Resumen: En la ciudad de San Miguel de Tucumán existen 27 edificios públicos que funcionan como Centros de Atención Primaria de Salud. En estudios previos, se demuestra que el desempeño térmico de la envolvente de los mismos resulta deficiente y, en consecuencia, el uso de sistemas activos de climatización es muy intensivo. El presente trabajo analiza el consumo energético de dichos Centros y pretende hallar una correlación entre este, la temperatura del aire exterior y las principales características formales y constructivas. Para ello, se toma una muestra de 14 casos representativos basados en un previo censo de las características de los centros y un recorte temporal de los últimos dos años, 2022 y 2023 completos. A partir de este análisis se demuestra que el ítem más representativo de consumo energético en los Centros de Atención Primaria de Salud es el acondicionamiento térmico. Se pretende, en trabajos futuros, generar medidas tendientes a disminuir el consumo energético desde las mejoras tecnológicas de la envolvente.
Palabras clave: centro de salud, centros de atención primaria, climatización, consumo de energía, energía eléctrica.
Abstract: In the city of San Miguel de Tucumán, Argentina, there are 27 public buildings operating as primary health care centers (CAPS, by its initials in Spanish). Previous studies have shown that the thermal performance of their envelope is poor and leads to a very intensive use of active air conditioning systems. This work analyzes the energy consumption of these CAPS and aims to find a correlation between this, the outside air temperature and the main formal construction characteristics. For that purpose, the sample consisted of 14 representative cases, considering a previous census of the characteristics of those centers and a two-year period along 2022 and 2023. This analysis shows that the most representative item of energy consumption in CAPS is air temperature conditioning. Further research will be intended to propose measures aimed at reducing energy consumption by improving the technological features of building envelopes.
Keywords: health center, primary care centers, air conditioning, energy consumption, electricity.
Resumo: Na cidade de San Miguel de Tucumán, Argentina, existem 27 prédios públicos funcionando como centros de atenção primária à saúde (CAPS, por suas iniciais em Espanhol). Em estudos anteriores, foi demonstrado que o desempenho térmico da envoltória é deficiente e, consequentemente, o uso de sistemas de ar condicionado ativo é muito intenso. Este trabalho analisa o consumo energético desses CAPS e tem como objetivo encontrar uma correlação entre esta, a temperatura do ar externo e as principais características formais e construtivas. Para isso, é tomada uma amostra de 14 casos representativos, com base em um censo prévio das características dos centros, e um recorte temporal dos últimos dois anos, 2022 e 2023. A partir dessa análise, mostra-se que o item mais representativo do consumo de energia no CAPS é o condicionamento térmico. Pretende-se, no futuro, gerar medidas destinadas a reduzir o consumo de energia a partir das melhorias tecnológicas da envolvente construtiva.
Palavras-chave: centro de saúde, centros de atenção primaria, climatização, consumo de energia, energia eléctrica.
Artículos
Análisis de patrones de consumo energético en centros de salud de baja complejidad en Tucumán, Argentina
Analysis of energy consumption patterns in low-complexity health centers in Tucumán, Argentina
Análise dos padrões de consumo de energia em centros de saúde de baixa complexidade em Tucumán, Argentina

Recepción: 30 Junio 2024
Aprobación: 01 Noviembre 2024
Las edificaciones representan en el mundo el 40 % del consumo energético, lo cual genera entre un 25 y un 30 % de las emisiones de dióxido de carbono anuales y entre el 10 y 12 % de la contribución humana al cambio climático por el calor retenido en la atmósfera (Muñoz Rojas et al., 2023; Costantini Romero y Francisca, 2022). En Argentina, el 37 % del consumo energético es responsabilidad del sector edilicio, siendo la climatización el ítem más representativo (Kuchen y Kozak, 2020). Además, los países con climas templados y cálidos evidencian una mayor ineficiencia energética ya que, por lo general, la calidad de la construcción es deficiente y aún no ha sido integrada la eficiencia energética al proceso de construcción de edificios (Viegas et al., 2020). Dos variables que inciden fundamentalmente en el consumo de energía por usuario, son el clima y el nivel de desarrollo económico de la región (Calixto Aguirre y Huelsz Lesbros, 2018).
En el año 2022, más del 34 % del consumo final de la energía corresponde al parque edilicio construido de los sectores comercial–público y residencial. Los edificios hospitalarios, pertenecientes al sector comercial–público, suelen figurar entre los menos eficientes desde el punto de vista energético debido a sus singularidades de uso y normas de habitabilidad (Discoli et al.,2021). Estos últimos cuentan con elevadas demandas energéticas para la climatización, las cuales se vinculan directamente con la materialización y eficiencia energética de su envolvente (Urteneche et al.,2023).
La red edilicia de salud pública de la República Argentina está conformada por una amplia diversidad de establecimientos, jerarquizados según su nivel de complejidad —alta, media y baja— y su área de incumbencia —regional, zonal, subzonal y local— (Ministerio de Salud Argentina, 2024). En la ciudad de San Miguel de Tucumán existen 27 Centros de Atención Primaria de Salud (CAPS), los que fueron construidos y remodelados en diferentes períodos. A cada período de construcción le corresponde una técnica diferente. Los procesos de remodelación y rehabilitación que sufrieron a lo largo de los años fueron con fines funcionales debido a los nuevos requerimientos en los centros de salud (medidas mínimas, acceso para personas con discapacidad, materiales más higiénicos, etc.) y de confort térmico por medios activos (instalación de equipos de aire acondicionado frío–calor). No fueron contemplados la eficiencia energética ni el confort desde el punto de vista de las estrategias pasivas de diseño, situándose las características tecnológicas de la envolvente entre ellas.
A este respecto, en diversos trabajos publicados se muestra el estudio de comportamiento térmico energético de distintos CAPS en San Miguel de Tucumán. En un estudio se realiza una primera aproximación al diagnóstico térmico–energético de 3 casos representativos de CAPS mediante un monitoreo higrotérmico en invierno y se evidencia una deficiencia en su comportamiento térmico (Fernández et al.,2023). A partir del análisis del comportamiento de los cerramientos exteriores que constituyen la envolvente de los todos los CAPS existentes en la ciudad de San Miguel de Tucumán, se concluye que son ineficientes desde el punto de vista térmico–energético (Fernández y Garzón, 2021). En ninguno de estos casos se cumple con los estándares mínimos de confort recomendados por el Instituto Argentino de Normalización y Certificación (IRAM 2002). Una de las principales variables es la escasa aislación térmica proporcionada por la envolvente.
Contar con datos del consumo de energía en los edificios es clave para comprender los hábitos de consumo y las fuentes potenciales de ahorro; contar con información sobre el valor promedio del consumo energético anual por unidad de área en los edificios permite comparar el desempeño energético de un edificio determinado (Calixto Aguirre y Huelsz Lesbros, 2018). El objetivo del presente trabajo es conocer el consumo energético de los CAPS presentes en San Miguel de Tucumán y cómo este se vincula a las condiciones climáticas exteriores y a las características formales y/o constructivas.
En esta investigación se plantea una metodología inductiva mediante un estudio de casos. Consiste en un método de razonamiento que asegura la posibilidad de pasar de los hechos singulares a las proposiciones generales, es decir, de lo particular a lo general (Delgado García, 2010). Se toma una muestra de casos no probabilística por conveniencia (Casal y Mateu, 2003).
El procedimiento metodológico consta de cuatro etapas fundamentales:
En una primera instancia, a partir de un censo de los casos existentes en la ciudad, se selecciona una muestra de 14 CAPS. Este muestreo se realiza en función de la disponibilidad de datos acerca de sus principales características físicas y acceso a la boleta de consumo energético. Se analizan sus características morfológicas y constructivas generales.
En una segunda instancia se obtienen datos climáticos de una fuente meteorológica local, Estación Experimental Agroindustrial Obispo Colombres (EEAOC), por contar con una estación meteorológica más próxima a los casos analizados (estación meteorológica El Colmenar). La información analizada de esta fuente son las temperaturas media mínima, media media y media máxima promedio para cada mes, así como la cantidad de horas en las que esta se desvía de una zona entre 18 °C y 32 °C, dato brindado por la estación.
En una tercera instancia se accede a las boletas de consumo eléctrico de todos los casos seleccionados para los últimos dos años (2022 y 2023). Se toman estos datos más por considerarse representativos de la situación actual de los edificios, considerando las últimas reformas y/o ampliaciones, así como el uso normal de los mismos fuera de la situación de pandemia. Al no contar los CAPS con otra fuente de energía, se puede considerar que estos datos corresponden al consumo total. En esta etapa, se determina también el consumo energético por m2 cubierto para cada uno de ellos.
Una cuarta instancia consiste en interrelacionar los datos obtenidos previamente, la desviación de temperatura mencionada, el consumo energético por unidad de superficie y aspectos morfológico–constructivos. Una vez volcados estos datos, se establece una correlación entre ellos y se extraen conclusiones pertinentes.
La ciudad de San Miguel de Tucumán presenta un clima mixto subtropical. Verano cálido húmedo con temperatura media máxima superior a 32 °C y humedad relativa media de 85 %. Invierno seco y poco riguroso con temperatura media mínima de 6 °C y humedad relativa media de 65 % (Márquez Vega y Martínez, 2021).
Se obtienen, por un lado, los datos climáticos procesados a partir del software de cálculo y graficación Climate Consultant 6.0 y datos climáticos en EPW (Energy Plus Weather) obtenidos a partir de Climate.Onebuilding. Estos corresponden a la estación meteorológica AERO, ubicada en el aeropuerto de la ciudad de San Miguel de Tucumán, en las afueras de la misma. Se registran, durante el período estival, temperaturas medias que superan los 30 °C y llegan hasta los 38 °C. Durante el período invernal se observan temperaturas inferiores a los 10 °C. Se registran mayores amplitudes térmicas para el invierno que para el verano. En la Figura 1 se observa que, entre los meses de septiembre hasta marzo, en promedio, la temperatura cercana a las 12 h del mediodía está siempre por encima de la zona de confort. En los meses restantes es al revés, y en horarios cercanos al mediodía la temperatura media se encuentra dentro de la zona de confort, mientras que el resto del día está por debajo.

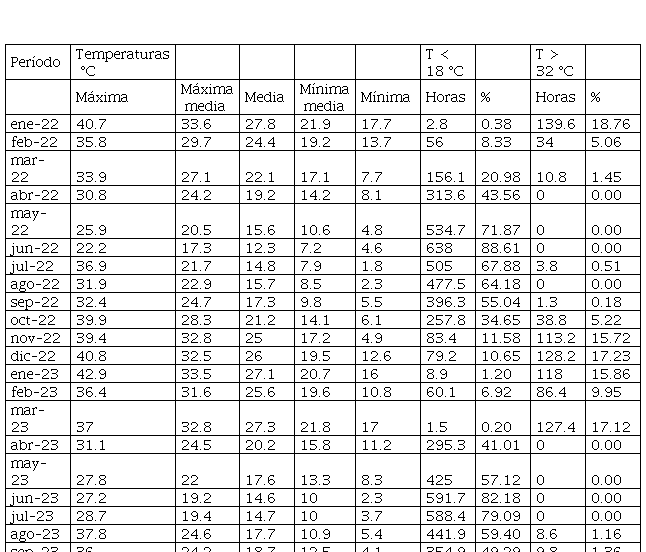
Por otro lado, se analizan los datos de una fuente local, la EEAOC, estación meteorológica El Colmenar, de la cual se obtienen datos promedio diarios para un recorte temporal específico. Se contemplan los últimos dos períodos, años 2022 y 2023, se analizan particularmente los datos de temperaturas media (máxima, media y mínima). La fuente consultada cuenta con un dato particular, que es la cantidad de horas en las que la temperatura es superior a 32 °C e inferior a 18 °C. En la Tabla 1 se expresan los valores mencionados anteriormente y de ella se extrae que los meses más cálidos, en el período analizado, van de octubre a marzo, y que los restantes resultan los más fríos.

Los casos a analizar corresponden a una muestra por conveniencia de 14 de los 27 CAPS existentes en la ciudad. La selección de los mismos se debe a la disponibilidad de datos técnicos, planimetría y acceso a la información del consumo energético por parte de la empresa prestadora de dicho servicio. En la Figura 2 puede observarse el emplazamiento de los CAPS en San Miguel de Tucumán y, destacados con color, aquellos que posteriormente son analizados.

Por tratarse de una ciudad, todos los lotes en los cuales se emplazan los CAPS son urbanos, de dimensiones acotadas. Existen en total cuatro formas de ocupación del terreno: perímetro libre, entre medianeras o en esquina, sobre dos medianeras en L. Las orientaciones resultan variables, algunos en sentido norte-sur, otros en sentido este-oeste. En todos los casos el entorno libre, patios, resulta de escasas dimensiones en relación con la superficie cubierta (entre un 10 y un 30 %).
La solución constructiva adoptada para techo es la misma en todos los casos: chapa con cielorraso suspendido, cámara de aire ventilada y lana de vidrio de 0,05 m sobre cielorraso. En el caso de los muros exteriores, se detectan tres tipos: ladrillo macizo de 0,30 m, ladrillo macizo de 0,15 m, y ladrillo hueco de 0,18 m, todos ellos revocados en ambas caras; también se observan combinaciones de estos tipos. En todos los casos se encuentran terminados exteriormente con pintura color claro entre marfil y beige. En la Tabla 2 se explicitan las principales características higrotérmicas de las soluciones existentes según normas IRAM, se pueden observar coeficientes de transmitancia térmica K, nivel de confort higrotérmico (IRAM 2002) y riesgos de condensación superficiales e intersticiales (IRAM 2000). Se advierte que ningún caso cumple con el nivel recomendado (nivel B) y que en todos se presentan riesgos de condensación intersticial.

En la Tabla 3 se muestran las principales características técnicas de los 14 CAPS analizados.

En todos los casos, los centros funcionan los días hábiles de lunes a viernes, de 7 a 19 horas, doce horas por día. En los momentos de picos más altos de temperatura, se encuentran en funcionamiento, mientras que en los momentos de picos más bajos permanecen cerrados. Es por ello que resulta más crítico el período cálido con respecto al frío.
Se analizan los últimos valores mensuales de consumo de energía eléctrica de los casos seleccionados durante un recorte temporal, que corresponde a los períodos 2022 y 2023. Se analizan los consumos mensuales por superficie construida en metros cuadrados para que los resultados puedan ser comparables entre sí.
Lo que pretende este trabajo es encontrar relaciones entre el consumo energético y el comportamiento térmico de los edificios. Es por ello que se realizan dos análisis comparativos a partir de los datos obtenidos. En primera instancia, se comparan los valores de consumo energético con las principales características de emplazamiento, superficies, adyacencias de muros exteriores y materialización de los mismos. En segunda instancia, se contrastan los consumos con el porcentaje de horas en las que la temperatura supera los 32 °C y resulta inferior a 18 °C (dato facilitado por la fuente meteorológica local).
En el gráfico expresado en la Figura 3 se exhiben los datos de consumo por m2 en el eje principal y con columnas. En contraste, el eje secundario muestra las horas y con líneas la cantidad de horas en que la temperatura se encuentra por debajo de 18 °C y aquellas en que resulta superior a 32 °C.

La Figura 4 muestra, a través de un gráfico de dispersión, los valores de consumo promedio por unidad de superficie (kw/m2) para los 14 casos. Se consigna el promedio total anual y por períodos cálidos, fríos, y con mayor cantidad de horas de confort. Esta delimitación se hace a partir de los datos climáticos obtenidos específicamente para el período analizado (2022–2023) expresados en la Tabla 2. EL período cálido resulta el más extenso, se toman los meses desde octubre a marzo. El período frío abarca junio y julio, y los meses restantes conforman el período de mayor confort. Puede observarse cómo, en la totalidad de los casos, los promedios en los períodos cálidos y fríos resultan superiores a la media; y los de confort, inferiores. Este pequeño análisis pone en evidencia que el consumo energético se encuentra estrechamente vinculado al acondicionamiento térmico.

El dato más relevante que se puede extraer es que el mayor consumo se da en el período estival en la totalidad de los casos. Este resultado es esperable dadas las características climáticas propias de la región y por el horario de funcionamiento de los CAPS antes mencionados. Por otro lado, el consumo en invierno, en algunos casos, es inferior al promedio anual e incluso a los equinoccios, algo que es interesante y evidencia la preponderancia de la refrigeración por sobre la calefacción.
En el gráfico también puede observarse la relación entre consumos promedio y la superficie construida. Se encuentra una relación entre el bajo consumo por unidad de superficie (kwh/m2) y la mayor superficie cubierta. Se observa que aquellos casos con mayor cantidad de metros de superficie cubierta cuentan con un menor consumo energético En todos los casos donde en consumo supera los 5,50 kwh/m2 la superficie construida es inferior a 260 m2. Esto se asocia con la situación de emplazamiento en lotes urbanos, donde, al incrementar superficie, se reducen los locales con muros y aberturas adyacentes hacia el exterior. Particularmente, las normas locales (Directrices de Organización y funcionamiento de servicios de salud) no exigen ventilación directa para consultorios, locales donde siempre se cuenta con sistemas de aire acondicionado, y pueden hacerlo a partir de otros locales, pasillos, circulaciones técnicas, salas de espera, etc. En estos casos, el intercambio térmico en períodos de temperaturas exteriores críticas resulta favorable.
El presente estudio ha establecido una sólida base para comprender los patrones de consumo energético en los CAPS de San Miguel de Tucumán. Al correlacionar el consumo con variables climáticas y constructivas, hemos identificado el acondicionamiento térmico como el principal factor influyente. Este análisis se ha realizado con los datos disponibles, los cuales, si bien proporcionan una visión general del problema, podrían verse enriquecidos con información más detallada sobre las características de los sistemas de climatización, la ocupación real de los espacios y los hábitos de los usuarios. Para obtener una visión aún más precisa y detallada, se recomienda efectuar mediciones directas del consumo de cada artefacto. Esto permitiría identificar las principales fuentes de consumo y orientar las medidas de eficiencia energética de manera más precisa. Además, es fundamental considerar el comportamiento de los usuarios, ya que sus hábitos pueden influir significativamente en el consumo energético. Estudios de comportamiento podrían revelar oportunidades para optimizar el uso de la energía a través de campañas de concientización y la implementación de tecnologías inteligentes. En futuras investigaciones se profundizará este estudio.
El análisis de los datos de consumo energético en los 14 centros de salud de San Miguel de Tucumán reveló una fuerte correlación positiva entre el consumo energético y la temperatura exterior, especialmente durante los meses de verano. El clima subtropical de esta ciudad, caracterizado por veranos cálidos y húmedos e inviernos secos y poco rigurosos, ejerce una influencia significativa en el consumo energético de los CAPS analizados. Las altas temperaturas durante el verano y la necesidad de refrigeración, junto con las bajas temperaturas en invierno y la demanda de calefacción, generan picos de consumo en ambas estaciones. Los sistemas activos de refrigeración se constituyen como un ítem altamente representativo del consumo energético en CAPS de San Miguel de Tucumán. En la totalidad de los casos estudiados existe una relación directa entre consumo energético y horas en que la temperatura exterior del aire se aleja de la zona de confort.
Las características constructivas de los edificios analizados influyen directamente en el consumo energético. La falta de aislamiento térmico adecuado en los muros exteriores contribuye a un mayor intercambio térmico con el exterior, lo que incrementa la demanda de energía para climatizar los espacios. Se ha observado una relación inversa entre la superficie construida y el consumo energético por m2. Los edificios de mayor superficie tienden a presentar un menor consumo específico. Esto se debe a que, en edificios más grandes, la proporción de muros exteriores en relación con el volumen interior es menor, lo que reduce las pérdidas de calor en invierno y las ganancias de calor en verano. Además, la normativa local permite que algunos espacios interiores, como consultorios, se ventilen a través de otros locales, lo que disminuye la necesidad de climatización directa.
Los resultados de este estudio ponen de manifiesto la importancia de considerar las características climáticas y constructivas de los edificios al momento de evaluar su consumo energético. Asimismo, sugieren que la optimización de las características constructivas y la implementación de medidas de eficiencia energética pueden contribuir a reducir significativamente el consumo energético en los CAPS de San Miguel de Tucumán.






