Artículo original
Modelamiento del control de población de palomas (Columba-livia) en la Plaza de Bolívar de Bogotá1
Control Modeling for the Pigeon Population (Columba-livia) at the Plaza de Bolívar in Bogotá
Modelagem de controle da população de pombos (Columba-livia) na Praça de Bolívar em Bogotá
Modelamiento del control de población de palomas (Columba-livia) en la Plaza de Bolívar de Bogotá1
Revista Lasallista de Investigación, vol. 15, núm. 1, pp. 8-15, 2018
Corporación Universitaria Lasallista
Recepción: 25 Agosto 2016
Aprobación: 14 Abril 2017
DOI: 10.22507/rli.v15n1a1
Resumen
Introducción: Las palomas (Columba livia) son parte cultural de los centros históricos de las grandes ciudades del mundo -entre ellos la Plaza de Bolívar de la ciudad de Bogotá, Colombia-, sin embargo, son una especie invasora que puede llegar a ser una amenaza para la salud pública de los visitantes de la Plaza, razón por la cual es necesario controlar el incremento neto de estas aves sin buscar su extinción.
Objetivo: En este trabajo se construyó un modelo matemático del crecimiento de la población de palomas, bajo una serie de pulsos de control a través del tiempo, para observar el comportamiento de desarrollo controlado de estas aves.
Materiales y métodos: Como herramienta principal se utilizó la metodología de modelamiento conocida como Dinámica de Sistemas, la cual permite obtener un sistema de ecuaciones diferenciales a partir de una representación sistémica de un problema.
Resultados: Los resultados indican que la simulación de este tipo de control permite que la población de palomas se mantenga dentro de un rango aceptable para el espacio.
Conclusiones: Este trabajo se considera un gran aporte en la simulación y evaluación de escenarios para el control de población de palomas, mediante la evaluación con Dinámica de Sistemas y puede reproducirse para otras especies problema.
Palabras clave: Columba livia+ dinámica de sistemas+ control de población+ salud pública.
Abstract
Introduction: The pigeons (Columba livia) are a cultural part of the historical centers of the great cities of the world; however, they are an invasive species that can become a threat to the public health of visitors to the Plaza de Bolívar in Bogotá, which is why it is necessary to control the net increase of these birds, without seeking extinction.
Objective: In this work a mathematical model of the population growth of pigeons was constructed, under a series of control pulses through time, to observe the behavior of controlled development of these birds.
Materials and Methods: As a main tool we used the modeling methodology known as System Dynamics, which allows us to obtain a system of differential equations from a systemic representation of a problem.
Results: The results indicate that the simulation of this type of control allows the population of pigeons to remain within an acceptable range for space.
Conclusions: This work is considered a great contribution in the simulation and evaluation ofscenarios for the population control of pigeons, through the evaluation with Systems Dynamics and can be reproduced for other problem species.
Keywords: Columba livia, system dynamics, population control, public health.
Resumo
Introdução: As pombos (Columba livia) são parte cultural dos centros históricos das grandes cidades no mundo, incluindo a Praça Bolívar na cidade de Bogotá, Colômbia, no entanto, são uma espécie invasora que podem se tornar uma ameaça para a saúde pública dos visitantes da Praça, é por isso que é necessário controlar o aumento líquido dessas aves sem buscar a extinção.
Objetivo: Neste trabalho construiu-se um modelo matemático do crescimento da população de pombos, sob uma série de pulsos de controle no tempo, para observar o comportamento de desenvolvimento controlado dessas aves.
Materiais e métodos: Como ferramenta principal, utilizou-se a metodologia de modelagem conhecida como Dinâmica de Sistemas, que permite obter um sistema de equações diferenciais a partir de uma representação sistémica de um problema.
Resultados: Os resultados indicam que a simulação deste tipo de controle permite que a população de pombos permaneça dentro de um intervalo aceitável para o espaço.
Conclusões: Este trabalho é considerado uma grande contribuição na simulação e avaliação de cenários para o controle da população de pombos, através da avaliação com a Dinâmica de Sistemas e pode se reproduzir para outras espécies problema.
Palavras-chave: Columba livia, dinâmica de sistemas, controle de população, saúde pública.
Introducción
La paloma doméstica (Columba livia, Gmelin, 1789) pertenece al orden Columbiformes, familia Columbidae (Pazmiño, 2007). Esta especie se caracteriza por su eficiente nivel reproductivo y mansedumbre, lo que es importante para su adaptación y supervivencia (Méndez, Villamil, Buitrago y Soler-Tovar, 2013). Las palomas se adaptan fácilmente a los ambientes donde viven, se pueden refugiar en árboles, acantilados y construcciones urbanas, entre otras. Por esto son denominadas aves ubicuas y cosmopolitas (Naupay et al., 2015). Así mismo, son aves monógamas que se reproducen entre los meses de marzo a agosto, cuando la pareja se turna incubando los huevos por 17 a 19 días. Los pichones son alimentados por los padres por cerca de 25 días (Martínez Saavedra, 2009).
Las palomas pueden generar un problema de sobrepoblación cuando los factores limitantes se tornan ideales y las poblaciones empiezan a crecer descontroladamente (Bernal, Rivas, Rodríguez, Vásquez y Vélez, 2011), lo que puede llegar a representar un potencial problema de salud pública. Algunas de las enfermedades que se pueden atribuir a las palomas son la clamidiosis, la estafilococosis, la salmonelosis y la aspergillosis (González-Acuña et al., 2007). Se han llevado a cabo diversos estudios del impacto que generan las palomas en la salud pública. Así, González-Acuña et al. (2007), las declararon como una plaga en la ciudad de Chillán, Chile, por ser portadoras de agentes zoonóticos como Salmonella sp; Henry y Crossley (1986) las relacionaron con la psitacosis en Estados Unidos; De Lima et al. (2011) comprobaron la presencia de Chlamydophila psittaci y Toxoplasma gondii en palomas en Brasil; Caicedo, Álvarez, Llanos y Molina (1996) reportaron la presencia de Cryptococcus neoformans en las excretas de las palomas y su relación con personas inmunodeprimidas por el virus del VIH. Así mismo las palomas fueron erradicadas de las Islas Galápagos, no solo por ser un problema de salud pública, sino porque, además, estaban afectando la biodiversidad de las islas (Phillips, Cooke, Carrión& Snell, 2012).
En el centro de Bogotá, Colombia, se encuentra la Plaza de Bolívar, un punto histórico y de turismo de la ciudad, la cual tiene cerca de 14 000 m2 (incluidas las calles) y una capacidad para cerca de 56 000 personas, (cifras no oficiales reportadas por la Universidad de los Andes). En esta área tan amplia, las palomas se han ido adaptando a la vida cotidiana, son alimentadas por turistas y transeúntes; asimismo, se viene percibiendo un aumento de su densidad poblacional. Además, existen otros factores que intervienen en la distribución de estas aves y pueden alterar las estimaciones poblacionales (Begambre y Pardo, 2015).
Las palomas en la ciudad de Bogotá, pese al gran impacto en la salud pública como posible diseminación de patógenos de enfermedades zoonóticas, solo son vistas como un problema para el mantenimiento de los monumentos históricos de la ciudad. Sin embargo, la ciudad requiere evaluar la superpoblación de palomas bajo diversos puntos de vista a fin de implementar alternativas de control de su población en plazas como la Plaza de Bolívar, a fin de que se incluyan en programas y políticas ambientales y de salud. Actualmente no se tiene un estimado de población de palomas en la plaza de Bolívar, ni una tasa de crecimiento estimada, solo se percibe un incremento visual.
El presente trabajo presenta los resultados del modelamiento con la metodología de dinámica de sistemas, de una alternativa de control poblacional en las palomas, a través de la aplicación periódica del medicamento nicarbazine, este es un seguro y efectivo inhibidor reproductivo que puede ser considerado como parte de un programa de manejo de la plaga de palomas, Giunchi Gaggini y Baldaccini (2007).
Materiales y métodos
Se hizo un modelamiento con la metodología de dinámica de sistemas, siguiendo los pasos propuestos por Forrester (1999) y Aracil y Gordillo (1997). Por ello, se parte de la construcción de un diagrama causal, se realiza la formulación de un diagrama de niveles y flujos para obtener las ecuaciones que representan el modelo y, finalmente, se realiza la simulación. En el presente trabajo se empleó el software Vensim Ple (Personal Learning Edition).
La dinámica de sistemas es una metodología para el análisis y resolución de problemas y el estudio del comportamiento de sistemas mediante la construcción de un modelo de simulación (Aracil y Gordillo, 1997). En este sistema se concibe cualquier aspecto como la interacción causal entre atributos que lo describen. De esta forma, se construyen representaciones sistémicas con flechas y puntos -denominadas diagramas causales- que capturan todas las hipótesis propuestas por el modelador (Redondo et al., 2018, Ibarra-Vega, 2016). A partir del diagrama causal se construye el 'diagrama de niveles y flujo', desde el cual se obtiene un conjunto de ecuaciones que permiten ver al tomador de decisión el comportamiento del sistema de interés a través de simulaciones en software especializado.
Las posibilidades que giran en torno del límite de recursos con los que crecen las poblaciones y las enfermedades que afectan a los individuos una vez estos alcanzan el nivel máximo de crecimiento en un espacio, no han sido tomados en consideración en el presente trabajo, puesto que requieren de modelos matemáticos y espacio-temporales que complejizan este primer avance con relación al problema de las palomas en la Plaza de Bolívar.
Por otro lado, la falta de información específica en la Plaza de Bolívar con respecto a censos poblacionales de las palomas ha impedido realizar un cálculo de la población máxima que puede llegar a albergar la Plaza antes de que se empiecen a presentar las problemáticas de enfermedades en las aves, a su vez, esto impide la observación del posible escenario en el que las poblaciones de C. livia disminuyen a causa de la sobrepoblación.
El modelamiento
Para la revisión de la alternativa propuesta, se construyó un modelo matemático, siguiendo la metodología de dinámica de sistemas partiendo de la representación causa-efecto del sistema en cuestión, hasta obtener una ecuación diferencial ordinaria, la cual se denominó el modelo del problema.
Diagrama causal. Según la gráfica 1, el incremento neto de la población aumenta la población de palomas, de modo que entre más individuos se encuentren en un área, habrá una mayor reproducción, de manera que la población aumentará de manera exponencial.

A través de la gráfica 2, se propone que una política de control de población afecta al incremento neto de manera negativa. Esto significa que, al reducirse, habría una menor cantidad de individuos, generando una menor reproducción e, indirectamente, un menor riesgo de transmisión de enfermedades zoonóticas en la población humana.

Diagrama de niveles y flujos.Tomando como variables de estado del sistema los atributos población de palomas (P) y la población controlada de palomas (Pc) en los diagramas causales de las gráficas 1 y 2, se construyó el diagrama de niveles y flujos (gráfica 3), a partir del cual se define el conjunto de ecuaciones que se presenta más abajo.

Ecuaciones de nivel

Ecuaciones de flujo. Dónde IN es el incremento neto de la población de palomas, es cual es proporcional a la tasa de incremento neto de la población de palomas a por la población

INces el incremento neto de la población controlada de palomas, el cual está condicionado por la tasa de incremento neto de la población de palomas a, la población Pc y la política de control de la población u(t) en función del tiempo.

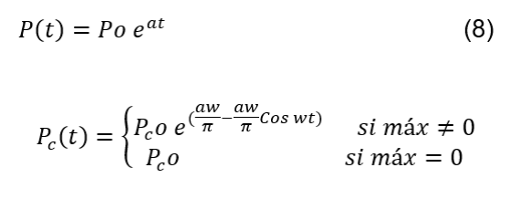
Ecuaciones auxiliares. La política de control u(t) sobre la población p fue definida como la función:

Donde w es el periodo de control en meses y f es la variable de tiempo. De este modo, si el máx=0, entonces la población permanecerá constante, mientras que en otro caso, la población experimentará graduales incrementos de la población, cercanos a los obtenidos cuando la población no es controlada.
Modelo matemático
El conjunto de ecuaciones diferenciales ordinarias de primer orden que componen las ecuaciones del sistema, y al que se le denomina el modelo matemático del problema, fueron las siguientes:

Cuyas condiciones iniciales son P(0)=Po y Pc (0)=Pc o.
Asimismo, la solución a este problema de valor inicial son las fórmulas siguientes:

Información del modelo
En los supuestos empleados para la elaboración del modelo, no se especificó la tasa de pichones anuales por pareja de palomas, ni la tasa de mortalidad real debido a la falta de censos poblacionales en la Plaza de Bolívar, en vez de esto se puso una hipótesis de la tasa total del incremento neto equivalente a una población inicial de 100 individuos, tampoco se especificaron las aves que han migrado de la zona, ya que no hay literatura que soporte dichos datos y, por último, la tasa de reproducción esperada se proyectaría en base de los censos realizados en trabajos futuros.
Resultados
La simulación del modelo se realizó en el programa Vensim PLE, con un tiempo inicial de 0yun tiempo final de 60 meses, usando un tamaño de paso en el integrador RK4Auto de 0.0625. Los resultados de las simulaciones de los escenarios se presentan a continuación:
En la tabla 1 se muestra el comportamiento de la población en individuos que se logra en la simulación realizada en la gráfica 4. Así mismo, a partir de los datos obtenidos, se puede observar cómo los resultados de la aplicación de una política de control de la población son más notorios y significantes en grandes periodos de tiempo (cada 12 meses), ya que la diferencia entre la población natural y la población controlada se vuelve mayor a medida que avanza el tiempo, sin generar una extinción de las palomas.


En la gráfica 5 se puede observar el comportamiento de la población total y de la población controlada, cuando la política de control de población es activada cada tres meses. La diferencia y efectividad del control se muestra en la tabla 2, con los individuos de diferencia entre ambas poblaciones a través del tiempo, demostrando que los resultados del control se hacen mayores a medida que la política de control se va realizando.


Discusión
El comportamiento de la población de palomas frente a la población controlada de las mismas es una función senoidal de tiempo, teniendo en cuenta que las simulaciones están dadas para que la política de control de población se active cada tres meses.
La función de la política de control de población es de tipo senoidal para simular los periodos en los que la política de control está activa (cuando la curva es nula) y cuando se deja de implementar (cuando la cresta de la onda alcanza su punto máximo).
La diferencia entre aplicar una política de control en la población y su crecimiento exponencial sin intervención, se hace más evidente cuando se ha realizado en un lapso amplio, tal y como se puede observar en la gráfica 4.
La población de palomas a la que no se le aplica ningún control crece de manera exponencial a través del tiempo.
La población de palomas decrece en los intervalos de tiempo en los que se aplica la política de control, sin embargo, vuelve a crecer en los intervalos en los que no se implementa.
La población controlada mantiene los niveles de crecimiento y decrecimiento a través del tiempo. Es la primera vez que realiza modelamiento matemático del control de natalidad de la población de palomas, aún no existe bibliografía para comparar los resultados.
Existen algunos avances con relación al control de población por eliminación de individuos (Senar et al., 2009) y erradicación por ultrasonido (Dobeic et al., 2011). Este trabajo se considera un gran aporte en la simulación y evaluación de escenarios para el control de población de palomas.
Conclusiones
En este trabajo se presentó el modelado del incremento de la población de palomas y una estrategia de intervención para el control poblacional sin poner en riesgo la especie en la zona. Se considera un gran aporte en la simulación y evaluación de escenarios para el control de población de palomas, mediante la evaluación con dinámica de sistemas y puede reproducirse para otras especies problema.
El modelo realizado en este trabajo satisface los requerimientos propuestos para el control periódico de la población de palomas, ya que se pudo observar que la población controlada mantiene un constante crecimiento y decrecimiento a través del tiempo, sin provocar una extinción de la especie o una sobrepoblación.
El empleo de una función senoidal en el modelamiento con dinámica de sistemas permitió mejorar la observación del comportamiento de crecimiento de las poblaciones de palomas cuando se activa la política de control y cuando esta es nula.
Aunque el trabajo presentado fue realizado pensando en la problemática socioambiental de la Plaza de Bolívar, el propósito final es que pueda ser reproducido en cualquier plaza o lugar del mundo en el que se presente una problemática parecida, además, actualmente no es posible utilizar datos específicos de la Plaza de Bolívar ya que se carece de dicha información, por lo cual se recomienda de realizar censos de las palomas en trabajos futuros.
Referencias
Aracil, J. y Gordillo, F. (1997). Dinámica de sistemas. Madrid: Alianza.
Begambre, M. y Pardo, E. (2015). Abundancia y distribución de las palomas caseras (Columba livia) Bistua. Revista Facultad Ciencias Básicas, 13(2), 57-62.
Bernal, L.; Rivas, M.; Rodríguez, C.; Vásquez, C. y Vélez, M.P. (2011). Nivel de impacto sobre la población de palomas (Columba livia doméstica) en los habitantes del perímetro del Parque Municipal del Municipio de Envigado en el año 2011. Recuperado de: http://marthanellymesag.weebly.com/ploads/6/5/6/5/6565796/palomas.pdf
Caicedo, L.; Álvarez, M.; Llanos, C.E. y Molina, D. (1996). Cryptococcus neoformans en excretas de palomas en el perímetro urbano de Cali. Colombia Médica, 27,106-109.
De Lima, V.; Langoni, H.; da Silva, A.; Bergamaschi, S.; de Castro, A.; Costa da Silva, R. & Araújo J. J. (2011) Chlamydophila psittaci and Toxoplasma gondii infection in pigeons (Columba livia) from São Paulo State, Brazil. Veterinary Parasitology, 175, 9-14.
Dobeic, M.; Pintarle. S.; Vlahovic, K. & Dove, A. (2011). Feral pigeon (Columba livia) population management in Ljubljana Martin. Veterinarski Arhives, 81 (2), 285-298
Forrester, J. (1999) Industrial Dynamics. Arcadia: Pegasus communications.
Giunchi, D.; Gaggini, V. & Baldaccini, N. (2007). Distance sampling as an effective method for monitoring feral pigeon (Columba livia f domestica) urban populations. Urban Ecosyst 10, 397-412.
González-Acuña, D.; Silva, F.; Moreno, L.; Cerda, F.; Donoso, S.; Cabello, J. y López, J. (2007). Detección de algunos agentes zoonóticos en la paloma doméstica (Columba livia) en la ciudad de Chillán, Chile. Rev. Chil Infect, 24, 194-198.
Henry, K. & Crossley, K. (1986). Wild-pigeon-related psittacosis in a family. Chest, 90, 708-710.
Ibarra-Vega, D. (2016). Modeling Waste Management in a Bioethanol Supply Chain: A System Dynamics Approach. DYNA, 83(195), 99-106.
Martínez, J. (2009). Comportamiento de la paloma de competición (Columba livia) durante el periodo de muda y cría. Anales Univ Etología, 3, 23-28.
Méndez, V.; Villamil, L.; Buitrago, D. y Soler-Tovar, D. (2013). La paloma (Columba livia) en la trasnmisión de enfermedades de importancia en salud pública. Rev Cienc Anim, 6, 177-194.
Naupay, A.; Castro, J.; Caro, J.; Sevilla, L.; Hermosilla, J.; Larraín, K. Quispe, C. y Panana, O. (2015) Ectoparásitos en palomas Columba livia comercializadas en un mercado del distrito de San Martín de Porres, Lima, Perú. Revista de Investigaciones Veterinarias del Perú, 2(26).
Pazmiño. A. (2007). Estudio de la fauna parasitaria intestinal en palomas (Columba livia gmelin, variedad 1789) de la ciudad de Valdivia. (Tesis Medicina Veterinaria). Universidad Austral de Chile. Chile.
Phillips, R.; Cooke, B.; Carrión, V. y Snell, H. (2012). Eradication of rock pigeons, Columba livia, from the Galápagos Islands. Biological Conservation, 147, 264-269.
Redondo, J.; Olivar, G.; Ibarra, D. & Dyner I. (2018). Modeling for the regional integration of electricity markets. Energy For Sustainable Development, 43, 100-113.
Senar, J. C.; Carrillo, J.; Arroyo, L.; Montalvo, T. y Peracho V. (2009) Estima de la abundancia de palomas (Columba liviavar.) de la ciudad de Barcelona y valoración de la efectividad del control por eliminación de individuos. Arxius de Miscellània Zoológica, 7, 62-71.
Ventana Systems, Inc. (2017). Vensim PLE Software, Ventana Systems Inc
Notas
Notas de autor
*Autor para correspondencia E-mail: ingbiodanny@gmail.com