Articles
Existence of positive S-asymptotically periodic solutions of the fractional evolution equations in ordered Banach spaces.
Existence of positive S-asymptotically periodic solutions of the fractional evolution equations in ordered Banach spaces.
Nonlinear Analysis: Modelling and Control, vol. 26, núm. 5, pp. 928-946, 2021
Vilniaus Universitetas

Recepción: 11 Octubre 2020
Revisado: 15 Enero 2021
Publicación: 01 Septiembre 2021
Abstract: In this paper, we discuss the asymptotically periodic problem for the abstract fractional evolution equation under order conditions and growth conditions. Without assuming the existence of upper and lower solutions, some new results on the existence of the positive S-asymptotically ω-periodic mild solutions are obtained by using monotone iterative method and fixed point theorem. It is worth noting that Lipschitz condition is no longer needed, which makes our results more widely applicable.
Keywords: fractional evolution equation, .-asymptotically periodic solution, positive .0-semi- group, positive mild solution, monotone iterative method.
1 Introduction
Let
be an ordered Banach space, whose positive cone
is a normal cone with normal constant
is the zero element of E. In this paper, we discuss the positive S-asymptotically ω-periodic mild solutions for the following fractional evolution equation:

where
is a Caputo fractional derivative of the order
with the lower limits zero,
is a closed linear (not necessarily bounded) operator, and
generates a C0-semigroup
is a given continuous function, which will be specified later.
In the past decades, in view of the wide practical background and application prospects of fractional calculus in physics, chemistry, engineering, biology, financial sciences, and other applied disciplines, numerous scholars pay more attention to fractional differential equations and have found that in many practical applications, fractional differential equations can more truthfully describe the process and phenomena of things’ motion development than integer differential equations (see [1, 30, 40] and references therein). Since fractional evolution equations are abstract models from many practical applications, the study for fractional evolution equations has attracted more and more attention of mathematicians (see [6, 12, 17, 37, 38, 41] and references therein).
Recently, the periodicity problems or asymptotic periodicity problems have extensive physical background and realistic mathematical model, hence, it has been considerably developed and many properties of its solutions have been studied (see [3, 11, 13, 14, 18, 20, 21, 23-25, 31, 36, 39] and references therein). On the other hand, because fractionalderivative has genetic or memory properties, the solutions of periodic boundary valueproblems for fractional differential equations cannot be extended periodically to timet in R+. Specially, the nonexistence of nontrivial periodic solutions of fractional evolutionequations had been shown in [32]. In 2008, Henríquez et al. [15] formally introduced the concept of S-asymptotically ω-periodic function, which is a more general approximate period function. Since then, the S-asymptotically periodic functions have beenwidely studied in fractional evolution equations, and the existence and uniqueness ofS-asymptoticallyω-periodic solutions have been well studied (see [3, 9, 10, 19, 29, 32, 33, 35]). It is not difficult to find that in most of the above work, the Lipschitz-type condi-tions for nonlinear functions are necessary. In fact, for equations arising in complicated reaction–diffusion processes, the nonlinear function represents the source of material orpopulation, which depends on time in diversified manners in many contexts.
It is well known that in many practice models, such as heat conduction equations, neutron transport equations, reaction diffusion equations, etc., only positive solutions are significant. But as far as we know, only a few scholars are concerned about the existence of positive solutions for fractional evolution equations on infinite interval (see [7, 8, 35]). In [7, 8], by means of the monotone iterative method Chen presented the existence and uniqueness of the positive mild solutions for the abstract fractional evolution equations under certain initial conditions. In [35], Shu studied a class of semilinear neutral fractional evolution equations with delay and obtained the existence and uniqueness of the positive S-asymptotically ω-periodic mild solutions by using contraction mapping principle in positive cone.
Inspired by the above literature, we will use a completely different method to improve and extend the results mentioned above, which will make up the research in this area blank. In Section 3, we investigate the positive S-asymptotically ω-periodic mild solutions for problem (1) under order conditions and growth conditions. Without assuming the existence of upper and lower solutions, some new results on the existence of the positive S-asymptotically ω-periodic mild solution are obtained by using monotone iterative method and fixed point theorem. It is worth noting that we no longer require nonlinear functions to satisfy Lipschitz condition, which makes our results more widely applicable. Thus, our conclusions are new in some respects. In Section 2, some notions, definitions, and preliminary facts are introduced, and at last, an example of time-fractional partial differential equation is given to illustrate the application of our results.
2 Preliminaries
In this paper, we always assume that
is an ordered Banach space, whose positive cone
is a normal cone with normal constant
is the zero element of E.
Let
be a continuous and nondecreasing function such that
for all
and
. Thus, we can define a Banach space

with the norm
. For the Banach space
, we have the following result.
Lemma 1.(See [16].) A set
is relatively compact in
if and only if
(i)B is equicontinuous;
(ii)
uniformly for
;
(iii)The set
is relatively compact in E for every
.
Next, we introduce a standard definition of S-asymptotically ω-periodic function. Let
denote the Banach space of bounded and continuous functions from
to E with the norm
.
Definition 1. (See [15].) A function
is called S-asymptotically ω-periodic if there exists
such that
. Thus, ω is called an asymptotic period of u.
Let SAP
be the subspace of
consisting of all the E-valued S-as- ymptotically ω-periodic functions equipped with norm
Then SAP
is a Banach space [15].
Define a positive cone
by

Thus,
is an ordered Banach space, whose partial order relation
is induced by the cone Kh.
Let
be a closed linear operator and
generate a positive C0-semigroup
in E. For a general C0-semigroup
, there exist
and
such that (see [28]).

Specially, C0-semigroup
is called to be uniformly bounded if

The growth exponent of
is defined by

If
, then
is said to be exponentially stable. Clearly, the exponentially stable C0-semigroup
is uniformly bounded. If C0-semigroup
is continuous in the uniform operator topology for every
in E, it is well known that ν0 can also be determined by
(the resolvent set of A)

where
is the infinitesimal generator of C0-semigroup
. We know that
is continuous in the uniform operator topology for
if
is a compact semigroup. For more details about positive C0-semigroups and compact semigroups, we can refer to [5, 22, 27, 34].
For the definition of Caputo fractional derivation, we can refer to many references (see [6, 37] and so on), so we will not repeat it here. Next, we define operator families
and
in E as following

where

is a probability density function satisfying

Lemma 2.The operator families
and
defined by (2) have the following properties:
(i)
and
are strongly continuous operators, i.e., for any
E and
,

(ii) If
is uniformly bounded , then U(t) and V(t) are linear bounded operators for any fixed t
, i.e.,

(iii)If
is compact, then U(t) and V(t) are compact operators for every
.
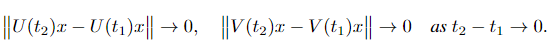
(iv)If
is equicontinuous, then U(t) and V(t) are uniformly continuous for
.
(v) If
is positive, then U(t) and V(t) are positive operators.
(vi)If
is exponentially stable with the growth exponent
, then

for every
, where Eq(·) and Eq,q(·) are the Mittag-Leffler functions.
Remark. The proof of statements (i)–(v) can be found in [6, 12, 37, 41], while the last one was proved in [4].
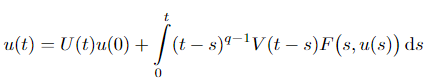
Definition 2. A function
is said to be a mild solution of problem (1) if
and satisfies

for all
. Moreover, if
for al l
, then it is said to be a positive mild solution of problem (1).
In the proof, we also need the following lemma.
Lemma 3.(See [26].) Let D be a convex, bounded and closed subset of a Banach space
is a condensing map, then
has a fixed poind in D.
3 Main results
Theorem 1.Let E be an ordered Banach space, whose positive cone K is normal cone, let
be a closed linear operator and
generate an exponentially stable, positive, and compact semigroup
in E, whose growth exponent denotes
. Assume that
E is a continuous function and the following conditions hold:
(H1) There exist nonnegative constants
and
such that

(H2) F is nondecreasing with respect to the second variable, i.e., for
,

(H3) There exists
0 such that

Then there exists a minimal positive S-asymptotically ω-periodic mild solution
of problem (1).
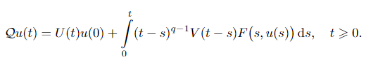
Proof. Define an operator
on
by

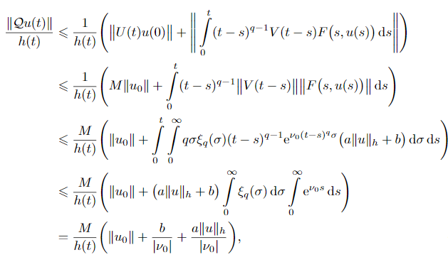
It is easy to find
is well defined. In fact, for every
and
, we have
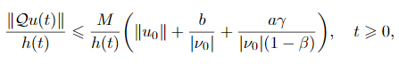
. Hence, from (H1), (3), and (5) it follows that for
,

which implies that
is well defined.
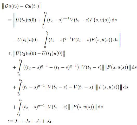
It is easy to show that
is continuous. Let
and
in
, that is, for arbitrary
, there exists sufficiently large n such that
for. For above ε, by the continuity of F it is easy to see

and the dominated convergence theorem ensures

Hence, we conclude that
is continuous from
to
. Specially, by (8) one can find that for every

where
and
. Therefore, from Definition 2 it follows that the fixed points of are mild solutions to problem (1).
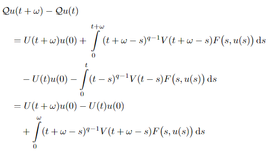
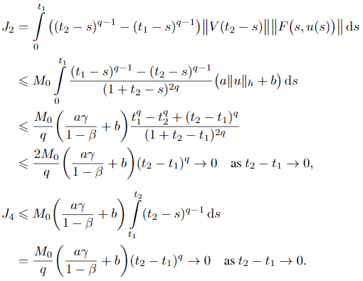
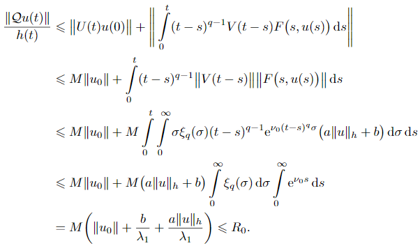
Next, we will prove that
. Choose
, then for any
, there exists a constant
such that
for all
. Thus, by continuity of F we have

On the other hand, by (H3) there is a sufficiently large constant
such that for 

Hence, for
, from (7) it follows that


According to (6), let

then

Thus, by (13) and (H1) one can find that

and

Hence, we deduce that
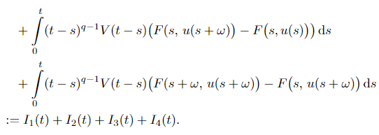
tend to 0 as
. By (13), (11), and (H1) one can obtain that


which implies that
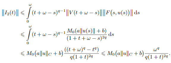
tends to 0 as
. Similarly, by (13), (12), and (H1) we can get that
tends to 0 as
. Thus, from the above results we can deduce that

namely,
, which implies that
. Now, we prove the existence of positive solutions by monotone iterative technique.
For any
with
, by (H2), (7), the positivity of
, and
, one can find that for all
,

Thus
is monotone increasing.
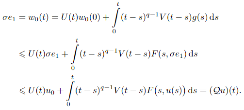
Let
. Clearly,
. Now, define a sequence
by

From the definition and properties of
, (14), (10) one can find
and

Since
from (15) it follows that

thus, the sequence
is uniformly bounded. Next, we prove that the sequence
is uniformly convergent.
Firstly,
is relatively compact on E for
. Let
and 
. Obviously,
for
. For arbitrary r
, one can obtain that
is relatively compact on E for
. In fact, for all
and for all
, we define a set
by

where

By the compactness of U(t) and
the set
is relatively compact in E. Moreover, for every
and
, one has

Hence, the set
is relatively compact, which implies that
is relatively compact on E for
. Therefore, by the definition of
and the arbitrariness of r0 we can obtain that
is relatively compact on E for
.
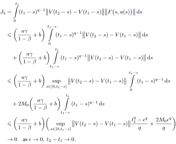
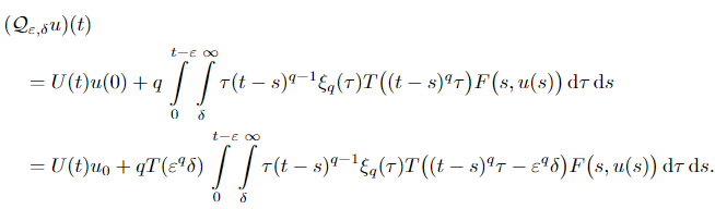
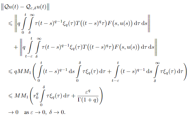
Secondly,
is equicontinuous in
. In general, let
. For any
, by the definition of
one can see

Next, we check if
tend to 0 as
independently of
. From (4) it follows that
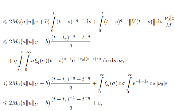
. By (H1), (13), and (16) we can obtain

If
and
, then it easy to see that
. For
and
small enough, by (H1), (13), (16), and Lemma 2(iv) we get that

As a result,
tends to 0 as
independently of
, thus
is equicontinuous.
Thirdly, for every
, by (8) and (16) one can find

which implies that
as
uniformly for
. Therefore, Lemma 1 allows us to deduce that
is relatively compact in
, thus there is convergent subsequence in
. From the monotonicity of sequence and the normality of cone we can obtain that
itself is uniformly convergent, which means that there is
such that
.

Namely
. In general,
, i = 1,2,... . Taking the limit in (17) as
, we have
, which means that
is the minimal positive S-asymptotically ω-periodic mild solution of problem (1).
Next, we always assume that the positive cone K is regeneration cone. By the characteristic of positive semigroups (see [22]), for sufficiently large 
, we have that
has positive bounded inverse operator
. Since
, the spectral radius

By the famous Krein–Rutmann theorem A has the smallest eigenvalue
, which has a positive eigenfunction e1, and

which implies that
. Hence, by Theorem 1 we have the following results.
Corollary 1.Let E be an ordered Banach space, whose positive cone K is a regeneration cone, let
be a closed linear operator and
generate an exponentially stable, positive, and compact semigroup
in E,
. Assume that
is a continuous function, and let conditions (H2), (H3), and
(H10) there exist nonnegative constants
and
such that

hold. Then problem (1) has a minimal positive S-asymptotically ω-periodic mild solution
.
Theorem 2. Let E be an ordered Banach space, whose positive cone K is regeneration cone, let
be a closed linear operator and
generate an exponentially stable, positive, and compact semigroup
in E. Assume that
is a continuous function, and let conditions (H10), (H3),
(H4) for any
with
, there is a constant
such that

hold and
. Then problem (1) has at least one positive S-asymptotically ω-periodic mild solution.
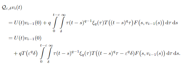
Proof. Let
be defined by (7). From the proof of Theorem 1 it follows

Since
, we can choose
. Denote

Then
is a nonempty bounded convex closed set. Hence, for any
and
, from (H10), (3), and (5) the following holds:

Let
. Then
for any
, and

By the positivity of semigroup
, condition (H4), and (7), for any
and
, one can obtain that

Thus,
and
for any
and
.
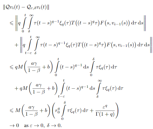
Next, we show that
is completely continuous. From assumptions (H10) and (H3) there is a constant M1 such that for all
,

Thus, it is easy to verify that the set

is relatively compact on E for any
. In order to do this, we define a set

where
, and

By the compactness of U(t) and
the set
is relatively compact in E. Right now, for every
and
, one has

Hence, the set
is relatively compact on E for
. Therefore, by the definition of
and the arbitrariness of r0 we can deduce that
is relatively compact on E for
. Moreover, it is easy to prove that set
is equicontinuous by using the method similar to Theorem 1. Also, for every
, by (8) and (19) one can find

which implies that
as
uniformly for
. Now, we can assert that
is relatively compact by Lemma 1 in Ch. Hence,
is completely continuous.
From above proof

is completely continuous, which implies that
is a condensing mapping from
into
. It follows from Lemma 3 that
has a fixed point
.
Finally, we show that
. Let
converge to
. Then, according to the continuity of
Q and (18), we can find that
converges to
uniformly in
and
, which implies that
is a positive mild solution of problem (1). This completes the proof of Theorem 2.
4 Example
We consider the following semilinear fractional parabolic equation initial boundary value problem:

where
is the Caputo fractional partial derivative of order
with the lower limits zero,
, are constants,
is a continuous function.
To treat this system in the abstract form (1), we choose the space
equipped with the L2-norm
. Let
, thus, E is an ordered Banach space, and positive cone K is a normal regeneration cone.
Define operator
by

From [2] we know that
is a self-adjoint operator in E and generates an exponentially stable analytic semigroup
,which is contractive in E. Hence,
1 for every
. Moveover, A has a discrete spectrum with eigenvalues of the form n2,
, and the associated normalized eigenfunctions are given by
for
. On the other hand, by the maximum principle of the parabolic type it is easy to find that
is a positive semigroup. Since the operator A has compact resolvent in
thus,
is a compact semigroup (see [28]),which implies that the growth exponent of the semigroup
satisfies
.
For
, we set
and

It is easy to verify that
is a continuous function. From the assumptions of problem (20) and (21) one can deduce that F satisfies the monotonicity condition (H2) and the asymptotically periodic condition (H3).
Let
, then

Combining (22) and
, one can find that condition (H10) holds. Therefore, from Corollary 1 it follows that problem (20) has a minimal positive time S-asymptotically ω-periodic mild solution
). On the other hand, it is clear that for
,

which implies that condition (H4) holds. Hence, if
, from Theorem 2 one can obtain that for problem (20), there exists at least one positive time S-asymptotically ω- periodic mild solution u
with
) for every
and
.
References
1. O. Agrawal, J. Sabatier, J. Tenreiro, Advances in fractional calculus, Springer, Dordrecht, 2007, https://doi.org/10.1007/978-1-4020-6042-7.
2. H. Amann, Periodic solutions of semilinear parabolic equations, in Nonlinear Analysis (Collection of Papers in Honor of Erich H. Rothe), Academic Press, New York, 1978, pp. 1–29, https://doi.org/10.1016/B978-0-12-165550-1.50007-0.
3. F. Andrade, C. Cuevas, C. Silva, H. Soto, Asymptotic periodicity for hyperbolic evolution equations and applications, Appl. Math. Comput., 269:169–195, 2015, https://doi.org/10.1016/j.amc.2015.07.046.
4. C. Anh, T. Ke, On nonlocal problems for retarded fractional differential equations in Banach spaces, Fixed Point Theory, 15:373–392, 2014.
5. J. Banasiak, L. Arlotti, Perturbations of Positive Semigroups with Applications, Springer, London, 2006, https://doi.org/10.1007/1-84628-153-9.
6. P. Chen, Y. Li, Existence of mild solutions for fractional evolution equations with mixed monotone nonlocal conditions, Z. Angew. Math. Phys., 65:391–404, 2014, https://doi.org/10.1007/s00033-013-0351-z.
7. Y. Chen, Z. Lv, L. Zhang, Existence and uniqueness of positive mild solutions for a class of fractional evolution equations on infinite interval, Bound Value Probl, 2017:120, 2017, https://doi.org/10.1186/s13661-017-0853-2.
8. Y. Chen, Z. Lv, L. Zhang, Existence of positive mild solutions for a class of fractional evolution equations on the half line, Adv. Difference Equ., 2017:14 pp, 2017, https://doi.org/ 10.1186/s13662-017-1331-y.
9. C. Cuevas, H.R. Henríquez, H. Soto, Asymptotically periodic solutions of fractional differen- tial equations, Appl. Math. Comput., 236:524–545, 2014, https://doi.org/10.1016/j.amc.2014.03.037
10. C. Cuevas, J. Souza, Existence of .-asymptotically .-periodic solutions for fractional order functional integro-differential equations with infinite delay, Nonlinear Anal., Theory Methods Appl., 72:1683–1689, 2010, https://doi.org/10.1016/j.na.2009.09.007.
11. T. Diagana, Almost Automorphic Type and Almost Periodic Type Functions in Abstract Spaces, Springer, New York, 2013, https://doi.org/10.1007%2F978-3-319-00849-3.
12. M. El-Borai, Some probability densities and fundamental solutions of fractional evolution equations, Chaos Solitons Fractals, 14:433–440, 2002, https://doi.org/10.1016/S09600779(01)00208-9.
13. G. Guérékata, Almost Automorphic and Almost Periodic Functions in Abstract Spaces, Kluwer, Dordrecht, 2011, https://doi.org/10.1007%2F978-1-4757-4482-8.
14. Y. Guo, M. Chen, X. Shu, F. Xu, The existence and Hyers-Ulam stability of solution for almost periodical fractional stochastic differential equation with fBm, Stochastic Anal. Appl., 2020, https://doi.org/10.1080/07362994.2020.1824677.
15. H. Henríquez, M. Pierri, P. Táboas, On .-asymptotically .-periodic functions on Banach spaces and applications, J. Math. Anal. Appl., 343:1119–1130, 2008, https://doi.org/10.1016/j.jmaa.2008.02.023.
16. E. Hernández, S. Tanaka, Global solutions for abstract functional differential equations with nonlocal conditions, Electron. J. Qual. Theory Differ. Equ., 50:1–8, 2009, https://doi.org/10.14232/ejqtde.2009.1.50.
17. I. Kim, K. Kim, S. Lim, An lq .lp)-theory for the time fractional evolution equations with variable coefficients, Adv. Math., 306:123–176, 2017, https://doi.org/10.1016/j. aim.2016.08.046.
18. M. Kostic´, Almost Periodic and Almost Automorphic Type Solutions of Abstract Volterra Integro-Differential Equations, Walter de Gruyter, Berlin, 2019, https://doi.org/10.1515/9783110641851.
19. F. Li, H. Wang, .-asymptotically .-periodic mild solutions of neutral fractional differential equations with finite delay in Banach space, Mediterr. J. Math., 14:57, 2017, https://doi.org/10.1007/s00009-017-0855-4.
Q. Li, Y. Li, Positive periodic solutions for abstract evolution equations with delay, Positivity, 25:379–397, 2021, https://doi.org/10.1007/s11117-020-00768-4.
21. Q. Li, M. Wei, Existence and asymptotic stability of periodic solutions for neutral evolution equations with delay, Evol. Equ. Control Theory, .:753–772, 2020, https://doi.org/10.3934/eect.2020032.
Y. Li, The positive solutions of abstract semilinear evolution equations and their applications, Acta Math. Sin., 39:666–672, 1996 (in Chinese).
23. Y. Li, Existence and asymptotic stability of periodic solution for evolution equations with delays, J. Funct Anal., 261:1309–1324, 2011, https://doi.org/10.1016/j.jfa. 2011.05.001.
24. C. Lizama, F. Poblete, Regularity of mild solutions for a class of fractional order differential equations, Appl. Math. Comput., 224:803–816, 2013, https://doi.org/10.1016/j. amc.2013.09.009.
25. X. Ma, X. Shu, J. Mao, Existence of almost periodic solutions for fractional impulsive neutral stochastic differential equations with infinite delay, Stoch. Dyn., 20:2050003, 2020, https://doi.org/10.1142/S0219493720500033.
26. R.H. Martin Jr., Nonlinear Operators and Differential Equations in Banach Spaces, Krieger, Malabar, FL, 1986.
27. R. Nagel, One-parameter Semigroups of Positive Operators, Springer, Berlin, 1986, https://doi.org/10.1007/BFb0074922.
28. A. Pazy, Semigroup of linear operators and applications to partial differential equations, Springer, New York, 1993, https://doi.org/10.1007/978-1-4612-5561-1.
29. M. Pierri, On .-asymptotically .-periodic functions and applications, Nonlinear Anal., Theory Methods Appl., 75:651–661, 2012, https://doi.org/10.1016/j.na.2011.08. 059.
30. I. Podlubny, Fractional Differential Equations, Academic Press, San Diego, CA, 1999.
31. R. Ponce, Bounded mild solutions to fractional integrodifferential equations in Banach spaces, Semigroup Forum, 87:377–392, 2013, https://doi.org/10.1007/s00233-013-9474-y.
32. L. Ren, J. Wang, M. Fecˇkan, Asymptotically periodic solutions for Caputo type fractional evolution equations, Fract. Calc. Appl. Anal., 21:1294–1312, 2018, https://doi.org/10.1515/fca-2018-0068.
33. L. Ren, J. Wang, D. O’Regan, Asymptotically periodic behavior of solutions of fractional evolution equations of order 1 < α < 2, Math. Slovaca, 69:599–610, 2019, https://doi.org/10.1515/ms-2017-0250.
34. W. Ruess, Summers W, Operator semigroups for functional differential equations with delay, Trans. Am. Math. Soc., 341:695–719, 1994, https://doi.org/10.1090/S0002-9947-1994-1214785-X.
35. X. Shu, F. Xu, Y. Shi, .-asymptotically .-positive periodic solutions for a class of neutral fractional differential equations, Appl. Math. Comput., 270:768–776, 2015, https://doi.org/10.1016/j.amc.2015.08.080.
36. G. Stamov, J. Alzabut, Almost periodic solutions for abstract impulsive differential equations, Nonlinear Anal., Theory Methods Appl., 72:2457–2464, 2010, https://doi.org/10.1016/j.na.2009.10.042.
37. J. Wang, Y. Zhou, A class of fractional evolution equations and optimal controls, Nonlinear Anal., Real World Appl., 12:263–272, 2011, https://doi.org/10.1016/j.nonrwa.2010.06.013.
38. R. Wang, D. Chen, T. Xiao, Abstract fractional cauchy problems with almost sectorial operators, J. Differ. Equations, 252:202–235, 2012, https://doi.org/10.1016/j. jde.2011.08.048.
39. T. Zhang, L. Xiong, Periodic motion for impulsive fractional functional differential equations with piecewise Caputo derivative, Appl. Math. Lett., 101:106072, 2020, https://doi.org/10.1016/j.aml.2019.106072.
40. Y. Zhou, Basic Theory of Fractional Differential Equations, World Scientific, Singapore, 2014, https://doi.org/10.1142/9069.
41. Y. Zhou, Fractional Evolution Equations and Inclusions: Analysis and Control, Elsevier, Amstardam, 2016, https://doi.org/10.1016/C2015-0-00813-9.