Articles
The uniqueness and iterative properties of solutions for a general Hadamard-type singular fractional turbulent flow model*
The uniqueness and iterative properties of solutions for a general Hadamard-type singular fractional turbulent flow model*
Nonlinear Analysis: Modelling and Control, vol. 27, núm. 3, pp. 428-444, 2022
Vilniaus Universitetas

Recepción: 29 Marzo 2021
Revisado: 17 Noviembre 2021
Publicación: 25 Enero 2022
Abstract: In this paper, we consider the iterative properties of positive solutions for a general Hadamard-type singular fractional turbulent flow model involving a nonlinear operator. By developing a double monotone iterative technique we firstly establish the uniqueness of positive solutions for the corresponding model. Then we carry out the iterative analysis for the unique solution including the iterative schemes converging to the unique solution, error estimates, convergence rate and entire asymptotic behavior. In addition, we also give an example to illuminate our results.
Keywords: unique solutions, turbulent flow, nonlinear operator, iterative analysis.
1. Introduction
In recent years, many researchers were interested in the study of turbulent flow in which the fluid undergoes irregular fluctuations or mixing. For example, Leibenson [17] intro- duced a
Laplacian differential equation
, to model turbulent flow in a porous medium, where
1. However, the transport of solute in highly heterogeneous porous media often exhibits anomalous diffusion phe- nomenon [14], and laboratory data and numerical experiments [2, 8] have indicated that solutes moving through a highly heterogeneous porous media violate the basic Fick’s first law of Brownian motion. Thus the works [2, 8] indicated that the fractional differential equation is more suitable for describing the convection–dispersion process of solutes in porous media.
On the other hand, since fractional-order derivative possesses a nonlocal character- istics, so it can provide a possibility to represent the memory occurring in viscoelas- tic dynamical process [4, 10, 13], blood flow [3], quantum mechanics [7], advection– dispersion process in anomalous diffusion [22, 23, 25] and bioprocesses with genetic attribute [5, 20, 26]. As a powerful tool of modeling the above many abnormal phe- nomena, in the last few decades, the fractional calculus theory has been enriched, and several different derivatives and integrals such as Caputo, Atangana, Riemann–Liouville, Hadamard, Caputo–Fabrizio, Hilfer, Riesz derivative and so on have been developed. In comparison, the Hadamard derivative is a nonlocal fractional derivative with singular logarithmic kernel. So the study for Hadamard-type fractional differential equations is relatively difficult [9, 21, 27, 28].
Thus, in this paper, we choose a general Hadamard-type singular fractional differential equation involving a nonlinear operator from turbulent flow to study, more specifically, we consider the iterative properties of positive solutions for the equation

where
are
and
order Hadamard fractional derivatives,
is a differential operator denoted by
, that is,
is a continuous function with singularities at
, 1 and
.
, and
is a nonlinear operator satisfying

which possesses the following properties:
Proposition 1. 
(i)
has a nonnegative increasing inverse mapping
;
(ii)
;
(iii)
;
Equation (1) involves a nonlinear operator
, which implies that Eq. (1) covers many interesting and important cases, in particular, if
1 and then
, in this case, Eq. (1) reduces to the following form:

where
are the
and
order Hadamard fractional derivatives,
is a differential operator denoted by
. By using the fixed point index and the properties of nonnegative matrices Ding et al. [9] considered the existence of positive solutions for a system of the above Hadamard-type fractional differential equations with semipositone nonlinearities. If
1, Eq. (1) takes the form

which is a p-Poisson turbulent flow equation in highly heterogeneous porous media. By using the fixed point theorem of the mixed monotone operator Zhang et al. [22] studied the uniqueness of positive solution for a fractional-order model of turbulent flow in a porous medium. In addition, on fractional differential equations, some significant work by using fixed theorems has been made by Karapinar and his collaborators [1, 11, 12]. Thus Eq. (1) is a more generalized p-Poisson turbulent flow equation in highly heterogeneous porous media (3). To the best of our knowledge, no results have been reported on the iterative analysis of positive solutions for Eq. (1) involving a nonlinear operator under singular case.
In addition, a fluid in highly heterogeneous porous media may push the transmission process from a phase into another different phase or state. At absolute zero, this change always leads to transformation process losing continuity and further forms some singular points or singular domains. Normally, near singular points and domains, the “bad” prop- erties such as blow-up properties [24], impulse interference [19], chaotic influence [6] obstruct people’s apperceiving for the essence of related natural phenomena. Thus it is important and interesting to explore the properties of dynamic process governed by singular differential equations, which can deepen people’s comprehension for the natural law of dynamic system.
Thus, to overcome the difficult associated with singular logarithmic kernel and singu- lar nonlinearity of Eq. (1) and follow the work Nieto [18] and Ladde, Lakshmikantham and Vatsala [16], a new double monotone iterative technique will be developed, and more new estimates are given. This paper is organized as follows. In Section 2, we firstly give the definition of Hadamard fractional integral and differential operators and then claim the properties of Green function. The main results are summarized in Section 3.
2. Preliminaries and lemmas
In this section, we firstly review the definitions of the Hadamard-type fractional integrals and derivatives; for details, see [15].
and let
be a finite or infinite interval of
.
The
order left Hadamard fractional integral is defined by

and the α-order left Hadamard fractional derivative is defined by

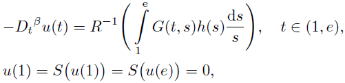
In the following, we firstly consider the linear Hadamard fractional equation

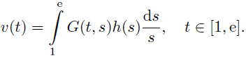
Equation (4) is equivalent to the following Hammerstein-type integral equation [9]:

and

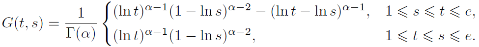
is the Green’s function of Eq. (4).
Let

for
, and then we consider the associated linear boundary value problem

We have the following lemma.
Lemma 1.The associated linear boundary value problem (6) has a unique solution if and only if it solves the Hammerstein-type integral equation

Proof. Let
then the associated linear boundary value problem (6) reduces to

By (4) it is equivalent to the Hammerstein-type integral equation

Noting that
as well as (5) and Proposition 1, the associated linear boundary value problem (6) is equivalent to the following equation:

and it follows from [9] that if and only if it solves the following Hammerstein-type integral equation

the proof is completed.
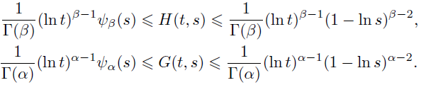
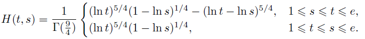
Lemma 2.
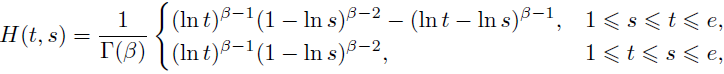
. Then the Green’s functions H and G has the following properties:
ecuacion
(i) H, G
.
(ii) For all t, s
, the following inequalities hold:

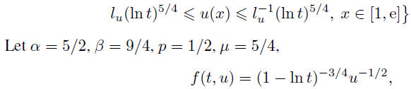
Our work space of this paper is Banach space E = C[1, e] equipped with the norm
. Let
, then P is a normal cone of E with normality constant 1. Now let us define a subset of P by

lu(ln t)β−1 ≤ u(x) ≤ lu−1(ln t)β−1, x ∈ [1, e]}
and a nonlinear operator T : E → E:

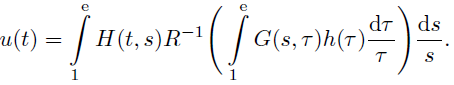
It follows from Lemma 1 that
is a solution of the Hadamard-type fractional turbulent flow model (1) if and only if
is a fixed point of the nonlinear operator T .
3. Main results
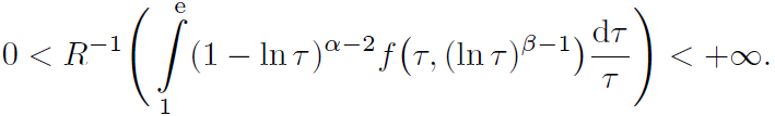
In order to carry out the iterative analysis of positive solution for the singular Hadamard- type fractional turbulent flow equation (1), we need the following assumption:
(H1)
is continuous and decreasing with regard to second variable, and for any
, there exists a constant 0
, where p is defined by (2), such that for all
,

Remark 1. Assumption (7) allows f to have a singularity at
1, e, and
0. For example,
satisfies assumption (H1).
Remark 2. Suppose that condition (H1) holds. It is easy to prove that for any
1 and for all
, the following formula is also valid:

Now we give our main results as follows:
Theorem 1. Suppose that(H1)holds, and the following condition is satisfied:

Then
(i) The singular Hadamard-type fractional turbulent flow equation (1) has a unique positive solution u∗ ∈ Λ;
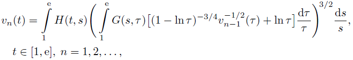
(ii) For any initial value v0 ∈ Λ, we construct the iterative sequence

then
converges uniformly to the unique positive solution u∗ of Eq. (1) on [1, e];
(iii) The error of the iterative value vn and the exact solution u∗ can be estimated by the following formula:

with an exact convergence rate

where 0 < ζ < 1 is a positive constant, which is determined by
and some ρ ∈ (0, 1);
(iv) The exact solution u∗ of Eq. (1) has an entire asymptotic estimate

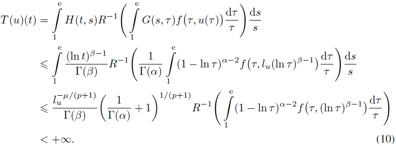
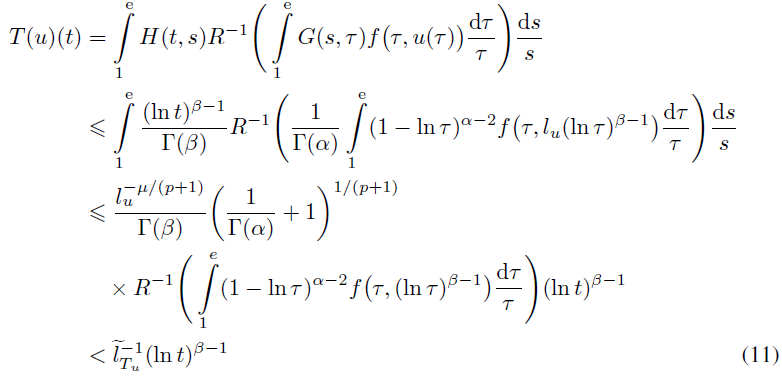
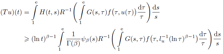
Proof. Firstly, we show that T : Λ → Λ is a compact operator.
To do this, for any
Λ, by the definition of the set Λ there exists a constant 0 < lu < 1 such that

Notice that
is decreasing in
, it follows from Lemma 2, (7), (9) and Proposition 1 that

So T is well defined and uniformly bounded.
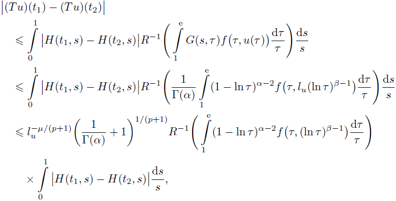
On the other hand, notice that H
is uniformly continuous on [1, e] × [1, e], and let 1
for all u ∈ Λ. Then we have

that is, T (Λ) is equicontinuous, and then T is a compact operator in Λ.
Now we show that T (Λ) ⊂ Λ. In fact, similar to (10), for any u ∈ Λ, one has

and


where
satisfies

Hence we have
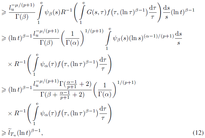
from (11) and (12).
Next, by developing the double monotone iterative technique we will show that Eq. (1) has a unique positive solution u∗ in Λ.
Taking
, we have
Λ, and then
Λ, which implies that there exists a constant 0
1 such that

where
is chosen according to (13). Notice that 0
< 1 for some . (0, 1) and take a sufficiently large positive constant
such that

Now we construct an iterative sequence with initial value 

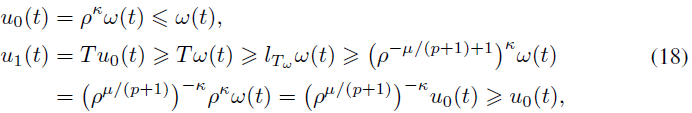
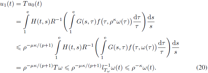
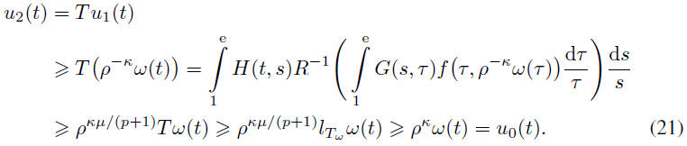
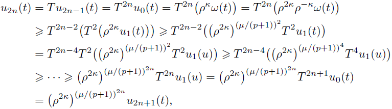
Then we assert

In fact, noticing that T is a decreasing operator in ., by (14)–(16) we have

and then

On the other hand, from (7) and (14) we have the following estimates:

By using (8), (14), (20) and the monotonicity of . we get

Thus it follows from (18), (19) and (21) that

So by mathematical induction the conclusion (17) holds.
On the other hand, for any
(0, 1), it follows from Proposition 1, (7) and (8) that

Since
is increasing operator with respect to ., thus let us apply (22) repeatedly, one gets

that is,

So for any natural numbers
and
, we have

and

Notice that P is a normal cone with normality constant 1, thus it follows from (23), (24) that

which implies that
is a Cauchy sequence of compact set. Since {un} ∈ Λ and
is compact, consequently,
converges to some
with

and then

Let
in (25), one has
, that is,
is a positive solution of Eq. (1). In the end, we show the uniqueness of
in
and the asymptotic properties of solution for Eq. (1). Suppose that
is another positive solution
. Let 
. Clearly, 0
. We claim that
1. Otherwise, we have 0
, which as well as (22) implies

Since
, this contradicts with the definition of
So we have
1, and then
. In the same way, we have
. Consequently,
, so the positive solution of Eq. (1) in . is unique.
On the other hand, for any initial value
, there exists a constant
(0, 1) such that

Let

Since
there still exists a constant l
(0, 1) such that

As (15), let us choose a sufficiently large
0 such that

where
(0, 1). Thus

which implies that
, and then

According to the fact that
is increasing operator with respect to
and (26), we have

Letting
in (27), we get that
uniformly converges to the unique positive solution
of Eq. (1).
Moreover it follows from (24) and (27) that the unique positive solution
satisfies the following estimate of error:

with a exact convergence rate

where 0
1 is a positive constant, which is determined by
.
Finally, since
, we have the following entire asymptotic analysis, that is, there exists a constant 0 < l < 1 such that

The proof is completed.
4. Example
The following example shows that conditions of Theorem 1 are easily verified.
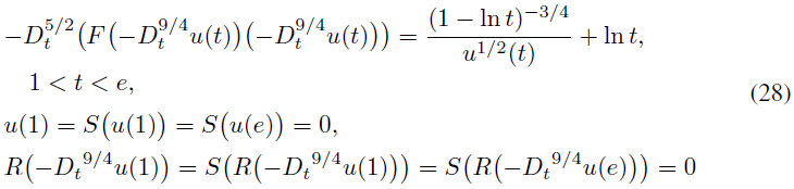
Consider the following singular Hadamard-type fractional turbulent flow model:

with a nonlinear operator
.
Then we have the following conclusions:
(i) The singular Hadamard-type fractional turbulent flow equation (28) has a unique positive solution
;
(ii) For any initial value
, we construct the iterative sequence

then
converges uniformly to the unique positive solution
of Eq. (28) on [1, e];
(iii)The error of the iterative value
and the exact solution
can be estimated by the following formula:

and the convergence rate is

where 0 < ζ < 1 is a positive constant;
(iv) The exact solution
of Eq. (28) has an entire asymptotic estimate

First, we define a set as
there exists a positive number 0
1 such that

then we have

and

Clearly,
is continuous and decreasing with respect to variable
, and for any
(0, 1), there exists a constant 0
1 such that for all
,

Moreover, we also have

and then

Thus all conditions of Theorem 1 are satisfied. From Theorem 1 it follows that all of the conclusions hold.
Now we give the graphical illustration of the iterative process to show the effectiveness of approximate solution converging to the exact solution.
Figure 1 shows that the convergence speed of iterative sequence is fairly fast, espe- cially when . = 4, the iterative solution has almost approximated exact solution of Eq. (28). Tables 1 and 2 give a numerical approximation to exact solution, which also shows that iterative process is very effective and the iterative convergence speed is robust.

![The numerical approximation of the solution for Eq. (28) in [1.0859, 1.8591].](../694173185002_gf3.png)
![The numerical approximation of the solution for Eq. (28) in [1.9451, 2.7183].](../694173185002_gf4.png)
5. Conclusion
In this paper, we study the uniqueness and iterative properties of solutions for a general Hadamard-type singular fractional turbulent flow model involving a nonlinear operator. The singularities and nonlinear operator lead to some difficulties of study. To overcome these difficulties, we introduce a new double monotone iterative technique and give some useful estimations. Then we establish some new results of positive solutions including the uniqueness, the iterative sequence converging to the unique solution, error estimates, convergence rate and entire asymptotic behavior. These properties can describe nicely the dynamic behaviour of the turbulent flow. The example also indicates that the conditions of theorem are easy to be verified, the graphic and numerical approximation show that the convergence speed of iterative sequence is robust and effective.
References
1. T. Abdeljawad, R.P. Agarwal, E. Karapınar, P.S. Kumari, Solutions of the nonlinear integral equation and fractional differential equation using the technique of a fixed point with a numerical experiment in extended .-metric space, Symmetry, 11(5):686, 2019, https://doi.org/10.3390/sym11050686.
2. E.E. Adams, L.W. Gelhar, Field study of dispersion in a heterogeneous aquifer: 2. Spatial moments analysis, Water Resour. Res., 28(12):3293–3307, 1992, https://doi.org/10. 1029/92WR01757.
3. R.S. Adigüzel, Ü. Aksoy, E. Karapinar, ˙I.M. Erhan, On the solution of a boundary value problem associated with a fractional differential equation, Math. Methods Appl. Sci., 2020, https://doi.org/10.1002/mma.6652.
4. H. Afshari, S. Kalantari, E. Karapinar, Solution of fractional differential equations via coupled fixed point, Electron. J. Differ. Equ, 2015:286, 2015.
5. H. Afshari, E. Karapınar, A discussion on the existence of positive solutions of the boundary value problems via .-Hilfer fractional derivative on .-metric spaces, Adv. Difference Equ., 2020:616, 2020, https://doi.org/10.1186/s13662-020-03076-z.
6. I. Ahmad, A Lyapunov-based direct adaptive controller for the suppression and synchro- nization of a perturbed nuclear spin generator chaotic system, Appl. Math. Comput.,395: 125858, 2021, https://doi.org/10.1016/j.amc.2020.125858.
7. B. Alqahtani, H. Aydi, E. Karapınar, V. Rakocˇevic´, A solution for volterra fractional integral equations by hybrid contractions, Mathematics, .(8):694, 2019, https://doi.org/10. 3390/math7080694.
8. D.A. Benson, S.W. Wheatcraft, M.M. Meerschaert, The fractional-order governing equation of Lévy motion, Water Resour. Res., 36(6):1413–1423, 2000, https://doi.org/10. 1029/2000WR900032.
9. Y. Ding, J. Jiang, D. O’Regan, J. Xu, Positive solutions for a system of Hadamard-type fractional differential equations with semipositone nonlinearities, Complexity, 2020:9742418, 2020, https://doi.org/10.1155/2020/9742418.
10. J. He, X. Zhang, L. Liu, Y. Wu, Y. Cui, A singular fractional Kelvin–Voigt model involving a nonlinear operator and their convergence properties, Boundary Value Probl., 2019:112, 2019, https://doi.org/10.1186/s13661-019-1228-7.
11. E. Karapınar, T. Abdeljawad, F. Jarad, Applying new fixed point theorems on fractional and ordinary differential equations, Adv. Difference Equ., 2019:421, 2019, https://doi.org/ 10.1186/s13662-019-2354-3.
12. E. Karapinar, H.D. Binh, N.H. Luc, N.H. Can, On continuity of the fractional derivative of the time-fractional semilinear pseudo-parabolic systems, Adv. Difference Equ., 2021:70, 2021, https://doi.org/10.1186/s13662-021-03232-z.
13. E. Karapınar, A. Fulga, M. Rashid, L. Shahid, H. Aydi, Large contractions on quasi-metric spaces with an application to nonlinear fractional differential equations, Mathematics, .(5): 444, 2019, https://doi.org/10.3390/math7050444.
14. M. Khan, A. Rasheed, M.S. Anwar, Z. Hussain, T. Shahzad, Modelling charge carrier transport with anomalous diffusion and heat conduction in amorphous semiconductors using fractional calculus, Phys. Scr., 96(4):045204, 2021, https://doi.org/10.1088/1402-4896/ abde0f.
15. A. Kilbas, H. Srivastava, J. Trujillo, Theory and Applications of Fractional Differential Equations, Elsevier, Amsterdam, 2006.
16. G.S. Ladde, V. Lakshmikantham, A.S. Vatsala, Monotone Iterative Techniques for Nonlinear Differential Equations, Pitman, Boston, 1985.
17. L.S. Leibenson, General problem of the movement of a compressible fluid in a porous medium, Izv. Akad. Nauk Kirg. SSSR, 9(1):7–10, 1983.
18. J.J. Nieto, An abstract monotone iterative technique, Nonlinear Anal., Theory, Methods Appl., 28(12):1923–1933, 1997, https://doi.org/10.1016/S0362-546X(97)89710-6.
19. W. Ren, J. Xiong, Stochastic stability of impulsive switched systems with constrained switching and impulses, IEEE Control Syst. Lett., .(4):1441–1446, 2020, https://doi. org/10.1109/LCSYS.2020.3040234.
20. A. Salim, M. Benchohra, E. Karapınar, J.E. Lazreg, Existence and Ulam stability for impulsive generalized Hilfer-type fractional differential equations, Adv. Difference Equ., 2020:601, 2020, https://doi.org/10.1186/s13662-020-03063-4.
21. X. Zhang, J. Jiang, L. Liu, Y. Wu, Extremal solutions for a class of tempered fractional turbulent flow equations in a porous medium, Mathematical Problems in Engineering, 2020:2492193, 2020, https://doi.org/10.1155/2020/2492193.
22. X. Zhang, L. Liu, Y. Wu, The uniqueness of positive solution for a fractional order model of turbulent flow in a porous medium, Appl. Math. Lett.,37:26–33, 2014, https://doi.org/ 10.1016/j.aml.2014.05.002.
23. X. Zhang, L. Liu, Y. Wu, Variational structure and multiple solutions for a fractional advection– dispersion equation, Comput. Math. Appl., 68(12):1794–1805, 2014, https://doi.org/ 10.1016/j.camwa.2014.10.011.
24. X. Zhang, L. Liu, Y. Wu, Y. Cui, A sufficient and necessary condition of existence of blow- up radial solutions for a .-Hessian equation with a nonlinear operator, Nonlinear Anal. Model. Control, 25(1):126–143, 2020, https://doi.org/10.15388/namc.2020. 25.15736.
25. X. Zhang, L. Liu, Y. Wu, B. Wiwatanapataphee, Nontrivial solutions for a fractional advection dispersion equation in anomalous diffusion, Appl. Math. Lett.,66:1–8, 2017, https://doi. org/10.1016/j.aml.2016.10.015.
26. X. Zhang, C. Mao, L. Liu, Y. Wu, Exact iterative solution for an abstract fractional dynamic system model for bioprocess, Qual. Theory Dyn. Syst., 16(1):205–222, 2017, https:// doi.org/10.1007/s12346-015-0162-z.
27. X. Zhang, L. Yu, J. Jiang, Y. Wu, Y. Cui, Positive solutions for a weakly singular Hadamard- type fractional differential equation with changing-sign nonlinearity, J. Funct. Spaces, 2020: 5623589, 2020, https://doi.org/10.1155/2020/5623589.
28. X. Zhang, L. Yu, J. Jiang, Y. Wu, Y. Cui, Solutions for a singular Hadamard-type fractional differential equation by the spectral construct analysis, J. Funct. Spaces, 2020:8392397, 2020, https://doi.org/10.1155/2020/8392397.
Notes
Notas de autor