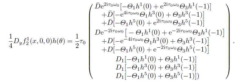
Step 1. Calculate g1 

where

Step 2. Calculate
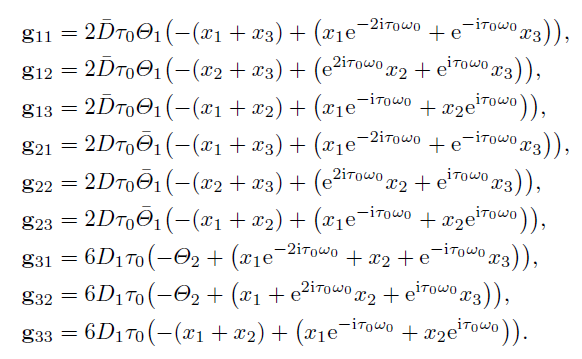
according to the expression from [27] as follows

We need to calculate step by step. First, calculate
.

where

then we have

Where

Second, calculate
since

Where

with the elements of Im(M 1/2) (µ = 0)

Then we have

Where

Combining to the above, we obtain

Where

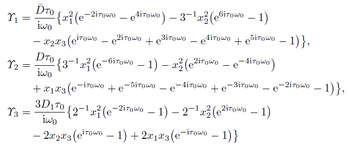
Step 3. We compute
. Define
Then we have

And

where
and
. Comparing the coefficients of
from the equation
, we can get
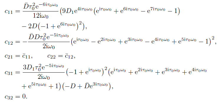
. According to the definition of AQ1 and , we obtain that h200, h101 satisfy the followingdifferential equations, respectively:

Since

We have

Continue to find the derivative of y and get the value of
Then we have
(A.5)By expanding the original equation
we have

thus 
So we know that
According to system (A.5), we have 
From Steps 1–3 the normal form (11) has been obtained