Artículo de investigación
Lluvia anual y estacional en Cuba. Influencia de índices climáticos
Annual and seasonal rainfall in Cuba. Influence of climate indices
Lluvia anual y estacional en Cuba. Influencia de índices climáticos
Revista Cubana de Meteorología, vol. 30, no. 4, e07, 2024
Instituto de Meteorología
Received: 24 June 2024
Accepted: 07 August 2024
Resumen: En Cuba se han realizado periódicamente estudios de la lluvia para confeccionar mapas isoyéticos, con los cuales se han estimado valores históricos de referencia para esta variable. Los trabajos hechos hasta la fecha han utilizado redes con diferente grado de cobertura espacial y temporal; y los análisis han sido eminentemente estadísticos, particularmente dirigidos al completamiento de datos y la discusión de la calidad de éstos. En este artículo se hace un estudio de la lluvia promedio anual en los 90 años comprendidos entre 1931 y 2020 y a escala estacional para el período 1961-2020. El objetivo del trabajo es caracterizar el comportamiento anual y estacional de esta variable en Cuba y las regiones occidental, central y oriental, acompañado del examen de las tendencias y los valores promedios en escenarios favorables, neutros o desfavorables según el estado de los índices climáticos ENOS, NAO y los Huracanes.
Palabras claves: Análisis multivariado, atribución, ENOS, huracanes, índices climáticos, NAO, precipitación y tendencia.
Abstract: In Cuba, periodically, rainfall study have been carried out to prepare isohyietic maps, with which historical reference values have been estimated. For it has used networks with different degrees of spatial and temporal coverage; and the analyzes have been eminently statistical, particularly aimed at completing the data and discussing its quality. In this article, a study is made of the annual rainfall in the 90 years between 1931 and 2020 and on a seasonal scale for the period 1961-2020. The objective is to characterize the annual and seasonal behavior of this variable in Cuba and the western, central and eastern regions, accompanied by the examination of the trends and average values in favorable, neutral or unfavorable scenarios according to the state of the climatic indices ENSO, NAO and the Hurricanes.
Keywords: Attribution, climate indices, ENSO, hurricanes, multivariate analysis, NAO, precipitation and trend.
Introducción
Desde el inicio del Siglo XX se han realizado en Cuba importantes estudios de la lluvia, varios de ellos con el objetivo principal producir mapas isoyéticos para caracterizar cuantitativa, temporal y espacialmente a esta variable. Los primeros mapas de los que se tiene referencia son los de Foscue E. J. (1928); Chamberlin T.W., (1940) y Orive, (1954). Los trabajos realizados hasta de década del 70 dispusieron de datos limitados, por la insuficiente cobertura espacial que existía de estaciones pluviométricas antes de esos años (Figura 1) y la corta extensión de la mayoría de las series cronológicas de observaciones hasta 1976; por ejemplo, en la “Tercera versión de mapa isoyético” aunque se utilizaron 1181 pluviómetros, solamente el 14% tenían más de 40 años de trabajo y el 60% menos de 20 años (Gagua et. al., 1976).
Con el inicio del desarrollo hidráulico en 1963, comenzó el establecimiento de una red de estaciones pluviométricas bajo la administración de la autoridad hidráulica nacional, que devino, en 1976, en la “Red Básica Nacional de Pluviómetros”, lo que estuvo vinculado con la instalación de una red con fines hidrológicos más amplia, que incluía estaciones climáticas e hidrométricas para la medición del caudal y sus variables asociadas. El establecimiento de la red de pluviómetros partió de la integración de equipos que existían en los centrales azucareros, el ferrocarril, la agricultura y el servicio meteorológico nacional. Pero este proceso no está debidamente documentado, y se carece de información sobre el nivel de estandarización de los equipos; los programas de trabajo para medir, registrar y colectar los datos y, donde fue necesario, cómo se realizó la conversión de las mediciones de pulgadas a milímetros; elementos éstos que dan un nivel de incertidumbre sobre los registros que se expedientaron en la integración de las redes prexistentes.
En 1976 se realizó un diseño de red de pluviómetros, con rigurosos criterios físicos y matemáticos, y fueron determinados los parámetros óptimos de densidad y distribución para la instalación de los equipos (Huerta & Veiga, 1976). Este diseño utilizó una malla triangular y ajustó una función de correlación construida con los coeficientes de correlación entre las series de precipitación de cada pluviómetro utilizado y las distancias entre ellos, y se determinaron los errores de interpolación y las distancias óptimas, promedio, máximas y mínimas admisibles entre equipos, teniendo en cuenta el coeficiente de variación de las series y la altitud. El trabajo fue complementado con un estudio económico del costo de la instalación de los pluviómetros. Este diseño no se implementó de manera estricta, pero los parámetros definidos para la red quedaron, en la institución que lideró el estudio, como referencia técnica de una red óptima en las condiciones de Cuba, lo cual fue normado de manera ejecutiva en el Instituto Nacional de Recursos Hidráulicos (INRH).

Los estudios más importantes de la lluvia comenzaron a mediados de la década del 60. La Tabla 1 contiene información sobre los principales mapas hechos desde 1965 hasta el año 2005. Los aspectos más relevantes en los resultados mostrados en esta tabla son los siguientes:
Trusov, 1967: detallado análisis temporal y espacial de la lluvia, incluyendo la determinación del gradiente altimétrico de la lluvia, estudios probabilísticos y establecimiento de la distancia óptima entre pluviómetros para el trazado de las isolíneas, entre 15 y 20 km. Este trabajo constituyó una guía metodológica para los trabajos ulteriores.
Gagua et. al., 1976: significativo por la cantidad y distribución de pluviómetros usados, la metodología empleada y extensión del período analizado. Un aporte importante es la determinación del error medio de la norma anual para un coeficiente de variación (Cv) promedio de las series utilizadas.
Izquierdo, 1989: mapa confeccionado exclusivamente por expertos cubanos y recogió un período más actual. Logró una mejor representación de la lluvia en las zonas montañosas y el procesamiento de los datos fue automatizado, utilizando para ello la primera base de datos de lluvia informatizada que existió en el país.
Planos, et. al., 2000: referencia para los primeros estudios científicos sobre el impacto del cambio climático en Cuba. Con este mapa se verificó una reducción de la lámina de lluvia en el país con respecto a estimaciones anteriores.
Rodríguez, 2005: primer mapa que abarca un período de 60 años de observaciones. Entre los resultados principales obtenidos figura la confirmación de la reducción de la precipitación promedio en Cuba con respecto a la determinada anteriormente.
Con respecto a los mapas de Trusov (1967) y Gagua et. al. (1976), es importante decir que la caracterización realizada de la lluvia, marcó un hito en el conocimiento y en el desarrollo del país; y los valores promedio mensuales, estacionales y anuales determinados para diferentes escalas territoriales fueron, en su momento, referencia histórica del comportamiento de esta variable. Respecto al problema principal que atentaba contra la representatividad de la lluvia con las redes disponibles en esos años, estos autores solventaron el problema de la extensión de las series, utilizando métodos estadísticos convencionales, basados fundamentalmente en la correlación entre estaciones. La metodología utilizada en la primera, segunda y tercera versiones de mapas isoyéticos fue muy rigurosa, en cuanto a la aceptación de la relación entre equipos, cuidando tener coeficientes de correlación mayores de 0.75, con errores de estimación bajos; sin embargo, dado los datos reales disponibles, estas estimaciones tienen un nivel de incertidumbre que en algunos lugares es muy alta.

La no existencia de publicaciones fácilmente asequibles con estos resultados, en las que se describan con rigor el trabajo realizado, es una limitante para efectuar estudios comparativos entre ellos y validar, con criterios modernos, las estimaciones realizadas entonces. De las obras referenciadas en la Tabla 1, solamente fue publicado en una revista arbitrada el trabajo de Gagua et. al. (1976); mientras que el trabajo de Trusov (1967), fue presentado en un libro que hoy no se encuentra fácilmente y, de los más recientes mapas, tampoco existen publicaciones de fácil acceso.
Los mapas isoyéticos elaborados desde 1976 se hicieron con mejores redes, datos y metadata, siguiendo metodologías reconocidas internacionalmente, pero se desconoce si la selección de pluviómetros se ajustó a los parámetros fijados por el diseño de la Red Básica Nacional y, en caso contrario, cuáles fueron los parámetros de diseño de las redes utilizadas. Lo anterior implica que los resultados obtenidos con los diferentes mapas hechos a lo largo del tiempo no son técnicamente comparables.
Otro resultado significativo en el estudio de la lluvia en Cuba fue el análisis de las fluctuaciones a largo plazo. En la red de estaciones pluviométrica nacional existen, aproximadamente, 129 equipos con registros desde antes del año 1930, varios de ellos con observaciones desde el Siglo XIX. Trusov et. al. (1978), investigaron las fluctuaciones de la lluvia y determinaran patrones regionales, mediante la técnica de las “curva integrales diferenciadas”, obteniendo resultados significativos que mostraron diferencias a escala regional. De la misma manera, Rodríguez (2005), estudió las tendencias y los patrones regionales, para el período 1931-2000 (manuscrito mapa isoyéticos 1960-2000), corroborando las antedichas conclusiones de Trusov y sus colaboradores.
En las conclusiones del trabajo de Trusov et. al. (1978), es significativo como se establece una relación de la fluctuación de las precipitaciones con factores atmosféricos y meteorológicos, que son antecedentes importantes para este artículo, entre ellos la influencia de: (a) la actividad ciclónica, (b) la disminución de las precipitaciones vinculada con el Anticiclón del Atlántico Norte y como (c) la ciclicidad está relacionado también con otros factores de formación de las precipitaciones, cuyos efectos pueden sobreponerse unos a los otros. Aquí es importante llamar la atención que en la década del 1970 no había el nivel de conocimiento actual sobre la influencia en la lluvia de los procesos de teleconexión y ni de las alteraciones en la variabilidad climática como consecuencia del calentamiento global.
Dado el valor científico e ingenieril que tiene contar con una referencia histórica coherente de la lluvia, en este artículo se analiza el comportamiento de esta variable, utilizando una red que cumple con los parámetros de diseño obtenidos en 1976, y se discuten los valores de referencia históricamente utilizados en Cuba. Lo anterior es complementado con el examen de los trentenos de referencia señalados por la OMM (2007), con énfasis entre 1961-1990, por su uso como referencia para los estudios de cambio climático. Como valor añadido, se relacionó estadísticamente el comportamiento de la lluvia con índices climáticos que influyen en ella; lo que puede considerarse un ejercicio de atribución para el análisis de las normas con fines aplicados.
Materiales y métodos
Los resultados se obtuvieron empleando tres enfoques: (a) Análisis histórico, basado en la revisión de publicaciones y fuentes de información donde se exponen mapas isoyéticos y valores de precipitación anual que oficialmente han sido presentados por la autoridad hidráulica nacional como cifras de referencia y consultas con especialistas de los servicios meteorológico e hidrológico relacionados con los estudios de esta variable en Cuba; (b) Estadístico, mediante métodos descriptivos, de análisis multivariado y análisis de tendencias y (c) Climatológico, para describir y relacionar procesos climáticos que influyen en la precipitación.
Datos y métodos estadísticos
Los métodos estadísticos aquí utilizados son de amplio uso en los estudios climatológicos e hidrológicos. Por ello, solo se explica el objetivo de su uso y los resultados obtenidos con ellos, sin describir sus argumentos matemáticos, lo cual puede ser encontrado en las obras dedicadas a la estadística aplicada en estos campos del conocimiento. Se caracterizaron las series mediante la media, los coeficientes de variación (Cv) y asimetría (Cs), el índice de Kurtosis (k), los cuartiles Q1 y Q3, se determinó la autocorrelación hasta retardos de 30 años y las tendencias se trabajaron con las medias móviles y la “prueba de Mann Kendall”, combinada con la “pendiente de Sen”.
Para realizar este trabajo se utilizó una red de estaciones de pluviómetros que cumple con los parámetros del diseño realizado para el país en 1976, incluidas en el Sistema de Vigilancia de la Sequía que administra en Centro del Clima (CENCLIM) del INSMET. Se construyeron series de precipitación anuales y estacionales a escala de país y de las regiones occidental, central y oriental. En el caso de las anuales, para los 90 años comprendidos entre 1931 y 2020 y para las estacionales entre 1961-2020. Para componer las series anuales de 90 años se empleó la regresión lineal entre las series preparadas por Rodríguez (2005) y los datos observados entre los años 1961 al 2020 en la red de estaciones utilizada en el presente estudio; para lo que se impuso como restricción que el coeficiente de correlación fuera superior 0.90, con errores de estimación por debajo al 5 % (el error máximo obtenido fue de 3.5%). Aunque la calidad de los datos y de las series fue analizada por las fuentes de donde se obtuvieron (INRH y CENCLIM), para hacer este trabajo se comprobó la homogeneidad y aleatoriedad de las series, mediante las pruebas de “Helmert” (Campos-Aranda, 1992) y “Spearman” (Campos-Aranda, 2023).
Considerando la temprana observación de Trusov et. al. (1979) sobre el papel de los factores meteorológicos, climáticos y de otro tipo en la lluvia, y el nivel actual de conocimientos, se evaluó la relación estadística entre la lluvia y los índices climáticos “El Niño Oscilación del Sur” (ENOS); la “Oscilación del Atlántico Norte” (NAO) y los “Huracanes” (HUR); utilizando valores estacionales, anuales e hiperanuales. Como hipótesis, en un balance estacional y anual para períodos prolongados de tiempo (más de 10 años), debe esperarse que la relación entre la lluvia y los índices climáticos, muestre el predominio de la influencia de los índices según el rol que le corresponde en función de su intensidad.
El estado de estos procesos de teleconexión y de los huracanes, establece un “fondo climático” que puede influir directamente en la lluvia, sin dejar de reconocer que otros factores, bajo determinadas condiciones, consiguen inhibir o incrementar la conducta esperada de la variable que se analiza, con independencia del estado de los índices aquí trabajados. En última instancia, el régimen de la lluvia es multicausal y para su correcta interpretación se requiere de un estudio pormenorizado de su comportamiento en el tiempo, que tenga en cuenta como se combinan todos los factores que en ello influye. Lo anterior tiene valor para la interpretación con fines aplicados de las normas de períodos dados.
El ENOS se trabajó con la serie del “Servicio Meteorológico de Australia”; la NAO con la serie de la “Oficina Nacional de Administración Oceánica y Atmosférica de los Estados Unidos de América” (NOAA) y para los huracanes se utilizó el archivo internacional de trayectorias (IBTrACS), disponible en https://www.ncei.noaa.gov/data/international-best-track-archive-for-climate-stewardship-ibtracs/v04r00/access/csv/). La relación entre la lluvia y los índices climáticos se realizó para los intervalos de tiempo siguientes: (a) estacional; (b) anual; (c) períodos seleccionados por la tendencia de la precipitación y (d) promedios móviles de 5, 10, 20 y 30 años.
La influencia de los índices climáticos en la precipitación en los intervalos antes indicados se manifestó primordialmente de forma combinada. La caracterización hecha en este trabajo a escala hiperanual y estacional, contrariamente al habitual uso por períodos mensuales y trimestrales, son atribuciones estadísticas y no físicas; y se espera que, en períodos extensos, sea reflejado adecuadamente el rol que, con respecto a la variable analizada, se le atribuye a cada índice.
Resultados y discusión
Caracterización de la lluvia: estadígrafos, variabilidad y tendencias
La Tabla 2 contiene los parámetros estadísticos de las series 1931-2020 para Cuba y sus regiones. Basado en éstos, lo más significativo del comportamiento de la lluvia es lo siguiente:
Serie Cuba: tiene un Cv bajo (Cv = 0.11), una asimetría negativa moderada (Cs = -0.38) y una relación Cs/Cv = -3.45; lo que implica que la distribución de los valores está sesgada hacia los extremos mínimos, aunque el Kurtosis (k = -0.18) refleja que en esta serie el papel de los extremos no es significativo.
Serie Región Occidental: su Cv moderado (Cv = 0.16) denota que existe una mayor dispersión en los valores; la asimetría es la más baja entre las series que se presentan (Cs = 0.12) y la relación Cs/Cv = 0.75 indica un ligero sesgo positivo en la distribución de los valores; el valor del Kurtosis (k = -0.62) refleja que tampoco los extremos son relevantes.
Serie Región Central: presenta un Cv moderado (Cv = 0.16), la asimetría es relativamente alta (Cs = 0.33), la relación Cs/Cv = 2.06 implica un sesgo positivo en la distribución de los valores, pero sin que los extremos sean importantes, atendiendo al valor del Kurtosis (k = 0.06).
Serie Región Oriental: tiene un Cv bajo (Cv = 0.14) y asimetría alta (Cs = 0.94), lo que determina que la relación Cs/Cv = 6.74 demuestre un sesgo muy alto en la distribución, por la influencia notable de los extremos máximos según confirma el Kurtosis (K = 4.21)
Lo antes mencionado se aprecia gráficamente en la Figura 2, destacándose que, en la región Oriental, la amplitud de los registros enmarcados por los cuartiles 25 y 75% es mayor, con un sesgo más visible hacia los valores positivos.


Para caracterizar las tendencias en las series se utilizaron las pruebas de la pendiente Sen y de Mann-Kendal. La pendiente de Sen se escogió por su robustez, debido a que con ella se estima la tendencia general sin una influencia relevante de valores atípicos. Mann Kendall se aplicó para las series anuales y de medias móviles, con éstas últimas se eliminó la estacionalidad en las series, para representar mejor la posible existencia de tendencias de largo plazo, que pueden ser consecuencia de procesos climáticos que se manifiestan en períodos de tiempo relativamente extensos, como pueden ser los índices de teleconexión (Lapinel et. al., 2006) y también porque se ha demostrado que cuando existe correlación serial de órdenes pequeños, la prueba de Mann Kendall suele mostrar tendencias significativas que no son reales (Campos-Aranda, 2023).
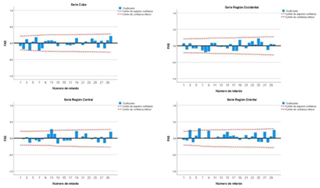
La estacionalidad provoca tendencias de corto plazo, debido a fenómenos que se producen con una frecuencia periódica, como los huracanes, los procesos de sequía y la influencia directa de índices climáticos. En este sentido, la autocorrelación serial muestra que, a nivel de país, existen dependencias en períodos de 4 y 7 años y, a nivel regional, en región Central de 11 años, región Oriental de 3 y 7 años y no se registran dependencias internas en la región Occidental (Figura 3).

Los resultados del estudio de la tendencia utilizando la pendiente de Sen están contenidos en la Tabla 3, en la cual los valores significativos para el intervalo de confianza del 95% se han resaltado en rojo. En general, en las series anuales y de medias móviles de 5 años la tendencia no es significativa y si lo es para las series de medias móviles de 10 y 30 años. Pero se distinguen las regiones occidental y oriental; en el primer caso no se verifican salidas significativas en ninguna de las series que representan a este territorio y, en el segundo caso, las tendencias son significativas en todas las series. La Tabla 4, con los resultados de la prueba de Mann Kendall corrobora lo analizado con la prueba de Sen.


Relación precipitación - índices climáticos
La relación del ENOS y la NAO con la lluvia ha sido discutida ampliamente. Jury et. al. (2007), basados en el régimen de la lluvia, definieron cuatro subregiones en el Caribe donde la influencia del ENOS tiene distintos niveles de significación. En esta regionalización, Cuba quedó comprendida en dos zonas, una que abarca a las regiones occidental y central vinculadas con el noroeste de Las Bahamas y la otra incluye a la región Oriental asociada al noreste de Las Bahamas y con Jamaica.
Los mencionados autores indicaron que en el noroeste del Caribe (zona 1) las precipitaciones de principios de verano aumentan bajo condiciones de “El Niño” y que la zona 2 está menos influenciada por los predictores globales y tienen un carácter regional. Por otra parte, al referirse a la NAO, señalaron que su influencia es débil en las zonas en las que inscribe al territorio cubano y que se observa una mejor relación en el Caribe suroriental. Por su parte, el CENCLIM define que habitualmente el evento ENOS influye con déficits de las precipitaciones en los meses comprendidos entre julio y octubre; y que la mayor influencia de este evento se produce en el período noviembre-abril, principalmente entre enero y marzo, con un régimen más lluvioso que lo normal y también en ocasiones más tormentoso. Al mismo tiempo, menciona que el ENOS influye en la temporada ciclónica del océano Atlántico, disminuyendo la frecuencia de formación de huracanes. No obstante, este Centro aclara que la magnitud del impacto que ocasiona el ENOS depende en gran medida de la intensidad que llegue a alcanzar (Fonseca et. al., 2024).
La correlación múltiple entre los valores de lluvia y los índices climáticos utilizados en este trabajo, refleja niveles de dependencia elevados para las series de medias móviles superiores a 20 años, lo que corrobora lo dicho anteriormente sobre la influencia de procesos que se manifiestan en escalas de tiempo grandes y, a la vez, le resta importancia a el nivel de significación encontrado para algunas de las series de este tipo inferiores a 10 años. La Tabla 5 contiene los coeficientes de correlación múltiple y de determinación para: (a) serie del 1931- 2020, (b) series de medias móviles de 20 y 30 años y (c) períodos de referencia sugeridos por la OMM (2007). Los coeficientes de correlación de las series cronológicas enmarcadas en un período predeterminado son bajos y no significativos. Estos resultados indican que las correlaciones obtenidas en las series de medias móviles reflejan una variabilidad interanual de largo plazo que no es capturada por las series cronológicas de 30 años prestablecidas, debido a que, en la determinación de sus límites, no deben haber existido consideraciones físicas y, por tanto, no reflejan adecuadamente la influencia de ciertos procesos climáticos.

Influencia en las normas
Por la disponibilidad de datos mensuales, este análisis se hace con la serie del período 1961-2020. La Tabla 6 compara las normas mensuales, trimestrales y estacionales de la lluvia con las de los meses con influencia de ENOS moderados y fuertes. Durante el predominio de la fase positiva, en el bimestre mayo-junio y de enero a abril predominaron déficit de lluvia y entre julio-diciembre la lluvia rebasó la norma; mientras que, en la fase negativa, en los meses comprendidos entre junio-diciembre y en mayo, la norma fue superada, quedando por debajo de ésta de junio a noviembre. Visto integralmente el ENOS, sin diferenciar las fases, la norma fue rebasada en mayo, julio, septiembre y en el período noviembre-febrero.
La Figura 4 representa la frecuencia en que el promedio de la lluvia en los meses bajo la influencia del ENOS quedó por encima y por debajo de las normas mensuales del período 1961-2020, comparado con las anomalías entre los promedios de los meses afectados por este fenómeno y la norma del periodo. Se observa una clara relación anomalías positivas con el predominio de altas frecuencias de valores por encima de la norma y viceversa, en ambas fases del ENOS. Existe correspondencia entre los déficit y excesos de lluvia con el establecimiento de ENOS moderados y fuertes.


En cuanto a la NAO, no se aprecia una clara relación estadística a nivel mensual; pero, vista a través de los valores hiperanuales, se puede inferir un vínculo entre este índice y las anomalías de la lluvia anual y estacional. Con el incremento de la influencia positiva de la NAO se manifiesta una disminución de la precipitación anual y un aumento cuando el índice es negativo (Tabla 7). Estacionalmente, la relación antes indicada se revela mejor en los meses del período poco lluvioso, donde, con el incremento del índice, disminuye la precipitación y con su reducción aumenta. Sin embargo, en el período lluvioso esta vinculación se comporta de manera contraria (Tabla 8).


La Tabla 9 resume la relación entre los índices y el por ciento de años en los que se supera la norma del período 1931-2020. En el caso de la estadística de huracanes, con la mencionada base de datos “IBTrACS”, se contabilizaron todos los organismos ciclónicos que transitaron cercanos a Cuba, pudiendo influir en el comportamiento de la lluvia, sin que necesariamente hayan afectado directamente al país. Desde el punto de vista de la influencia individual de cada índice (Tabla 10), se observa que, en el caso de excesos respecto a la norma, el ENOS y los huracanes tienen mayor influencia, con un peso general superior al 40% y, cuando no se alcanza la norma, el mayor peso lo tiene la NAO y la baja actividad ciclónica en más del 70% de los casos. La Tabla 11 resume la influencia del ENOS y la NAO en las normas estacionales, mediante las anomalías positivas y negativas de la precipitación y el por ciento que representa del total de períodos estacionales de la serie 1961-2020. En el caso del ENOS, como se mencionó en el análisis mensual, la precipitación disminuye durante los meses del período poco lluvioso cuando predomina “La Niña” y en el período lluvioso cuando se establece “El Niño”, mientras que la variable se incrementa durante la fase positiva en los meses poco lluviosos y en la fase negativa en los lluviosos.



En la Tabla 12 se comparan los valores de lluvias determinados como referencia para Cuba y sus regiones con los obtenidos en este estudio. La diferencia entre las cifras comparadas no es significativa porque, exceptuando la región Occidental, en ninguno de los casos es mayor del 5% y, en la mencionada región, supera este umbral en menos del 0.3%, por lo cual es aceptable; aunque debe de tenerse en cuenta que estos valores promedios fueron calculados aritméticamente, y que pudiera haber una diferencia mayor si se estimaran mediante el método isoyético. Por las razones antes expuestas estos valores no pueden analizarse comparativamente; sin dejar de reconocer que el mapa isoyético que representa el período 1961-2000 (Rodríguez, 2005) puede ser considerado, dado que en esos años la cobertura y disponibilidad de datos es satisfactoria.
Por supuesto que los resultados que presenta este artículo requieren de un análisis más riguroso, como parte de un proyecto, para precisar las normas expuestas; el principal valor de este trabajo es conceptual y metodológico. Un valor añadido que tiene este resultado, es que todas las normas de calculan con una misma red con una cobertura que satisface los parámetros de diseños establecidos para Cuba en 1976; aunque dado los cambios observados las situaciones meteorológicas que producen la lluvia en Cuba, es conveniente también revisar los parámetros de diseño de la red pluviométrica nacional.

Conclusiones
El cálculo de las normas de lluvia es un complejo problema, dada la cantidad de elementos atmosféricos y físico geográficos que intervienen en su comportamiento, y las exigencias a tener en cuenta con la cobertura de las redes de pluviómetros, disponibilidad de datos y longitud de las series cronológicas. Aunque se continúa recomendando el uso de períodos de 30 años para estimar las normas, también se reconoce que esta extensión puede no ser suficiente debido a que los extremos pueden no ser bien representados (OMM; 2017). Si, además, se reflexiona que, como sucedió en el período 1961-1990 en Cuba, la influencia de los procesos climáticos de teleconexión determinó la prevalencia de condiciones de déficit de lluvia, entonces también para seleccionar un período como representativo hay que incorporar el rol de los índices climáticos que tienen estrecha relación con el comportamiento de la lluvia, de la forma realizada en este trabajo.
Aunque con una visión limitada, porque no se han valorado todos los factores que intervienen en el comportamiento de la lluvia, el análisis físico estadístico que muestra este artículo, ofrece un enfoque conceptual y metodológico para la caracterización de la lluvia y, en particular, para las decisiones sobre la representatividad de las normas con fines aplicados. De manera general con este trabajo se puede concluir los siguiente:
Los estadígrafos de las series denotan un comportamiento regional diferenciado, que también se manifiesta en las tendencias y en la influencia de los índices climáticos en el comportamiento de la lluvia. Llama la atención que la serie que representa a la región Occidental no tiene sesgos ni tendencias significativas, mientras que, contrariamente, en las regiones central y oriental sucede lo contrario, de manera más evidente en el oriente del país. Los extremos tienen un peso que se evidencia claramente en las series cronológicas. La frecuencia de valores superiores al cuartil 3 e inferiores al cuartil 1 es relativamente elevada y la probabilidad de las láminas correspondientes a dichos cuartiles es alta.
El estudio de la tendencia demostró que, al eliminar la estacionalidad, se manifiestan procesos de largo plazo, que están relacionado con los índices seleccionados para este trabajo, mientras que, a corto plazo, la estacionalidad puede encubrir a estos procesos climáticos. Las pruebas de Mann Kendall aplicadas a las series anuales no muestran tendencias significativas y, al remover la estacionalidad, todas manifiestan tendencias para los períodos superiores a 10 años, menos en la región Occidental. La presencia de estacionalidad en las series se corresponde con el resultado de la autocorrelación, que es significativa para períodos entre 5 y 10 años. El análisis conjunto de las pruebas de Mann Kendall y de Autocorrelación confirma lo antes expresado.
La hipótesis de que en las series de períodos extensos se refleja adecuadamente el rol que se le atribuye a los índices climáticos quedó demostrada por los resultados alcanzados. Al remover la estacionalidad en las series se constató que, exceptuando nuevamente al occidente del país, los coeficientes de correlación múltiples y de determinación entre la lluvia y los índices climáticos son altos. Del mismo modo, la correspondencia entre las normas y el rol de las fases del ENOS, la NAO y de los huracanes se corresponde con lo que ha sido descrito para la región geográfica donde se ubica Cuba.
Se demuestra la importancia de realizar este tipo de análisis para la determinación de un período de referencia o una norma. Por ejemplo, el período 1961-1990, que ha sido ampliamente utilizado en los estudios de cambio climático, predominaron condiciones climáticas que propiciaron un déficit de precipitación, lo que se reflejará en cualquier aplicación que se haga del comportamiento de la lluvia en ese período. Es recomendable usar un período de referencia que no esté sesgado por eventos como los que predominaron en estos años.
En la práctica nacional, la determinación de valores de referencia de precipitación se realiza con procedimientos estadísticos que garantizan la calidad de los datos y de los resultados; y para ello se procura contar con una red de pluviómetros bien distribuida y con una densidad de equipos adecuada. En este artículo se demuestra como la relación entre la precipitación y los índices climáticos ENOS, NAO y Huracanes, también otros, debe ser incluida para lograr un período representativo del comportamiento de la lluvia. Es importante resaltar que, de no tenerse en cuenta el escenario climático, pudiera significar que se asuman líneas base o normas de referencia no conveniente para la caracterización climática y para aplicaciones vinculadas con la seguridad hidrológica y la gestión del agua.
Referencias
Campos Aranda. (1992). Procesos del Ciclo Hidrológico. Universidad Autónoma de San Luis de Potosí. Segunda impresión.
Campos Aranda. (2023). Temas recientes de análisis de frecuencias hidrológico. Colección investigación. Instituto Mexicano de Tecnología del Agua. ISBN 978-607-8629-27-5. 429 p.
Chamberlin, T. W. (1940). Rainfall maps of Cuba. Monthly Weather Review, 68(1), 4-10. https://journals.ametsoc.org/downloadpdf/view/journals/mwre/68/1/1520-0493_1940_068_0004_rmoc_2_0_co_2.pdf
Fonseca Rivera, C., García Hernández, A., Velázquez Zaldívar, B., de la Maza Santana, D. G., Martínez Álvarez, M., González García, I., Cutié Cancino, V., Vázquez Montenegro, R., Pérez Suárez, R., Mitrani Arenal, I., Hidalgo Mayo, A., Cabrales Infante, J., Leyva Pit, L., & González Fraguela, E. (2024). Estado del Clima en Cuba 2023. Resumen ampliado. Revista Cubana de Meteorología, 30(1). http://rcm.insmet.cu/index.php/rcm/article/view/848
Foscue, E. J. .(1928). Rainfall maps of Cuba. Monthly Weather Review, 56(5), 170-173.
Gagua, G., Zarembo, S., & Izquierdo, A. (1976). Sobre el nuevo mapa isoyético de Cuba. Voluntad Hidráulica, 37, 35-41.
Huerta, J y N. Fernández. (1976). Diseño de la Red Pluviométrica de Cuba. Instituto de Hidroeconomía, La Habana, Cuba.
Izquierdo, A. (1989). Nuevo Atlas Nacional de Cuba. Instituto de Geografía, Academia de Ciencias de Cuba. ISBN 84-7919-007-4
Jury, M., Malmgren, B. A., y Winter, A. (2007). Subregional precipitation climate of the Caribbean and relationships with ENSO and NAO. Journal of Geophysical Research: Atmospheres, 112(D16). https://agupubs.onlinelibrary.wiley.com/doi/10.1029/2006JD007541
Organización Meteorológica Mundial. (2007). Función de las normales climatológicas en un clima cambiante. OMM DT/No 1377. Ginebra, Suiza. https://library.wmo.int/records/item/59777-funcion-de-las-normales-climatologicas-en-un-clima-cambiante
Organización Meteorológica Mundial. (2017). Directrices de la Organización Meteorológica Mundial sobre el cálculo de las normales climáticas. OMM-N° 1203. Ginebra, Suiza. https://library.wmo.int/viewer/60338?medianame=1203_es_#page=1&viewer=picture&o=bookmark&n=0&q=
Orive Alba, A. (1954). Reconocimiento preliminar de 19 ríos y 2 ciénagas de Cuba. Banco de Fomento Agrícola e Industrial de Cuba, 1954, 156 p.
Planos, E.; O. Barros; A. Carrasco. (2000). Primera Comunicación Nacional a la Convención Marco de Nciones Unidas sobre Cambio Climático. Citma, 2001.
Rodríguez, F. F. (2005). Mapa Isoyético de Cuba 1960-2000. Memoria técnica del Instituto Nacional de Recursos Hidráulicos.
Trusov, I. I. (1967). Las precipitaciones en la isla de Cuba. Instituto Nacional de Recursos Hidráulicos. La Habana. Cuba.
Trusov, I. I., Izquierdo, A., & Díaz, L. R. (1978). Fluctuación de las precipitaciones durante muchos años en Cuba. Revista Ciencia de la Tierra y del Espacio. Editorial de la Academia de Ciencias de Cuba.
Author notes
*Autor para correspondencia: Eduardo O. Planos Gutiérrez. E-mail: e_planos@yahoo.com.
Conflict of interest declaration