Artículo Original
Incidencia de la contaminación atmosférica en las crisis agudas de asma bronquial e infecciones respiratorias agudas
Incidence of air pollution in acute attacks of bronchial asthma and acute respiratory infections
Incidencia de la contaminación atmosférica en las crisis agudas de asma bronquial e infecciones respiratorias agudas
Revista Cubana de Meteorología, vol. 29, núm. 3, e08, 2023
Instituto de Meteorología
Recepción: 22 Junio 2023
Aprobación: 12 Septiembre 2023
RESUMEN: La contaminación del aire es el principal riesgo ambiental para la salud pública en América Latina y el Caribe en la actualidad. Este aspecto destaca la importancia de vigilar la calidad del aire en la región. En la presente investigación se evaluó la influencia de la contaminación atmosférica sobre las crisis agudas de asma bronquial y las infecciones respiratorias agudas en La Habana. Se analizó el comportamiento de concentraciones de contaminantes criterio en zonas de monitoreo. Se estudió el comportamiento de la morbilidad por crisis aguda de asma bronquial e infecciones respiratorias agudas en edades pediátricas durante eventos de Polvo del Sahara. En este aspecto destacó un incremento leve en las atenciones por crisis aguda de asma bronquial de niños entre 1 y 14 años en presencia de polvo del Sahara y condiciones meteorológicas favorables. Se empleó el Software AirQ+ para evaluar la carga que representa la exposición prolongada a contaminantes atmosféricos para la mortalidad por asma bronquial.
Palabras clave: Contaminación atmosférica, crisis aguda de asma bronquial, infecciones respiratorias agudas, polvo del Sahara.
ABSTRACT: Air pollution is the main environmental risk for public health in Latin America and the Caribbean today. This aspect highlights the importance of monitoring air quality in the region. In the present investigation, the influence of air pollution on acute attacks of bronchial asthma and acute respiratory infections in Havana was evaluated. The behavior of criteria pollutant concentrations in monitoring areas was analyzed. The behavior of morbidity due to acute attacks of bronchial asthma and acute respiratory infections in children during Sahara Dust events was studied. In this regard, there was a slight increase in care for acute attacks of bronchial asthma in children between 1 and 14 years of age in the presence of Saharan dust and favorable weather conditions. The AirQ+ Software was used to evaluate the burden that prolonged exposure to atmospheric pollutants represents for mortality from bronchial asthma.
Keywords: Air pollution, acute crisis of bronchial asthma, acute respiratory infections, dust from the Sahara.
INTRODUCCIÓN
La contaminación del aire es el principal riesgo ambiental para la salud pública en la actualidad. Más de 150 millones de personas en América Latina y el Caribe viven en ciudades con niveles de contaminación superiores a los recomendados por las guías de la Organización Mundial de la Salud (OMS). Este aspecto destaca la importancia de vigilar la calidad del aire en la región (OMS, 2021).
La exposición a concentraciones de contaminantes, incluso por debajo de las normas establecidas, puede modificar los patrones de comportamiento de la morbilidad y la mortalidad por enfermedades del sistema respiratorio (Monsalve, 2011). Influyen, además en estos patrones, otros factores ambientales externos, como la variabilidad climática y la acción conjunta de las variables meteorológicas (Bolufé, 2017).
En Cuba, la contaminación del aire también constituye uno de los principales problemas medioambientales. Los estudios cualitativos y cuantitativos de la contaminación atmosférica reflejan que Mariel, Nuevitas, Moa, La Habana, Santiago de Cuba, Cienfuegos y Matanzas presentan un nivel de calidad del aire clasificado como crítico o pésimo (Cuesta et al., 2016 y 2018).
Especial interés se le presta a la situación de La Habana por ser la ciudad más poblada e industrializada del país. El 21% de la población de la capital posee calidad de aire entre crítica y pésima, mientras que casi el 30% respira aire de calidad deficiente y mala (Cuesta et al., 2019).
Por otro lado, La Habana cuenta con la mayor tasa de prevalencia del país de Asma Bronquial (AB) con 113,3 por cada 1 000 habitantes. Reporta además un promedio anual de 40 258 consultas médicas por Infecciones Respiratorias Agudas (IRA) según el Anuario Estadístico Edición 2022 del Ministerio de Salud Pública (MINSAP, 2022).
La repercusión que tiene el AB y las IRA sobre el enfermo y sus familiares, así como los costos económicos y sociales que representan, refuerzan la necesidad de desarrollar acciones para disminuir el número de afectados. Al identificar factores que determinan estas enfermedades, se puede dar paso al desarrollo de estrategias de salud dirigidas a reducir la mortalidad y la morbilidad asociada. De modo que la presente investigación persigue como objetivo general evaluar la influencia de la contaminación atmosférica sobre las crisis agudas de asma bronquial (CAAB) y las IRA en La Habana.
MATERIALES Y MÉTODOS
Las fuentes de información locales se pueden apreciar en la figura 1.

Para el año 2016 se trabajó con datos de concentraciones de Dióxido de Nitrógeno (NO2), Ozono (O3), Dióxido de Azufre (SO2), y Material Particulado (PM10 y PM2.5) obtenidos de tres estaciones de monitoreo atmosférico. Para el período mayo 2019-abril 2020 se trabajó con datos de PM10 y PM2.5 obtenidos de la estación de Cubaenergía. Se trabajó además con las fechas en las que arribaron a La Habana masas de aire con Polvo del Sahara durante los años 2016 y 2017 (De La Rosa, 2020).
La estación de monitoreo de Cubaenergía está emplazada en la sede del Centro de Gestión de la Información y Desarrollo de la Energía (Cubaenergía) en el municipio Playa. Se encuentra rodeada de una cobertura vegetal y próxima al río Almendares. La estación automática del Instituto Superior de Tecnologías y Ciencias Aplicadas (InSTEC) se localiza en áreas de la Quinta de los Molinos, una de las principales zonas verdes de la ciudad. Debido a estas características, ambas estaciones se consideran urbanas de exposición de fondo.
La estación automática de San Miguel del Padrón (SMP) se localiza en la Calzada de Güines, una de las principales vías del territorio. La estación de monitoreo del Instituto de Higiene, Epidemiología y Microbiología (INHEM) está emplazada en la Calzada de Infanta, en los límites entre los municipios Centro Habana y Cerro. Ambas son consideradas estaciones urbanas de exposición al tráfico.
Software AirQ+
Fue utilizado el Software AirQ+ con el objetivo de cuantificar el impacto de la contaminación del aire en la mortalidad por AB. La metodología empleada se basa en un análisis del número de población expuesta, datos de contaminación del aire, datos de salud y riesgo relativo. Los datos de entrada utilizados quedaron constituidos por:
Datos de contaminación del aire: medias anuales que sobrepasaron las Cma según resultados anteriores de las estaciones de monitoreo de la contaminación atmosférica (Vidal, 2017; de la Rosa, 2020; Reyes, 2022) y resultados propios.
Población expuesta: 442 775 hab. Fue considerada la población mayor de 30 años de los municipios de Centro Habana, Habana Vieja, Regla, Diez de Octubre y San Miguel del Padrón en el año 2016 según MINSAP (2017) por ser estas las zonas más afectadas por la contaminación atmosférica en La Habana.
Incidencia de las CAAB en la mortalidad (x 100 000 hab.): 7.5. Calculada a partir de los datos diarios de mortalidad por Enfermedades Respiratorias entregados por la Dirección de Registros Médicos y Estadísticas de Salud del MINSAP.
Valor de Riesgo Relativo Predeterminado: En dependencia del contaminante atmosférico.
RESULTADOS Y DISCUSIÓN
Comportamiento del material particulado en la estación de Cubaenergía (mayo 2019-abril 2020)
En la figura 1 se muestra el comportamiento de las concentraciones de PM10 y PM2.5 según las medias mensuales.

Los valores ligeramente superiores registrados entre mayo y septiembre estuvieron asociados a la presencia de masas de aire con polvo del Sahara sobre el territorio cubano (en La Habana la temporada de polvo inicia en abril y las últimas nubes aparecen en septiembre). Al comparar la marcha anual de las concentraciones con un estudio de Mojena et al. (2015) se encontraron ciertas similitudes. La media más elevada fue registrada en junio, mes que registra históricamente los máximos de días con polvo durante la temporada.
Los bajos niveles de contaminación del aire registrados estuvieron influenciados por diversos factores relacionados con las condiciones locales. La cercanía del río Almendares con abundante vegetación, de la línea costera y la ubicación a barlovento de los vientos predominantes del Noreste los cuales contribuyen a la dispersión de los contaminantes condicionan estos valores tan bajos. Al comparar con los resultados de Cuesta et al. (2014) no se encontraron fuentes fijas significativas en la zona de estudio y la estación se encuentra alejada de avenidas con alto flujo vehicular.
Al comparar con los resultados de Vidal (2017) y de la Rosa (2020) se encontró un comportamiento similar de las concentraciones de contaminantes en la estación del InSTEC. Esto puede deberse a que ambas estaciones reciben poca influencia de las fuentes móviles ya que están ubicadas lejos de las principales avenidas y rodeadas de vegetación.
Comportamiento de contaminantes atmosféricos en las estaciones de INHEM, InSTEC y SMP en el año 2016.
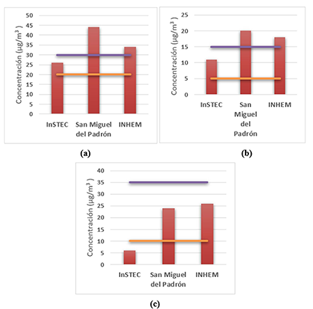
Fueron calculadas las concentraciones medias anuales de contaminantes criterio para el 2016 (tabla 1), por ser este el período más completo con mediciones directas en distintos puntos de la ciudad.

Los mayores valores estuvieron asociados a las estaciones expuestas al tráfico (figura 3). Las fuentes móviles constituyen grandes fuentes emisoras de NO2 y MP, lo cual condiciona que estos contaminantes predomine en avenidas de la ciudad donde se han realizado mediciones (Cuesta et al., 2017 y Madrazo et al., 2019).
Las concentraciones de MP sobrepasaron tanto los Valores Guía de la OMS (20 μg/m3 para el PM10 y 5 μg/m3 para el PM2.5) como los valores máximos establecidos en la NC 1020:2014 (30 μg/m3 para el PM10 y 15 μg/m3 para el PM2.5). Las concentraciones de NO2 sobrepasaron solo el Valor Guía de la OMS correspondiente a 10 μg/m3.

Comportamiento de la morbilidad y atenciones por CAAB e IRA durante eventos de polvo del Sahara
Se analizó el comportamiento temporal de la morbilidad por semanas estadísticas para edades pediátricas, ya que, según la bibliografía consultada, los niños figuran entre los grupos de mayor riesgo. Se observó que ambas enfermedades tienen un patrón estacional bien marcado con una distribución bimodal (figura 4), coincidiendo con resultados de estudios precedentes (Guevara et al., 2008; Bolufé et al., 2016; Ortiz et al., 2012 y Borroto et al., 2019).

El patrón de las enfermedades estudiadas está en contraposición con la estacionalidad del clima de Cuba, caracterizada por la presencia de una temporada más cálida y lluviosa de mayo a octubre, y de otra más fresca y poco lluviosa de noviembre a abril. Coincidiendo el mayor número de casos con el período invernal.
El patrón de estacionalidad de las CAAB se caracteriza por un máximo para los meses de octubre (mes de transición del periodo lluvioso al poco lluvioso) a marzo (periodo poco lluvioso) y un mínimo bien marcado de junio a agosto (mayor influencia tropical). Las IRA presentan un pico principal en febrero y marzo y otro menor en octubre, mes con una mayor variabilidad climática la cual presenta una alta asociación con el Virus Sincitial Respiratorio (VSR) según Linares et al. (2018). Vale destacar que durante la curva correspondiente a enero-abril no se detecta un importante incremento de Influenza o VSR (Borroto et al., 2019).
Para los años 2016 y 2017 se seleccionaron los meses de abril a octubre y se clasificaron las semanas tomando como criterio de inclusión al menos 3 días con presencia de Polvo del Sahara. Al comparar el comportamiento de las CAAB se encontró que durante la temporada de polvo, las semanas sin polvo reportan un mayor número de casos, además de presentar una variabilidad elevada respecto a las semanas con presencia de polvo. Para el caso de las IRA, esta variabilidad es menor, pero de igual modo, las semanas sin polvo reportan los mayores valores de morbilidad (figura 5).

Para reducir la escala temporal se analizó el comportamiento de las atenciones diarias por CAAB e IRA en tres hospitales pediátricos (Centro Habana, Wiliam Soler y Juan Manuel Márquez). Por criterio de inclusión, se estudiaron los grupos más representativos (de 1 a 4, de 5 a 10 y de 10 a 14 años). Fueron excluidos los niños menores de 1 año ya que, según la bibliografía consultada, estos se ven menos expuestos. Por otra parte, los niños entre 15 y 19 buscan atención en otros centros de salud (como consultorios o policlínicos) por lo que no son representativos (Romero et al., 2004).

El grupo etáreo de 1 a 4 años presentó la mayor incidencia durante el período analizado, así como la mayor variabilidad (figura 6). Las medias de atenciones en las semanas con polvo no superaron a las de las semanas sin polvo, pero la diferencia existente es menor que la observada al comparar por semanas (figura 5).
Para el caso de las CAAB, en las semanas con presencia de polvo aparecen días con valores anómalos para el grupo de 1 a 4 y de 9 a 14 años; y días con valores extremos para el grupo de 9 a 14. Las IRA solo reportaron un día extremo, en presencia de polvo, para el grupo de 1 a 4 años (figura 6).
Este resultado motivó a estudiar el comportamiento día a día de las atenciones en los meses con mayor incidencia de polvo del Sahara dentro de la temporada (mayo-septiembre), para analizar el comportamiento de las atenciones días después de la incidencia de una masa de aire con polvo (figura 7).

Las atenciones por CAAB presentaron los mayores picos en mayo, junio y septiembre, pero estos no estuvieron relacionados necesariamente con la incidencia de días con polvo. Los picos de julio de 2016 fueron superiores a los del 2017. Esto pudo estar relacionado con la dosis efectiva recibida.
Al analizar los días que antecedieron al aumento, se encontró un número considerable de registros con presencia de polvo. Además, julio del 2016 fue registrado como el julio más cálido desde 1981 (Boletín de la Vigilancia del Clima, julio de 2016). La dosis efectiva recibida es dependiente de la ventilación, que se calcula según la fórmula: Dosis efectiva= Concentración* Tiempo * Ventilación. Y entre los factores que aumentan la ventilación se encuentran la temperatura ambiente.
Las atenciones por IRA mantuvieron un comportamiento elevado en un gran número de días del período. A pesar de la existencia de polvo, este resultado puedo haberse visto influenciado por la presencia de los virus influenza, ya que los mismos, predomina en los meses de junio, julio y agosto en Cuba (Borroto et al., 2019).
Evaluación del posible impacto de la contaminación atmosférica sobre la mortalidad por CAAB en La Habana
Para la evaluación solo se utilizaron las medias anuales que superaban las Cma de la NC: 1020:2014 o los valores guía de la OMS (2021) las cuales se presentaron en la tabla 1 y en la figura 3. Al incorporar al software estos valores de contaminación atmosférica en conjunto con los datos de entrada se obtuvieron los siguientes resultados:

La mayor estimación atribuible (%) a la contaminación atmosférica por PM10 de la mortalidad por CAAB en la zona de interés, estuvo asociada a la estación de San Miguel del Padrón por el comportamiento descrito con antelación (figura 3). Al ser los valores guías de la OMS más restrictivos que la NC: 1020:2014 aumenta de forma considerable la estimación atribuible. Este aumento fue aproximadamente dos veces superior en San Miguel del Padrón y cuatro veces en el INHEM debido a la diferencia entre los valores de referencia.
Para el PM2.5 se evidencia un comportamiento similar al observado con el PM10, pero con un menor porciento de estimación atribuible. Este resultado está condicionado a que el PM2.5 constituye en ambas estaciones aproximadamente el 50 % del PM10, lo que evidencia la influencia de otras fuentes de material particulado en conjunto con las emisiones derivadas por la combustión en las fuentes móviles.
La estimación atribuible del NO2 fue inferior respecto al material particulado lo que evidencia un menor impacto de este contaminante sobre la mortalidad por CAAB en el área de interés.
CONCLUSIONES
RECOMENDACIONES
Implementar, desarrollar y aplicar alternativas para el monitoreo sistemático de los contaminantes atmosféricos.
Promover investigaciones que evalúen el funcionamiento del software AirQ+ en áreas de La Habana donde existan fuentes fijas representativas
REFERENCIAS
Boletín de la Vigilancia del Clima. Julio 2016. Instituto de Meteorología y Ministerio de Ciencia, Tecnología y Medio Ambiente.
Bolufé J. (2017) Influencia del medio ambiente atmosférico sobre las crisis agudas de asma bronquial en La Habana. Tesis presentada en opción al grado científico de Máster en Ciencias Meteorológicas. Instituto Superior de Tecnologías y Ciencias Aplicadas. La Habana. Cuba.
Bolufé J. et al. (2016). Efectos del clima y la calidad del aire en las crisis agudas de asma bronquial en la provincia de La Habana. Informe científico técnico. Instituto de Meteorología. La Habana, Cuba.
Borroto et al. (2019) Impacto de la variabilidad climática sobre las atenciones médicas por IRA, los virus influenza y el VSR en la población cubana. Congreso de Meteorología. II Seminario Cambio Climático y Salud. 5-6 de diciembre 2019.
Cuesta O. et al. (2014) Diagnóstico del medio ambiente atmosférico producto de las principales fuentes fijas de la Ciudad de la Habana. Informe científico técnico. La Habana: Instituto de Meteorología. La Habana, Cuba.
Cuesta O. et al. (2016) Inventario nacional de emisiones atmosféricas de las principales fuentes fijas. Informe científico técnico. Instituto de Meteorología. La Habana, Cuba.
Cuesta O. et al. (2017) Contaminación atmosférica por fuentes móviles en la calle Reina, La Habana. Revista Cubana de Meteorología, Vol.23, No.1, pp.78-88, 2017, ISSN: 0864-151X.
Cuesta O. et al. (2018) Modelación de la dispersión de los principales contaminantes atmosféricos y su contribución a la gestión ambiental. Informe científico técnico. Instituto de Meteorología. La Habana, Cuba.
Cuesta O. et al. (2019). La calidad del aire en La Habana. Actualidad. Revista Cubana de Meteorología, Vol. 25, No. 3, septiembre-diciembre 2019, ISSN: 2664-0880.
De La Rosa A. (2020) Incidencia de los tipos de situaciones sinópticas (TSS) y el polvo del Sahara en las concentraciones de material particulado en dos localidades de La Habana. Tesis presentada en opción al título de Licenciatura en Meteorología. Instituto Superior de Tecnologías y Ciencias Aplicadas. La Habana. Cuba.
Guevara, A. et al. (2008): Tendencias actuales de las crisis de asma bronquial en los servicios de urgencia de hospitales pediátricos de La Habana. Su asociación con el clima. Memorias de II Congreso de Meteorología Tropical. Convención Trópico 2008, 16 al 20 de junio de 2008, Palacio de Convenciones de La Habana, Cuba. ISBN 978-959-282-079-1.
Linares Y. et al. (2018) Impact of Climatic Variability in the Respiratory Syncytial Virus Pattern in Children Under 5 Years-Old Using the Bulto Climatic Index in CubaInt J Virol Infect Dis. 2017; 2(1): 014-013.
López R. et al. (2018) Evaluación de riesgos para la salud humana y la vegetación por los contaminantes atmosféricos SO2, NO2, MP10 y O3 en áreas de Cuba. Informe científico técnico. La Habana: Instituto de Meteorología. La Habana, Cuba.
Madrazo J. et al. (2019) Evidence of traffic-generated air pollution in Havana. Revista Atmósfera Universidad Nacional Autónoma de México, Centro de Ciencias de la Atmósfera 32(1), 15-24 (2019) doi: 10.20937/ATM.2019.32.01.02
MINSAP (2017) Anuario Estadístico de Salud 2016. Dirección Nacional de Registros Médicos y Estadísticas de Salud. La Habana.
MINSAP (2022) Anuario Estadístico de Salud 2021. Dirección Nacional de Registros Médicos y Estadísticas de Salud. La Habana.
Mojena E. et al (2019) Las Nubes de polvo del Sahara como modulador del tiempo, el clima y la calidad del aire. Sus impactos en el medio ambiente. Memorias del CONTAT. Instituto de Meteorología.
Monsalve F. (2011). Influencia del tiempo y la contaminación atmosférica sobre enfermedades de los sistemas circulatorio y respiratorio en Castilla-La Mancha. Tesis presentada para la consecución del título de Doctor. Universidad de León. Facultad de Ciencias Biológicas y Ambientales.
OMS (2021). Guías actualizadas de la OMS sobre la calidad del aire y sus implicancias para los países latinoamericanos. Consultado en https://www.saludsindanio.org/ info@saludsindanio.org
Ortiz P. et al. (2012) Capítulo 11 Salud Humana. Planos E. et al., Impacto del Cambio Climático y Medidas de Adaptación en Cuba.
Reyes F. (2022) Caracterización de los contaminantes atmosféricos en zonas de 2 municipios de La Habana. 2015-2017. Tesis para optar por el título de Máster en Salud Ambiental. Instituto Nacional de Higiene, Epidemiología y Microbiología.
Romero M. et al. (2004). Contaminación atmosférica, asma bronquial e infecciones respiratorias agudas en menores de edad, de La Habana. Revista Salud Publica Mex 2004; 46:222-233.
Sosa C. (2018) Gestión de la contaminación del aire en un municipio industrial. Caso de estudio: Mariel. Tesis presentada en opción al grado científico de Máster en Ciencias de la Gestión Ambiental. Instituto Superior de Tecnologías y Ciencias Aplicadas. La Habana. Cuba.
Vidal I. (2017) Influencia de condiciones meteorológicas en las inmisiones de contaminantes atmosféricos en dos localidades de La Habana. Tesis en opción al título de Licenciado en Meteorología. Instituto Superior de Tecnologías y Ciencias Aplicadas. La Habana. Cuba.
Notas de autor
*Autor para correspondencia: Ignaivis de la Caridad Castillo Lemus. E-mail: Ignaivis@gmail.com
Declaración de intereses