Existence of fixed point and best proximity point of p-cyclic orbital φ-contraction map
Existence of fixed point and best proximity point of p-cyclic orbital φ-contraction map
Nonlinear Analysis: Modelling and Control, vol. 27, núm. 1, pp. 91-101, 2022
Vilniaus Universitetas

Recepción: 15 Septiembre 2020
Publicación: 01 Enero 2022
Abstract: In this manuscript, p-cyclic orbital φ-contraction map over closed, nonempty, convex subsets of a uniformly convex Banach space X possesses a unique best proximity point if the auxiliary function φ is strictly increasing. The given result unifies and extend some existing results in the related literature. We provide an illustrative example to indicate the validity of the observed result.
Keywords: p-cyclic map, fixed point, best proximity point, p-cyclic orbital nonexpansive map.
1 Introduction
Fixed point theory appeared first in the solution of the certain differential equations, see, e.g., Liouville [15] and Picard [18]. Banach [2] successfully derived the successive approximation method from the proofs of Picard [18], and he initiated the first fixed point theorem: For every contraction
on a complete metric space
by starting from an arbitrary point
one can construct a recursive sequence
such that
, that is, x∗ is a fixed point, and it is unique. It should be noted that in this proof the continuity of the mapping is used efficiently, although it is not assumed so. Indeed, the continuity of the operators is a necessary consequence of the “fulfilling contraction” condition. Roughly speaking, “finding the unique fixed point for a given operator” is equivalent to the existence and uniqueness of the solution of the corresponding differential equations. After Banach, a huge number of papers reported to improve, extend, and generalize the metric fixed point theory, which implicitly improved the differential equations theory but not only that. Metric fixed point theory has a wide application potential in almost all quantitative sciences, in particular, theoretical computer science, economics, and engineering.
Besides this improvement in fixed point theory, there are some operators that do not admit a fixed point. In other words, in any point in its domain, we have
Accordingly, we could not find a solution for the considered differential equations or some other equations that are fulfilled by the given operator
. Roughly speaking, we could not find an exact solution for the given problem. At this handicap, optimization brings an approximate solution via “best proximity point.”
Let
be a metric space and A, B be nonempty subsets of it. Suppose, for a mapping
, that the corresponding functional equation
does not necessarily have a solution. Regarding that d(A, B) is a lower bound for
, an approximate solution
. to the corresponding functional equation
yields the least possible error when
, where dist
. Here the approximate solution
is called a best proximity point of the considered nonself mapping
Note that a best proximity point yields the global minimum of the nonlinear programming problem
since
for all
.
As it is emphasized above, the continuity of the given mapping has a crucial role in obtaining the existence and uniqueness of the fixed point. On the other hand, the continuity is a heavy condition for the given mappings. Consequently, the following natural question appears: is it possible to find a fixed point of a given mapping that is not necessarily continuous? An interesting affirmative answer was given by Kirk, Srinivasan, and Veeramani [14] (see also, for example, [7, 9, 16]).
Theorem 1. Suppose that (X, d) is complete metric space and the letters A, B reserved to denote nonempty closed subsets of it. If, for a nonself mapping
with
there exists
such that
for all
and
, then
possesses a unique fixed point in A ∩ B.
In Theorem 1,
is called cyclic map. In [10], the concept of “cyclic map” was extended as p-cyclic map as follows.
Definition 1. (See [10, Defs. 3.1, 3.2].)
be nonempty subsets of a metric space (X, d).
(i) A map
. is called a p-cyclic map if
for al
, where
, the map
is called cyclic.
(ii) A point
is said to be a best proximity point of
in Ai if
where 
For p-cyclic maps, the distances between the adjacent sets play an important role in the existence of a best proximity point. In [17, 21] and [12], the authors investigated the problem of finding a best proximity point for a p-cyclic map in which the distances between the adjacent sets need not be equal.
In [3], the following lemma is proved, and it is used to prove the main results.
Lemma 1. (See [3, Lemma 3].) Let A and B be nonempty closed subsets of a uniformly convex Banach space
such that A is convex.
be sequences in A and
be a sequence in B satisfying:
(i)
(ii) For every
there exists
such that
Then for every
there exists
such that for all 
In [11], the following notion of cyclic orbital contraction is introduced in which the contraction condition need not be satisfied for all the points.
Definition 2. Let A and B be nonempty subsets of a metric space X. A cyclic map
is said to be cyclic orbital contraction if for some
, there exists
such that

In [13], the following notion of .-cyclic orbital nonexpansive map is introduced.
Definition 3. (See [13, DEf. 6].) Let
be nonempty subsets of a metric spaceX. A p-cyclic map
is said to be p-cyclic orbital non expansive if for some
and for each
the following inequality holds:

In [5,13] and [20], the authors investigated the existence of fixed points and best prox- imity points for various types of cyclic orbital contractions. Cyclic orbital contractions can be compared with the notion of “contractive iterate at a point” introduced in [19], later generalized in [4] and [6].
In [1], the following notion of cyclic
-contraction is introduced.
Definition 4. (See [1, Def. 1].) Let A and B be nonempty subsets of a metric space
be a strictly increasing map. A cyclic map
is said to be cyclic φ-contraction if

Proposition 1. (See [8, Prop. 1].) Let
be a strictly convex normed linear space.
be nonempty and convex subsets of
.
be a p-cyclic map. Then T has at most one best proximity point in 
2 Main results
We introduce a notion called p-cyclic orbital φ-contraction, which is defined as follows
Definition 5.
be nonempty subsets of a metric space
and
be a strictly increasing map such that
We say that a p-cyclic map
is p-cyclic orbital
-contraction if for each
and for some
, the following inequality holds:
(1)Proposition 2. Every p-cyclic orbital φ-contraction map is p-cyclic orbital none xpansive.
Proof. Let
be a p-cyclic orbital φ-contraction map satisfying (1) for some 
. Since
and φ is a strictly increasing map, we have
(2)Substituting equation (2) in equation (1), we get

This completes the proof.
Proposition 3.
be nonempty subsets of a metric space
be a strictly increasing map.
is a p-cyclic orbital φ-contraction map such that equation (1) holds for some
then

Proof.
be arbitrary.
and
for
Then
is a nonincreasing sequence of non- negative real numbers and bounded below by dist
Therefore,
converges to
(say). This implies that
Since
is p-cyclic orbital nonexpansive, we have

This implies that
(3)As φ is strictly increasing and
for all
, we have
(4)From (3) and (4) we get

Hence,
(5)By combining (4) and (5) we have
This gives
as φ is a strictly increasing map. Hence the proof.
Proposition 4.
be nonempty subsets of a metric space
be a strictly increasing map.
is a p-cyclic orbital φ-contraction map satisfying (1) for some
then the following hold:

Proof. By using similar argument as in Proposition 3(i)–(iv) can be proved.
The following proposition is useful to prove the main result whose proof follows from Lemma 1, Propositions 3 and 4.
Proposition 5
be nonempty closed convex subsets of a uniformly convex Banach space
be a strictly increasing map.
is a p-cyclic orbital φ-contraction map satisfying (1) for some
then the following hold:

Proposition 6.
be nonempty subsets of a metric space X.
be a strictly increasing map and
If
is a p-cyclic orbital
-contraction map satisfying (1) for some x 2 Ai (1 6 i 6 p), then

Proof. (i)
be arbitrary. As
is p-cyclic orbital nonexpan- sive, we have

Also,

Thus,

Now by taking limit on both sides and using Proposition 4(i) we get

From the above inequality we get the following chain of inequalities

Hence,

(ii) Let
be the metric induced by the norm
Now

Thus,
and
is a best proximity point of
in
.
Theorem 2.
be nonempty closed subsets of a complete metric space
be a strictly increasing map and
Let
be a p-cyclic orbital
-contraction map of type one satisfying (1) for some
Then there exists a fixed point of
, say,
such that for any
satisfying (1), the sequence
converges to
. Proof. Let
satisfy equation (1). Let us prove that given
there exists an
such that

by induction on
be given. Now

From Proposition 4(i), for
we have
Hence, there exists an
such that
(6)Hence, it is enough to show that
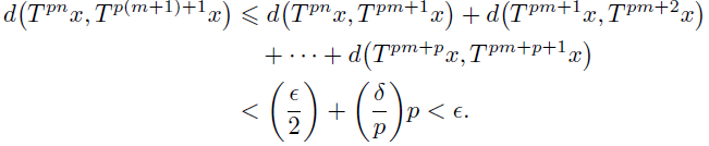
(7)Fix
such that (6) holds. Now (7) is true for
Assume that (7) is true for some
We will prove that (7) is true for
in place of
Now

Hence,
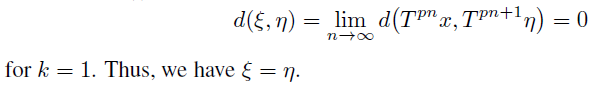
is a Cauchy sequence, and it converges to a limit, say,
For
in Proposition 4 (i), we get
Now

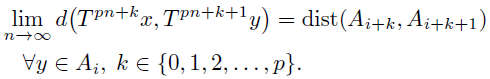
This implies that
and therefore,
is a fixed point in
. Since
is p-cyclic,
To prove that
is unique, suppose
such that
Now from Proposition 4(i)

Theorem 3.
be nonempty closed and convex subsets of a uniformly convex Banach space
be the metric induced by the norm.
be a strictly increasing map.
is a p-cyclic orbital
-contraction map of type two, then for every
satisfying equation (1), the sequence
converges to
which is a unique best proximity point of
in
.
Proof. If for every
then
has a unique fixed point in
by Theorem 2. Let us assume that dist
We claim that for every
there exists an
such that for all 

Suppose not. Then there exists an
such that for all
there exists
for which
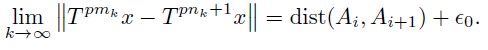
(8)By choosing mk to be the least integer greater than nk, to satisfy the above inequality, we have
(9)Now by (9), for each
,

By taking limit on both sides of above inequality as
and by using Proposition 5(ii) we have

That is,

Now
(10)Now by using p − 1 times p-cyclic orbital nonexpansiveness of T to
, we get

Let dist
Then the above inequality becomes
(11)By using (11) in (10) we get

That is,
(12)By taking limit on both sides of (12) as
and using Proposition 5(i) and (iii) in (12) we have

Since for each
we have
Hence,

Since
by (8) we have
Thus,
That is,
This is a contradiction to the fact that
is strictly increasing and
Hence the claim.
Now by Proposition 4(i)
Combining this with the claim, by Lemma 1 we have the following: for every
there exists an
such that

Therefore,
is a Cauchy sequence in
, and it converges to a point
By Proposition 6(ii) and Proposition 1,
is the unique best proximity point of
in
.
Example. Consider endowed with the Euclidean metric.
be the subsets of
defined as follows:

Define
as follows:

Define
It is easy to see that
is a 4-cyclic map and
is a strictly increasing map. We note that dist
is 4-cyclic orbital
-contraction for all points in the set 

The unique best proximity point of
and
We see that for all
the sequence
converges to the unique best proximity point of
in the respective set. Further,
do not satisfy condition (1), and
do not converge to the best proximity point.
References
1. M.A. Al-Thagafi, N. Shahzad, Convergence and existence results for best proximity points, Nonlinear Anal., Theory Methods Appl., Ser. A, 70(10):3665–3671, 2009, https://doi. org/10.1016/j.na.2008.07.022.
2. S. Banach, Sur les opérations dans les ensembles abstraits et leur application aux équations intégrales, Fundamenta Math., .:133–181, 1922, https://doi.org/10.4064/fm-3- 1-133-181.
3. A.A. Eldred, P. Veeramani, Existence and convergence of best proximity points, J. Math. Anal. Appl., 323:1001–1006, 2006, https://doi.org/10.1016/j.jmaa.2005.10.081.
4. L. Guseman, Fixed point theorems for mappings with a contractive iterate at a point, Proc. Am. Math. Soc., 26:615–618, 1970, https://doi.org/10.2307/2037119.
5. P.K. Hemalatha, T. Gunasekar, S. Karpagam, Existence of fixed point and best proximity point of .-cyclic orbital contraction of Boyd-Wong type, Int. J. Appl. Math., 31(6):805–814, 2018, https://doi.org/10.12732/ijam.v31i6.9.
6. S. Karaibyamov, B. Zlatanov, Fixed points for mappings with a contractive iterate at each point, Math. Slovaca, 64(2):455–468, 2014, https://doi.org/10.2478/s12175- 014-0218-6.
7. E. Karapınar, Fixed point theory for cyclic weak .-contraction, Appl. Math. Lett., 24(6):822– 825, 2011, https://doi.org/10.1016/j.aml.2010.12.016.
8. E. Karapinar, S. Karpagam, On . class of mappings in a .-cyclic complete metric space, Symmetry, 11:534, 2019, https://doi.org/10.3390/sym11040534.
9. E. Karapınar, K. Sadarangani, Fixed point theory for cyclic (.-.)-contractions, Fixed Point Theory Appl., 2011(69), 2011, https://doi.org/10.1186/1687-1812-2011-69.
10. S. Karpagam, S. Agrawal, Best Proximity point theorems for .-cyclic Meir–Keeler contractions, Fixed Point Theory Appl., 2009:568072, 2009, https://doi.org/10. 1155/2009/197308.
11. S. Karpagam, S. Agrawal, Best proximity point theorems for cyclic orbital Meir–Keeler contraction maps, Nonlinear Anal., Theory Methods Appl., Ser. A, 74(4):1040–1046, 2011, https://doi.org/10.1016/j.na.2010.07.026.
12. S. Karpagam, B. Zlatanov, A note on best proximity points for p-summing cyclic orbital Meir–Keeler contraction maps, Int. J. Pure Appl.Math., 107(1):225–243, 2016, https: //doi.org/10.12732/ijpam.v107i1.17.
13. S. Karpagam, B. Zlatanov, Best proximity points of .-cyclic orbital Meir–Keeler contraction maps, Nonlinear Anal. Model. Control, 21(6):790–806, 2016, https://doi.org/10. 15388/NA.2016.6.4.
14. W.A. Kirk, P.S. Srinivasan, P. Veeramani, Fixed points for mappings satisfying cyclical contractive conditions, Fixed Point Theory, .(1):79–89, 2003.
15. J. Liouville, Second mémoire sur le développement des fonctions ou parties de fonctions en séries dont divers termes sont assujettis à satisfaire à une même équation différentielle du second ordre contenant un paramétre variable, Liouville J., .:16–35, 1837.
16. M. Pa˘curar, I.A. Rus, Fixed point theory for cyclic .-contractions, Nonlinear Anal., Theory Methods Appl., Ser. A, 72(3–4), 2010.
17. M. Petric, B. Zlatanov, Best proximity points and fixed points for p-summing maps, Fixed Point Theory Appl., 2012:86, 2012, https://doi.org/10.1186/1687-1812-2012-86.
18. E. Picard, Memoire sur la théorie des équations aux derivées partielles et la méthode des approximations successives, Journ. de Math. (4), VI(145-210), 1890.
19. V. Sehgal, A fixed point theorem for mappings with a contractive iterate, Proc. Am. Math. Soc., 23:631–634, 1969, https://doi.org/10.2307/2036601.
20. M.L. Suresh, T. Gunasekar, S. Karpagam, B. Zlatanov, A study on .-cyclic orbital Geraghty type contractions, Int. J. Eng. Technol., .:883–887, 2018.
21. B. Zlatanov, Best proximity points for .-summing cyclic orbital Meir–Keeler contractions, Nonlinear Anal. Model. Control, 20(4):528–544, 2015, https://doi.org/10.15388/ NA.2015.4.5.
Notas de autor
A.D.M College for Women, Bharathidasan University, Nagapattinam-611 001, India prabavathy09@gmail.com
Saveetha Institute of Medical and Technical Sciences, Chennai-600 077, India karpagam.saravanan@gmail.com
China Medical University Hospital, China Medical University, 40402, Taichung, Taiwan
erdalkarapinar@yahoo.com; karapinar@mail.cmuh.org.tw