Large deviations for stochastic Kuramoto–Sivashinsky equation with multiplicative noise
Large deviations for stochastic Kuramoto–Sivashinsky equation with multiplicative noise
Nonlinear Analysis: Modelling and Control, vol. 26, núm. 4, pp. 642-660, 2021
Vilniaus Universitetas

Recepción: 28 Marzo 2020
Revisado: 30 Enero 2021
Publicación: 01 Julio 2021
Abstract: The Kuramoto–Sivashinsky equation is a nonlinear parabolic partial differential equation, which describes the instability and turbulence of waves in chemical reactions and laminar flames. The aim of this work is to prove the large deviation principle for the stochastic Kuramoto– Sivashinsky equation driven by multiplicative noise. To establish the large deviation principle, the weak convergence approach is used, which relies on proving basic qualitative properties of controlled versions of the original stochastic partial differential equation.
Keywords: large deviations, stochastic partial differential equations, weak convergence, uniform Laplace principle.
1 Introduction
The theory of large deviations studies the exponential decay of probabilities in certain random systems. It has been applied in a wide variety of areas, which includes statistical mechanics, nonlinear dynamics, information theory, queueing systems, communication networks, biology and in engineering. The background, motivation and fundamental results in this area can be found in [10, 11, 13, 29]. Large deviation theory for small noise stochastic differential equation (SDE) has been extensively studied, which was introduced by Friedlin and Wentzell [18], who established the large deviations for such SDEs driven by finitely many Brownian motions. To understand the basics of this theory, consider a k-dimensional SDE of the form

with coefficients a, b satisfying suitable regularity properties and Wt a finite dimensional standard Brownian motion. If xε → x0 as ε → 0, then Xε → X0 in C([0, T ]; Rk), where X0 solves the equation x˙ = b(x) with initial data x0. The Friedlin–Wentzell theory describes the path asymptotics of probabilities of large deviations of the solution of the SDE away from X0 as ε → 0. The proofs of large deviation principle (LDP) using the aforesaid theory have relied on first approximating the original problem by timediscretization so that LDP can be shown on the resulting simpler problems via contraction principle and then showing that LDP holds in the limit using exponential probability estimates that are specific to the model under study. Later, Dupuis and Ellis [13] have combined weak convergence methods to the stochastic control approach developed earlier by Fleming [16] to the large deviations theory.
The Kuramoto–Sivashinsky (KS) equation was derived by Kuramoto and Tsuzuki [21] in phase turbulence of wave fronts in reaction–diffusion systems. The equation was also developed by Sivashinsky [25] in higher space dimensions to model small thermal diffusive instabilities in laminar flame fronts of gaseous combustible mixtures. The KS equation arises in a broad spectrum of contexts describing the behavioral aspects in thin film flows of long waves, unstable drift waves driven by electron collision, instability in thin film hydrodynamics, bright spots formation by a self forcing in optics and many other fields. The solution of the KS equation that arises in the modeling of surface erosion via ion sputtering in amorphous materials on a bounded interval subject to a random forcing term was investigated in [12]. A class of nonlocal stochastic Kuramoto–Sivashinsky (SKS) equations driven by Poisson random measures, and the existence and uniqueness of weak solution were studied in [3]. The KS equation with random forcing term is analyzed in [15], which provides sufficient conditions for existence and uniqueness of invariant measures using a Markovian semigroup.
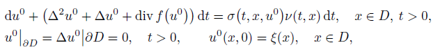
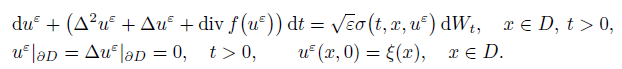
Large deviations for weak solution of a nonlocal SKS equation with small additive noise perturbations using the contraction principle was deliberated in [2]. A control problem for a one-dimensional nonlinear parabolic system of Kuramoto–Sivashinsky– Korteweg de Vries equation coupled to a heat equation based on a Carleman estimate for the linearized system is addressed in [8]. Consider the stochastic Kuramoto–Sivashinsky equation with multiplicative noise
(1)Here D is a bounded domain in Rn with a smooth boundary, Wt is a multiplicative noise defined in a filtered probability space (Ω,F , {Ft }, P), and ξ L2(D) is the given initial condition. The global well-posedness for (1) in C([0, T ], L2(D)) follows from [30].
In this paper the LDP is established for the law of solutions of (1) by using the weak convergence approach. Existing LDP results for various stochastic dynamical systems can be found in [1, 5, 17, 23, 24, 26,27,28] and many more. The main advantage of using the weak convergence approach is that it do not require any time discretization and exponential probability estimates as in the Friedlin–Wentzell technique, which are tedious in infinite dimensional setting, where these estimates are needed with metrics on
exotic function spaces. In fact, a more strengthened form, which is the uniform LDP, where the uniformity is with respect to the initial condition, is established here. In many applications, stable equilibrium or periodic behaviour is critical to a well functioning system. In stochastic dynamical systems with a small noise, it is of interest to understand its effect on the dynamics, especially, near stable equilibrium points and periodic orbits of the corresponding deterministic system. While solutions of the deterministic system that start near a stable equilibrium point or periodic orbit may remain near the equilibrium point or periodic orbit for all time, solutions of the small noise stochastic system will eventually exit any bounded domain that contains the equilibrium point or periodic orbit. The uniform LDP over compact sets for finite-dimensional diffusions has been used by Friedlin and Wentzell [18] to study the exit time and exit place asymptotics for bounded subsets of Rn. The perspective of uniform large deviations over compact sets used in this work will be fruitful to the study of asymptotic properties of invariant measures and exit times from suitable bounded domains as ε 0. Here the uniform Laplace principle is proved, which is equivalent to the LDP for Polish space-valued random elements. The sufficient conditions are obtained by proving certain qualitative properties such as existence, uniqueness and tightness of the analogous controlled processes and convergence to its limiting zero noise equation, which leads to a simple, short and more straightforward proof as compared to the other methods.
Outline of the paper. In Section 2, we introduce the SKS equation under study, its existence and uniqueness results and state some of the estimates for the corresponding Green’s kernel. In Section 3, we state the LDP, the uniform Laplace principle and sufficient conditions to prove it using variational representations for appropriate family of measurable maps. In Section 4, we introduce the controlled and skeleton equations and establish their existence and uniqueness. Section 5 is devoted for proving the main theorem. The LDP is established by proving tightness and convergence of the controlled process using Prohorov’s theorem. Unless otherwise noted, we adopt the following notation throughout this paper. Denote the expectation with respect to P by E. The notation =.means definition. C(T ) denotes a constant depending on parameter say T , and C is a constant depending on no specific parameter. The precise value of such constants may change from one line to the other. Also, the Lp(D) norm is denoted by ǁh(t, ·)ǁLp for a function h(t, x) with respect to the variable x ∈ D.
2 Stochastic Kuramoto–Sivashinsky equation
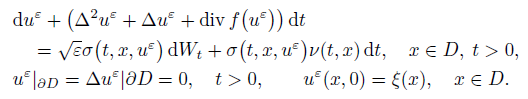
Let (Ω,F , {Ft} , P) be a filtered probability space, D is a bounded domain in Rn with smooth boundary. Let Wt, t ≥ 0, be a L2(D)-valued Wiener process adapted to the filtration {Ft} , t ≥ 0. Recall the stochastic Kuramoto–Sivashinsky equation (SKS) indexed by ε > 0 as
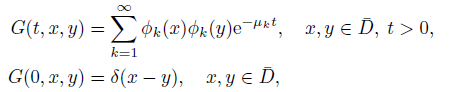
(2)f is a given vector function, σ is the noise intensity, which is a continuous L2(D)-valued random field, and the initial condition ξ ∈ L2(D). Let {λk}∞k=1 be the sequence of eigenvalues of the operator −∆ on D subject to the homogeneous Dirichlet boundary condition, where multiple eigenvalues are counted in their multiplicities. Let φk ∞k=1 be the corresponding sequence of eigenfunctions chosen to form an orthonormal basis of L2(D). Since limk→∞ λk(λk − 1) = ∞, choose a c ≥ 0 and fix it such that λk(λk − 1) + c > 0 for all k ∈ N. Let
(3)where G(t, x, y) is the Green’s function of the linear partial differential equation ∂tu + ∆2u + ∆u + cu = 0 (in D).
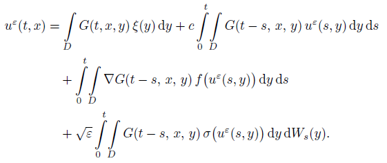
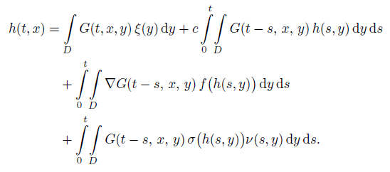
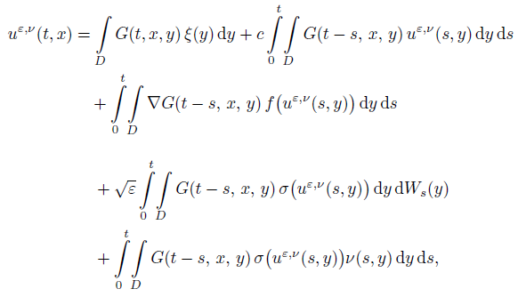
The equivalent stochastic integral equation of (2) using the Green’s function and Duhamel’s formula is given by

Here we use σ(uε(s, y)) in the place of σ(s, y, uε(s, y)) for the sake of simplicity.
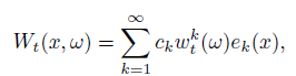
There exists a complete normalized oΣrthogonal basis {ek}k∞=1 of L2(D), a sequence of positive numbers {ck}k=1∞ satisfying ∑k=1 ∞ ck2 < ∞ and a sequence of independent, identically distributed standard Brownian motions wkt (k = 1,2,….) such that

and let

Then
. Also, r (x,y) = r (x,y), and ∫∫ D x D r (x,y) ᵩ (x) ᵩ (y) dx dy ≥0 for any ᵩ ϵ L2 (D). Thus, there exists a positive semidefinite self-adjoint Hilbert–Schmidt operator R, which is the covariance operator of the Wiener process Wt on L2(D) with kernel r(x; y) given by

The following are the assumptions made on the nonlinearity f , noise intensity σ and kernel function r(x, y) of the trace class operator.
Assumption A. f (0) = 0, and there exists constants C > 0 and p ≥ 1 such that for u, v ∈ R,
f (u) − f (v) ≤ C 1 + |u| + |v| p−1|u − v|.
Assumption B. There exists constant C > 0 such that for u, v ∈ R and t ≥ 0, x ∈ D,

Assumption C. The kernel function r is in D × D, so that there exists a constant C > 0 such that for x, y ∈ D,
r(x, y) ≤ C.
The existence and uniqueness of a solution to (2) follow from the theorem stated below [30, Thm. 1.1].
Theorem 1 [Existence and uniqueness of the solution]. Let Assumptions A–C be satisfied. Suppose further that 1 ≤ p ≤ 2 for 1 ≤ n ≤ 5 and 1 ≤ p < 1 + 6/n for n ≥ 6. Then problem (2) is globally well posed in L2(D × Ω). More precisely, for any F0-measurable ξ ∈ L2(D × Ω), problem (2) has a unique solution uε such that for any T > 0, uε ∈ L2(Ω, C([0, T ], L2(D))), and the solution map ξ ›→ uε is a Lipschitz continuous map from L2(D × Ω) to L2(Ω, C([0, T ], L2(D))).
Using Assumption A, it can be ensured that for any u, v ∈ L2(D),
(4)
(5)
(6)Also, from Assumptions B and C, for any u, v ∈ L2(D), x ∈ D, t ≥ 0, we get
(7)
(8)For any T > 0, let XT be the set of L2(D)-valued Ft-adapted continuous random processes u on L2(Ω, C([0, T ], L2(D))) such that the norm

is finite. Then it is apparent that (XT , ǁ.ǁXT ) is a Banach space. If u(t) is the solution of (2) in the finite interval [0, T ], then there exists a corresponding C > 0 such that
(9)which follows from [30].
2.1 Estimates for the Green’s function
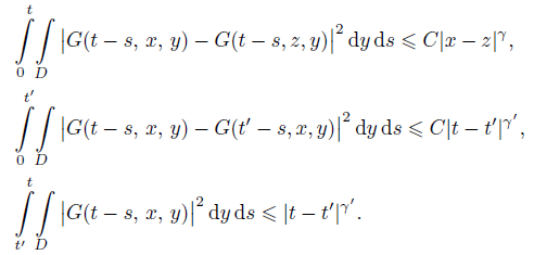
The following lemma gathers several estimates for integrals of space (respectively time) increments of G, the results are the same as those in [7, Lemma 1.8] that are deduced from the explicit formulation (3) of G by using similar arguments.
Lemma 1. For γ < 4 − n and γ ≤ 2, γ′ < 1 − n/4, there exists C > 0 such that for t > t′, x, y, z ∈ D,

The lemma below gives the upper estimates on the Green’s function proved in [14], which are similar to those in [7].
Lemma 2. Let G be the Green’s function defined by (3). Then there exist positive constants c1 and c2 such that for any t ∈ [0, T ], any x, y ∈ D and any multi-index α ∈ Z+n the following inequalities are satisfied:
(10)
(11)
(12)Lemma 3. Let q ≥ 1. Define the linear operator J by
(13)for v ∈ L∞([0, T ], Lq(D)), provided the integral exists. Let ζε(t, x) be a sequence of random fields on [0, T ] × D such that almost surely

where θε is a finite random variable for every ε. Assume that θε is bounded in probability, i.e.,

Then the sequence J(ζε) is uniformly tight in C([0, T ], L2(D)).
The above lemma can be verified for the operator J as defined in (13) when H(s, t; x, y) = G(t - s, x, y) or ∂yG(t - s, x, y) using estimates (10)(11)(12) analogous to [?, Cor. 3.2].
Lemma 4. (See [30, Lemma 2.1].) Let ϕ ∈ L2(D). Then for any α ∈ Zn, we have

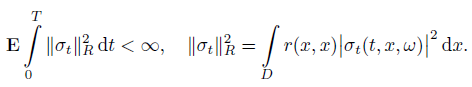
Lemma 5. (See [30, Lemma 2.2].) Let σt(t, x, ω) be a continuous L2(D)-valued random field satisfying the condition

Then we have the following estimate:

3 Large deviation principle
In this section, we state some standard definitions and results from the theory of large deviations and some of the results presented in [4,5]. In particular, we state the variational representation formulas for appropriate family of measurable maps, and subsequently, we state the uniform Laplace principle, which is equivalent to the uniform LDP under a Polish space. Here the uniformity is with respect to the initial condition. Using the weak convergence approach from [5], the uniform Laplace principle can be proved under two main assumptions using the basic qualitative properties (existence, uniqueness and tightness) for the controlled and zero noise versions of the original process.
Let {Xε, ε > 0} = {Xε} be a family of random variables defined on the probability space (Ω, , P) that takes values in a Polish space (i.e., a complete separable metric space) E. The theory of large deviations is concerned with events A for which probability P (X A) converges to zero exponentially fast as ε → 0. The exponential decay rate of such probabilities is typically expressed in terms of a “rate function”.
Definition 1 [Rate function]. A function I : E → [0, ∞] is called a rate function on E if for each M < ∞, the level set {x ∈ E: I(x) ≤ M } is a compact subset of E.
Definition 2 [Large deviation principle]. The sequence Xε is said to satisfy the large deviation principle on E with rate function I if the following conditions hold:
1. Large deviation upper bound. For each closed subset F of E,

2. Large deviation lower bound. For each open subset G of E,

In many problems, exponential estimates on functions are of interest and are more general than indicator functions of closed or open sets. This induced the study of the Laplace principle.
Lemma 6 [Laplace principle]. Given h a bounded continuous function mapping [0, 1] into R,

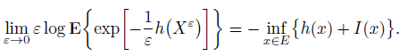
An important consequence of the LDP, which involve the asymptotic behavior of certain expectations as stated below is proved by Varadhan [29], which generalizes the Laplace principle.
Lemma 7 [Varadhan’s lemma]. (See [13].) Assume that the sequence {Xε, ε > 0} of random variables defined on a probability space and taking values in a Polish space E satisfies the LDP on E with rate function I. Then for all bounded continuous functions h mapping E into R,

Lemma 8 [Bryc’s converse]. (See [13].) The Laplace principle implies the LDP with the same rate function. More precisely, if I is a rate function on E and the limit

is valid for all bounded continuous functions h, then {Xε, ε > 0} satisfies the LDP on E with rate function I.
From Varadhan’s lemma, together with Bryc’s converse of Varadhan’s lemma, the Laplace principle and LDP are equivalent for Polish space-valued random elements [13]. In view of this equivalence the rest of this work will be concerned with the study of the Laplace principle. In fact, we will study a somewhat strengthened notation, namely, a uniform Laplace principle, which will be stated in Theorem 2.
Let E0 = L2(D) be the space of the initial condition, and let E = C([0, T ], L2(D)) be the space of solutions, which are Polish spaces. The initial condition ξ takes values in the compact subsets of E0. Let ε : E0 C([0, T ] D, R) E be a family of measurable maps. The solution map of (2) is defined as

Then Xε,ξ are Polish space-valued random elements. Let ν : Ω x [0, T ] → L2(D) be an L2(D)-valued predictable process. Define

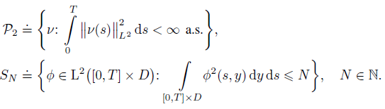
The set of bounded deterministic controls is given by the Polish space SN , which is a compact metric space endowed with the weak topology on L2([0, T ] x D) as in [5]. The set of bounded stochastic controls is given by
(14)For ν ∈ L2([0, T ] × D), we define

The following condition is the standing assumption of Theorem 2.
Assumption. There exists a measurable map 0 : E0 x C([0, T ] x D, R) → E such that:
(S1) For every M < ∞ and compact set K ⊂ E0, the set

is a compact subset of E.
(S2) Consider M < ∞ and let {νε} ∈ PM and {ξε} ⊂ E0 such that ξε → ξ, νε → ν in distribution as ε → 0. Then

in distribution as ε → 0.
The following theorem states the uniform Laplace principle for the family {Xε,ξ}.
Theorem 2. (See [5, Thm. 7].). Let G0 : E0×C([0, T ]×L2(D), R) → E be a measurable map satisfying (S1) and (S2). For ξ ∈ E0 and f ∈ E, define

Suppose that for all f ϵ E, ξ →Iξ(f ) is a lower semicontinuous map from E0 to [0,∞].
Then, for all ξ ϵ E0, f → Iξ(f ) is a rate function on E, and the family {Iξ, ξ ϵ E0} of rate functions has compact level sets on compacts. Furthermore, the family Xε,ξ satisfies the Laplace principle on E with rate function Iξ uniformly in ξ on compact subsets of E0.
4 Controlled and the skeleton equations
The solution map for the SKS equation (2) is uϵ = Gϵ (ξ,√ϵ Wt). For a control V ϵ P2,
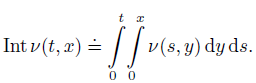
u ξ ε,ν = Gε(ξ, √εWt + Int ν) is the solution map of the stochastic controlled equation
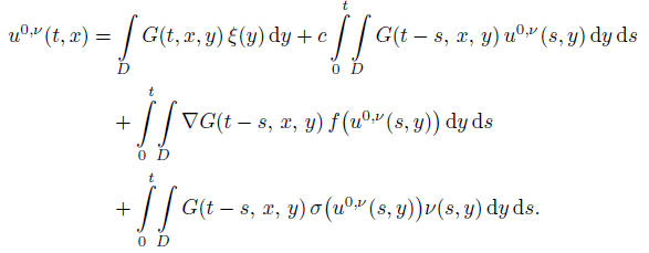
(15)The mild solution of the stochastic controlled equation (15) is
(16)whereas u0,ν = G0(ξ, Int ν) is the solution map of the skeleton equation
(17)whose mild solution is

4.1 The rate function
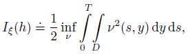
Let h ϵ C([0, T ], L2(D)) for every t ϵ [0, T ] and x ϵ D. Define the following rate function:
(18)where the infimum is taken over all ν ∈ L2([0, T ] × D) such that

4.2 Existence and uniqueness of the controlled process
The following theorem establishes the existence and uniqueness of the controlled process using Girsanov’s theorem [9, Thm. 10.14].
Theorem 3 [Existence and uniqueness of the controlled process]. Let Gε denote the solution mapping, and let ν ∈ P2N for some N ∈ N, where P2N is as defined in (14). For ε > 0 and ξ ∈ E0, define

Then uε,ν is the unique solution of (15).
Proof. For a fixed ν ∈ P2N , define the measure Qν,ε by

Then Qν,ε is probability measure on (Ω, F, Qν,ε) and is equivalent to P. By Girsanov’s theorem [9, Thm. 10.14], the process W =˜Wt + ϵ −1/2 Int ν is a Wiener process under the measure Qν,ε. By Theorem 1, u ξ ε,ν is the unique solution of (2) with Wt replaced by W under the measure Qν,ε. This is precisely the same as (15) on the probability space (Ω, F, Qν,ε). By the equivalence of measures u ξ ε,ν is the unique solution of (15) under the probability measure (Ω, F, P), and the proof is complete.
Theorem 4 [Existence and uniqueness of the skeleton]. Fix ξ ∈ E0 and ν ∈ P2. Then there exists a unique function u ξ 0,ν ∈ C([0, T ], L2(D)), which is the mild solution to the skeleton equation (17).
The proof of this theorem is almost same to that of Theorem 1 and hence omitted.
5 Main theorem
The following theorem is the main contribution of this paper, which establishes the uniform LDP for the law of solutions {uε} of the SKS equation (2).
Theorem 5 [Main theorem]. The family of solutions of (2) given by {uε = ε(ξ, √εWt), ε ϵ (0, 1)} satisfies the LDP on the Polish space E with rate function Iξ given by (18) uniformly for ξ in compact subsets of E0.
As mentioned earlier, in a Polish space, the uniform Laplace principle is equivalent to the uniform LDP. In view of Theorem 2, it suffices to prove conditions (S1) and (S2). To accomplish this purpose, define a measurable map β : [0, 1) → [0, 1) such that β(r) → β(0) = 0 as r →0.
The following theorem will be used to obtain the weak convergence of a sequence of controlled processes by using the tightness arguments.
Theorem 6 [Prohorov’s theorem]. (See [19, Thm. 14.3].) For any sequence of random elements Xn , n = 1, 2, . . . , in a metric space S, tightness implies relative compactness in distribution, and the two conditions are equivalent when S is separable and complete.
Lemma 9. (See [6].) Let ξ ∈ Lρ(D), ρ ≥ 2. Then (t → G(t)ξ) belongs to C([0, T ], Lρ(D)), and ξ → {t → G(t)ξ} is a continuous map in ξ.
Theorem 7 [Convergence of the controlled process]. Let M < ∞, and sεuppose that ξε → ξ, νε → ν in distribution as ε → 0 with {νε} ⊂ PM . Then u ξ β(ε),ν → u ξ0,v in distribution.
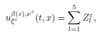
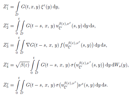
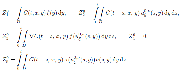
Proof. From (16) the solution of the controlled process is given by

where

The proof is carried out in two steps.
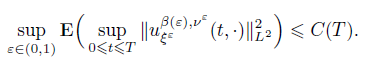
Step 1: Tightness. We show the tightness of Zε for l = 1, 2, 3, 4, 5 in C([0, T ], L2(D)).
Since ξε ∈ L2(D), the tightness of Zε follows from the Lemma 9.
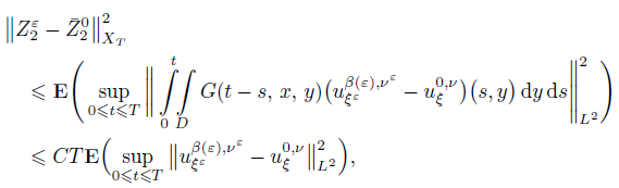
When l = 2, let

Using (9), we have

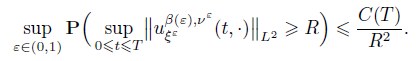
Using Chebyshev’s inequality, for a constant R > 0, we obtain

Therefore,
(19)Hence, by using Lemma 3 the sequence J(ζ1ε) = Zε is uniformly tight in C([0, T ], L2(D)).

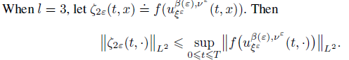
(20)Also, when
. Then

Using (7), (9) and properties of controls, we have
(21)Similar to (19), using Chebyshev’s inequality, (20) and (21), we obtain the tightness of J(ζ2ε) = Z3ε and J(ζ3ε) = Z5ε in C([0, T ], L2(D)) from Lemma 3.
When l = 4, to show the tightness of Z4ε, using [20, Thm. 4.10], it suffices to show the following two conditions. For any (t, x) and (t′, y) ∈ [0, T ] × D, t > t′,

Using the Itô isometry, (7), (9) and Lemma 1, we obtain

which by Chebyshev’s inequality leads to
(22)Similarly,

from which, using Chebyshev’s inequality, we get
(23)Hence, from (22) and (23) the sequence Zε is tight in C([0, T ], L2(D)).
Step 2: Convergence. With the proof of tightness of Zε for l = 1, 2, 3, 4, 5 at hand, by Prohorov’s theorem a subsequence can be extracted along which each of the aforementioned processes and u ξε β(ε),νε converge in distribution in C([0, T ], L2(D)). Let Zl0 and
u0,ν denote the respective limits. We will show that

Case 1. The case l = 1 follows from Lemma 9.
Case 2. When l = 2, we invoke the Skorokhod representation theorem [22] and thus assume the almost sure convergence on a larger common probability space. Denote the right-hand side of Z20 by Z¯20. Using Lemma 4 with α = 0, we have

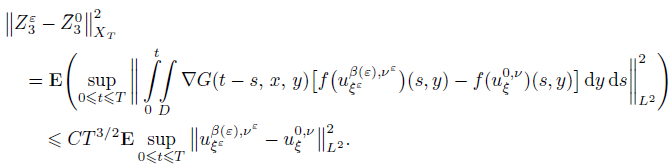
and thus converges to zero as ε → 0 since u ξε β(ε),νε → u ξ 0,ν by the fact that the limit is unique, and Z20 is a continuous random field using Theorem 4. Hence we conclude that Z20 = Z¯20.
Case 3. When l = 3, denote the right-hand side of Z30 by Z¯30 and invoke Skorokhod representation theorem as before. By using Lemma 4 with |α| = 1 and (6) we have

Using a similar argument as in the previous case, Z30 = Z¯30, and the right-hand side converges to zero as ε → 0.
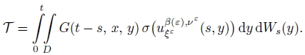
Case 4. When l = 4, let

As proven before, since T is tight, using [5, Lemma 3], Z4ε converges in probability in C([0, T ] × L2(D)), which implies the corresponding convergence in C([0, T ], L2(D)).
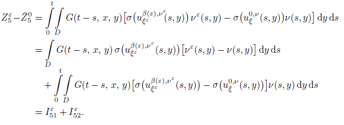
Case 5. When l = 5, let us denote the right-hand side of Z50 by Z¯50. As νε → ν in distribution as ε 0 and since SM endowed with weak topology is a Polish space, from the Skorokhod representation theorem there exists a probability space (Ω¯, F ¯, { F¯t } , P¯ ). On this basis, a sequence of independent Brownian motions W¯ t and also a family of ¯tpredictable processes {ν¯ε: ε > 0} , ν¯ taking values in SM P-a.s. such that the joint law of (νε, ν, Wt) under P coincides with that of (ν¯ε, ν¯, W¯t) under P¯ , and

In what follows, we will write νε, ν instead of ν¯ε, ν¯ for simplicity:

Next, we will show that
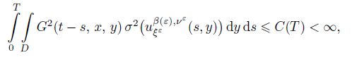
(24)For any (t, x) ∈ [0, T ] × D, from assumption B and Lemma 1 we have

which implies that the function {G(t − s, x, y)σ(u ξε β(ε),νε (s, y)): (s, y) ∈ [0, T ] × D} takes values in SM for some M ∈ N. Since νε → ν weakly in SM , we get

Using Hölder’s inequality and the fact that νε, ν ∈ SM , we get

which implies that I51ε is uniformly bounded. Hence, by the dominated convergence theorem we obtain (24). Using (8), (9) and properties of controls, we get
(25)The RHS of (25) converges to zero since u ξε β(ε),νε → u ξ 0,ν as ε → 0.
Therefore, from (24) and (25) we get

Again, using the fact that the limit is unique and Z¯50 is a continuous random field, it can be concluded that Z50 = Z¯50. Hence, from the uniqueness Theorem 4 it follows that along a subsequence, the controlled process converges to the skeleton equation.
Verification of assumption (S1). Assumption (S1) follows from Theorem 4 and applying Theorem 7 with β = 0.
Verification of assumption (S2). Assumption (S2) follows by applying Theorem 7 with β(r) = r, r ∈ [0, 1).
This concludes the proof of main theorem.
6 Conclusion
Thus, the uniform LDP is proved in a precise manner, where the proofs rely on some basic qualitative properties like existence, uniqueness, tightness of the controlled and zero noise analogues of the original system. The future research directions would include studies of exit time problems using the uniform LDP, moderate deviation principle and central limit theorem for the SKS equation. Further, one can focus upon the analysis of wellposedness, exit time, LDP, moderate deviations for the SKS equation and other similar SPDEs perturbed by a Levy noise.
References
1 G. Amali Paul Rose, M. Suvinthra, K. Balachandran, Large deviation principle for stochastic generalized KdV equation with additive noise, Indian Journal of Industrial and Applied Mathematics, 10(2):178–193, 2019, https://doi.org/10.5958/1945-919X.2019.00033.1
2 L. Bo, Y. Jiang, Large deviation for the nonlocal Kuramoto-Sivashinsky SPDE, Nonlinear Anal. Theory Methods Appl., 82:100–114, 2013, https://doi.org/10.1016/j.na.2013.01.005
3 L. Bo, K. Shi, Y. Wang, On a nonlocal stochastic Kuramoto-Sivashinsky equation with jumps, Stoch. Dynam., .(4):439–457, 2007, https://doi.org/10.1142/S0219493707002104
4 A. Budhiraja, P. Dupuis, A variational representation for positive functionals of infinite dimensional Brownian motion, Probab. Math. Stat., 20(1):39–61, 2000, https://www.math.uni.wroc.pl/~pms/files/20.1/Abstract/20.1.3.abs.pdf
5 A. Budhiraja, P. Dupuis, V. Maroulas, Large deviations for infinite dimensional stochastic dynamical systems, Ann. Probab., 36(4):1390–1420, 2008, https://doi.org/10.1214/07-AOP362
6 C. Cardon Weber, Large deviations for a Burgers’-type SPDE, Stoch. Proc. Appl., 84(1):53– 70, 1999, https://doi.org/10.1016/S0304-4149(99)00047-2
7 C. Cardon Weber, Cahn Hilliard stochastic equation: existence of the solution and of its density, Bernoulli, .(5):777–816, 2001, https://doi.org/10.2307/3318542
8 E. Cerpa, A. Mercado, A.F. Pazoto, On the boundary control of a parabolic system coupling KS-KdV and heat equations, Scientia Series A: Mathematical Sciences, 22:55–74, 2012, http://scientia.mat.utfsm.cl/archivos/vol22/articulo6Vol2012Rev.pdf
9 G. Da Prato, J. Zabczyk, Stochastic Equations in Infinite Dimensions, Cambridge University Press, Cambridge, 1992, https://doi.org/10.1017/CBO9780511666223
10 A. Dembo, O. Zeitouni, Large Deviations Techniques and Applications, Springer Verlag, New York, 2010, https://doi.org/10.1007/978-3-642-03311-7
11 J.D. Deuschel, D.W. Stroock, Large Deviations, Academic Press, San Diego, 1989, https://doi.org/10.1090/chel/342
12 J. Duan, V.J. Ervin, On the stochastic Kuramoto-Sivashinsky equation, Nonlinear Anal. Theory Methods Appl., 44(2):205–216, 2001, https://doi.org/10.1016/S0362-546X(99)00259-X
13 P. Dupuis, R.S. Ellis, A Weak Convergence Approach to the Theory of Large Deviations, John Wiley & Sons, New York, 1997, https://doi.org/10.1002/9781118165904
14 S.D. Èˇidel.man, N.V. Ivašisen, Investigation of the Green’s matrix of a homogeneous parabolic boundary value problem, Tr. Mosk. Mat. Obs., 23:179–234, 1970, http://www.mathnet.ru/php/archive.phtml?wshow=paper&jrnid=mmo&paperid=242&option_lang=eng
15 B. Ferrario, Invariant measures for a stochastic Kuramoto-Sivashinsky equation, Stoch. Anal. Appl., 26(2):379–407, 2008, https://doi.org/10.1080/07362990701857335
16 W.H. Fleming, A stochastic control approach to some large deviations problems, in C. Dolcetta, W.H. Fleming, T. Zolezzi (Eds.), Recent Mathematical Methods in Dynamic Programming: Proceedings of the conference held in Rome, Italy, March 26-28, 1984, Springer Verlag, Berlin, 1985, pp. 52–66, https://doi.org/10.1007/BFb0074780
17 M. Foondun, L. Setayeshgar, Large deviations for a class of semilinear stochastic partial differential equations, Stat. Probab. Lett., 121:143–151, 2017, https://doi.org/10.1016/j.spl.2016.10.019
18 M.I. Friedlin, A.D. Wentzell, Random Perturbations of Dynamical Systems, Springer, New York, 1984, https://doi.org/10.1007/978-1-4684-0176-9
19 O. Kallenberg, Foundations of Modern Probability, Springer, New York, 2002, https://doi.org/10.1007/978-1-4757-4015-8
20 I. Karatzas, S.E. Shreve, Brownian Motion and Stochastic Calculus, Springer, New York, 1998, https://doi.org/10.1007/978-1-4612-0949-2
21 Y. Kuramoto, T. Tsuzuki, On the formation of dissipative structures in reaction-diffusion systems: Reductive perturbation approach, Prog. Theor. Phys., 54(3):687–699, 1975, https://doi.org/10.1143/PTP.54.687
22 H.J. Kushner, P. Dupuis, Numerical Methods for Stochastic Control Problems in Continuous Time, Springer, New York, 1992, https://doi.org/10.1007/978-1-4684-0441-8
23 V. Maroulas, Large deviations for infinite-dimensional stochastic system with jumps, Mathematika, 57(1):175–192, 2011, https://doi.org/10.1112/S0025579310001282
24 L. Setayeshgar, Large deviations for a stochastic Burgers’ equation, Commun. Stoch. Anal., .(2):141–154, 2014, https://doi.org/10.31390/cosa.8.2.01
25 G.I. Sivashinsky, Nonlinear analysis of hydrodynamic instability in laminar flames I. Derivation of basic equations, Acta Astronaut., .(11–12):1177–1206, 1977, https://doi.org/10.1016/0094-5765(77)90096-0
26 S.S. Sritharan, P. Sundar, Large deviations for the two-dimensional Navier-Stokes equations with multiplicative noise, Stoc. Proc. Appl., 116(11):1636–1659, 2006, https://doi.org/10.1016/j.spa.2006.04.001
27 M. Suvinthra, K. Balachandran, Large deviations for the stochastic predator-prey model with nonlinear functional response, J. Appl. Probab., 54(2):507–521, 2017, https://doi.org/10.1017/jpr.2017.14
28 M. Suvinthra, S.S. Sritharan, K. Balachandran, Large deviations for stochastic tidal dynamics equation, Commun. Stoch. Anal., .(4):477–502, 2015, https://doi.org/10.31390/cosa.9.4.04
29 S.R.S. Varadhan, Large Deviations and Applications, SIAM, Philadelphia, 1984, https://dx.doi.org/10.1137/1.9781611970241
30 W. Wu, S. Cui, J. Duan, Global well-posedness of the stochastic generalized KuramotoSivashinsky equation with multiplicative noise, Acta Math. Appl. Sin. English Series, 34(3):566–584, 2018, https://doi.org/10.1007/s10255-018-0769-3