Abstract: Global warming has changed the climate in many parts of the world and affected ecosystems due to anthropogenic greenhouse gas (GHG) emissions that contribute to the rise in the surface temperature of the planet. Rising temperatures have important effects on agriculture, which accounts for one-third of Brazil's economy. This study assesses the impact of climate change over agriculture on cassava yield in Guapimirim city, State of Rio de Janeiro, Southeast Brazil. Bias corrected climate simulation performed from the nested model Eta-HadGEM2-ES was used to reproduce the climate data observed in the region and for climate projections under Representative Concentration Pathways (RCPs) 4.5 and 8.5 scenarios. Simulated rainfall and evapotranspiration for the period between 1961 and 1990 was compared to the observation period and, showed a correlation with R² = 0.99 and the Average Absolute Percentage Error was less than 5.0%. The effect of climate projections on water stress during crop development was estimated using the Thornthwaite-Mather (TM) soil water balance adapted for crops. Rainfall and actual evapotranspiration projections for the three thirty-year periods 2011-2040, 2041-2070, 2071-2100 served as the basis for the assessment of the Water Requirement Satisfaction Index (WRSI) and Yield Reduction (YR) for cassava crop. Projections show significant cassava yield losses around 8.6 and 9.7 ton ha-1, respectively, under RCPs 4.5 and 8.5. This approach allows exploratory analysis applied to support crop management decision-making and irrigation strategies for sustainable agriculture and to increase crop yield in the face of impacts of climate change.
Keywords: Climate modeling, water balance, water stress indices.
Resumo: O aquecimento global tem alterado o clima em muitas partes do mundo e afetado os ecossistemas. As emissões antrópicas de Gases de Efeito Estufa (GEE) contribuem para o aumento gradual da temperatura da superfície global. O incremento da temperatura tem efeitos importantes na agricultura, que é responsável por um terço da economia no Brasil. Este estudo avalia os impactos das mudanças climáticas para a agricultura, sobretudo, na produção de mandioca no município de Guapimirim, estado do Rio de Janeiro, Brasil. Foi utilizada a simulação climática com correção de viés realizada a partir do modelo acoplado Eta-HadGEM2-ES a fim de reproduzir os dados climáticos observados na região e projeções climáticas sob os cenários de RCPs (Representative Concentration Paths) 4.5 e 8.5. A precipitação e a evapotranspiração simuladas para o período 1961-1990 apresentaram correlação em comparação com o período de observação com R² = 0,99 e o percentual de erro médio absoluto foi inferior a 5,0%. O efeito das projeções climáticas no estresse hídrico durante o desenvolvimento da cultura foi estimado usando o balanço hídrico do solo de Thornthwaite-Mather (TM) adaptado para culturas agrícolas. As projeções de precipitação e evapotranspiração real para três períodos de trinta anos 2011-2040, 2041-2070, 2071-2100 serviram de base para a avaliação do Índice de Satisfação da Necessidade de Água (WRSI) e Redução de Rendimento (YR) para a cultura da mandioca. As projeções indicam perdas na produtividade da mandioca em torno de 8,6 e 9,7 ton.ha-1, respectivamente nos RCPs 4.5 e 8.5. Esta abordagem permite a análise exploratória aplicada no apoio à tomada de decisão quanto ao manejo da cultura e às estratégias de irrigação para uma agricultura sustentável e para aumentar a produtividade da cultura face os impactos das mudanças climáticas.
Palavras-chave: Modelagem climática, balanço hídrico, índices de perdas de produção.
Article
Impact of Climate Change on Cassava Yield in Guapimirim, State of Rio de Janeiro, Southeast Brazil
Impacto das Mudanças Climáticas na Produtividade da Mandioca em Guapimirim, Estado do Rio de Janeiro, Sudeste do Brasil
Received: 15 January 2021
Accepted: 11 January 2022
The impacts of climate change become an increasing threat to poverty reduction and other objectives of the 2030 Agenda for Sustainable Development (SDG 2015). Adverse effects are expected in the economy, due to its high dependence on climate-sensitive natural resources and, above all, in agriculture (Kabesiime et al. 2015). Developing countries are more vulnerable to climate change impacts (Spearman & McGray 2011) on crop production (Jemal 2010). The greatest impacts come from an extreme scenario, without additional efforts to reduce GHG emissions driven by growth in global population and economic activities. According to the Fifth Assessment Report (AR5) of the Intergovernmental Panel on Climate Change, the average global surface temperature is expected to increase from 3.7°C to 4.8°C, compared to the period 1850-1900 (IPCC 2013).
Due to its high relevance in the food security area, since it has a global presence as a food source, Cassava has been researched worldwide, assessing its response to extreme events and the interannual variability of rainfall. Jarvis et al. (2012) evaluated the impacts of climate change on cassava, among other crops, in Africa. They considered heat tolerance priority for the improvement of cassava crops in localized pockets of West Africa and the Sahel.
In Brazil, climate projections experiments results simulating an increase in temperature and a decrease in rainfall showed a decrease in cassava yield about 5% (Gabriel et al. 2014). In the Brazilian Northeast region, studies point to an intensification of the migratory effects enhanced by climate change. Between them, a drastic reduction in the cassava cropping may even disappear from the Northeastern Semi-arid (Assad et al. 2013).
A widely used method to assess the impact on crop yield under climate change is to calculate indices based on soil moisture. The Water Requirement Satisfaction Index (WRSI) addresses the crop water requirement (Senay 2004). The Yield Response (YR) index estimates the degree of commitment to yield (Steduto et al. 2012). These approaches consider a simple soil water balance model, usually at intervals of ten days. Water deficits added up over the season are used at the end to set the indexes. This approach allows assessing the variability of agricultural production for different climatic scenarios, through exploratory risk analysis and, thus, to support decision-making.
Cassava is the main crop of Guapimirim city, located in the Metropolitan Region of Rio de Janeiro city, specifically in the region of Macacu Watershed. The cassava sowing date usually happens in September and October (Martins et al. 2014). Although cassava is a crop with good drought tolerance, an adequate water supply is essential during the rooting and tuberization phases. Therefore, an adequate water supply is adopted in that critical period, as an irrigation strategy. Harvest occurs seven months after planting.
According to EMATER-RIO (2018), despite its small geographical dimensions and predominance of small-scale production, the State of Rio de Janeiro demonstrates better results in food production. For instance, among the important aspects that characterized the cultivation of cassava in the study area was the increase in production and the harvested area of 91% in 2017 and an increase of 149% in the number of producers, from 230 producers to 573. It has shown an increasing development in recent years when cassava roots production reached, in 2019, about 3.5 thousand tons, with revenues of U$ 4.9 million.
A small area of 7.55 km2 has been used for agriculture, yielding the expressive amount of US$ 3.9 million. Cassava accounts for about a quarter of the revenue generated by agriculture in the city (GUAPIAGRO 2017). Logistically important for the development of the city, agricultural production takes place along the main rivers and with easy access to strategic highways for the production flow.
Thus, studies that assess the impacts of changes in the climate become important because they may contribute to adoption of future production evaluation of planning adaptation strategies for the crop. In addition, understanding variations and trends in rainfall patterns is important to decide whether to continue investing resources in the current crop or redirect to other crops adapted to new conditions (Kimaro & Sibande 2008). Tanure (2020) simulated the projections for domestic production of family cassava in two future scenarios. The RCP 8.5 scenario shows, on average, a deterioration along the years, compared to the RCP 4.5 scenario. This work aims to evaluate potential impacts of climate change on the cassava yield until the end of the 21st century in climate scenarios RCP 4.5 and 8.5, for Guapimirim city in Rio de Janeiro. Variation in soil water availability during the cassava crop growth was simulated. Soil water balance and its components is assessed using the Thornthwaite-Mather model, aiming at irrigation strategies in periods of water deficit. Possible future crop yield under climate change scenarios is evaluated using Water Stress indexes.
The Guapimirim city is located in the Guapi-Macacu watershed (Figure 1), which also includes the cities of Itaboraí and Cachoeira de Macacu. The surface area of the watershed is approximately 1,265 km² between the UTM coordinates (zone 23S) Y 7,488,000 and 7,526,500 m; and X 699,000 and 752,500 m (W. Carvalho et al. 2009).

The Köppen-Geiger’s climatic classification is AW (tropical) with a dry winter season (Pellens et al. 2001). The average annual rainfall is 2,050 mm. The highest average annual rainfall in the state of Rio de Janeiro is on the border between the Metropolitan Region and the Coastal Lowlands with the Mountainous Region, where rainfall varies between 2,500 and 2,800 mm (Silva et al. 2014). The period that includes the coldest months (May to October) is also the one with the lowest rainfall. The average annual air temperature is 21.9°C, with the hottest month being January (25.3ºC) and the coldest month July (17.9ºC) (Finotti et al. 2012). The farms, on which the study is based, is located at coordinates latitude 22.62oS and longitude 43.00oW and elevation of 11 meters in relation to mean sea level.
The soils in the region are of high leaching and moderate fertility, due to the intense drainage, generally presenting low pH and nutrient contents (Bohrer et al. 2007). For this study the new Brazilian Soil Classification System was considered to identify main types of soils (Dantas et al. 2000; RADAMBRASIL 1983; Santos et al. 2018). The soil texture is loam-sandy-clayey (8% silt, 19% clay, 19% fine sand, and 54% coarse sand), according to the soil survey report, carried out in 2016 by the Campineiro Institute for Soil and Fertilizer Analysis (ICASA 2016).
According to the Brazilian Institute of Geography and Statistics (IBGE 2018), Guapimirim city has an average of cassava productivity of 12.9 t ha⁻¹, a harvested area of 350 ha producing 4,500 tons of cassava (EMBRAPA 2018).
The methodological approach is based on a model chain as described in Figures 2 and 3. Regional climate change projections, downscaled from global climate models, were accessed to obtain local rainfall and reference evapotranspiration series. These meteorological series were bias corrected (Bárdossy & Pegram 2011; Ines & Hansen 2006) by comparing them with measurement-based estimations and used to solve the soil water balance and estimate actual evapotranspiration. Based on the average yield provided by IBGE and observing the calculated values for the annual 30-year YR, it is possible to estimate that the projected yield loss for future scenarios (Figure 2).
The YR indicate tolerance to daily irrigation under controlled water deficit (Azevedo et al. 2016) and help drive effective management of water in rainfed and irrigated agriculture as a major knowledge-based pathway to increase productivity with sustainable management of natural resources (Steduto et al. 2012).

The first step for modeling future scenarios was to obtain qualified data on observed rainfall (P) and reference evapotranspiration (ETo) to be used in the validation of the simulations over the historical period and in the correction of systematic errors. as mentioned ahead (Bárdossy & Pegram 2011; Teutschbein & Seibert 2012).
The observed rainfall data (P) for the period 1961-1990 was obtained from the National Institute for Space Research (INPE) databases. INPE produces interpolated data in a 25 x 25 km grid-point for the whole of Brazil, using data from the climatic series of several conventional meteorological stations in the network of stations of the National Institute of Meteorology (INMET), state weather agencies, and INPE itself, with daily measurements information (Camparotto et al. 2013). Monthly and 10-day reference evapotranspiration estimation was obtained from Lyra et al. (2016) using climatic data from INMET meteorological stations. The methodology adjusts these data using the multiple regression model given by the dependent variable (ETo) ratio, as a function of the independent variables (geographical coordinates and altitude) and the coefficients of the regression model previously fitted for the state of the Rio de Janeiro.
ETo was estimated using the Penman-Monteith method parameterized in the FAO 56 bulletin (Allen et al. 1998).
Present climate modeling methods can explore scales using regional climate models (Mearns et al. 2012) as well as global climate models (Taylor, Stouffer & Meehl 2012). To provide climate change information on finer spatial resolution of the climate data is an increasing demand placed on models. To assess areas around the city, even moderately resolved climate fields can be insufficient to replicate the spatial variability observed in these regions (Sobie & Murdock 2017).
At a city level, this study uses statistical downscaling to produce site-specific climate projections computationally limited to a 20 km spatial resolution (Trzaska & Schnarr 2014). It is expected to provide a reference to researchers involved in adaptation plans to mitigate the effects of climate changes. Both simulated P and ETo data for the current control period (1961-1990) and future climate projections under the scenarios RCP 4.5 and 8.5, were obtained from (Chou et al. 2014) who used the 20 km resolution Eta regional atmospheric model to regionalize climate projections of the Hadley Center Global Environmental Model (HADGEM-ES) as lateral boundary conditions. Eta model has been used for weather and seasonal forecast at INPE since 1996 and it was upgraded to account for large-time integrations assessing regional climate change impacts (Chou et al. 2014; Mesinger 1984).
Four RCPs define the total radiative forcing (cumulative measure of human emissions of GHGs from all sources expressed in Watts per square meter) pathway and level by 2100. The RCPs are based on an internally consistent set of socioeconomic assumptions. Each RCP could result from different combinations of economic, technological, demographic, policy, and institutional futures. Individual papers of each RCP by Riahi et al. (2011); Thomson et al. (2011) and Van Vuuren et al. (2011) detail (RCP8.5, RCP6.0, RCP4.5 and RCP2.6). The papers discuss the modeling systems for RCP creation, the main socio-economic assumptions, the underlying trends in energy use and details on emissions and land use.
In this study, the RCPs 4.5 and 8.5 were chosen to represent a broad range of climate outcomes, based on a literature review, and are neither forecasts nor policy recommendations. However, warming is projected in the entire continent, with a larger amplitude in the Eta forced by HadGEM2-ES RCP 8.5 scenario. The warming starts in central and southeastern Brazil and progresses strongly toward the northern part of the continent. The major change in rainfall is the reduction in Southeast Brazil.
Two different bias correction processes for simulated P and ETo data were used in the regional climate modeling results. It is assumed that the correction factors and addenda applied to remain unchanged even for future conditions (Teutschbein & Seibert 2012).
The P correction was based on the percentile-percentile comparison of rainfall distributions generated by the Eta / HadGEM2-ES coupled model and the distribution of the quantities observed at each of the grid points (Bárdossy & Pegram 2011).
At ETo, bias correction was performed by the method that relates simulated monthly climatological average values to those observed for the correction of distribution function (Teutschbein & Seibert 2012).
After correcting the simulated data, it was possible to evaluate the correlations between future projections for the 30-years periods 2011-2040, 2041-2070, and 2071-2099 obtained with the Eta / HadGEM2-ES coupled model in RCP 4.5 and 8.5.
Finally, the WRSI and YR indices were calculated using a methodology consisting of three phases (Figure 3) and subsequently analyzed.

The first phase evaluates ETo to determine the best sowing time for the crop based on the cumulative water balance established throughout the growing period for the crops (Frère & Popov 1979), divided by successive 10-day periods. This allows observing and understanding the distribution of rain throughout the whole period. It is assumed that the end of the dry season will occur in the period prior to rainfall increase, which is the most suitable period for sowing.
The second phase was the calculation of both Sequential Water Balance (SWB) followed by the WRSI and YR indexes. It was necessary to previously determine the daily crop evapotranspiration (ETc) (Equation 1) and daily actual evapotranspiration (ETa) (Equation 2) (Allen et al. 1998; Lyra, Souza & Santos 2010).
Where: ALT is the variation of moisture or water storage in the soil (ARM) (mm d-1), P is the rainfall (mm d-1), I is the irrigation (mm d-1), Kc is the crop coefficient, ETa is the actual evapotranspiration (mm d-1) and EXC is the water surplus (mm d-1).
The variation in humidity is an important factor in the storage of water in the soil by the vertical movement of entry (rainfall or irrigation) and lost (actual evapotranspiration and the water that exceeds the maximum retention capacity of the soil layer considered). Thus, the following equation might be written as follows.
Where: i is the current 10-day period.
By analyzing Equations (2) and (3) analytically, it can be rewritten as follows (Lyra, Souza & Santos 2010):
In this work, irrigation (I) was considered null, with only rainfall (P) being the water input variable entering the system. The maximum amount of water that the soil can retain, in addition to the gravitational force, represents the available water capacity (AWC) and limits storage (SWS), which suggests that the moisture content that the soil would have without resistance caused by water extraction, defined as the accumulated negative (ACU. NEG).
Where: AWC and ACU.NEG (m³.m⁻³) and ETc is the crop evapotranspiration (mm.d⁻¹).
Equations 7 and 8 used for the calculation of SWS in SWB satisfies the following conditions:
The excess amount of water in the soil (EXC) and the actual evapotranspiration (ETa) were determined by the following equations:
It is recommended to establish AWC according to the effective depth of the root system (Zri).
Where: (cc is the water content at field capacity [m³ m-3], (pm is the water content at wilting point [m³ m-3] and Zr is the effective crop rooting depth [m].
In the modified Thornthwaite-Mather Soil-Water-Balance (SWB-TM) model, soil moisture values were used for (cc = 0.2380 m3 m-3 and for (pm = 0.0540 m3 m-3, established in FAO-56, based on the soil texture. It is assumed that the average effective depth (Zr) of the cassava root system could reach 0.50 m (Allen et al. 1998). Then, it was considered a minimum Zrn = 0.1 and a maximum Zrx = 0.5.
Where: Zrn is the crop rooting minimum depth and Zrx is the crop rooting maximm depth
The crop coefficients indicated for cassava (FAO 56) were the initial (Kc_ini = 1.15); mid-season (Kc_mid = 1.10); late season (Kc_end = 0.50). The model itself regulates Kc_ini when ETa is estimated, since in the initial phase the largest portion of evapotranspiration is due to the evaporation of water from the soil. It explains the value considered. In order to determine the crop coefficient (Kc) it is necessary to know the crop phenological stages. FAO 56 bulletin (Allen et al. 1998) specifies the lengths of crop development stages (days) of cassava crop for the first year in tropical regions. There are 20 days in the initial phase, 40 days for the development, 90 days in the mid-season phase and 60 days in the late season stage, totaling 210 days.
In the last phase, the calculation of the indexes that guide the study were performed. The equation below establishes the WRSI:
The model proposes in this study to project cassava yield losses in the region for three future periods of 30 years in two RCP scenarios based on the WRSI estimate and adopts the risk zoning designed for favorable regions. Obermaier et al. (2016) analyzed the cycle of maize, rice, cotton, beans and cassava, considering a WRSI greater than 0.70 suitable for planting to establish a climate risk zoning. The influence of ‘Dry’ and ‘Humid’ climates, is defined by aridity index values less or more than 0.65, respectively (Pittelkow et al. 2014).
This model considers a WRSI ≥ 0.65 to be adequate, restricted to 0.55 <WRSI <0.65 and inadequate for WRSI ≤ 0.55.
First, because the Ministry of Agriculture, Livestock and Supply (MAPA) adopts for cassava cultivation in the State of Rio de Janeiro, a minimum WRSI of 0.55 and a maximum of 0.90 (MAPA 2018), therefore appropriate to the model.
Secondly, these values were used in studies with soybean (Maciel, Azevedo & Andrade 2009; Farias et al. 2001), corn (Silva & Assad 2001; Fenner et al. 2015), and beans (Fenner et al. 2017).
The use of the same range for different crops aims to help future evaluations of their behavior within the same microclimate.
Based on the validated 10-day periods data of (P) and (ETo), the daily SWB for cassava was calculated using the Thornthwaite method (Thornthwaite & Mather 1955) modified by (Lyra, Souza & Santos 2010) using the OpenModel® platform. Then, the WRSI values obtained through the cumulative balance during the crop growing season in successive ten-day periods (1-10; 11-20 and; 21-30) were estimated based on the definition of the growing season by the relationship (P x ETo) for the planting season. The YR index used is defined by the equation:
Where: ky is the yield response factor.
The ky values are specific to each crop and vary throughout the growing season according to the growth stages (Doorenbos & Kassam 1994; Johl 1979) described in the Irrigation and Drainage bulletin 33 FAO (Doorenbos et al. 1979).
ky > 1: crop response very sensitive to water deficit, with proportional reductions in yield when water use is reduced due to stress.
ky < 1: crop more tolerant to water deficit, partially recovering from stress, showing less than proportional yield reductions with reduced water use.
ky = 1: yield reduction is directly proportional to the reduced use of water.
Based on the literature about the water resource and deficit irrigation relationship, ky values have been derived for several crops. However, FAO does not specify the ky values for the cassava crop (Steduto et al. 2012). An initial reference value setting to model each stage of the cassava harvest (Visses, Sentelhas & Pereira 2018) allows to start the calibration process by fitting ky, estimating specific values for each phonological phase. The sugarcane ky was used as the reference, since it has a sensitivity to water deficit similar to that of cassava (Doorenbos & Kassam 1994; Visses 2016). In this case, most of the water deficit occurred during the crop initial phase when the crop is highly sensitive to water deficiency (ky = 0.8), which was the value used in this study.
In this research, the average monthly rainfall distribution showed that most rainfalls in Guapimirim city are concentrated between October and April (Figure 4).

The total annual rainfall simulated by the Eta-HadGEN2-ES model for the 1961-1990 present climate was 1924.7 mm. Simulated total rainfall from September to December (784.8 mm) was lower than those from January to April (868.6 mm). This is relevant because the difference of around 83.8 mm is important for water required by crops, particularly for sites where crops yields increased under rainfed agriculture (Bhattacharya 2019; Pittelkow et al. 2014). Correlation between observation and bias corrected simulation of rainfall for the control period was R² = 0.99.
For reference evapotranspiration (ETo), the simulated data in the present climate 1961-1990, after bias correction, were compared with the average historical evapotranspiration estimated from observations also in the period 1961-1990 and showed a correlation R² = 0.99 (Figure 5).

The simulation of future impacts in five regions in the south-central region of Southeast Brazil based on the assumptions of RCP 8.5 (the most pessimistic scenario) showed a greater reduction than for the RCP 4.5 scenario (Silva 2018).
To assess climate change impact, this study simulated rainfall and reference evapotranspiration data (Figure 6 and Figure 7) for the control period were compared with the projections under both RCPs 4.5 and 8.5, for the 30-years periods (2011-2040; 2041-2070, and 2071-2099), after removing systematic errors as described in Section 2.

For the period 2011-2040 under RCP 4.5, variations in rainfall were negative with differences between 4.4 mm (January) and 116.0 mm (December) compared to the present climate.
For the period 2041-2070, there were positive differences of 2.7 mm (February) and 53.2 mm (October); and variations with a minimum of 1.0 mm (January) and a maximum of 124.4 mm (December). Silva & Dereczynski (2014) indicated that the range of variation between increases and decreases in the mean annual rainfall is large throughout the State of Rio de Janeiro in the period 2041-2070, where the southern portion of the state has specifically the highest increases in intense rainfall, with values ranging from +50 and +300 mm. As highlighted by Regoto et al. (2015), the reduction in rainfall decreases in the period 2041-2070 for the scenario RCP 4.5 reaching between 20 and 30% in almost all state, and remaining the same pattern for RCP 8.5 scenario in the south of the State.
The period 2071-2099 showed negative average variations concerning the simulated period with a minimum amplitude of 0.3 mm (July) and a maximum amplitude of 115.5 mm (December). In this last period (2071-2100), Regoto et al. (2015) found values between -20 and -30% in the north and between -10 and - 20% for RCP 4.5 in the southeast region of Brazil.
Under the RCP 8.5 scenario, for the period 2011-2040, positive variations was shown on July, while in the other months the variations were negative with a minimum difference of 1.7 mm (May) and a maximum of 150.3 mm (December). For the period 2041-2070, May, June, and July showed differences when compared to the baseline of 7.7, 3.1 and 27.6 mm, respectively. For the other nine months, the variations occurred negatively, projecting a minimum difference of 14.5 mm (April) and a maximum difference of 145.2 mm (December). Positive variations were projected on June and July for the period 2071-2099, with values of 0.9 mm and 61.9 mm, respectively. The other nine months showed negative variations, with minimum and maximum differences of 16.4 (August) and 175.1 mm (December), respectively.
Brazilian territory, including part of southeast, present rainfall reduction between 300 and 800 mm and soil moisture reduction between 25% and 70% for the 2071-2099 time slice (Ribeiro Neto et al. 2016). Chou et al. (2015) who presented projections for the three future periods showing a sharp reduction in rainfall in the rainy season for the southeast region with a greater reduction at the end of the century (2071-2100), especially in the RCP 8.5.
For Silva & Dereczynski (2014) the rainy season in the metropolitan region of Rio de Janeiro occurs between November and April and the dry season between May and October. As suggested by Silva (2018) about the present time in the Southeast region, there is a decrease projected for the rainy season. Possible future impacts were determined in five regions in the south-central region of Southeast Brazil in the rainy period from October to March. A more pessimistic situation is presented in the RCP 8.5 scenario in relation to the RCP 4.5 scenario and expects a reduction in precipitation over the central-eastern region of Brazil, therefore, more frequent drought episodes (IPCC 2013).

The ETo projected values for tri-decennial, under both RCP scenarios during the rainy season, from November to April, were higher when compared to the simulated values for the present climate.
Differences between RCP 4.5 scenario and control simulation reach values of up to 2.03; 2.10 and 2.69 mm d-1, in January (2011-2040), December (2041-2070) and January (2071-2099), respectively. During the dry season, the smallest variations occurred in June, May and July, reaching 0.59 (2011-2040); 0.74 (2041-2070) and 0.79 mm.d-1 (2071-2099), respectively. Part of southeast Brazil present an evapotranspiration reduction to the east in Eta-HadGEM2-ES RCP 4.5 scenario, intensified in the Eta-HadGEM2-ES RCP 8.5 scenario (Ribeiro Neto et al. 2016).
Analyzing the scenario RCP 8.5, which considers the greatest increase in Radiative Forcing, ETo variations increase in relation to the control period. These results, in line with those presented by Guimarães et al. (2016) are negatively affected by the ETo rates more likely to increase during the 21st century, with the RCP8.5 higher than reference values for recent climate.
During wet season is an example, where the greatest variations reached the values of 3.01 mm d-1 (2011-2040) in January; and 3.06 mm d-1 (2041-2070) and 5.11 mm d-1 (2071-2099) both for December. In the dry season, the smallest variations occur in June (2011-2040) with 0.81 mm d-1; and July with 0.60 and 1.31 mm d-1 in the periods 2041-2070 and 2071-2099, respectively.
The spatial-temporal distribution and rainfall seasonality drive the occurrence of WRSI over a year as one of the variables that can determine the growing season of the crops. It also influences crop yield. It is assumed that the end of the dry season will occur in the 10-days period before the increase in rainfall. This is the most suitable time for sowing. In the region of Macacu Watershed, to where Guapimirim belongs, the planting of cassava usually takes place in September and October (Martins et al. 2014) to better meet the needs of the plant at the beginning of the rainy season when moisture and heat become essential elements for sprouting, rooting (F.M. Carvalho et al. 2009). It also helps plant establishment (Mattos, Farias & Ferreira Filho 2006) in the crop (Figures 8 and 9).


In the period 2011-2040, scenario RCP 4.5 illustrates this phenomenon, as it can be assumed from the figures presented, that it will occur in the ten-day period D25 (September) in line with Martins et al. (2014). The accumulated average rainfall during the 210-day crop cycle (September to March) for the simulated present climate was 1436.0 mm. As the cycle ends in March of the following year, the initial and development phases were discarded for 1961 as well as the year 1990 disregarding the last two phases of the cycle. To support a decision, the assessment considered 206 cycles composed of historical control period and each of the 30-years projections for both scenarios RCP 4.5 and 8.5, as summarized below (Table 1).

The values obtained indicate that the periods most suitable for planting in the control period (control) are the ten-day period D22 (August 01 to 10) and D23 (August 11 to 20). For future scenarios, the results project the periods D25 (September 01 to 10) under RCP4.5 and D24 (August 21 to 31) under RCP8.5. Considering the total of 176 periods, 56 points to D25, being, therefore, the best time for sowing, based on the determination of Ordinance 298/2012 of the Ministry of Agriculture, Livestock and Food Supply - MAPA, which defines the zoning of cassava for tropical regions (MAPA 2018).
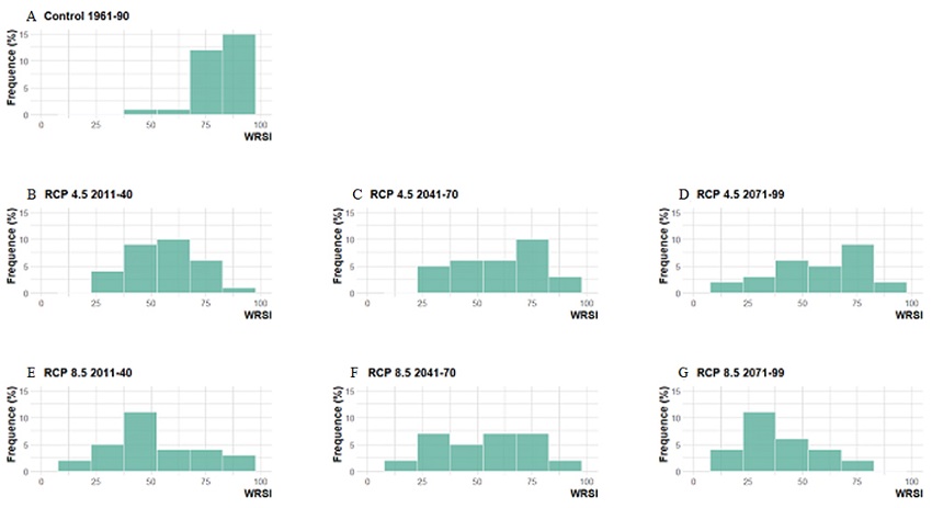
For the patterns of temporal and spatial rainfall during the 29 cycles between 1961 and 1990 in Guapimirim city, the cassava growth cycle covers two consecutive years, that is, September to December of one year and January to March of the subsequent year, totaling 210 days. The analyses on the 29-cycle simulated control period showed a climatic “Lower Risk” or WRSI greater than 0.55 in 28 of them (97%), using the criterion used by Amorim Neto et al. (2001), which presupposes sufficient rainfall during these seasons to satisfy the crop's water requirement for the crop cycle.
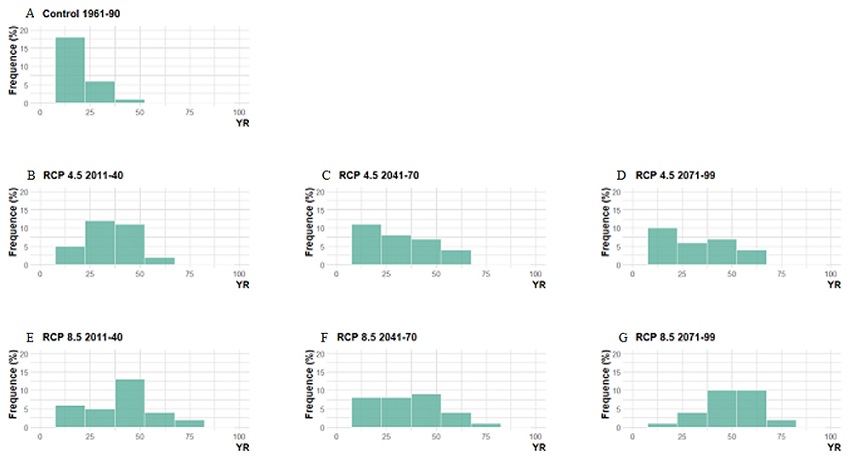
The 1978-1979 cycle was an exception. It was projected a “High Risk” for this cycle, representing a WRSI value below 55%, which supposedly revealed the occurrence of some level of water stress in the crop. Therefore, it might cause maximum loss of 46% and reduce yield by 5.99 ton ha-1. The frequency distribution in the following histograms contains the projections of the WRSI (Figure 10) and YR (Figure 11) indexes.


Projections for the 30-years period 2011-2040, under RCP 4.5, indicated possible losses in yield at marked levels when compared to the results of the control period. For instance, similar results were shown for the State of Minas Gerais, where a reduction in cotton production by 3.56% in 2040 was projected (Assad et al. 2013; Keller Filho, Assad & Lima 2005).
“Lowest Risk” was projected in 11 out of 30 cycles (37%), with a maximum YR of 32% that would compromise yield at 4.08 ton.ha-¹. Medium Risk occurs in five cycles (17%) with a maximum YR of 34% and respective loss in yield of around 4.41 ton ha-¹. “High Risk” occurs in 14 cycles (46%) with a maximum yield loss (YR) of 59% and a respective projected loss of yield of 7.65 ton ha-¹.
The projections under RCP 8.5 indicated that there might be losses in yield at more strong levels. The simulations for this scenario showed percentages for “Lower Risk”, “Medium Risk” and “Higher Risk” of 23%, 10%, and 67% respectively, with YR indexes of 17%, 30%, and 75% and yield losses of about 2.18 ton.ha-1, 3.88 ton.ha-1 and 9.67 ton.ha-1. The frequency for 30-years period 2041-2070 showed in Histogram (Figure 9) is smoothly distributed.
Under RCP 4.5 scenario, projections indicate potential “Lower Risk” for 16 cycles (53%) and Medium Risk for only one cycle (3%). The projected “High Risk” occurs in 13 cycles (43%) with a maximum value of YR equal to 61%, compromising 7.90 ton.ha-1 of yield.
For RCP 8.5, “Lower Risk” is showed for 12 cycles (40%), “Medium Risk” for three cycles (10%) and “High Risk” for 15 cycles (50%). The maximum YR is 69% with a respective yield loss of 8.84 ton.ha-¹. The last period analyzed (2071-2099) also showed signals of different frequencies. Under RCP 4.5 scenario, the risk percentages occurred as follows: “Lowest Risk”, in 12 years (44%); “Medium Risk”, in four years (15%) and; “High Risk” in 11 years (41%). The highest yield index (YR) reaches the percentage of 66% projected yield loss of 8.57 ton.ha-1.
Under RCP 8.5, there were larger YR variations than under RCP 4.5. The occurrence of “Lower Risk” diminished to four years (15%) and the potential for “High Risk” becoming more intense, reaching 23 out of the 27 cycles (85%). The results of this scenario point to critical conditions, with a maximum, projected YR of 73%, which would compromise yield by 9.41 ton.ha-1. The estimated agricultural yield variations of production for Brazil in the RCP 4.5 scenario, in relation to the baseline, point to -0.34% in 2025 and -12.13% in 2080, while the RCP 8.5 scenario can reach -0.45% in 2025 and of -16.82% in 2080 (Tanure 2020).
Based on the IBGE yield data for the Guapimirim city, it is possible to project the respective losses in yield of 375 ton.ha⁻¹ and 471 ton.ha⁻¹ for the scenarios RCP 4.5 and 8.5 in that city (Table 2), until the end of this 21st century.

As the city also suffers seasonal droughts in the middle of the year, showing a clear distinction between the dry and wet seasons, there may be a loss of productivity in this period, which results in the low percentages of “Medium Risk”.
Projected rainfall, generated by the Eta-HadGEM2-ES, presents important variations with significant trends for all development stages of the cassava crop specifically near the end of the century, and under RCP 8.5 when compared with the simulated control period.
Projected yield losses occurs during cassava cropping because the longer periods of water stress, in which the crop has a substantial yield reduction. In most of cases, this happened in the initial phase.
The results obtained with the Thornthwaite-Mather model indicate the possibility of stronger deficit occurring in the middle of the year, which would affect yield in that period and results in the projected risk percentages. These results highlight the potential need for irrigation planning in the region, although cassava planting does not occur strongly at this time of the year.
In this study, yield losses are expected for both RCPs 4.5 and 8.5, according to the climate projections analyzed here. The impacts on cassava yield loss rates under climate changes predicted for 8.5 are even more critical with larger frequencies of “High Risk” events.
As a way of early warning to estimate harvest yield at the end of the seasons and avoid future losses, the WRSI can explain the spatial-temporal variability of yield in cassava crop and assist in strategies for more sustainable production.
E-mails:camsmaciel@gmail.com; gblyra@gmail.com; daniel.andres@coc.ufrj.br












