Abstract:
Parameter estimation of uncertain differential equations becomes popular very recently. This paper suggests a new method based on fractional uncertain differential equations for the first time, which hold more parameter freedom degrees. The Adams numerical method and Adam algorithm are adopted for the optimization problems. The estimation results are compared to show a better forecast. Finally, the predictor–corrector method is adopted to solve the fractional uncertain differential equations. Numerical solutions are demonstrated with varied
paths.
Keywords: fractional calculus, fractional uncertain differential equations, parameter estimation, Adams method.
Articles
Parameter estimation of fractional uncertain differential equations via Adams method*

Recepción: 12 Noviembre 2021
Revisado: 03 Enero 2022
Publicación: 17 Febrero 2022
Fractional calculus was born about 300 years ago. It can date back to the discussion between l’Hôspital and Leibniz about the half-derivative in the early nineteenth century. With the rapid development in both applications and theories, fractional differential equations now frequently appear in many fields due to the memory effects of the operators, for example, long-term behavior of economic time series [10], hereditary effects of viscoelastic materials [11], continuous time random walk approach to anomalous diffusion on fractal media [12].
If deterministic systems possess uncertain dynamics, most of the time, it is difficult to describe their parameters accurately. One of the most challenging aspects for scientists is to develop parameter estimation methods for simulating real-world events. Liu uncertainty theory was introduced in 2005 year [7]. It has been proven to be efficient and useful in uncertain differential equations (UDEs) [19]. Recently, Zhu et al. investigated existence conditions of fractional uncertain differential equations (FUDEs) [22]. Lu and Zhu et al. gave .-path solutions using the predictor–corrector method in [9]. Explicit solutions were derived in the fractional difference equation with Liu process [8].
Concerning the inverse problems, parameter estimation of UDEs now is popular. The main purpose is to give an accurate forecast from observed data. This is also one of important focuses of data-driven study. Together with ordinary differential equations, some important efforts are dedicated to this field, for example, parameter estimation of uncertain heat conduction [21], least squares estimation [14,18], moment estimation [20], .-path estimation [17].
Besides the memory effects, the FUDE also has an additional parameter . (fractional order) in comparison with the UDEs. The fractional order . (see that in Definition 5) is between 0 and 1, which can be an estimated parameter. This means that the FUDE provides more freedom degrees in parameter estimation and possibility for better forecasts. So fractional differential equations may have better performance than ordinary differential equations. This is another motivation of this paper.
This paper is organized in the following sections. Section 2 introduces preliminaries of the fractional calculus and Liu uncertainty theory. Section 3 presents a general methodology for parameter estimation of fractional differential equations, and performance is given in comparison with UDEs [14]. After the unknown parameters are estimated, Section 4 solves the FUDEs with initial conditions, and .-path numerical solutions are given.
Let us first revisit some basics of the uncertainty theory.
Definition 1. (See [7].) Let
be a
algebra on a nonempty set
. A set function
:
is called an uncertain measure if it satisfies the following four axioms:
(A1) Normality axiom.
for the universial set
.
(A2) Duality axiom.
for any event
.
(A3) Subadditivity axiom. For every countable sequence of events
.,..., we have

(A4) Product axiom. Let
be uncertain spaces for
... . Then the product uncertain measure
satisfies

where
is arbitrarily chosen event from
for
... , respectively.
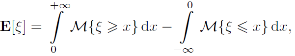
Definition 2. (See [7].) Let
be an uncertain variable on an uncertain space
. Then its expected value
is

provided that at least one of the two integrals
exists, and its variance
is
Definition 3. (See [7].) An uncertain process
is called a Liu process if
(i)
= 0, and almost all simple paths are Lipschitz continuous,
(ii)
has stationary and independent increments,
(iii) the increment
has a normal uncertain distribution

The factional calculus is defined as follows.
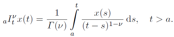
Definition 4. (See [5,13].) Let
be a continuous function and
. The Riemann–Liouville integral for
is defined by

For
, the fractional integral becomes the standard integral
,
If
..., the fractional integral holds memory effects, and
is called a weight or memory function.
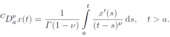
Definition 5.
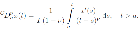
The Caputo derivative for
is defined by

For 
Suppose that
are two functions. The FUDE of Caputo type can be presented as

where the parameters
and
are the drift and diffusion terms, respectively.
Theorem 1. (See [22].) The FUDE (1) has a unique solution
on
) if for all
and
, the coefficient functions
and
, satisfy
(i) Lipschitz condition
,
(ii) linear growth condition
,
where L is a positive constant, and
is a norm. Furthermore,
is sample continuous.
Diethlem developed the Euler and Adams methods for solving fractional differential equations in [3]. The two methods have convergence orders
and
, respectively. Then the predictor–corrector method was well developed by fully use of the two methods. Parameter estimation mainly includes numerical discretization, optimization algorithms, hypothesis test and forecast as follows.
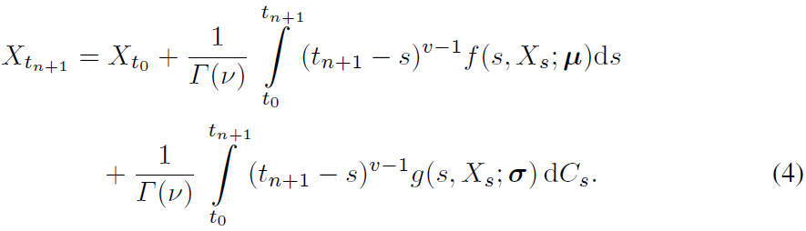
Let us consider the fractional differential equation

solves Eq. (2) if and only if
is a solution of the fractional integral equation

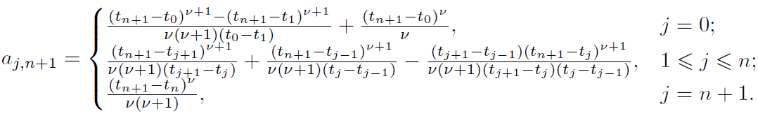
Using a nonuniform partition of
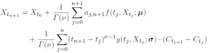
, we use the Adams formula [3]


The FUDE (1) has a solution

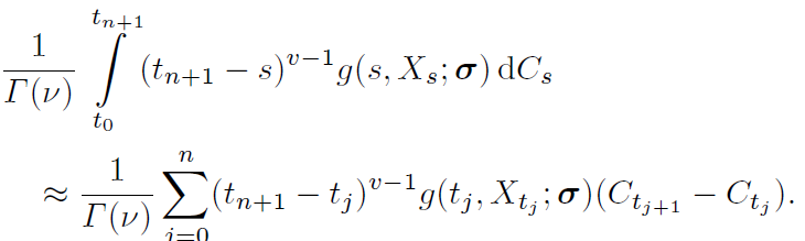
First, according to the definition of Liu integral from [7], the numerical discretization reads

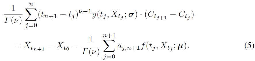
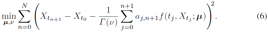
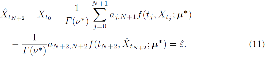
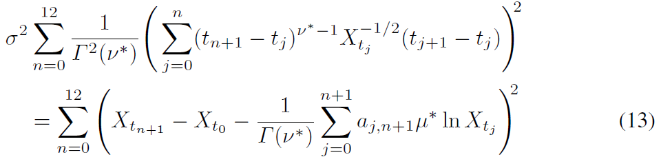
Then from the Adams formula (3) the numerical approximation of Eq. (4) can be written as

or

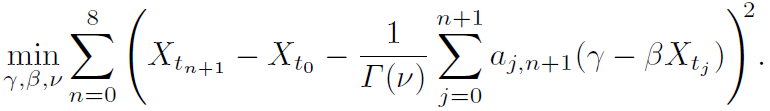
The LHS of Eq. (5) is regarded as a “noise” term, which should be as small as possible. By use of the observed data
, the parameter estimation of
and
is to solve the following minimum optimization problem:

Suppose
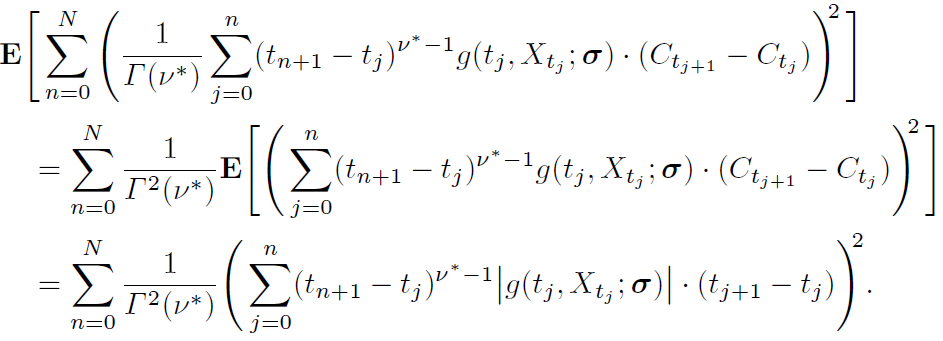
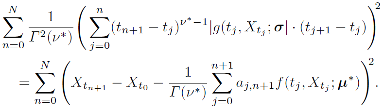
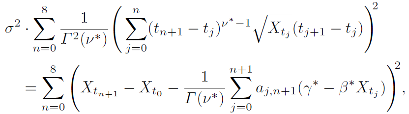
is the optimal solution of the minimum optimization problem (6). Next, taking the expected value to Eq. (5), we have

Since
is an stationary and independent increment uncertain process, each
is a normal uncertain variable with the expected value 0 and variance
respectively. According to the uncertainty theory [7],
Since
is an stationary and independent increment uncertain process, each
is a normal uncertain variable with the expected value 0 and variance
respectively. According to the uncertainty theory [7], 
is also a stationary and independent increment uncertain process with the expected value 0 and variance
So we can get

Finally, the estimation
can be obtained by solving

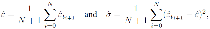
Substituting the observed data and the optimal solution
into (5), we set

Suppose
follow a normal uncertainty distribution
, which has the inverse uncertainty distribution [7]

The expected value and the variance of
can be obtained approximately as

respectively.
Then the statements of null hypothesis (H0) and alternative hypothesis (H1) at significance level . can be formulated as
(H0)
versus
(H1) 

For null hypothesis (H0), let the rejection region be a set
there are at least
of indexes 
such that 
If the vector
we will accept hypothesis (H0).
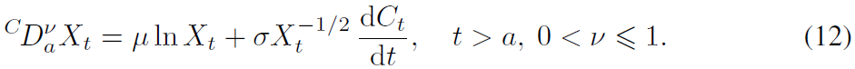
Example 1. Consider the FUDE [14, Ex. 4]

where the parameters
and
are real numbers to be estimated.
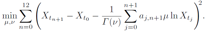
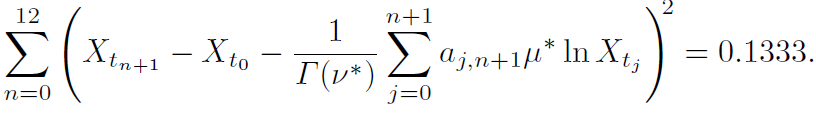
We solve the minimum optimization problem

The parameters can be determined using the observed data in Table 1.
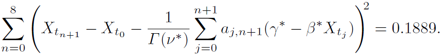
Through Adam optimization algorithm [6], we obtain the optimal solution

and

From Eq. (7) the estimation
satisfies

which gives
= 0.0082, and we obtain the uncertain model with all determined parameters.


So the expected value and variance are
0.0195 and
0.0206, respectively.
Let the significance level
0.05. We derive that

All
do not belong to the reject field . from Fig. 1, that is, it passes the hypothesis test.
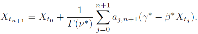
Finally, by the Adams formula [3] we give the numerical simulation of the deterministic version of (9) with the initial condition
that is,

We know that the minimum (6) should be obtained as small as possible. From Fig. 2 the FUDE method achieves a better fitting result in view of this point.
From the observed data
we now consider the forecast value of
Assume
still follows the normal uncertainty distribution
According to the uncertain model (8), we obtain

Then take the expected values of both sides of Eq. (10). The forecast value
can be obtained by solving

Example 2. The second example with observed data also comes from [14], which reads

where the parameters
and
are real numbers to be estimated.
Similarly, using the first 14 groups of observed data in Table 2, parameter estimation becomes the minimum optimization problem

Through the Adam optimization algorithm, the optimal solution is obtained:

and


Then the estimation
solves

and
= 0.0267.
Similarly, we obtain
in Fig. 3. The expected value and variance are
0.0106 and
0.0101, respectively. For the significance level
0.1, we get

Since only
[−0.1529,0.1741], it still passes the hypothesis test (see Fig. 3).
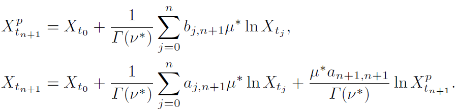
Next, the parameter estimation of the UDE [14] is investigated using the Euler formula. In order to be more accurate, we use the Adams method. However, this results in an implicit scheme and Eq. (13) becomes a nonlinear equation of
In order to solve this problem, the predictor–corrector method [3] is adopted, and the numerical scheme reads

Here
is a predictor, and
are coefficients of the Euler formula


The numerical simulation of the fractional differential equation is demonstrated in Fig. 4.
According to (11),

the forecast uncertain variable can be given as
= 12.76, which is in good agreement with the observed data
= 12.74.
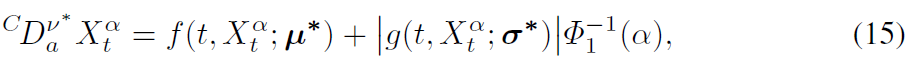
Since all parameters are estimated and the model passes the hypothesis test, the FUDE is reliable, and we update it as

An
path
solves the following fractional differential equation (see [9, Thm. 4.1]):

Whwew the
is the inverse standard normal distribution, namely,

To sum up,
and
are solutions of Eqs. (14) and (15), respectively. The observed values can be obtained by the expected value of uncertain variable
, that is,

We present the numerical approximation of inverse uncertainty distribution
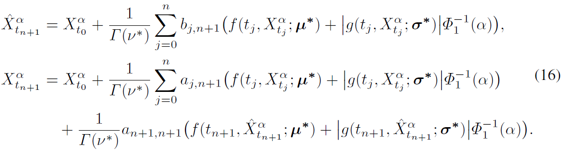
by the folloeing predictor-corrector formula:

Next, consider an equidistance partition with step size
so that
. Giving an extremely small positive
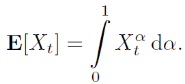
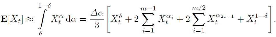
the approximate expected value of
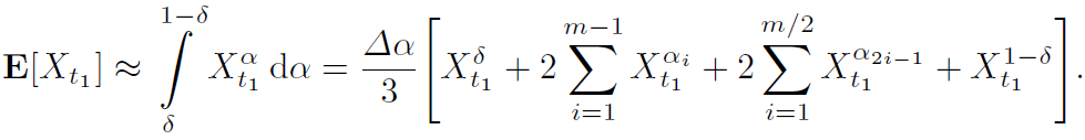
can be obtained by the following Simpson numerical integration formula [9]:

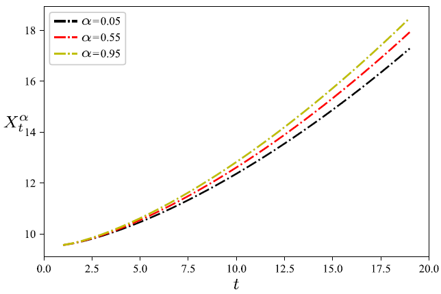
Example 3. Use the FUDE (12) again:

where
(0.0354,0.4141,0.0120) and 
The
path solution
can be written as

Assume
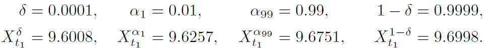
0.0001 and
100 such that
and
we can use predictor–corrector formula (16) to obtain
as follows

Naturally, we can get

Again, repeat the above steps for expected values of the uncertain variables 
The
path numerical solutions are shown in Fig. 5.

In this study, we suggest a FUDE method for parameter estimation. Especially, the Adams formula is used in the numerical approximation of the optimal problems. Then hypothesis test and forecast are given to show the new features of the presented method. Finally, we use the .-path method to obtain the expected value, and we give the numerical simulation along .-paths. It can be concluded that the FUDE method holds more parameter freedom degrees and make the residual value as small as possible in comparison with the UDE method. There are still some problems not addressed yet:
(a)We only use the Adams method with a convergence order
in this paper.
Through the application analysis, we can see that high-accuracy numerical method can achieve better parameter estimation and forecast results. So new and accurate numerical formulae should be developed.
(b)We only consider the fractional differential equation method in the Caputo’s sense.
Different fractional derivatives may lead to better results. We will consider the general fractional calculus [1,4] and choose the best one in specific real world applications.
(c)Parameter estimation of fractional difference equations can be considered in future.
This paper starts from a fractional differential equation and numerical discretization to a minimum problem. In fact, we also can directly starts from a fractional difference equation (derived from time scale theory), where the fractional derivative is defined on an isolated time scale [2,15,16]. The fractional difference equation on time scale combines the discrete and continuous case together, so it becomes more suitable for parameter estimation even data-driven study.
We will consider these problems in the nearest future.





