Existence, uniqueness, Ulam–Hyers–Rassias stability, well-posedness and data dependence property related to a fixed point problem in γ-complete metric spaces with application to integral equations
Existence, uniqueness, Ulam–Hyers–Rassias stability, well-posedness and data dependence property related to a fixed point problem in γ-complete metric spaces with application to integral equations
Nonlinear Analysis: Modelling and Control, vol. 27, núm. 1, pp. 121-141, 2022
Vilniaus Universitetas

Recepción: 25 Octubre 2020
Aprobación: 01 Enero 2022
Abstract: In this paper, we study a fixed point problem for certain rational contractions on .-complete metric spaces. Uniqueness of the fixed point is obtained under additional conditions. The Ulam–Hyers–Rassias stability of the problem is investigated. Well-posedness of the problem and the data dependence property are also explored. There is a corollary of the main result. Finally, our fixed point theorem is applied to solve a problem of integral equation. There is no continuity assumption on the mapping.
Keywords: fixed point, Ulam–Hyers stability, well-posedness, data dependence, Fredholm-type nonlinear integral equation.
1 Introduction and mathematical background
In this paper, we consider a rational contraction on metric spaces and investigate the fixed point problem associated with it. We assume that the metric space is
-complete, which is a concept introduced by Kutbi and Sintunavarat in the paper [11]. The uniqueness of the fixed point is obtained under additional conditions. Rational contractions were first introduced by Dass et al. [6] and have been considered in fixed point theory in recent works like [4, 8]. Our investigation of the different aspects of the fixed point problem is performed in a metric space without completeness property. In most of the works on similar problems, the results are obtained by employing metric completeness. Instead, we assume the weaker concept of
-completeness. There is a flexibility in such assumption since the choice of
can be different subject to certain restrictions. This is one of the main motivations behind our considerations of the problems discussed in this paper. We impose an admissibility condition on the concerned mapping. The assumption of the contractive inequality is restricted to certain pairs of points. These assumptions are in tune with certain recent trends appearing in metric fixed point theory. Further, there are scopes of extending our present results, which are discussed at the end of the paper.
We investigate Ulam–Hyers–Rassias stability of the fixed point problem. It is a general type of stability, which is considered in several areas of mathematics. Introduced by Ulam [25] through a mathematical question posed in 1940 and later elaborated by Hyers [9] and Rassias [18], such stabilities have a very large literature today [10, 16, 19].
Well-posedness and data dependence property associated with this problem are also investigated.
Finally, we have an application of our results to a problem of a nonlinear integral equation.
Definition 1. (See [1].) An element
is called a fixed point of a mapping 

Several sufficient conditions have been discussed for the existence of fixed points of
, where
has a metric
defined on it. The study is a part of the subject domain known as metric fixed point theory. The subject is widely recognized to have been originated in the work of Banach in 1922 [1], which is known as the Banach’s contraction mapping principle and is instrumental to the proofs of many important results. In subsequent times, many metric fixed point results were proved and applied to different problem arising in mathematics. Today fixed point methods are recognized as strong mathematical methods. References [12, 13] describe this development to a considerable extent.
Definition 2. (See [22].) A function
where
is a nonempty set, has triangular property if for
imply 
Admissibility conditions have recently been used for obtaining fixed point results. Various admissibility criteria were introduced in the study of fixed points of mappings. We refer the reader to [21–23] for some details on admissibility conditions.
Definition 3. (See [22].) Let
be a nonempty set,
and
.The mapping
is called
-admissible if
implies that 
Definition 4. Let
be a nonempty set and
A function
is said to have
-directed property if for every
there exists
with
such that 
Definition 5. (See [23].) A metric space
is said to have regular property with respect to a mapping
if for any sequence
in
with limit
implies for all
.
Example 1. Let
be equipped with usual metric. Let
and
be respectively defined as follows:

Here (i)
is a
-admissible mapping; (ii)
has triangular property; (iii)
has regular property with respect to
.
Recently, Kutbi and Sintunavarat coined the concept of
-complete metric space in the paper [11].
Definition 6. Let
be a metric space and
.A Cauchy sequence
in
is called a
-Cauchy sequence if
for all
.
Definition 7. (See [11].) A metric space
is said to be
-complete, where
, if every
-Cauchy sequence in . converges to a point in
.
Remark 1. If
is a complete metric space, then
is also a
-complete metric space for any
but the converse is not true.
Example 2. Let
be equipped with usual metric
. Let
be defined as

then
is a
-complete metric space. Here
is not a complete metric space. Indeed,
is a Cauchy sequence in
such that
for all
, then
[2019, 2020] for all
.As [2019, 2020] is a closed subset of
, it follows that there exists
[2019, 2020] such that
.
Definition 8. Let
be a mapping and
, where
are two metric spaces. The mapping
is said to be
-continuous at
if for any sequence
in
for all
imply that 
Remark 2. The continuity of a mapping implies its
-continuity for any
.In general, the converse is not true.
Problem P. Let
be a mapping, where
is a metric space. Consider the problem of finding a point
satisfying
.
Our paper is characterized by the following features.
2 Main results
In this section, we establish some fixed point results and illustrate them with examples. We discuss the uniqueness of the fixed point under some additional assumptions. We deduce a corollary of the main result.
Let
be a metric space and
be two mappings.
We designate the following properties by (A1), (A2) and (A3):
(A1) Z has regular property with respect to γ;
(A2) γ has triangular property;
(A3) γ has F -directed property.
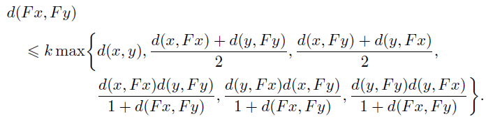
Theorem 1. Let
be a metric space and
be a function such that
is
-complete. Let
be a γ-admissible mapping and there exists
(0, 1) such that for
with 
(1)
If there exists
such that
and property (A1) holds, then
has a fixed point in
.
Proof. Let
be such that
. We construct a sequence
in
such that
(2)As
and
is
-admissible, we have
. Since
is 

(3)Let
(4)By (1)–(4) we have

Therefore,

Suppose that
. From (4) and (5) we have

which is a contradiction. Therefore,
, that is,
is a monotone decreasing sequence of nonnegative real numbers. Then from (5) we have
(6)By repeated application of (6) we have
(7)With the help of (7), we have

which implies that
is a
-Cauchy sequence in
. As
is
-complete, there exists
such that
(8)By (3), (8) and property (A1) we have
for all
. Using (2), we have
(9)Taking limit as
in (9) and using (8), we have

which implies that
, that is,
, that is,
is a fixed point of
.
Remark 3. By Remark 1, Theorem 1 is still valid if one considers
to be a complete metric space instead of a
-complete metric space.
We present the following illustrative example in support of Theorems 1.
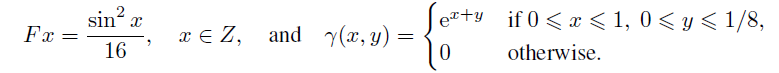
Example 3. Using the metric space
, mappings
and
as in Example 1, we see that
is regular with respect to
(see Example 1), that is, property (A1) holds, and
is a
-admissible mapping. Let 
Let
with
Then
[0, 1] and
[0, 1/8]. Therefore, it is required to verify the inequality in Theorem 1 for
[0, 1] and
[0, 1/8]. Now,
and

Hence, all the conditions of Theorem 1 are satisfied, and 0 is a fixed point of
.
Note 1. Theorem 1 is still valid if one considers the
-continuity of
instead of taking property (A1). Then the portion of the proof just after (8) of Theorem 1 is replaced by the following portion:
Using the
-continuity assumption of
, we have

Hence,
that is,
is a fixed point of
.
We present the following illustrative example in view of Note 1.
Example 4. Let
be equipped with usual metric
. Let
and
be respectively defined as follows:

then
is a
-complete metric space. Here
is not a complete metric space. Let us consider the sequence
, where
Here
as
, and
for all
. But
and hence,
is not regular with respect to
. Also,
is
-admissible. Here the function
is not continuous but
-continuous. Choose 
Let
with
Then
(0, 1). In view of the above and Note 1, it only remains to be verified that the inequality in Theorem 1 is valid for all
(0, 1). Now,
and

Here 0 is a fixed point of
.
Remark 4. By Remark 2, Theorem 1 is still valid if one considers the continuity of
instead of taking property (A1).
Theorem 2. In addition to the hypothesis of Theorem ., suppose that properties (A2) and (A3) hold. Then
has a unique fixed point.
Proof. By Theorem 1 the set of fixed points of
is nonempty. If possible, let
and
be two fixed points of
. Then
and
. Our aim is to show that
. By property (A3) there exists
with
such that
Put
and let
Then
Similarly, as in the proof of Theorem 1, we define a sequence
such that

As
is a
-admissible mapping, we have
(10)Arguing similarly as in proof of Theorem 1, we prove that
is a
-Cauchy sequence in
, and there exists
such that
(11)We claim that

As
and , by property (A2) we have
Therefore, our claim is true for
. We assume that
holds for some
. By (10),
Applying property (A2), we have
and this proves our claim.
By (1) and (12) we have, for all
,
(13)Taking limit as
in (13) and using (11), we have

which is a contradiction unless
, that is,
, that is,
(14)Similarly, we can show that
(15)From (14) and (15) we have
. Therefore, fixed point of
is unique.
We present some special cases illustrating the applicability of Theorem 1.
Remark 5. Choosing
for all
we have a corollary.
Corollary 1. Let
be a complete metric space. Then
has a unique fixed point if for some
(0, 1) and for all
one of the following inequalities holds:
(i) 
(ii)
(iii) 
(iv)
3 Ulam–Hyers stability
In [19], one can find the following definition as well as some related notions concerning the Ulam–Hyers stability, which is relevant to the present considerations. Let
be a metric space and
be a mapping. We say that the fixed point problem
Ulam–Hyers stable if there is
such that for
with
there exists
satisfying 
Definition 9. (See [24].) Problem P is called Ulam–Hyers stable if there exists a function
which is monotone increasing and continuous at 0 with
such that for each
and for each solution
of the inequality
there exists a solution
such that 
Remark 6. If
is defined as
, where
is a constant, then Definition 9 reduces to Definition in [10].
Let us consider the fixed point Problem
and the following inequation:
(16)In the next theorem, we take the following additional condition to assure the Ulam– Hyers stablity via
-admissible mapping.
(A4) For any solution
of Problem P and any solution
of (16), one has 
Theorem 3. In addition to the hypothesis of Theorem ., suppose that (A4) holds. Then the fixed point Problem . is Ulam–Hyers stable.
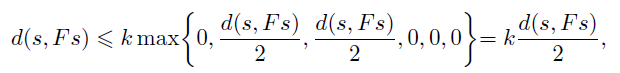
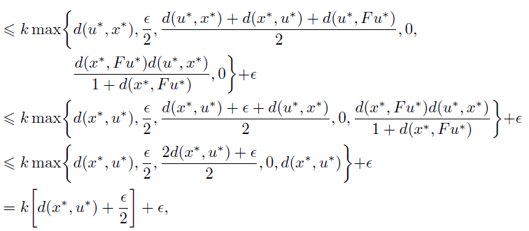
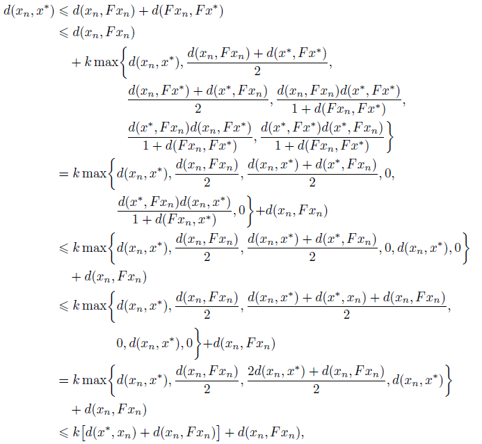
Proof. By Theorem 2 there exists unique
such that
So,
is a solution of Problem P. Let 
be a solution of (16). Then
. By property (A4) we have
With the help of (1), we have


which implies that
(17)Let
be defined by

The function
is monotone increasing, continuous, and
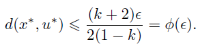
By (17) we have

Therefore, the fixed point Problem P is Ulam–Hyers stable.
4 Well-posedness
The notion of well-posedness of a fixed point problem has evoked much interest to several mathematicians (see, for example, [16, 17]). Let
be a metric space and
be a mapping. The fixed point problem of
is said to be well-posed if
has a unique fixed point
and for any sequence
in
implies 
Definition 10. (See [10].) Problem P is called well-posed if (i)
has a unique fixed point
, (ii)
as
whenever
is a sequence in
with 
In the next theorem, we take the following condition to assure the well-posedness via
- admissible mapping.
(A5) If
is any solution of Problem P and
is any sequence in
for which 
Theorem 4. In addition to the hypothesis of Theorem P, suppose that (A5) holds. Then the fixed point Problem . is well-posed.
Proof. By Theorem 2 there exists unique
such that
is a solution of Problem P. Let
be a sequence in
for which
As (A5) holds, we have
for all
. By (1) we have

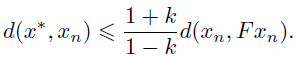
which implies that

Thus,
and hence, the fixed point Problem P is well-posed.
5 Data dependence result
In this section, we investigate the data dependence of fixed points.
Definition 11. Let
be two mappings, where
is a metric space such that
for all
, where
is some positive number. Then the problem of data dependence is to estimate the distance between the fixed points of these two mappings.
Several research papers on data dependence have been published in the recent literature, some of which we mention in references [3, 5, 20].
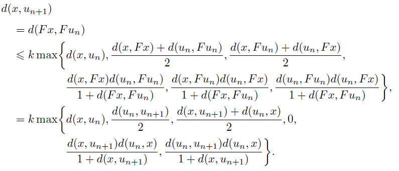
Theorem 5. In addition to the hypothesis of Theorem ., suppose that
be a mapping with nonempty fixed point set. If for each fixed point u of
and there exists
such that
for all
, then
where s and t are fixed points of F and T, respectively.
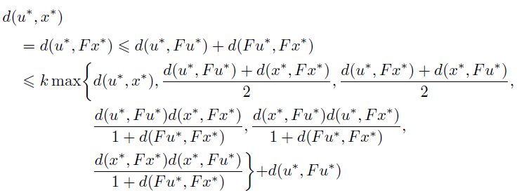
Proof. By Theorem 2 there exists unique
such that
Suppose
is a fixed point of
. Take
Then
Let
Then by definition of
we have
(18)Applying the assumption of the theorem, we have
then by admissibility property of
we have
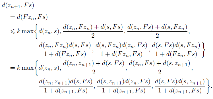
Inductively, arguing similarly as in the proof of Theorem 1, we have a sequence
in
such that

Arguing similarly as in proof of Theorem 1, we can prove that
• (7) is satisfied;
•
is a
-Cauchy sequence in the metric space
, and there exists
such that 
•
is a fixed point of
, that is,
as fixed point of
is unique, we have
Using triangular property, we have

Taking limit as
in the above inequality and using (18), we have

6 Application
We have already mentioned in introduction that fixed point theorems in metric spaces are widely investigated and have applications in differential and integral equations (see [2,15, 22]). In this section, we deal with a nonlinear integral equation. In the first part, we apply Theorems 1 and 2 to prove the existence and uniqueness of solution of Fredholm-type nonlinear integral equations. In the remaining part, we discuss three aspects of the same integral equation, namely, Ulam–Hyers stability, well-posedness and data dependence.
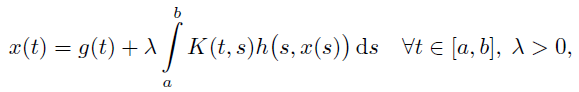
We consider the following Fredholm-type nonlinear integral equation:
(19)where the unknown function
takes real values.
The space
of all real valued continuous functions on [a, b] endowed with the metric
is complete. Let this metric space be endowed with a partial ordered relation
defined as
if
and only if for all 
Problem I. To find out a solution of the Fredholm-type integral equation

under some appropriate conditions on g, h and K.
We take the following assumptions:
(I1) 
are continuous mappings
(I2)
implies
for all 
(I3)
for all
with
and for all 
(I4)
where 
(I5) There exists
such that 
(I6) For every
([a, b]), there exists
such that
and
for all 
Theorem 6. Let
and let
satisfy assumptions (I1).(I5). Then nonlinear integral equation (19) has a solution in 
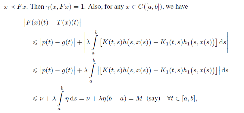
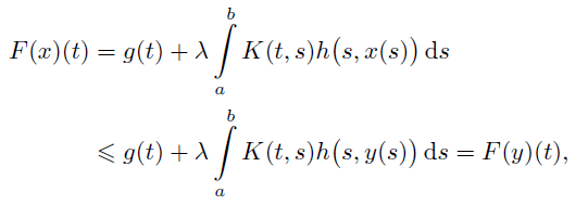
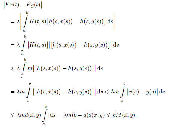
Proof. Define a mapping 

Let
([a, b]) and
Then
hence, by (I2) we have
(21)which implies 
Let
and
Then 
.Hence, by (13) we have for all 
(22)Let
be defined by

Now,
implies
Thus, by (22) the contraction condition holds for all 
By (21), for
with
we have
It follows that for
Hence, 
-admissible.
Suppose that
is a convergent sequence in
with limit
and
for all
. Then
for all
and for all
, which implies that
for all
and for all
that is,
for all
. It follows that if
is a convergent sequence in
with limit
and
then
for all
. Therefore,
has
-regular property, that is, property (A1) holds.
By (I5) there exists
such that

So,
This implies that there exists
such that 
being complete, is a
-complete metric space (see Remark 1).
All the assumptions of Theorem 1 are satisfied. Therefore,
has a fixed point, that is, the integral equation (19) has a solution in
Example 5. Consider the integral equation
(23)Observe that this equation is a special case of (19) with 


•
are continuous mappings, and hence, assumption (I1)holds.
• Assumption (I2) holds. To check, let
Then

since the function
is increasing in [0, 1].
Assumption (I3) holds. To check, let
Then for all
[0,1], we have

• Assumption (I4) holds. To check, let
[0, 1]. Then

where 
• Assumption (I5) holds. To check, let
for all
[0, 1],Then
such that for all
, that is,

Therefore, all the assumptions of Theorem 6 are satisfied. Hence, integral equation (23) has a solution
in
([0, 1]).
Theorem 7. In addition to the hypothesis of Theorem 6, suppose that assumption (I6) holds. Then nonlinear integral equation (19) has a unique solution.
Proof. First, we show that
has
-triangular property. Let
and
and
. By definition of
we have
and
that is,
and
for all
[a, b], which imply that
for all
[a, b], that is,
, that is,
Hence,
has
-triangular property. Therefore, property (A2) holds.
By assumption (I6), for
, there exists
such that
and

Hence,
for all
[a, b], that is,
Thus, for
there exists
with
such that
Therefore,
has
-directed property, that is, property (A3) holds.
All the assumptions of Theorem 2 are satisfied. Thus, by Theorems 2 and 6 . has a unique fixed point, that is, the nonlinear integral equation (19) has a unique solution in 
Being motivated by Definition 9, we give definitions of Ulam–Hyers stability for the case of integral equation (19).
Definition 12. Problem I is called Ulam–Hyers stable if there exists a function
, which is monotone increasing, continuous at 0 with
such that for each
and for each solution
of the inequality

there exists a solution
of the integral equation (19) such that

Let us consider the following the integral inequality:
(24)In the following next theorem, we add a new condition to assure the Ulam–Hyers stability of the integral equation (19):
(I7) For any solution
of (19) and any solution
of (24), one has 
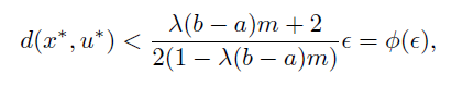
Theorem 8. Let all the hypothesis of Theorem 7 hold. Then integral equation (19) has a unique solution
. Also suppose that (I7) holds. Then Problem . is Ulam–Hyers stable, and for given
and for any solution u. of (24), we have

where is a mapping given by φ(.) = (. + 2)t/(2(1 − .)) for all t ∈ [0, ∞) and |.(t, s)| ≤ m.
Proof. By Theorem 7 the integral equation (19) has a unique solution ... Hence, it is a unique fixed point of the function . : Z Z defined by (20). Let .. is a solution of the integral inequation (24), hence, .. is a solution of .(x, Fx) ≤ ., and by (I7), .. ... By the definition of γ, γ(.., u.) ≥ 1, that is, property (A4) holds. By application of Theorem 3 the fixed point problem . = Fx is Ulam–Hyers stable. Therefore, the solution of the integral equation (19) is Ulam–Hyers stable, and

where . : [0, ∞) → [0, ∞) is a mapping given by .(.) = (. + 2)t/(2(1 − .)) for all . ∈ [0, ∞).
Being motivated by Definition 10, we give definitions of well-posedness for the case of integral equation (19).
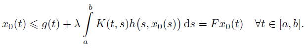
Definition 13. Problem I is called well-posed if (i) integral equation (19) has a unique solution .. in .([a, b]), (ii) x. x. in .([a, b]), whenever x. is a sequence in .([a, b]) satisfying

In the following theorem, we add a new condition to assure the well-posedness for integral equation (19).
(I8) If .. is a solution of the integral equation (19) and {x.} is any sequence in .([a, b]) such that sup then x. ≺ .. for all ..
Theorem 9. Let all the hypothesis of Theorem . hold. Then the integral equation (19) has a unique solution x.. Also suppose that (I8) holds. Then Problem . is well-posed.
Proof. By Theorem 7 the integral equation (19) has a unique solution ... Hence, it is a unique fixed point of the function . : . → . defined by (20). Let {x.} be a sequence in .([a, b]) such that sup
Then by assumption (I8) we have x. x. for all .. From definition of . we have .(x., x.) = 1 for all ., that is, property (A5) holds. By application of Theorem 4 the fixed point Problem P, that is, the problem . = Fx, is well-posed. Therefore, Problem I is well-posed.
Being motivated by Definition 11, we give definitions of data dependence for the case of integral equation.
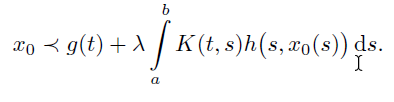
Definition 14. Let .. .([a, b]) be the unique solution of the integral equation (19) and .. be the solution of the integral equation .(.) = .(.) + . ∫ b K .t, s). (s, x(.)) d. for all . ∈ [a, b], where . ∈ .[a, b] and .. : [a, b] ×R → [0, ∞), .. : [a, b] ×[a, b] → [0, ∞) are continuous mappings. The problem of data dependence is to find sup.∈[a,b] |..(.) − ..(.)|.
Theorem 10. Let all the hypothesis of Theorem . hold and x. be the unique solution of the integral equation (19). Also suppose that if x be any solution of the integral equation
(25)where p ∈ .([a, b]) and h. : [a, b] × [a, b] → [0, ∞), K. : [a, b] × [a, b] → [0, ∞) are continuous mappings, then for all t ∈ [a, b],

Further suppose that there exist ν, η > . such that

And

Then

Proof. By Theorem 7 the integral equation (19) has a unique solution ... Let us define a map . : . → . by
(26)Since . is a solution of (25), it is a fixed point of the mapping . defined by (26). By the assumption of the theorem we have .(.) ≤ . (.)(.), . ∈ [a, b], which implies that

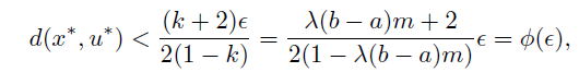
which implies that sup.∈[a,b] |. (.)(.) − . (.)(.)| ≤ . for all . ∈ .([a, b]). So, .(Fx, Tx) ≤ . for all . ∈ .. Thus, all the hypothesis of Theorem 5 are met. Therefore, we have .(x, x.) ≤ M/(1 − .) = (. + λη(. − .)).(1 − .(. − .).).
7 Conclusion
The result of the Theorem 1 is also valid if we replace the constant . by a Mizoguchi– Takahashi function [7, 14]. Here we have not proceeded with it but this can be taken up in a future work. Also the corresponding problem with multivalued mappings and possible applications to integral inclusion problems is supposed to be of considerable interest. One reason for it is that, in general, the fixed point sets of multivalued mappings are mathematically complicated in their structures. This can also be taken up in future works.
References
1. S. Banach, Sur les opérations dans les ensembles abstraits et leurs applications aux équations intégrales, Fund Math., .:133–181, 1922, http://eudml.org/doc/213289.
2. T. Gnana Bhaskar, V. Lakshmikantham, Fixed point theorems in partially ordered metric spaces and applications, Nonlinear Anal., Theory Methods Appl., 65:1379–1393, 2006, https://doi.org/10.1016/j.na.2005.10.017.
3. C. Chifu, G. Petrus¸el, Coupled fixed point results for (ϕ, G)-contractions of type (b) in b-metric spaces endowed with a graph, J. Nonlinear Sci. Appl., 10:671–683, 2017, https://doi. org/10.22436/jnsa.010.02.29.
4. B.S. Choudhury, N. Metiya, S. Kundu, Fixed point sets of multivalued contractions and stability analysis, Commun. Math. Sci., .:163–171, 2018, https://doi.org/10.33434/cams. 454820.
5. B.S. Choudhury, N. Metiya, S. Kundu, Existence, data-dependence and stability of coupled fixed point sets of some multivalued operators, Chaos Solitons Fractals, 133:109678, 2020, https://doi.org/10.1016/j.chaos.2020.109678.
6. B.K. Dass, S. Gupta, An extension of Banach contraction principle through rational expressions, Indian J. Pure Appl. Math., .:1455–1458, 1975, https://insa.nic.in/writereaddata/UpLoadedFiles/IJPAM/20005a84_1455.pdf.
7. W.S. Du, Coupled fixed point theorems for nonlinear contractions satisfied Mizoguchi– Takahashi’s condition in quasi ordered metric spaces, Fixed Point Theory Appl., 2010:876372, 2010, https://doi.org/10.1155/2010/876372.
8. J. Harjani, B. López, K. Sadarangani, A fixed point theorem for mappings satisfying a con- tractive condition of rational type on a partially ordered metric space, Abstr. Appl. Anal., 2010:190701, 2010, https://doi.org/10.1155/2010/190701.
9. D.H. Hyers, On the stability of the linear functional equation, Proc. Natl. Acad. Sci. USA, 27(4): 222–224, 1941, https://doi.org/10.1073/pnas.27.4.222.