Articles
On the boundary value problems of piecewise differentialequations with left-right fractional derivatives and delay
On the boundary value problems of piecewise differentialequations with left-right fractional derivatives and delay
Nonlinear Analysis: Modelling and Control, vol. 26, núm. 6, pp. 1087-1105, 2021
Vilniaus Universitetas

Recepción: 19 Septiembre 2020
Aprobación: 05 Marzo 2021
Abstract: In this paper, we study the multi-point boundary value problems for a new kind of piecewise differential equations with left and right fractional derivatives and delay. In this system, the state variables satisfy the different equations in different time intervals, and they interact with each other through positive and negative delay. Some new results on the existence, no-existence and multiplicity for the positive solutions of the boundary value problems are obtained by using Guo–Krasnoselskii’s fixed point theorem and Leggett–Williams fixed point theorem. The results for existence highlight the influence of perturbation parameters. Finally, an example is given out to illustrate our main results.
Keywords: boundary value problem, piecewise differential equation, left and right fractional derivative, delay, disturbance parameter, fixed point theorem.
Introduction
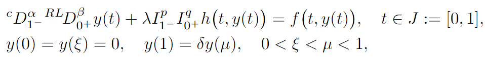
In recent decades, fractional calculus has been widely used in various fields of science and technology, and the theoretical research of fractional differential equations has also received extensive attention, see [5–8, 10, 12–15, 17, 18, 22, 23, 25, 27, 30–34, 36] and the references therein. And the differential equation with left and right fractional derivatives have been studied extensively due to the wide application [2–4, 16, 24, 29]. In [2], the following nonlocal boundary value problems of integro-differential equations involving mixed left and right fractional derivatives and left and right fractional integrals are studied

where
and
are given continuous functions, and
are constants. At the same time, the differential equations with delay have many successful applications in the fields of communication engineering, population control and so on; see [1, 9, 20, 21, 26, 28, 35].
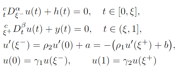
Motivated by above works, we discuss the multi-point boundary value problems for piecewise differential equations with left and right fractional derivatives and dela y

where
is the right Caputo fractional derivative, c
is the left Caputo fractional derivative,


In boundary value problem (1), the state variable u = u(t) satisfies the different equa- tions in different time intervals, and they interact with each other through positive delay τ1 and negative delay τ2. The parameters a and b in the boundary conditions represent the error in certain measurement. Some new results on the existence, no-existence and multiplicity for the positive solutions of the boundary value problems are obtained by us- ing Guo–Krasnoselskii’s fixed point theorem and Leggett–Williams fixed point theorem. The results for existence highlight the influence of perturbation parameters. Finally, an example is given out to illustrate our main results.
Preliminaries
For convenience of reading, in this section, we give out some definitions about the frac- tional calculus and some lemmas.
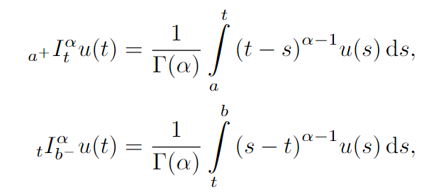
Definition 1. (See [17].) Let α > 0, a < b ∈ R, and the left and right Riemann–Liouville fractional integral of . : [a, b] → R are defined as

respectively, for 
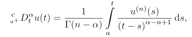
Definition 2. (See [17]). Let
, and the left Caputo fractional derivative and right Caputo fractional derivative of function
are defined as


respectively, provided the right-sided integral converges, where 
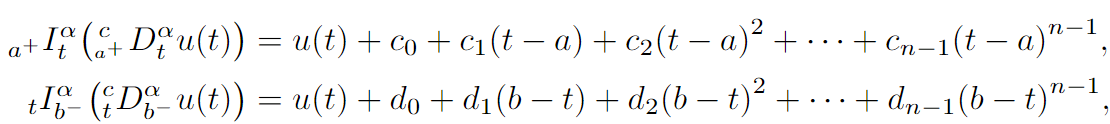
Lemma 1. (See [17]).
then

where
Lemma 2 2.(See [11].) Let E be a Banach space and P ⊂ E is a cone. Assume that Ω1, Ω2 are bounded open subsets of E with
θand let
P be a completely continuous operator such that either.
(i) 
(ii)
Then the operator T has at least one fixed point on
Lemma 3. (See [19].) Assume P is a cone in Banach space, ω is a nonnegative continu- ous concave functional on P, the constants 0 < d < q < c ≤ r. Denote 
be a completely continuous operator such that
such that
(i) 
(ii)
(iii)
Then T has at least three fixed points
such that
and 
Lemma 4. Let
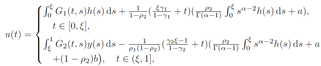
then the boundary value problem
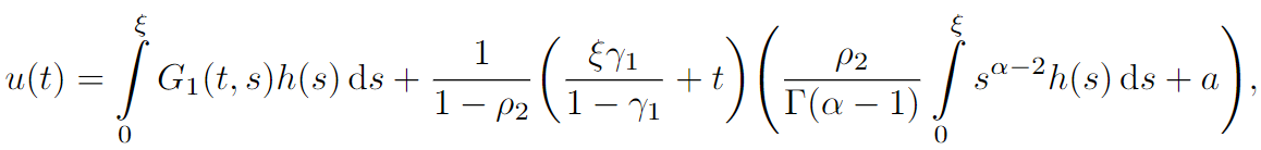
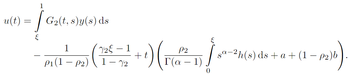
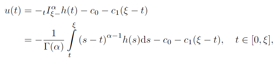
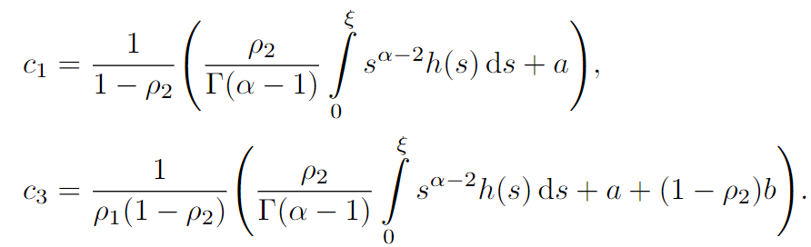
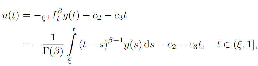
(2)has a unique solution given by

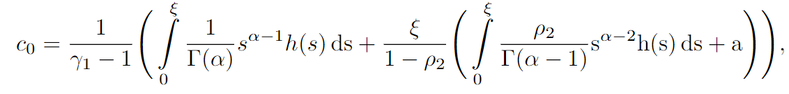
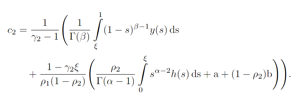
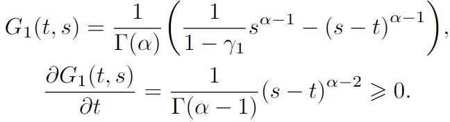
where
(4)
(5)
Proof. From Lemma 1 the general solution of the linear differential equation .
h (t)= 0 is given by
(6)and
The general solution of the linear differential equation
is given
(7)and 
By the boundary value conditions
we can easily get that
(8)By (6)–(8) and the boundary conditions
we ca also get that


Thus, by substituting c0 and c1 into (6) we can get that for 

and by substituting c2 and c3 into (7) we can get that for

Hence, u(t) satisfies equation (3) if it is the solution of the boundary value problem (2) and vice versa.
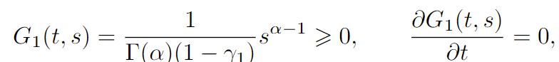
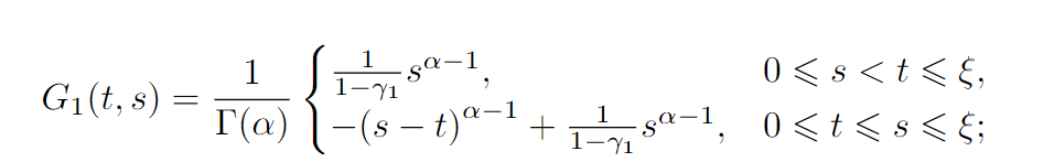
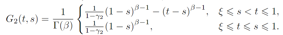
Lemma 5. Suppose
are defined by (4), (5), then Gi(t, s) has the following properties, respectively
(i) G1(t, s) is continuous and 0
on (t,s) 
(ii) G2(t, s) is continuous and 0
on (t,s) 
Proof. (i) Obviously, G1(t, s) is continuous on
For 

and for 0 ≤ t ≤ s ≤ ξ

Hence, G1(t, s) is monotone increasing for any
, and

Because G1 (0,s)
then

(ii) Similar to the proof of (i), we can prove that (ii) holds.
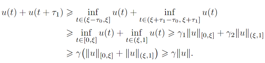
Let
is continuous in J0
Obviously, E is a Banach space with the norm 
Denote
max
.Set

Obviously, u = u(t) is a positive solution of (1) if and only if u is a fixed point of the operator T in P
Lemma 6. The operator T : P → P is completely continuous.
Proof. By Lemma 5 we can easily obtain that T : P → P.
Let
There exists a constant
such that
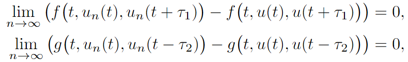
By the continuity of f(t, u, v), g(t, u, v) we have

and there is a constant
, which makes sup
and sup
where A 

Thus,
, which implies that the operator . is a continuous operator.
Let
be bounded. By the continuity of f , g, we can get that there is a constant
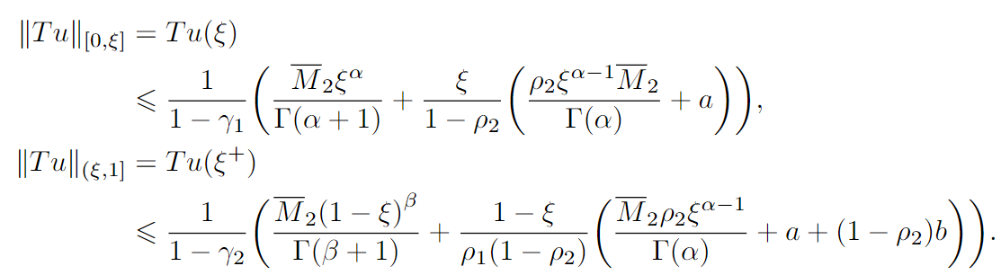
such that |f (t, u, v)
for any
, and |g(t, u, v)
for all
By Lemma 5 we can show that (Tu)′(t) ≥ 0 for t ∈ [0, ξ] and (Tu)′(t) ≤ 0 for
. Hence ,

Consequently, T (Ω) is uniformly bounded
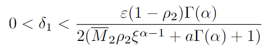
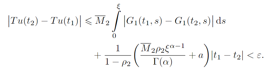
Since G1(t, s) is continuous, it is uniformly continuous on (t, s)
Hence, for any
, there exists a constant

such that
| for all
Thus, for
we have

Similarly, due to that G2(t, s) is continuous on[ξ, 1] x [ξ, 1], for above mentioned ε > 0, there exists a constant δ2 > 0 such that for t3, t4, s (ξ, 1], [t3 t 4]< δ2, we have Tu(t3) Tu(t4) < ε.
Hence, T (Ω) is equicontinuous on [0, ξ], (ξ, 1], respectively.
By Arzela–Ascoli theorem we know that operator T is a relative compactness op- erator, and because operator T is a continuous operator, it is a completely continuous operator.
Existence of the positive solutions
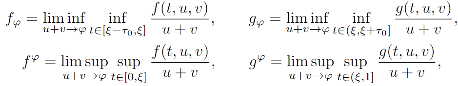
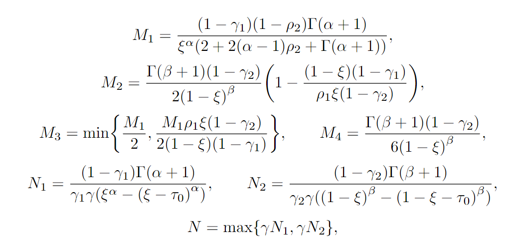
Denote


where
Theorem 1. Assume that M2 > 0 and the following conditions hold:
(H1′)
(H2′)Then there exist constants a0, b0 ≥ 0 such that boundary value problem (1) has at least one positive solution for the parameters a and b with 0 ≤ a ≤ a0, 0 ≤ b ≤ b0
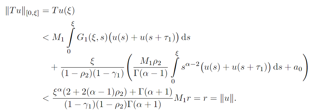
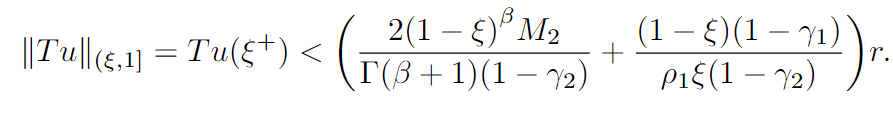
Proof. Because f0 < M1, there exists a constant r1 > 0 such that f (t, u, v) < M1(u+v) for any
u + v (0, r1). Similarly, by g0 < M2there is a constant r2 > 0 such that g(t, u, v) < M2(u + v) for any
(0, r2).
Let

and
. For any
, we have ǁuǁ = r. When
, for any
, we have


Similarly,

In view of

we have ǁTuǁ(ξ,1] < r = ǁuǁ.
Then for any
, we get ǁTuǁ ≤ ǁuǁ.
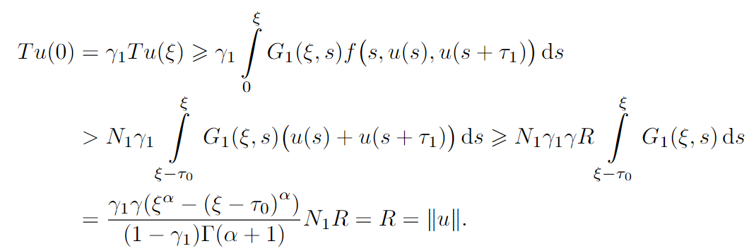
If f∞ > N1, there exists a constant R1 > 0 such that f (t, u, v) > N1(u + v) for any 
Let

For
, we have ǁuǁ = R, and

Because ǁuǁ = max{ǁuǁ[0,ξ], ǁuǁ(ξ,1]} for t ∈ (ξ − τ0, ξ] ⊂ [0, ξ], then t + τ1 ∈
and

So that

By Lemma 5 and (9) we can easily get that

Then for
, we have
According to Lemma 2, T has at least one fixed point in
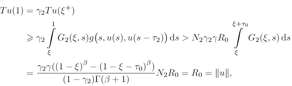
Similarly, if g∞ >N2, there is a constant R2 > 0, which makes g(t, u, v) >N2(u + v) for any
Let

We have ǁuǁ = R0 for any
and for
, then 

Thus

and because

then for any
, we have
According to Lemma 2, T has at least one fixed point in
which implies tha boundary value problem (1) has at least one positive solution.
In particular, the following result holds by Theorem 1.
Corollary 1. Assume that the following conditions hold: (H1′) f 0 = g0 =
(H1´)
(H2′)Then there exist constants a0, b0 ≥ 0 such that boundary value problem (1) has at least one positive solution for
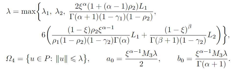
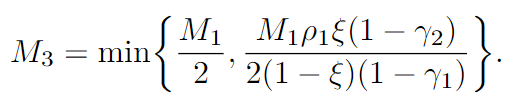
Theorem 2. Assume that the following conditions (H3) and (H4) hold: (H3) f
(H3′)
(H4′)
Then there exist constants a0, b0 > 0 such that boundary value problem (1) has at least one positive solution for
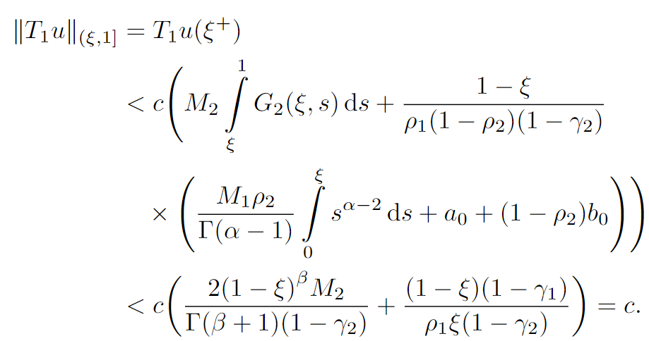
Proof. Due to f∞ < M3, then there exists a constant λ1 > 0 such that f (t, u, v) < M3(u + v) for any
Let

where 
Since f is bounded on D1, then there is L1 > 0, which makes |f (t, u, v)| ≤ L1 for any (t, u, v) ∈ D1. Hence, for all (t, u, v) ∈ D, we have

Similarly, because g∞ < M4, then there is a constant λ2 > 0 such that g(t, u, v) < M4(u + v) for any t ∈ (ξ, 1], u + v ∈ [λ2, +∞).
Let
, then there is L2 > 0 such tat |g(t, u, v)| ≤ L2 for any (t, u, v) ∈ D. Then for any t ∈ [ξ, 1] and u, v ∈ [0, +∞], we have |g(t, u, v)| < L2 + M4(u + v). Denote

For anyu∈
, which implies
Since

Then for

and

Then for any

If f0> N1, then there exists a constant
such that f(t,u,v)> N1(u+v)for any
Let

Hence, for any
, we have ‖u‖=μ. It is similar to (10), for t ∈(ξ−τ0, ξ]

Then for any

Thus, for any
, there is
According to Lemma 2,T has at least one fixed ponit in 
Similarly, if g0 > N2, there is a constant λ2 > µ2 > 0 that makes g(t, u, v) > N2 (u+v) for any 
Let

Then for any
, we have ǁuǁ = µ. Similar to (11), for t ∈ (ξ, ξ + τ0], we have

and for any
,

Thus, for any
, we have
According to Lemma 2, T has at least one fixed point in
, which implies that boundary value problem (1) has at leas une positive solution.
In particular, the following result holds by Theorem 2.
Corollary 2. Assume that the following conditions hold:
(H3′)
(H4′)
Then there exist constants a0, b0 ≥ 0 such that boundary value problem (1) has at least one positive solution for
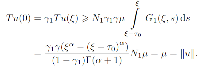
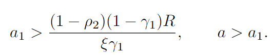
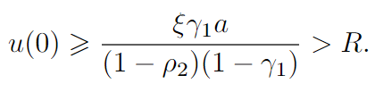
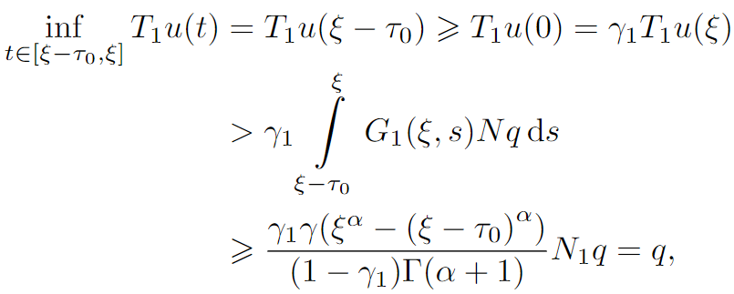
Theorem 3. Assume f∞ > N1 holds. Then there exists a large enough positive constant a1>0 such that boundary value problem (1) has no positive solution for a>a1
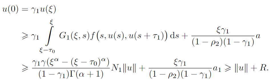
Proof. If f∞ > N1, there exists a constant R > 0 such that for any t [ξ τ0, ξ], u + v [γR, + ), we have f (t, u, v) > N1(u + v). Assume that for any large enough a > 0, boundary value problem (1) has a positive solution u = u(t)
Let

In fact , since

Hace
From (10) of Theorem 1 we have for any

Hence

So
, which is a contradiction. Thus, there exists a constant a1 > 0 such that the boundary value problem (1) has no positive ssolution for a>a2
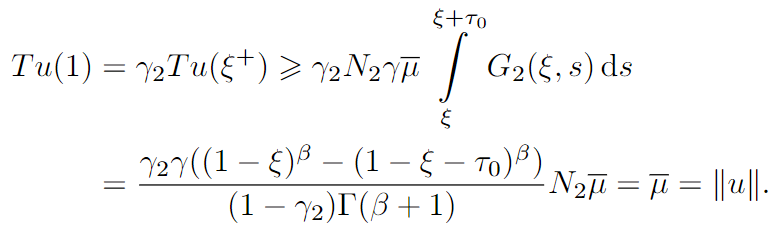
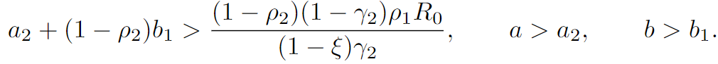
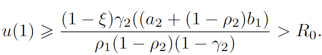
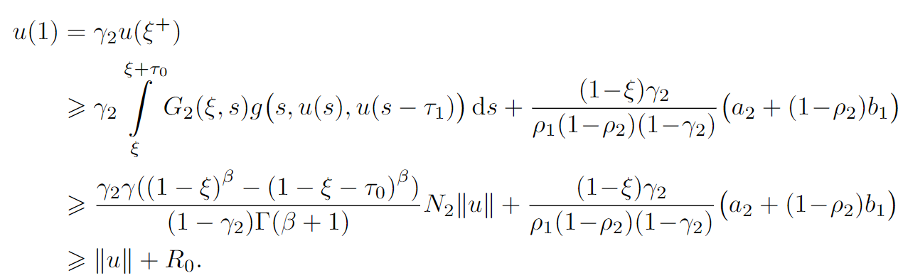
Theorem 4.Assume g∞ > N2 holds. Then there exist large enough positive constants a2, b1 > 0 such that boundary value problem (1) has no positive solution for a > a2, b > b1.
Proof. Similarly, if g∞ > N2, there exists a constant R0 > 0 such that for any
, we have g(t, u, v) > N2(u + v). Assume that for any large enough a > 0, b > 0, the boundary value problem (1) has a positive solution u = u(t).
Let

Since Tu = u, we have

Hence, ǁuǁ > R0. Since for any t ∈ (ξ, ξ + τ0],

Then

So
0, which is a contradiction. Thus, there exist constants a2, b1 > 0 such that the boundary value problem (1) has no positive solution for a > a2, b > b1
Multiplicity of the positive solutions
In this section, we consider the multiplicity of solutions for boundary value problem (1) by using Lemma 3.
Let
. Define a nonnegative continuous concave functional
Obviously,
for any
Theorem 5.Suppose there are three constants d, q, c with 0 < d < q < c, where min{M1c, M2c} ≥ Nq > 0, and the following hypotheses hold:
(H5)
(H6)
(H7)Then there exist constants a0, b0 ≥ 0 such that boundary value problem (1) has at least three positive solutions u1, u2, u3 on P for
, where ǁu1ǁ < d, ω(u2) > q, ǁu3ǁ > d, ω(u3) < q.
Proof. First of all, for any
we have
Let
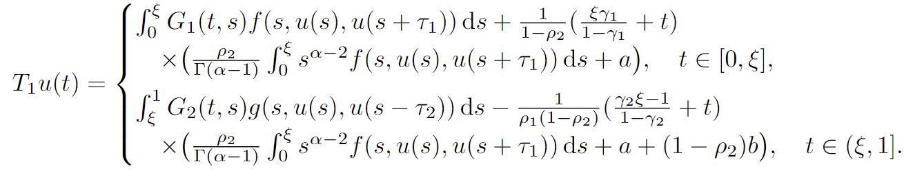
Define a operator

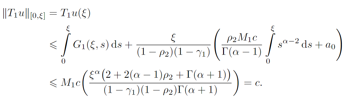
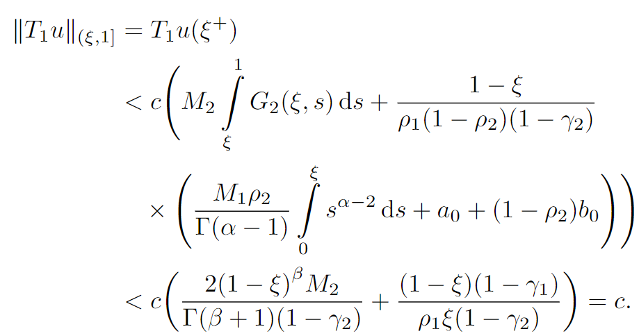
Thenu=u(t)is a solution of (1) if and only ifuis a fixed point of the operatorT1onPc. By (H5)

Since min {M1c,M2c}>Nq >0, then M2>0

and

He, we have
, which implies
Similarly, by (H5), we can get that‖T1u‖< dforu∈Pd. Therefore, the condition(ii) in Lemma 3 is satisfied.
Select u(t)
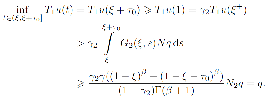
. Obviously, u(t) = (q + c)/2 ∈ P(ω, q, c) and
.For any u ∈ P(ω, q, c), we can get that u(t) > q for t ∈ [ξ − τ0, ξ + τ0] and 0 6 u(t) 6 c for t ∈ [0, 1]. By Lemma 5, we can easily get that T1u is monotone increasing on [0, ξ] and T1u is monotone decreasing on (ξ, 1]. From (H6), we get f(t, u, v) > Nq, t ∈ [ξ − τ0, ξ] and g(t, u, v) > Nq, t ∈ (ξ, ξ τ0]
Hence

and

Therefore, for u ∈ P(ω, q, c), we have ω(T1u(t)) > q. Hence, condition (i) in Lemma 3 holds.
Due to Lemma 3 involves paramaters d, q, c, r with 0
<r. Let c = r, then by condition (i) in Lemma 3 it is clearly that for u ∈ P(ω, q, c) and
, we have ω(T u) > q
Therefore, condition (iii) in Lemma 3 also satisfied. Then Lemma 3 implies that the boundary value problem (1) has at least three solutions u1, u2, u3 on Pc and

Illustration
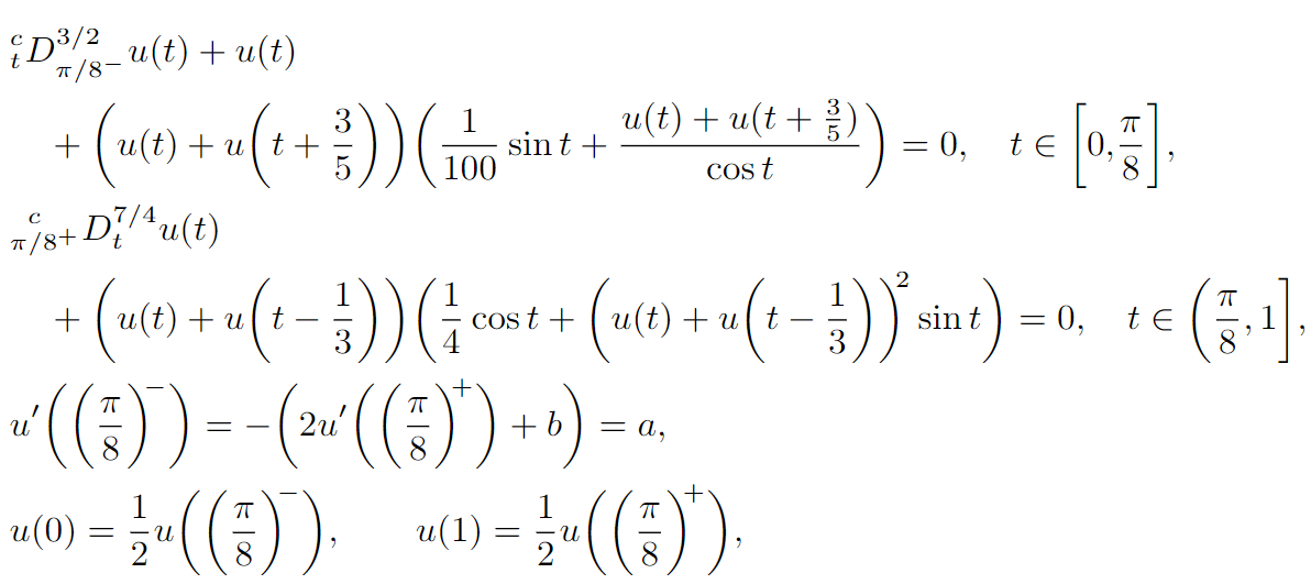
In order to illustrate the applicability of our main results, the following boundary value problem is considered in this section.
Example 1. For the following boundary value problem

we can establish the following results:
(i) If
[0, 0.019191],
[0, 0.028873], then boundary value problem (12) has at least one positive solution.
(ii) If
(2.46995 106, +
),
(2.22295 107, + ), then boundary value problem (12) has no positive solutions.
Proof. Boundary value problem (12) can be regarded as boundary value problem (1), where α = 3/2, β = 7/4, ξ = π/8, ρ1 = 2, ρ2 = 0, γ1 = γ2 = 1/2, τ1 = 3/5, τ2 = 1/3, f (t, u, v) = (u + v)(1/100) sin t + (u + v) cos t and g(t, u, v) = (u + v)((1/4) cos t + (u + v)2 sin t).
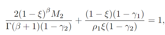
Let τ0 = 1/4 < min{τ1, τ2}, we can easily obtain that M1 ≈ 0.811256, M2 ≈ 0.218239 > 0, N1 ≈ 13.8342 and N2 ≈ 12.7312, f 0 ≈ 0.00382783 < M1, g 0 ≈ 0.23097 < M2 and g∞ = +∞ > N2
Then there exist constants r1 = 0.151, r2 = 0.234, r = min{r1/2, r2/2} = 0.0755, R0 = 7.5 × 106 , It is easy to get that a0 = (ξ α−1M1r)/2 = 0.019191, b0 = (ξ α−1M1r)/Γ(α + 1) = 0.028873, a2 = 2.46995 × 106 and b1 = 2.22295 × 107 .
(i) According to Theorem 1, if a ∈ [0, a0] and b ∈ [0, b0], then boundary value problem (12) has at least one positive solution.
(ii) According to Theorem 4, if a ∈ (a2, +∞) and b ∈ (b1, +∞), then boundary value problem (12) has no positive solutions.
Acknowledgments
The authors would like to acknowledge the helpful comments of the referees on an earlier version of this paper.
References
1. R.P. Agarwal, B. Andradec, G. Siracusa, On fractional integro-differential equations with statedependent delay, Comput. Math. Appl., 62:1143–1149, 2011, https://doi.org/ 10.1016/j.camwa.2011.02.033.
2. B. Ahmad, A. Broom, A. Alsaedi, S.K. Ntouyas, Nonlinear integro-differential equations involving mixed right and left fractional derivatives and integrals with nonlocal boundary data, Mathematics, 2020(8):336, 2020, https://doi.org/10.3390/math8030336.
3. B. Ahmad, S.K. Ntouyas, A. Alsaedi, Existence theory for nonlocal boundary value problems involving mixed fractional derivatives, Nonlinear Anal. Model. Control., 24(6):937–957, 2019, https://doi.org/10.15388/NA.2019.6.6.
4. B. Ahmad, S.K. Ntouyas, A. Alsaedi, Fractional order differential systems involving right caputo and left Riemann–Liouville fractional derivatives with nonlocal coupled conditions, boundary value problems, Bound. Value Probl., 2019:109, 2019, https://doi.org/10. 1186/s13661-019-1222-0.
5. Z. Bai, On solutions of some fractional .-point boundary value problems at resonance, Electron. J. Qual. Theory Differ. Equ., 2010:37, 2010, http://www.math.u-szeged. hu/ejqtde.
6. A. Cabada, T. Kisela, Existence of positive periodic solutions of some nonlinear fractional differential equations, Commun. Nonlinear Sci. Numer. Simul., 50:51–67, 2017, https://doi.org/10.1016/j.cnsns.2017.02.010.
7. A. Cabada, G. Wang, Positive solutions of nonlinear fractional differential equations with integral boundary value conditions, J. Math. Anal. Appl., 389:403–411, 2012, https:// doi.org/10.1016/j.jmaa.2011.11.065
8. J. Caballero, I. Cabrera, K. Sadarangani, Positive solutions of nonlinear fractional differential equations with integral boundary value conditions, Abstr. Appl. Anal., 2012:303545, 2012, https://doi.org/10.1155/2012/303545.
9. H. Fang, M. Song, Existence results for fractional order impulsive functional differential equations with multiple delays, Adv. Difference Equ., 2018(1):139, 2018, https://doi. org/10.1186/s13662-018-1580-4.
10. F. Ge, C. Kou, Stability analysis by krasnoselskii’s fixed point theorem for nonlinear fractional differential equations, Appl. Math. Comput., 257:308–316, 2015, https://doi.org/10. 1016/j.amc.2014.11.1090.
11. D. Guo, V. Lakshmikantham, Nonlinear Problems in Abstract Cones, Academic Press, New York, 1988, https://doi.org/10.1016/B978-0-12-293475-9.50009-1.
12. X. Hao, H. Sun, L. Liu, D.-B. Wang, Positive solutions for semipositone fractional integral boundary value problem on the halfline, Rev. R. Acad. Cienc. Exactas Fís. Nat., Ser. A Mat., RACSAM, 113:3055–3067, 2019, https://doi.org/10.1007/s13398-019- 00673-w.
13. X. Hao, H. Wang, Positive solutions of semipositone singular fractional differential systems with a parameter and integral boundary conditions, Open Math., 16:581–596, 2018, https://doi.org/10.1515/math-2018-0055.
14. X. Hao, L. Zhang, Positive solutions of a fractional thermostat model with a parameter,Symmetry, 11(1):122, 2019, https://doi.org/10.3390/sym11010122.
15. X. Hao, L. Zhang, L. Liu, Positive solutions of higher order fractional integral boundary value problem with a parameter, Nonlinear Anal. Model. Control., 24(2):210–223, 2019, https://doi.org/10.15388/NA.2019.2.4.
16. H. Jin, W. Liu, Eigenvalue problem for fractional differential operator containing left and right fractional derivatives, Adv. Difference Equ., 2016:246, 2016, https://doi.org/10. 1186/s13662-016-0950-z.
17. A.A. Kilbas, H.M. Srivastava, J.J. Trujillo (Eds.), Theory and Applications of Fractional Differential Equations, North-Holland Math. Stud., Vol. 204, Elsevier, Amsterdam, 2006, https://doi.org/10.1016/S0304-0208(06)80001-0.
18. C. Kou, H. Zhou, Existence and continuation theorems of Riemann–Liouville type fractional differential equations, Int. J. Bifurcation Chaos Appl. Sci. Eng., .(4):1250077, 2012, https://doi.org/10.1142/S0218127412500770.
19. R.W. Leggett, L.R. Williams, Multiple positive fixed points of nonlinear operators on ordered banach space, Indiana Univ. Math. J., 28(4):673–688, 1979, http://www.jstor.com/ stable/24892256.
20. X. Li, H. Li, B. Wu, Piecewise reproducing kernel method for linear impulsive delay differential equations with piecewise constant arguments, Appl. Math. Comput., 349:304–313, 2019, https://doi.org/10.1016/j.amc.2018.12.0540.
21. D. Liu, K. Zhang, Existence of positive solutions to a boundary value problem for a delayed singular high order fractional differential equation with sign-changing nonlinearity, J. Appl. Anal. Comput., 10(3):1073–1093, 2020, https://doi.org/10.11948/20190190.
22. L. Liu, F. Sun, Y. Wu, Blow-up of solutions for a nonlinear petrovsky type equation with initial data at arbitrary high energy level, Bound. Value Probl., 2019:15, 2019, https://doi.org/10.1186/s13661-019-1136-x.
23. X. Liu, M. Jia, The method of lower and upper solutions for the general boundary value problems of fractional differential equations with .-Laplacian, Adv. Difference Equ., 2018(1):28, 2018, https://doi.org/10.1186/s13662-017-1446-1.
24. X. Liu, M. Jia, Solvability and numerical simulations for bvps of fractional coupled systems involving left and right fractional derivatives, Appl. Math. Comput., 353:230–242, 2019, https://doi.org/10.1016/j.amc.2019.02.0110.
25. Y. Liu, Multiple positive solutions of BVPs for singular fractional differential equations with non-Caratheodory nonlinearities, Math. Model. Anal., 19(3):395–416, 2014, https://doi. org/10.3846/13926292.2014.925984.
26. L. Nisse, A. Bouaziz, Existence and stability of the solutions for systems of nonlinear fractional differential equations with deviating arguments, Adv. Dfference Equ., 2014:275, 2014, http://www.advancesindifferenceequations.com/content/2014/1/275.
27. S. Qureshi, Real life application of Caputo fractional derivative for measles epidemiological autonomous dynamical system, Chaos Solitons Fractals, 134:109744, 2020, https://doi. org/10.1016/j.chaos.2020.1097440.
28. R. Samidurai, S. Rajavel, J. Cao, B. Ahmad, New delay-dependent stability criteria for impulsive neural networks with additive time-varying delay components and leakage term, Neural Process. Lett., 49:761–785, 2019, https://doi.org/10.1007/s11063-018- 9855-z.
29. S. Song, Y. Cui, Existence of solutions for integral boundary value problems of mixed fractional differential equations under resonance, Bound. Value Probl., 2020:23, 2020, https://doi. org/10.1186/s13661-020-01332-5.
30. F. Wang, L. Liu, D. Kong, Y. Wu, Existence and uniqueness of positive solutions for a class of nonlinear fractional differential equations with mixed-type boundary value conditions, Nonlinear Anal. Model. Control., 24(1):73–94, 2019, https://doi.org/10.15388/ NA.2019.1.5.
31. G. Wu, Z. Deng, D. Baleanu, Fractional impulsive differential equations: Exact solutions, integral equations and short memory case, Fract. Calc. Appl. Anal., 22(1):180–192, 2019, https://doi.org/10.1515/fca-2019-0012.
32. G. Wu, Z. Deng, D. Baleanu, D.Q. Zeng, New variable-order fractional chaotic systems for fast image encryption, Chaos, 29:083103, 2019, https://doi.org/10.1063/1. 5096645.
33. G. Wu, M. Luo, L. Huang, S. Benerjee, Short memory fractional differential equations for new memristor and neural network design, Nonlinear Dyn., 100:3611–3623, 2020, https://doi.org/10.1007/s11071-020-05572-z.
34. X. Xu, D. Jiang, C. Yuan, Multiple positive solutions for the boundary value problem of a nonlinear fractional differential equation, Nonlinear Anal., Theory Methods Appl., 71(10): 4676–4688, 2009, https://doi.org/10.1016/j.na.2009.03.030.
35. J. Yan, C. Kou, Oscillation of solutions of impulsive delay differential equations, J. Math. Anal. Appl., 254:358–370, 2001, https://doi.org/10.1006/jmaa.2000.7112.
36. W. Zhong, Positive solutions for multipoint boundary value problem of fractional differential equations, Abstr. Appl. Anal., 2010(1–2):1–15, 2010, https://doi.org/10.1155/ 2010/601492.