Articles
Exponential synchronization for second-order switched quaternion-valued neural networks with neutral-type and mixed time-varying delays
Exponential synchronization for second-order switched quaternion-valued neural networks with neutral-type and mixed time-varying delays
Nonlinear Analysis: Modelling and Control, vol. 27, núm. 4, pp. 700-718, 2022
Vilniaus Universitetas

Recepción: 24 Junio 2021
Revisado: 22 Febrero 2022
Abstract: This article focuses on the global exponential synchronization (GES) for second-order state-dependent switched quaternion-valued neural networks (SOSDSQVNNs) with neutral-type and mixed delays. By proposing some new Lyapunov–Krasovskii functionals (LKFs) and adopting some inequalities, several new criteria in the shape of algebraic inequalities are proposed to ensure the GES for the concerned system by using hybrid switched controllers (HSCs). Different from the common reducing order and separation ways, this article presents some new LKFs to straightway discuss the GES of the concerned system based on non-reduction order and non- separation strategies. Ultimately, an example is provided to validate the effectiveness of the theoretical outcomes.
Keywords: quaternion-valued neural network, second-order model, exponential synchronization, mixed delay, hybrid switched control.
1 Introduction
In recent years, the dynamics analysis of neural networks (NNs) has acquired the ex- tensive attention in various fields involving image processing [30], associative memory [29] and deep learning [27]. These actual applications are strongly associated to the dynamics of NNs. It is widely known that the synchronization is not only an important dynamic characteristic of NNs, but also is extensively applied in cognitive processes [20] and secure communication [33]. Meanwhile, because of the limited switching speed of amplifiers in the hardware implementation, NNs inevitably possess time delays. Besides, the variations of the present states of NNs rely on not only the present specific states, but also the former states and the variations of the former states at each moment. Due to these reasons, the neutral terms are proposed as broader time delays that consults time delays in the derivative of state functions. Thus, the research on the synchronization of NNs with different types of time delays are of great value.
Different from common NNs with only the first derivative of the states, the second- order NNs (SONNs) with inertial terms not only have obvious engineering and biological contexts [1], but also their dynamics are more complex [3]. So far, the dynamical behaviors of different types of SONNs have been extensively studied in [6, 19]. In most of the previous studies, the reducing order method [6,19] was usually used to discuss SONNs. But this way causes the increase of system dimension and the difficulty in theory analysis. Nowadays, the non-reduced order strategies [24, 31, 32] are adopted to handle SONNs.
The memristive nervous systems could afford better applications for simulating the human brain [16]. Thus, there has been a growing attention to the study of memristive NNs [4, 8]. On account of the features of contractive hysteresis loop of memristors [5], the memristive NNs should be a sort of state-dependent switched NNs (SDSNNs). Then numerous studies have been done on these SDSNNs. Recently, some scholars have also done many investigations on second-order SDSNNs (SOSDSNNs). For examples, in the real domain, Hua et al. [7] discussed the finite-time synchronization of SOSDSNNs. The authors [17] investigated the stability and the GES of SOSDSNNs. Meanwhile, there are many NNs, which are actually unstable. As a consequence, some controllers need be appended to NNs to assure the related dynamics. Now, various control tactics such as state feedback control [7], pinning control [17] and intermittent control [18] are accepted to achieve the stabilization and synchronization of NNs. As pointed out in [15], the switching control can effectively improve the performance of control strategy. Nowadays, Zhang et al. [31] investigated the GES of SOSDSNNs with distributed delays by using HSC.
It is worth stressing that the real world data tend to be multidimensional. The quaternion systems could deal with high-dimensional information better in practical applications such as 3D wind signal modeling [25] and color face recognition [34]. So, the quaternion systems show remarkable advantage in dealing with multidimensional information. Recently, there has been an increasing attention to the study on quaternion-valued NNs (QVNNs), and some excellent results were obtained in [9–11, 21, 22, 26]. With the extensive research on various second-order QVNNs (SOQVNNs) [12–14,28], SOSDSQVNNs have gradually been noticed [23]. In [13, 14, 21–23, 26], the decomposition means is used to study the dynamics of QVNNs and SOSDSNNs. But a distinct disadvantage of the decomposition means is that the computational complexity increases. To overcome this shortcoming, the non-separation method is proposed in [10–12, 28]. But, to our knowl- edge, there is hardly any paper that concerned the synchronization of SOSDSQVNNs via non-separation and non-reduced order methods and applying HSCs. These constitute the incentive for the current research.
Inspired by the discussion above, this paper intends to discuss the GES of SOSD- SQVNNs via HSCs. The primary contributions of this article consist of three aspects: (i) Quaternion, state-dependent parameters, neutral and mixed delays are all concerned in the synchronization analysis for the presented SONNs. (ii) Different from the common reduced order means and separation strategies, the GES for SOSDSQVNNs is directly discussed as a whole by presenting some new LKFs and using HSCs, and some sufficient conditions for the GES of the concerned SONNs are acquired in the form of algebraic inequalities. (iii) Compared with the existing studies, the obtained results here include those [31] as special situations and are more universal, which indicate that the results here are applicable to not only SOQVNNs, but also other SONNs.
The rest of the paper is composed as follows: Section 2 provides some preliminaries and model description. In Section 3, the GES is analyzed, and some new conditions are derived. A numerical simulation is given in Section 4 to explain the effectiveness of the outcomes. Ultimately, a brief summary is stated in Section 5.
In this paper,
represent .
dimensional real-valued and qua.ernion-valuedIn this paper, Rm, Qm represent m-dimensional real-valued and quaternion-valuedspaces, respectively. Q
are the conjugate, module and real part of quaternion
respectively.
For
is closure of theconvex hull of Q generated by quaternion numbers

2 Preliminaries
Consider the following SOSDSQVNNs for
(1)where

|
is the state of the
neuron at time t; the item;
is referred to as an inertial term
express the activation functions;
is neutral-type time varying delay,
represents time-varying delays,
is the distributed delay, which meet
and
are constants;
denotes the external input;
is the memristive connection weight. The initial values of (1) are
. state dependent parameters in (1) satisdfy

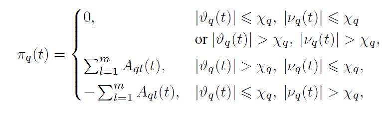
where
is the switching jump,
are constants

(2)where

the parameters
are the same as (1), the initial values of (2) are
is HSC and shown as
(3)
(41)and
(42)where
are some positive constants and
are the control gains,
is the synchronization error,

Based on (1) and (2), the error system is obtained as follows:
(5)Since the connective weights
can be discontinuous, the solutions of (5) have the meaning of Filippovs. With the help of the differential inclusion theory [2] and combining (3) with (4), one has

where

(6)Assumption A. There are constants
such that

Definition 1.
Let be arbitrarysolutions of systems (1) and (2) that satisfy the corresponding initial values, respectively.If there are constants
such that

then systems (1) and (2) are said to reach the GES, where
.
For simplicity, some denotations are given as follows for


where
are some positive numbers to need be determined.
then systems (8)and (12) can achieve the GES via HSCs (3) and (13).
Corollary 3. Under the conditions of Theorem ., let α. . Γ., β. . Ξ., then systems (8)
and (12) achieve the GES via HSCs (3) and (13).
3 Main results
Theorem 1. Under Assumption A, if there are constants a
that

then systems (2) and (1) achieve the GES via HSCs (3) and (4).
Proof. See Appendix A.
Corollary 1. Under the conditions of Theorem 1, let
, then systems (1)and (2) reach the GES via HSCs (3) and (4).
Remark 1. If
, then system (1) can be transformed into
(7)If
, then system (1) is reduced into
(8)If
, then system (1) can be simplified into
(9)
Remark 2. It is obvious that system (9) is just system (1) in [23] and includes systemsconsidered in [13, 28] with
as special cases.Thus, system (1) here is more general.
Thus, system (1) here is more general.
The response system of model (7) is
(10)where
is given in (3), and
is designed as
(11)where
are defined in (4).
The response system of model (8) is
(12)where
is given in (3), and
is of the form
(13)where
is defined in (4).
The response system of model (9) is
(14)

is of the form
(13)where
is defined in (4).
The response system of model (9) is
(14)where
is defined in (4).
Theorem 2. Under Assumption A, if there are constants a
suchthat

then systems (7) and (10) achieve the GES under HSCs (3) and (11).
Proof. See Appendix B.
Corollary 2. Under the conditions of Theorem 2, let
, then systems (7)and (10) achieve the GES under HSCs (3) and (11).
Remark 3. If
and quaternion-valued system (7) is reduced to realvaluedone, and hybrid controller (3) is degenerated to the following form:
(16)where
has the similar form as (4) with
then Theorem 2 heredegrades into Theorem 3.1 in [31]. If
are constants, then Corollary 2 becomesCorollary 3.1 in [31].
Theorem 3. Under Assumption A, if there exist constants
such that

then systems (8) and (12) can achieve the GES via HSCs (3) and (13).
Corollary 3. Under the conditions of Theorem 3, let
, then systems (8)and (12) achieve the GES via HSCs (3) and (13).
Theorem 4. Under Assumption A, if there are constants
suchthat

then systems (9) and (14) achieve the GES under HSCs (3) and (15).
Corollary 4. Under the conditions of Theorem 4, let q = e q, q = e q, then systems (9)and (14) achieve the GES under HSCs (3) and (15).
Remark 4. If system (9) is reduced to real-valued one, and HSC (3) is degenerated to theform of (16), then Theorem 4 here turns into Theorem 3.2 in [31]. If is constant, thenCorollary 4 here becomes Corollary 3.2 in [31]. From Remarks 2, 3 the HSC scheme (3)here is more general and flexible.
Remark 5. If system (1) is reduced to complex-valued one, one can also get correspondingresults. It is worth noting that there is no outstanding criteria that can handle thesynchronization of SOSDSQVNNs with neutral-type and mixed delays in the existingstudies. The results here as new synchronization conditions can fill in the gaps.
Remark 6. Different from the reduced order method in [7, 12, 13, 17, 18,23, 28] and thedecomposition method in [9, 13, 14, 22, 23, 26], the paper directly study the GES for theconsidered systems as a whole by adopting some new LKFs. Evidently, the approach hereis more practical and simpler.
Remark 7. The various dynamical properties for SOQVNNs [12–14, 28] and SOSDSQVNNs[23] without neutral-type and distributed delays were presented. However, SOSDSQVNNs(1) and (2) here are all with neutral-type and distributed time delays. Thus,the results in [12–14,23,28] cannot be applied here. As a result, the results here replenishand enrich some earlier works, which makes clear that the results here are new.
4 Numerical simulation
Consider SOSDSQVNN (1) with two neurons and the following parameters: 







other parameters are shown in Tables 1–4, respectively.
By simple calculation, one can obtain
Figures 1–2 manifest time responses of states ofsystems (1) and (2) without controller and show that systems (1) and (2) have not reachedthe synchronization.


Consequently, all the conditions of Theorem 1 hold. The synchronization time curvesbetween systems (1) and (2) with HSCs (3) and (4) are presented in Figs. 3–4.




Figure 6 reveals the variation for the control gain parameters
. Thus, Figs. 1–5 confirm the effectiveness of Theorem 1. Choose synchronization errors
with randomly 20 initial conditions in [-4; 4], Fig. 5 manifeststhe trajectories of synchronization errors
between models (1) and (2).


5 Conclusion
This article investigated the GES of SOSDSQVNNs with neutral-type and mixed timevaryingdelays by HSCs. Different from the usual reduced-order method of SONNs [7,12,13,17,18,23,28] and separation method of QVNNs [9,13,14,23], some new LKFs areintroduced to straight analyze the GES for the drive and response systems in quaternionfield, and some sufficient conditions are established in the form of algebraic inequalities.The obtained results here perfect the existing studies on the GES as extra cases. Finally,the numerical simulation results check on the validity of the theoretical analysis. In thecoming work, some other dynamical behaviors, such as convergence and passivity, can betaken into account for model (1) by non-reduced order and non-separation strategies.
References
1 D.E. Angelaki, M.J. Correia, Models of membrane resonance in pigeon semicircular canal type II hair cells, Biol. Cybern., 65(1):1–10, 1991, https://doi.org/10.1007/BF00197284.
2 J.P. Aubin, A. Cellina, Differential Inclusions, Springer, Berlin, 1984.
3 K.L. Babcock, R.M. Westervelt, Stability and dynamics of simple electronic neural networks with added inertia, Phys. D, 23(1):464–469, 1986, https://doi.org/10.1016/0167-2789(86)90152-1.
4 C.Y. Chen, S. Zhu, Y.C. Wei, C.Y. Yang, Finite-time stability of delayed memristor-based fractional-order neural networks, IEEE Trans. Cybern., 50(4):1607–1616, 2018, https://doi.org/10.1109/TCYB.2018.2876901.
5 L.O. Chua, Resistance switching memories are memristors, Appl. Phys. A, 102(4):765–783,2011, https://doi.org/10.1007/s00339-011-6264-9.
6 L.Y. Duan, J.G. Jian, Global Lagrange stability of inertial neutral type neural networks with mixed time-varying delays, Neural Process. Lett.,51(2):1849–1867, 2020, https://doi.org/10.1007/s11063-019-10177-8.
7 L.F. Hua, S.M. Zhong, K.B. Shi, X.J.Zhang, Further results on finite-time synchronization of delayed inertial memristive neural networks via a novel analysis method, Neural Netw., 127:47–57, 2020, https://doi.org/10.1016/j.neunet.2020.04.009.
8 J. Jia, X. Huang, Y.X. Li, J.D. Cao, A. Alsaedi, Global stabilization of fractional-order memristor-based neural networks with time delay, IEEE Trans. Neural Networks Learn. Syst., 31(3):997–1009, 2019, https://doi.org/10.1109/TNNLS.2019.2915353.
9 J.G. Jian, K. Wu, B.X. Wang, Global Mittag-Leffler boundedness of fractional-order fuzzy quaternion-valued neural networks with linear threshold neurons, IEEE Trans. Fuzzy Syst., 29(10):3154–3164, 2021, https://doi.org/10.1109/TFUZZ.2020.3014659.
10 H.L. Li, H.J. Jiang, J.D. Cao, Global synchronization of fractional-order quaternion-valued neural networks with leakage and discrete delays, Neurocomputing, 385:211–219, 2020, https://doi.org/10.1016/j.neucom.2019.12.018.
11 H.L. Li, L. Zhang, C. Hu, H.J. Jiang, J.D. Cao, Global Mittag-Leffler synchronization of fractional-order delayed quaternion-valued neural networks: Direct quaternion approach, Appl. Math. Comput.,373:125020, 2020, https://doi.org/10.1016/j.amc.2019.125020.
12 R.X. Li, J.D. Cao, Exponential stabilization of inertial quaternion-valued Cohen-Grossberg neural networks: Lexicographical order method, Int. J. Robust Nonlinear Control, 30(13):5205–5220, 2020, https://doi.org/10.1002/rnc.5049.
13 Y.K. Li, C. Wang, Anti-periodic solutions for quaternion-valued inertial neural networks with time-varying delays, J. Int. Fuzzy Syst., 37(6):7797–7813, 2019, https://doi.org/10.3233/JIFS-182731.
14 J. Liu, J.G. Jian, B.X. Wang, Stability analysis for BAM quaternion-valued inertial neural networks with time delay via nonlinear measure approach, Math. Comput. Simul.,174:134–152, 2020, https://doi.org/10.1016/j.matcom.2020.03.002.
15 X.Z. Liu, P. Stechlinski, Switching and impulsive control algorithms for nonlinear hybrid dynamical systems, Nonlinear Anal., Hybrid Syst., 27:307–322, 2018, https://doi.org/10.1016/j.nahs.2017.09.004.
16 Y.V. Pershin, M. Di Ventra, Experimental demonstration of associative memory with memristive neural networks, Neural Netw., 23(7):881–886, 2010, https://doi.org/10.1016/j.neunet.2010.05.001.
17 R. Rakkiyappan, S. Premalatha, A. Chandrasekar, J.D. Cao, Stability and synchronization analysis of inertial memristive neural networks with time delays, Cogn. Neurodyn.,10(5):437–451, 2016, https://doi.org/10.1007/s11571-016-9392-2.
18 Q. Tang, J.G. Jian, Exponential synchronization of inertial neural networks with mixed time- varying delays via periodically intermittent control, Neurocomputing, 338:181–190, 2019, https://doi.org/10.1016/j.neucom.2019.01.096.
19 Q. Tang, J.G. Jian, Global exponential convergence for impulsive inertial complex-valued neural networks with time-varying delays, Math. Comput. Simul.,159:39–56, 2019, https://doi.org/10.1016/j.matcom.2018.10.009.
20 E. Vassilieva, G. Pinto, J.A. de Barros, P. Suppes, Learning pattern recognition through quasi-synchronization of phase oscillators, IEEE Trans. Neural Networks, 22(1):84–95, 2010, https://doi.org/10.1109/TNN.2010.2086476.
21 R.Y. Wei, J.D. Cao, Fixed-time synchronization of quaternion-valued memristive neural networks with time delays, Neural Netw., 113:1–10, 2019, https://doi.org/10.1016/j.neunet.2019.01.014.
22 R.Y. Wei, J.D. Cao, Synchronization control of quaternion-valued memristive neural networks with and without event-triggered scheme, Cogn. Neurodyn.,13(5):489–502, 2019, https://doi.org/10.1007/s11571-019-09545-w.
23 R.Y. Wei, J.D. Cao, M. Abdel-Aty, Fixed-time synchronization of second-order MNNs in quaternion field, IEEE Trans. Syst. Man Cybern., Syst., 51(6):3587–3598, 2019, https://doi.org/10.1109/TSMC.2019.2931091.
24 K. Wu, J.G. Jian, Non-reduced order strategies for global dissipativity of memristive neutral- type inertial neural networks with mixed time-varying delays, Neurocomputing, 436:174–183,2021, https://doi.org/10.1016/j.neucom.2020.12.120.
25 Y. Xia, C. Jahanchahi, D.P. Mandic, Quaternion-Valued Echo State Networks, IEEE Trans. Neural Networks Learn. Syst., 26(4):663–673, 2015, https://doi.org/10.1109/TNNLS.2014.2320715.
26 J.Y. Xiao, J.D. Cao, J. Cheng, S.M. Zhong, S.P. Wen, Novel methods to finite-time Mittag- Leffler synchronization problem of fractional-order quaternion-valued neural networks, Inf. Sci., 526:221–244, 2020, https://doi.org/10.1016/j.ins.2020.03.101.
27 S.X. Xiao, X.D. Xie, S.P. Wen, Z.G. Zeng, T.W. Huang, J.H. Jiang, GST-memristor-based online learning neural networks, Neurocomputing, 272:677–682, 2018, https://doi.org/10.1016/j.neucom.2017.08.014.
28 C.J. Xu, P.L. Li, M.X. Liao, Z.X. Liu, Q.M. Xiao, Antiperiodic solutions to delayed inertial quaternion-valued neural networks, Math. Meth. Appl. Sci., 43(12):7326–7344, 2020, https://doi.org/10.1002/mma.6469.
29 J. Yang, L.D. Wang, Y. Wang, T.T. Guo, A novel memristive Hopfield neural network with application in associative memory, Neurocomputing, 227:142–148, 2017, https://doi.org/10.1016/j.neucom.2016.07.065.
30 X.F. Zeng, S.P. Wen, Z.G. Zeng, T.W. Huang, Design of memristor-based image convolution calculation in convolutional neural network, Neural Comput. Appl., 30(2):503–508, 2018, https://doi.org/10.1007/s00521-016-2700-2.
31 G.D. Zhang, Z.G. Zeng, D. Ning, Novel results on synchronization for a class of switched inertial neural networks with distributed delays, Inf. Sci., 511:114–126, 2020, https://doi.org/10.1016/j.ins.2019.09.048.
32 T.T. Zhang, J.G. Jian, New results on synchronization for second-order fuzzy memristive neural networks with time-varying and infinite distributed delays, Knowl.-Based Syst., 230:107397, 2021, https://doi.org/10.1016/j.knosys.2021.107397.
33 J. Zhou, T.P. Chen, L. Xiang, Chaotic lag synchronization of coupled delayed neural networks and its applications in secure communication, Circuits Syst. Signal Process., 24(5):599–613, 2005, https://doi.org/10.1007/s00034-005-2410-y.
34 C.M. Zou, K.I. Kou, Y.L. Wang, Quaternion collaborative and sparse representation with application to color face recognition, IEEE Trans. Image Process., 25(7):3287–3302, 2016, https://doi.org/10.1109/TIP.2016.2567077.
Appendix A
Proof of Theorem 1
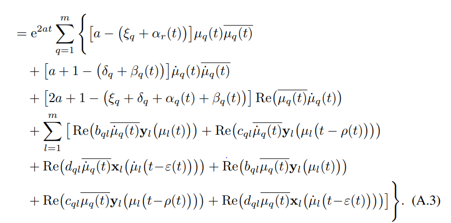
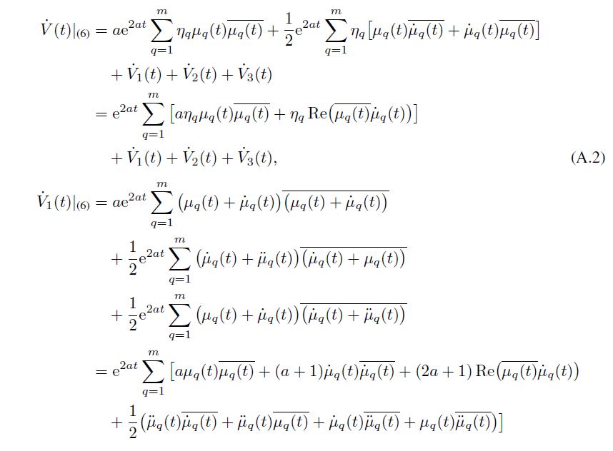
Consider a LKF as follows:
(A.1)where

Computing the derivatives of V (t), V1(t), V2(t), V3(t) along system (6), one can get
(A.2)
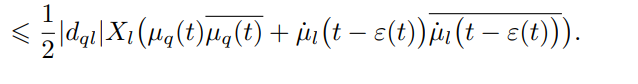
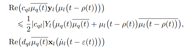
[A3]From Assumption A, using the properties of norm of quaternion and mean-value inequality, one obtains
[A4]Analogously, one can get
[A5]
[A6]
[A7]
[A8]
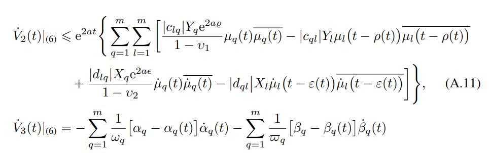
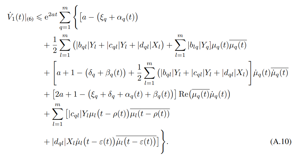
[A9]Substituting (A.4)–(A.9) into (A.3), one has
[A10]
[A11]

[A12]Put (A.10)–(A.12) into (A.2), one can obtain
[A3]

which means
for all
. From Definition 1 systems (1) and (2) get the GES by HSCs (3) and (4). The proof is completed.
Appendix B: Proof of Theorem 2
Take a LKF as same to (A.1) except for

the rest of the proof is analogous to those of Theorem 1 above.