Transmission dynamic and backward bifurcation of Middle Eastern respiratory syndrome coronavirus
Transmission dynamic and backward bifurcation of Middle Eastern respiratory syndrome coronavirus
Nonlinear Analysis: Modelling and Control, vol. 27, núm. 1, pp. 54-69, 2022
Vilniaus Universitetas

Recepción: 14 Agosto 2020
Publicación: 01 Enero 2022
Abstract: Middle East respiratory syndrome coronavirus (MERS-CoV) remains an emerging disease threat with regular human cases on the Arabian Peninsula driven by recurring camels to human transmission events. In this paper, we present a new deterministic model for the transmission dynamics of (MERS-CoV). In order to do this, we develop a model formulation and analyze the stability of the proposed model. The stability conditions are obtained in term of R0, we find those conditions for which the model become stable. We discuss basic reproductive number R0 along with sensitivity analysis to show the impact of every epidemic parameter. We show that the proposed model exhibits the phenomena of backward bifurcation. Finally, we show the numerical simulation of our proposed model for supporting our analytical work. The aim of this work is to show via mathematical model the transmission of MERS-CoV between humans and camels, which are suspected to be the primary source of infection.
Keywords: epidemic model, reproductive number, stability analysis, backward bifurcation, numerical simulation.
1 Introduction
A new coronavirus was identified in Saudi Arabia in September 2012 known as Middle Eastern respiratory syndrome coronavirus (MERS-CoV) [5, 11]. MERS-CoV is associ- ated with an animal source in the Middle East. Besides human, MERS-CoV has been found in camel in several countries [1]. Since its emergence in 2012, the Middle East respiratory coronavirus (MERS-CoV) has caused spill over from the dromedary camel population into the human population. This virus also spread from an infected person’s respiratory secretion such as through coughing. MERS-CoV has spread from ill people to others through closed contacts such as caring for or living with an infected person [3]. Since April 2012 till date, there have been a total of 536 cases with 145 deaths, a case fa- tality rate of 27 percent with the majority being reported in the Middle East (Saudi Arabia, Jordan, and Qatar) [2]. For the forecast of dynamics of infectious diseases, see [8, 10, 18]. One of the largest outbreaks of MERS-CoV has been described by Assire et al. [4] with the description that the virus is transmissible from human to human. Zumla et al. [19] pointed out in a review article that the reason for the camel to human transmission could be the indirect exposure, e.g., it was possible that the patient’s exposure to MERS-CoV was consumption of unpasteurized camel milk, which is very common practice in Saudi Arabia.
Poletto et al. [15] believed that peoples movement and maxing during Hajj and Umrah were mainly responsible for MERS-CoV transmission. Besides, camel racing, closing and the opening again of camel market along with climatic factors could have an impact on the transmission of MERS-CoV from camels to humans and then among humans.
In this paper, we take the human and camel population. We construct a compartmental model for the transmission dynamics of MERS-CoV. The model is consisting of human population, that is: susceptible human Sh, exposed or latent human Eh, symptomatic and infectious human Ih, infectious but asymptomatic class human Ah, hospitalized class Hh, and recovery class human Rh. Camel population, which consists of susceptible camel Sc, asymptomatic infected camel Xc, and symptomatic infected camel Yc. We analyze the stability of the proposed model. The stability conditions are obtained in terms of basic reproductive number. To find the transmission potential of diseases, we investigate a formula for the basic reproduction number of camel to human population and from human to human population by using next-generation matrix method. For local stability of the proposed model (1), we use Routh–Hurwitz criteria. When the basic reproductive number is less than one, the disease-free equilibrium of the model is locally asymptotically stable, therefore, the disease dies out after some period of time. While when the basic reproduction number is greater than one, the disease will prevail and persist in the population. We also investigate the model for global stability by using Lyapunov function theory. Sensitivity analysis was carried out on the model parameters to analyze their impact on disease transmission. The backward bifurcation in a disease model has an important qualitative implications. We find backward bifurcation and endemic equilibria. Numerical simulation of the proposed model (1) was carried out, and the results are displayed.
This article is arranged as follows. Section 2 represents the mathematical construction of epidemic model. In Section 3, we show the positivity and boundedness of the proposed model. In Section 4, we analyzed the stability of the proposed model. Equilibria and basic reproductive number of model (1) are presented in Sections of 4.1 and 4.2. Section 5 deal with backward bifurcation and endemic equilibria. In Section 6, we present the global asymptotic stability of endemic equilibrium by using Lyapunov function theory. Numerical simulation results of the proposed model are presented in Section 7.
2 Model formulation
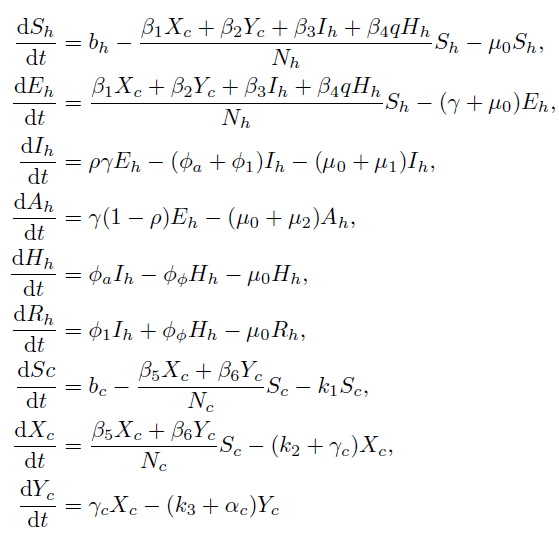
In this section, we develop a compartmental epidemic model of Middle Eastern respira- tory syndrome coronavirus (MERS-CoV). According to biological characteristics of the MERS-CoV, we divide the total population into human and camel populations. Sh(t) is susceptible human, Eh(t) is the exposed human, Ih(t) is symptomatic and infectious hu- man, infectious but asymptotic class human Ah(t), hospitalized human Hh(t), recovery class Rh(t), Sc(t) is susceptible camel, Xc(t) is asymptomatic infected camel, and Yc(t) is symptomatic infected camel. Keeping the characteristic of Middle Eastern respiratory syndrome coronavirus (MERS-CoV) along with the above characterization leads to the following system of ordinary differential equations:
[1]with initial size of population

Here bh is the birth rate of human population, β1, β2, β3, β4, β5, β6 show the transmission rate per unit time, q show the approximate transmission rate of hospitalized patient. The rate at which individuals leave the exposed class by becoming infectious is γ. ρ is the proportion of progression from exposed class Eh(t) to symptomatic infectious class Ih(t), 1 ρ is that of progression to asymptotic class Ah(t), φa is the average rate at which symptomatic individuals hospitalize, and φ1 is the recovery rate without being hospitalized. φφ is the recovery rate of the hospitalized patient. µ0 is the natural death rate, µ1, µ2 are death rate due to MERS-CoV.

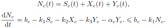
he camel population is represented as SI model, where bc is the birth rate of camel population, Sc represents susceptible camels, Xc represents asymptomatic infected camels, and Yc represents symptomatic camels. γc is the moving rate from asymptomatic camel to symptomatic camel population. k1, k2, k3 are the natural death rate of susceptible, asymptomatic camel, and symptomatic infected camels. αc is the death rate due to MERS- CoV. Nh and Nc are human and camel populations, respectively.
3 Positivity and boundedness
Lemma 1. All the variables given in model (1) are positive and bounded.
Proof. The positivity follow from the standard argument [16] with which we can show that if
then
is positively invariant under the flow induced by model (1).
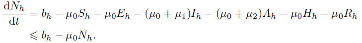
For boundedness, we call total human population in model (1) by Nh(t) and camel population by Nc(t). Let Nh(t) represents the total human population at time t, i.e.,

The time differentiation of Nh(t) and the use of equations in model (1) give

This means that there exists
represents the total camels population at time ,

This means that there exists
.
From the above results it follows that
are bounded on their maximal domain. Therefore, for biological feasibility, we study (1) in the closed set

The Jacobian of model (1) is given by
[2]Here

4 Stability analysis
We investigate the positivity and boundedness of the proposed model. We then study the qualitative behaviour of the proposed model (1). For this, first, we find equilibria and the threshold quantity R0.
4.1 Equilibrium analysis and threshold quantity
For disease-free equilibria, we set all the variables and rate of change equal to zero except
, the disease-free equilibrium of the proposed model (1) become
. The dynamic of this equilibrium will be discuss with the help of linear stability analysis theory. On the basis of stability theory, we find those condition for which the model become stable and disease spreading will be under control. We state the dynamic of the proposed model around disease-free equilibrium with the help of the following result.
The disease-free equilibrium point
, is lo- cally stable if R0 < 1, otherwise, the disease-free equilibrium is unstable when R0 > 1.
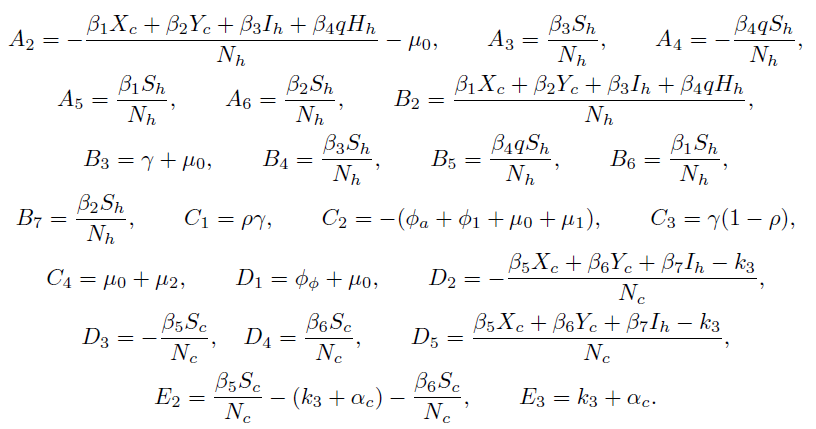
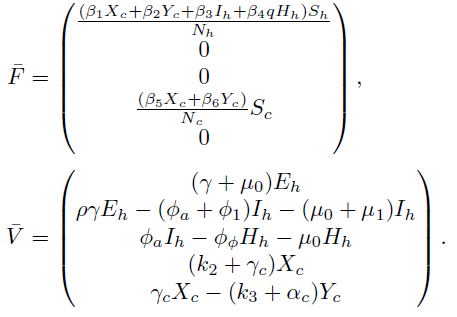
n epidemiology the basic reproduction ratio of an infection can be thought of as the expected number of cases directly generated by one case in a population when all the population are susceptible to infection. We use next-generation matrix method to find the basic reproductive number [6]. In Eq. (3) the matrices
and
contain the nonlinear and linear terms, respectively, that is,
[3]The Jacobian matrices of
and
at disease-free equilibrium d0 are the following:

where
and 
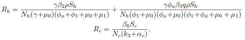
The basic reproduction number R0 is therefore the spectral radius of next-generation matrix
, where

4.2 Sensitivity analysis
We present analysis of the sensitivity of a few parameters using in the proposed model. This make it easier for us to know the parameters that have a significant effect on repro- ductive number. We apply the technic given in [9]. Sensitivity index of basic reproductive number R0 is given by
, where h is parameter.
Both Figs. 2 and 3 show the sensitivity of R0. They show the importance of different parameters in the transmission of disease and also allow to measure the change in the



reproduction number with the change in a parameter. Using these indices, we find the parameters that highly affect the reproduction number (see Table 1).
5 Endemic equilibria and backward bifurcation
We will find the endemic equilibria of system (1), where at least one of the infected component is non zero.
represent any endemic equilibrium point. Solving equations of (1) at steady state gives

where
The significance of backward bifurcation in the epidemiological model is that the classical requirement of the basic reproduction number R0 should be less than one [13], while it is necessary for the elimination of the MERS-CoV virus from the population. The presence of backward bifurcation in the proposed model suggests that the feasibility of MERS virus elimination when the basic reproduction number is less than one depends on the initial size of the subpopulation of the model.
Now
, then putting
in the first equation of model (1) at steady state and using of simple algebraic manipulation, we obtain the equation
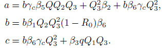
[4]In Eq. (4), a, b, and c are defined as
[5]In Eq. (5),
Clearly, the coefficient a is always positive, while b is positive or negative depend on the value of R0. As a > 0, the existence of positive solution of Eq. (4) depend on the sign of b, c, which shows that the equilibrium depend continuously on the basic reproductive number. For b2 < 4ac, Eq. (4) has no positive solutions, and there is no endemic equilibrium.
For R0 = 1, the following result holds.
Lemma 2. If R. = 1, model (1) posses the phenomena of backward bifurcation when c < 0; (see Fig. 4).

6 Stability of endemic equilibrium
We prove the local stability of model (1) at endemic equilibria (EE). For this, we have the following result.
Theorem 2. The endemic equilibrium point
is locally asymptotically stable if R0 > 1, and it is unstable for R0 < 1.
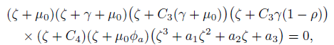
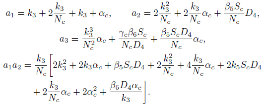
Proof. By applying the row operation and some simplification to the matrix (2) we have the following Jacobian matrix:
[6]In Eq. (6), the values of
are given as

Thus the eigenvalues of the Jacobian matrix (6) become

Here

If R0 > 1, all the eigenvalues have negative real parts. λ1 < 0 if R0 > 1, which prove the result.
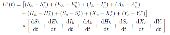
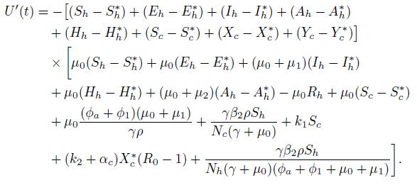
6.1 Global stability of endemic equilibrium
Theorem 3. For R0 > 1, the endemic equilibrium point D1 of model (1) is stable globally, and it is unstable for R0 < 1.
Proof. We define the Lyapunov function as [7, 17]
[7]Differentiating (7) with respect to time, we obtain

After some rearrangement and using the values of system (1), we have

The last equation implies that
for all , 
which prove the global stability of model (1) around the endemic equilibrium [14].
7 Numerical simulation
To study the dynamical behavior of the MERS-CoV model, a numerical algorithm was developed and implemented in an extensive numerical simulations by using Runge–Kutta fourth-order method using the parameter values listed in Table 2. For the simulation purpose, some parameters are chosen, and some are taken from the published data. The choice of parameters are taken in such a away that would be more biological feasible.
This numerical results are given in Figs. 5–6.


| Notation | Value | Source | Parameter | Value | Source |
| bh | 0.09 | estimated | bc | 0.022 | estimated |
| β1 | 0.09 | estimated | β2 | 0.022 | estimated |
| β3 | 0.09 | estimated | β4 | 0.022 | estimated |
| µ0 | 0.09 | estimated | k1 | 0.022 | estimated |
| φa | 0.09 | estimated | γc | 0.022 | estimated |
| φa | 0.09 | estimated | µ0 | 0.022 | estimated |
| γ | 0.026 | estimated | k2 | 0.0002 | [15] |
| k3 | 0.05 | estimated | ρ | 0.065 | estimated |
| µc | 0.023 | estimated | αc | 0.04 | [11] |
| q | 0.004 | estimated | φφ | 0.014 | estimated |
| µ1 | 0.01 | estimated | µ2 | 0.008 | estimated |
| β6 | 0.0001 | estimated | β7 | 0.008 | estimated |
8 Conclusion
In this work, we showed using a deterministic model the transmission of MERS-CoV between human population and camel population. We developed a model formulation and discussed the stability of the proposed model. The stability conditions are obtained in terms of R0. We found those condition under which the model become stable. The threshold quantity R0 measures transmission potential of disease. We found R0 by using next-generation matrix method. We performed sensitivity analysis of the basic reproduc- tive number in order to find the most sensitive parameter. We shown that the proposed model exhibits the phenomena of backward bifurcation. Finally, to support our analytical work, we have shown the numerical simulation for our proposed model.
Acknowledgments
We would like to thank our institutions for all the support provided while preparing this article.
References
1. J.A. Al-Tawfiq, K. Hinedi, J. Ghandour, Middle East respiratory syndrome coronavirus: A case-control study of hospitalized patients, Clin. Infect. Dis., 59(2):160–165, 2014, https://doi.org/10.1093/cid/ciu226.
2. A.N. Alagaili, T. Briese, N. Mishra, V. Kapoor, S.C. Sameroff, E. de Wit, V.J. Munster,L.E. Hensley, I.S. Zalmout, A. Kapoor, J.H. Epstein, W.B. Karesh, P. Daszak, O.B. Moham- med, W.I. Lipkin, Middle East respiratory syndrome coronavirus infection in dromedary camels in Saudi Arabia, MBio, .(2):e00884–14, 2014, https://doi.org/10.1128/ mBio.00884-14.
3. Y.M. Arabi, A.A. Arifi, H.H. Balkhy, Clinical course and outcomes of critically ill patients with Middle East respiratory syndrome coronavirus infection, Ann. Intern. Med., 160(6):389–397, 2014, https://doi.org/10.7326/M13-2486.
4. A. Assiri, J.A. Al-Tawfiq, J.A. Al-Rabeeah, Epidemiological, demographic, and clinical characteristics of 47 cases of Middle East respiratory syndrome coronavirus disease from Saudi Arabia a descriptive study, Lancet Infect. Dis., 13(9):752–761, 2013, https://doi.org/10.1016/S1473-3099(13)70204-4.
5. E.I. Azhar, S.A. El-Kafrawy, S.A. Farraj, A.M. Hassan, M.S. Al-Saeed, A.M. Hashem,T.A. Madani, Evidence for camel to human transmission of MERS coronavirus, N. Engl. J. Med., 370(26):2499–2505, 2014, https://doi.org/10.1056/NEJMoa1401505.
6. P. Van Den Driessche, J. Watmough, Reproduction numbers and sub threshold endemic equilibria for compartmental models of disease transmission, Math. Biosci.,180(1–2):29–48, 2002, https://doi.org/10.1016/S0025-5564(02)00108-6.
7. D.N. Fisman, A.R. Tuite, The epidemiology of MERS-CoV, Lancet Infect. Dis., 14(1):6–7, 2014, https://doi.org/10.1016.
8. W.O. Kermack, A.G. McKendrick, A Contribution to the mathematical theory of epidemics, Proc. R. Soc. Lond., A, Math. Phys. Eng. Sci., 115(772):700–721, 1927, https://doi. org/10.1098/rspa.1927.0118.
9. T. Khan, Z. Ullah, Z.N. Ali, G. Zaman, Modeling and control of the hepatitis B virus spreading using an epidemic model, Chaos Solitons Fractals, 124:1–9, 2019, https://doi.org/ 10.1016/j.chaos.2019.04.033.
10. T. Khan, G. Zaman, M.I. Chohan, The transmission dynamic and optimal control of acute and chronic hepatitis B, J. Biol. Dyn., 11(1):172–189, 2017, https://doi.org/10.1080/ 17513758.2016.1256441.
11. Y. Kim, S. Lee, C. Chu, S. Choe, S. Hong, Y. Shin, The characteristics of Middle Eastern respiratory syndrome coronavirus transmission dynamics in South Korea, Osong Public Health Res. Perspect., .(1):49–55, 2016, https://doi.org/10.1016/j.phrp.2016.01. 001.
12. J.P. LaSalle, Stability of nonautonomous systems, Nonlinear Anal., Theory Methods Appl.,61(1):83–90, 1976, https://doi.org/10.1016/0362-546X(76)90011-0.
13. A.A. Lashari, K. Hattaf, G. Zaman, X.Z. Li, Backward bifurcation and optimal control of a vector borne disease, Appl. Math. Inf. Sci., .(1):301–309, 2013, https://doi.org/10. 12785/amis/070138.
14. A.A. Lashari, G. Zaman, Global dynamics of vector borne disease with horizontal transmission in host population, Comput. Math. Appl., 61:745–754, 2011, https://doi.org/10. 1016/j.camwa.2010.12.018.
15. C. Poletto, C. Pelat, D. Lévy-Bruhl, Y. Yazdanpanah, P.Y. Boëlle, V. Colizza, Assessment of the Middle East respiratory syndrome coronavirus (MERS-CoV) epidemic in the Middle East and risk of international spread using a novel maximum likelihood analysis approach, Eurosurveillance, 19(23):20824, 2014, https://doi.org/10.2807/1560-7917. es2014.19.23.20824.
16. H.R. Thieme, Modelling in Population Biology, Princeton Univ. Press, Princeton, 2003,https://doi.org/10.1515/9780691187655.
17. G. Zaman, Y.H. Kang, I.H. Jung, Stability analysis and optimal vaccination of an SIR epidemic model, Biosystems, 93(3):240–249, 2008, https://doi.org/10.1016/j. biosystems.2008.05.004.
18. G. Zaman, Y.H. Kang, I.H. Jung, Optimal treatment of an SIR epidemic model with time delay, Biosystems, 98(1):43–50, 2009, https://doi.org/10.1016/j.biosystems. 2009.05.006.
19. A. Zumla, D.S. Hui, S. Perlman, Middle East respiratory syndrome, Lancet, 386(9997):995– 1007, 2015, https://doi.org/10.1016/S0140-6736(15)60454-8.
Appendix: Proof of Theorem 1
The Jacobian matrix of the system at
is given by

Where 
After elementary row operation, we get the characteristic equation of the Jacobian matrix (3):

Where

The application of Routh–Hurwitz criteria [12] 
implies that the eigenvalues have negative real parts, thus model (1) is locally asymptotically stable at DFE.