Artigos
Algunos procesos matemáticos utilizados en la antigua civilización egipcia
Alguns processos matemáticos usados na antiga civilização egípcia
Some mathematical processes used in ancient Egyptian civilization
Algunos procesos matemáticos utilizados en la antigua civilización egipcia
Revista angolana de ciências, vol. 3, núm. 2, pp. 491-509, 2021
Universidade Rainha Njinga a Mbande

Recepción: 15 Agosto 2021
Aprobación: 15 Octubre 2021
Resumen: El objetivo de este documento es analizar algunos procedimientos matemáticos usados en la antigua civilización egipcia. Orienta su interés hacia la forma de adicionar utilizada como base fundamental para el cálculo de varias operaciones, y hacia la forma de determinar la expresión decimal correspondiente a una fracción dada. En este sentido, presta atención al uso de la adición como operación accesoria fundamental para el cálculo de multiplicaciones y divisiones. Igualmente, muestra algunos procedimientos utilizados para determinar la expresión decimal correspondiente a una fracción dada, auxiliados por la obtención de fracciones unitarias. Todo eso se concretó mediante una investigación documental apoyada en un análisis de contenido de una serie de aspectos teóricos-referenciales y procedimentales necesarios para justificar e ilustrar el proceso de obtención de resultados solicitados por los planteamientos de problemas que convocan al uso de las fracciones unitarias y al cálculo de resultados de multiplicaciones y divisiones. Entre los hallazgos se destaca que la Matemática del antiguo Egipto era básicamente aditiva y se apoyaba en la descomposición de cualquier número natural como la suma de múltiplos positivos de ., apuntando sus procederes al hecho de multiplicar o dividir por .. Igualmente, se determinó la posibilidad de obtener expresiones decimales construidas con formatos de fracciones unitarias cuyos numeradores siempre son iguales a . y sus denominadores son naturales mayores que .. Se concluye que estos y otros contenidos como el Sistema de Numeración Decimal han constituido relevantes aportaciones a los cimientos matemáticos actuales.
Palabras clave: Expresiones Decimales, Fracciones Unitarias, Matemática del antiguo Egipto.
Resumo: O objetivo deste documento é analisar alguns procedimentos matemáticos usados na antiga civilização egípcia. Ele direciona seu interesse para a forma de adição usada como base fundamental para o cálculo de várias operações, e para a forma de determinar a expressão decimal correspondente a uma determinada fração. Nesse sentido, preste atenção ao uso da adição como uma operação acessória fundamental para o cálculo de multiplicações e divisões. Da mesma forma, mostra alguns procedimentos usados para determinar a expressão decimal correspondente a uma determinada fração, auxiliada pela obtenção de frações unitárias. Tudo isso foi especificado por meio de uma pesquisa documental apoiada na análise de conteúdo de uma série de aspectos teórico-referenciais e procedimentais necessários para justificar e ilustrar o processo de obtenção dos resultados solicitados pelos enunciados de problemas que requerem o uso de frações unitárias e frações. o cálculo de resultados de multiplicações e divisões. Dentre os achados, destaca-se que a Matemática do antigo Egito era basicamente aditiva e baseava-se na decomposição de qualquer número natural como a soma de múltiplos positivos de 2, apontando seus procedimentos para o fato de multiplicar ou dividir por 2. Da mesma forma, a possibilidade de obter expressões decimais construídas com formatos de fração unitária cujos numeradores são sempre iguais a 1 e seus denominadores naturais maiores que 1. Conclui-se que estes e outros conteúdos como o Sistema de Numeração Decimal têm constituído contribuições relevantes para os fundamentos matemáticos atuais.
Palavras-chave: Expressões Decimais, Frações Unitárias, Matemática do antigo Egito.
Abstract: The objective of this document is to analyze some mathematical procedures used in ancient Egyptian civilization. It directs its interest towards the form of addition used as the fundamental basis for the calculation of various operations, and towards the form of determining the decimal expression corresponding to a given fraction. In this sense, pay attention to the use of addition as a fundamental accessory operation for the calculation of multiplications and divisions. Likewise, it shows some procedures used to determine the decimal expression corresponding to a given fraction, aided by obtaining unit fractions. All this was specified through a documentary research supported by a content analysis of a series of theoretical-referential and procedural aspects necessary to justify and illustrate the process of obtaining results requested by the problem statements that call for the use of unit fractions and fractions. to the calculation of results of multiplications and divisions. Among the findings, it stands out that the Mathematics of ancient Egypt was basically additive and was based on the decomposition of any natural number as the sum of positive multiples of 2, pointing its procedures to the fact of multiplying or dividing by 2. Likewise, the possibility of obtaining decimal expressions built with unit fraction formats whose numerators are always equal to 1 and their denominators are natural greater than 1. It is concluded that these and other contents such as the Decimal Numbering System have constituted relevant contributions to the current mathematical foundations.
Keywords: Decimal Expressions, Unit Fractions, Ancient Egyptian Mathematics.
INTRODUCCIÓN
Este documento tiene como objetivo analizar algunos procesos matemáticos usados en la antigua civilización egipcia, orientando su atención hacia el uso de la adición como base fundamental para el cálculo de operaciones como la multiplicación y la división de números naturales. Igualmente, sesga su atención hacia la forma de determinar la expresión decimal correspondiente a una fracción dada, apoyando este proceso en fracciones unitarias.
En virtud de que esta temática tiene muchos ramales y requiere del abordaje de un buen número de especificidades, acepciones y nomenclaturas, se hizo necesario restringir la búsqueda solo desde una revisión de las operaciones básicas ya mencionados, advirtiendo que lo utilizado para el cálculo de multiplicaciones entre números naturales, también es útil para la determinación de divisiones entre naturales, con denominadores mayores que 1. También, se hace hincapié en el proceso de convertir una fracción propia hacia su correspondiente expresión decimal, pero siguiendo el modelo antiguo egipcio que solicita el uso de fracciones unitarias, tomando en cuenta que todos estos procesos tienen espacio no solo en la formación de docentes de Matemática, sino en otros ambientes escolares donde tenga sentido analizar otras maneras de resolver problemas y calcular operaciones por métodos no tradicionales que han servido para explorar la riqueza matemática con que cuenta la humanidad.
Dado que esa manera particular usada en esa civilización para determinar la expresión decimal que nos ocupa está estribada en el uso de fracciones unitarias, y eso difiere de los procedimientos comúnmente seguidos mediante el sistema numeración decimal (SND) actual, se considera pertinente abordar y detallar esa forma en que los antiguos egipcios encontraban dichas expresiones. Por tanto, en esta oportunidad, se ilustran tales procesos mediante algunos ejemplos básicos, destacando que aquel que conduce al uso de reparticiones equitativas se nutre de procedimientos seguidos en otros de talante multiplicativo, utilizando en ambos casos, como se observará más adelante, duplicidades de valores que aparecen en la correspondiente fila anterior, lo cual se detiene cuando una determinada cantidad supera a un referente indicado por los valores a multiplicar o a dividir.
ABORDAJE METODOLÓGICO
Para concretar todas esas pretensiones investigativas, esbozadas anteriormente, se realizó un estudio descriptivo que consiste, según Hernández Sampieri et al. (2010), “en describir fenómenos, situaciones, contextos y eventos” (p. 80). Por tanto, asume la descripción ejemplificada de algunos procesos matemáticos utilizados por la antigua civilización egipcia, destacando no solo aquellos guiados por el cálculo de algunas operaciones básicas entre números naturales, sino los utilizados para la determinación de expresiones decimales escritas mediante el uso de fracciones unitarias. Tal modalidad investigativa se apoyó en la técnica de análisis de contenido y aunque trata sobre textos donde se abordan procesos matemáticos centra su atención en el análisis cualitativo del asunto, asumiendo así lo indicado por Mayring (2000), citado en Cáceres (2003), en el sentido de gestar “una aproximación empírica, de análisis metodológicamente controlado de textos al interior de sus contextos de comunicación, siguiendo reglas analíticas de contenido y modelos paso a paso, sin cuantificación de por medio” (p. 56), norteando así lo interpretativo que hace el autor de los textos.
Lo anterior revela que la intención final estuvo orientada por el análisis e interpretación de la información textual divulgada en diversos documentos, previamente publicados por medios impresos o electrónicos, que versan sobre la Matemática del antiguo Egipto, aunque sesgando la mirada hacia una serie de escritos que abordan lo que tiene que ver con las fracciones unitarias y las operaciones de multiplicación y división de números naturales.
En vista de que todos esos procesos se gestan con apoyo de un sistema de numeración, se considera prudente establecer algunas especificaciones al respecto, sobre todo porque esta civilización egipcia fue protagonista de la creación de los primeros preceptos del sistema de numeración decimal.

EL SISTEMA DE NUMERACIÓN DECIMAL
Un sistema de numeración viene a estar conformado por un conjunto finito de elementos (símbolos) y reglas que indican cuáles números y cuáles operaciones son válidas, o no, en el sistema. Tales sistemas “surgen ante la necesidad de representar números con la menor cantidad posible de símbolos y de poder operar con dichos números de una manera sencilla y efectiva” (Alias Linares, 2017).
Esa necesidad de representación numérica ha sido responsable del hecho de contar, en este momento histórico, con una gran variedad de sistemas numéricos que pueden ser posicionales o no posicionales, siendo los primeros los que más se utilizan y se caracterizan por el hecho de que los dígitos asumen distintos valores, según la posición que ocupen en los números (Cespedes y Martínez-Padrón, 2012).
En el mundo occidental, se ha establecido que dichos sistemas poseen un elemento característico que los define y se le denomina Base, la cual informa sobre el orden de magnitud en que se ve incrementada cada una de las cifras sucesivas que componen el número; por tanto, está conformada por la cantidad de símbolos, distintos, utilizados para la representación de los números en dichos sistemas. Esta Base representa las unidades de un orden necesario para formar una unidad de orden inmediato superior y dependiendo del número de símbolos, existen varios sistemas posicionales y, entre los más conocidos y usados, actualmente, se encuentran el decimal y el binario.
El SND que se utiliza actualmente está profundamente enraizado en la cultura occidental y tiene la condición de ser posicional debido a que el valor que tiene una determinada cifra depende de la posición que ocupe en el número. Tal sistema posee una base de 10 dígitos diferentes con los que se puede representar o escribir cualquier cantidad mediante una combinación de los dígitos del 0 al 9, que pueden repetirse o no Igualmente, está asociado con una potencia de Base 10, número que coincide con la cantidad de dígitos diferentes del sistema. No obstante, existen otros sistemas, también denominados decimales, como el utilizado en el antiguo Egipto, pero éste era no posicional y poseía una configuración aditiva en sus rutinas (Sánchez, 2014).
Se tiene entendido que este sistema decimal egipcio, junto con otros referentes hindúes, han permitido indicar que nuestro SND actual es el indo-arábigo. A saber, se conoce que los hindúes ya habían alcanzado, hace unos 15 siglos, “unas técnicas operacionales casi tan sencillas y rápidas como las técnicas actuales” (Alias Linares, 2017). También, se ha conjeturado que fueron los árabes quienes hicieron contribuciones esenciales para que el sistema indo-arábigo fuera aceptado, definitivamente, en el mundo occidental.
Alias Linares (2017) sostiene que el sistema indo-arábigo surgió en la India hace unos 1500 años; por tanto, es relativamente reciente y despuntó ante la necesidad de abreviar la escritura de los números, haciendo uso de: (a) los nueve símbolos gráficos diferenciados y desvinculados de cualquier intuición visual: 1, 2, 3, 4, 5, 6, 7, 8, y 9, tomados de la India; (b) el principio posicional, tomado de Babilonia, Año 1800 a.C.; y el cero que señala la ausencia de las unidades de un cierto orden (Alias Linares, 2017), y en su origen y establecimiento en la categoría de número están involucradas varias culturas (Fernández, 2015), agregando Magaña (1990) que esta abstracción fue descubierta, independientemente, por la maya y por la hindú, pero con una diferencia de unos 600 años a favor de la primera.
OTEANDO PARTICULARIDADES MATEMÁTICAS DEL ANTIGUO MUNDO EGIPCIO
Las premisas que anteceden invitan a revisar algunos aspectos relacionados con las matemáticas utilizadas por algunas civilizaciones, antiguas, como las egipcias, dado que las mismas contribuyeron a la conformación de preceptos que forman parte de la esencia de la matemática actual que, por cierto, hay quienes aseguran que sigue el modelo llamado eurocentrista y goza de evolución permanente (D. Jiménez, comunicación personal, 15 de julio de 2020) debido a los cambios progresivos que, día a día, registra esta disciplina sin poder desafiliarse de las nociones generales heredadas de las matemáticas consideradas como antiguas.
Vale decir, también, que cuando la antigua Matemática egipcia se fundió con las griegas y con las babilónicas, dieron lugar y nutrieron a las helénicas o griegas (las del periodo siguiente al de Alejandro Magno), las cuales lograron ser mucho más avanzadas que sus progenitoras (Miguel, s.f.). En consecuencia, fueron relevantes para la historia de la Matemática (Ruiz, 2002).
Tales consideraciones involucraron procederes matemáticos que, de seguro, dieron paso al razonamiento deductivo donde, usando la lógica, derivaban conclusiones y teoremas a partir de definiciones y axiomas preestablecidos, basta ver al geómetra Euclides (Siglo III a.C.) quien tuvo mucha actividad matemática en el antiguo Egipto, aunque era griego (Ruíz, 2002). Por cierto, el trabajo publicado por Euclides, mediante su obra Los Elementos, sigue siendo muy famosa, encontrándose allí lo referido al su método axiomático sabido de pleno de rigor, el cual comandó a la geometría y a otras ciencias por más de 20 siglos (Vega, 1991), aunque eso no priva para seguir reconociendo su magnificencia y bondades que aún llenan a muchas programaciones escolares actuales.
En todo caso, por esa época ya se contaba con dos tipos de razonamiento, inductivo y deductivo, así como se han reportado muchos otros procesos tanto para el cálculo de distancias, áreas, volúmenes o medias; como para la determinación de soluciones de ecuaciones cuadráticas, incluyendo, también el estudio de los números irracionales, la suma de series infinitas, el estudio de las cónicas o el uso de demostraciones de teoremas, como el de Pitágoras. Según Ruiz (2002), muchas de estas prácticas matemáticas estuvieron relacionadas con la propiedad de la tierra, transacciones comerciales, edificaciones y otros asuntos concomitantes.
Puede observarse que esa muestra de contribuciones y cimientos que dio la Matemática antigua a la actual, tanto en el ámbito de la geometría como del álgebra, solo por nombrar algunas ramas de la Matemática, sigue en constante evolución al compararse, por ejemplo, con las matemáticas predecesoras como la del antiguo Egipto.

Ruiz (2002) sostiene que, aunque se tienen escasas evidencias para dar una descripción precisa de la naturaleza y los límites de las matemáticas de la antigua civilización egipcia puesto la misma se encuentra en escasos y frágiles papiros como el de Moscú (1850 años a.C.) y el de Rhind (1650 años a.C), se puede decir que estas matemáticas no trascendieron los “límites prácticos y la evidencia empírica en sus construcciones teóricas” (p. 17). También acota que las Matemáticas que aparecen en tales papiros ya eran conocidas 3500 años a. C.
Vale destacar que la Matemática practicada en el antiguo Egipto estaba “basada en un sistema decimal de numeración con signos especiales para cada unidad decimal mayor” (Ruiz, 2002, p. 19), siguiendo este principio como el romano. Sobre esta base, desarrollaron una aritmética de un carácter predominantemente aditivo, reduciendo, por ejemplo, toda multiplicación a sumas reiterativas.
Para ilustrar la última aseveración, se presenta el siguiente proceso deducido de la multiplicación de a y b, siendo a y b dos números naturales mayores que 1.
| 1 | b |
| 2 | b1 = 2b |
| 4 | b2 = 2 b1, es decir: b2 = 4 b |
| 8 | b3 = 2 b2, es decir: b3 = 8 b |
| 16 | b4 = 2 b3, es decir: b4 = 16 b |
| . | |
| . | |
| . | |
| 2j | bj = 2 bj - 1 , es decir: bj = 2j b |
| 4j | Detener si 4j > a |
Se describe, a continuación, la aplicación del proceso anterior mediante el siguiente ejemplo:
Ejemplo 1:
Calcular el área del siguiente terreno de forma rectangular

Solución:
Sabiendo que el terreno tiene forma rectangular y nos indican que la base mayor mide 45 m y la base menor mide 24 m, entonces, su área se obtiene mediante el producto de la medida de los dos lados contiguos del rectángulo, es decir: A = 45 m x 24 m.
Siguiendo el proceso previamente señalado para calcular el producto indicado: 45 x 24, donde a = 45 y b = 24, se escribe una tabla de dos columnas por f filas (ver Tabla 1), colocando un 1 en la primera fila, primera columna y 24 en la primera fila, segunda columna, pudiendo ser al contrario dada la conmutatividad de la multiplicación. Establecida esta primera fila, se construye la segunda que se obtiene duplicando cada valor de la fila anterior, estando pendiente que esa duplicación se detiene al momento en que se obtiene un valor en la primera columna que sea mayor que 45, basta observar lo que ocurre en la Tabla 2.
| 1 | 24 (segundo factor) |
| 2 | 48 |
| 4 | 96 |
| 8 | 192 |
| 16 | 384 |
| 32 | 768 |
| 64 | 1536 detener ya que 64 > 45 (primer factor): se elimina esta última fila |
Una vez detenido el proceso de duplicidad, el número 45 debe expresarse mediante la suma de aquellos números que aparecen en la primera columna cuya suma sea igual a él. Esos números son: 32; 8; 4 y 1. Por tanto:

Finalmente, el resultado de 45 x 24 será la suma de los números de la segunda columna que están en la misma fila que aquellos que sumados dan 45; es decir:

Por lo que el área de ese terreno rectangular mide 1080 m2
Se desarrolla, ahora, un nuevo ejemplo, pero de una división entre dos números naturales, advirtiendo que el método a emplear se basa en el ya observado en la multiplicación recién calculada, pero haciendo acotaciones propias de la división.
Ejemplo 2:
Se tienen 45 Hectáreas (ha) de terreno que deben ser repartidas, equitativamente, entre 7 agricultores, ¿es posible que esta repartición sea en partes iguales? De ser posible, ¿cuántas ha le corresponden a cada uno?
Solución
En primera instancia, se recuerda que si en una división, D es el dividendo, d es el divisor, c el cociente y r el residuo, todos ellos números naturales, entonces, de acuerdo con el algoritmo de la división, se cumple lo siguiente:

Como en este caso se conocen los valores de D y d, es necesario determinar los valores de c y r, hasta encontrar que: 45 = 7.c + r
Antes de utilizar el procedimiento de la multiplicación anterior, previo se fija el divisor en la primera fila, primera columna y en la primera fila, segunda columna se fija un 1 y, desde allí comienzan las duplicaciones del proceso previamente utilizado, pero ahora se debe detener cuando en la primera columna aparezca un primer valor que supere al dividendo. Cuando eso ocurra, se elimina la fila correspondiente a ese valor, según se observa en la Tabla 3.
| 7 | 1 |
| 14 | 2 |
| 28 | 4 |
| 56 | 8 : Detener, ya que 56 > 45 y se elimina esta fila |
Ahora, se debe buscar, en la primera columna, los números cuya suma sea igual a 45 o el valor más cercano a él, pero por defecto. En este caso queda excluido el 7 porque la suma de éste con 14 y 28 excede a 45, entonces los números buscados son 14 y 28, teniendo que 14 + 28 = 42 y 42 < 45. Pero a cada lado de esos valores, en la segunda columna, están el 2 y el 4, respectivamente. Para este caso, hacemos c = 2 + 4, entonces c = 6; pero 45 - 42 = 3, luego r = 3,
Finalmente, se puede verificar que: 
Tomando en cuenta todos esos procesos, se puede avizorar que la aritmética generada en el antiguo Egipto tiene a la adición como la base fundamental de ese particular conocimiento matemático, en virtud de que tanto la multiplicación como la división se apoyan en ella (Reimer, 2014). Además, el sustento operacional de ese proceso suele circunscribirse al hecho de multiplicar (o dividir) por 2 a los números que se colocan en las celdas que conforman la primera fila de una matriz, la cual contiene f filas y 2 columnas.
Retomando el hecho de que
e puede aseverar que en teoría, este resultado responde a una repartición en partes iguales, pero en la práctica es imposible satisfacerla, por eso debe quedar expresa si se requiere conocer exactamente cuántas ha le corresponden a cada uno:
ha a cada agricultor.
No obstante, se ejercitan algunas aproximaciones tendentes a satisfacer una equidad en la práctica, usando para ello fracciones unitarias, en correspondencia con las utilizadas en el antiguo Egipto.
De antemano, se sabe que
se escribiría como
, donde f es la fracción que falta por repartir y está expresa de manera equitativa, por tanto
se escribiría como:

si es que eso posible encontrar una fracción unitaria
Siendo así:
expresión escrita en notación egipcia.
Antes de ir construyendo la expresión mediante el formato egipcio, se puede adelantar que
45 = 6,428571429… (resultado obtenido con una calculadora clásica), lo cual avizora un largo
Antes de ir construyendo la expresión mediante el formato egipcio, se puede adelantar que trecho a seguir, puesto que su cantidad de decimales es infinita y parece no tener una parte decimal que se repita. No obstante, usando otra calculadora más precisa, se puede obtener que delante de la coma vienen varios dígitos que se repiten, indefinidamente. Por tanto,

siendo 428571 el período que se repite en forma indefinida y que representa a un número decimal periódico puro. En consecuencia
. No obstante, las calculadoras actuales lo reportan como
pero esta última notación la vamos a obviar para no generar confusiones con la notación egipcia que se viene siguiendo
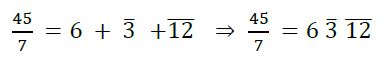
En resumen,
, teniendo garantía que a cada agricultor le corresponde 6 ha y algo más, pero ese algo será necesario precisarlo con una aproximación, por defecto, o con un criterio de truncado que siendo a seis decimales queda una expresión como la siguiente:

que no es más que una aproximación que está representada por la suma de un número entero (el 6) y, en este caso, seis fracciones diferentes, todas con denominadores diferentes.
Procedimientos análogos pueden permitir escribir aproximaciones de, por ejemplo, un
número irracional como: 3√3 = 1,4422495703. . ., pero truncando, a necesidad o criterio,
Procedimientos análogos pueden permitir escribir aproximaciones de, por ejemplo, un número irracional como:
al número de decimales que sean requeridos, por lo que el ajuste se hace en función de las necesidades mediante alguna expresión decimal limitada, aunque eso genere error, obviamente.
Retomando el problema planteado, ahora se encontrará la expresión decimal correspondiente a 6,428571, utilizando para ello el sistema antiguo egipcio, el cual exige el uso de fracciones unitarias (Reimer, 2014). A tal efecto, dicho autor utiliza el método conocido como pan rebanado, el cual es útil para determinar equivalentes a fracciones. En este caso, se utilizará, específicamente, para estipular un equivalente a la fracción 
De acuerdo con la fracción anterior, se tiene que hay repartir 3 ha entre 7 agricultores, lo cual se determinará siguiendo etapas, según lo especifica Reimer (2014) en sus ejemplos.
Etapa 1: Intentar repartir las 3 ha, de manera equitativa, entre los 7 agricultores

Como la división
no es exacta, se sugiere dividir cada hectárea en 2 partes iguales, dando como resultado 6 partes iguales, de
, cada parte, pero faltaría una fracción para satisfacer la posible repartición equitativa que es requerida en este problema, lo cual requiere una nueva partición gráfica donde todas las secciones rectangulares tengan igual área y abra espacio para la repartición deseada. De inmediato, se procede a dividir cada hectárea en 3 partes iguales, en vez de 2 cada una, dando como resultado 9 fracciones de
ha cada una.

Pero, si se le dauna de estas partes a cada agricultor sobran 2 partes de
ℎ𝑎 cada una; quedando, entonces,
ha que han de repartirse, equitativamente, entre los 7 agricultores.
Si se acuerda truncar este proceso al obtenerse ese primer decimal, el resultado escrito y apoyado en una fracción unitaria, sería el siguiente:

Por lo que a cada agricultor le correspondería
del terreno, quedando
ha sin repartirse
Etapa 2: Intentar repartir los
ha, de manera equitativa, entre los 7 agricultores
Se procede a intentar dividir ese residuo de terreno en 7 partes iguales, de manera que a cada agricultor le corresponda una nueva fracción igual de terreno. Siendo así, se hace una partición del terreno de tal manera que se obtenga una nueva parte igual para cada quien, por lo que la división se hace, al menos, en 8 partes iguales. Por tanto, al dividir esos
en 8 fracciones iguales, se obtienen porciones iguales de terreno de tamaño
cada una. Si se hace la repartición de
para cada uno, queda de nuevo una fracción sin poder repartir, cuyo tamaño es 

Si acordáramos truncar, solo hasta un segundo decimal, el resultado se escribiría de la siguiente manera:

Etapa 3: Intentar repartir los
, de manera equitativa, entre los 7 agricultores
De manera análoga, se divide la
restante y, después del proceder, queda libre 

Hasta ahora se tiene que: 
Este proceder se sigue hasta obtener el equivalente a la fracción deseada (6,428571) que tiene la forma
son fracciones unitarias a obtener 
Habiendo advertido una aproximación decimal, es segura la presencia de errores en esta repartición particular y, por ende, siempre sobrará una parte de terreno, cada vez más pequeña, luego de seguirse el rigor de una repartición equitativa. En todo caso, la presencia de fracciones unitarias, en estos procederes, resultan bien particulares y convocan la puesta en escena de varios procedimientos de interés para cuando se revisan los contenidos de fracciones y de división de fracciones en ambientes escolares.
CONCLUSIONES
Existen muchas evidencias que permiten indicar que la Matemática de la antigua civilización egipcia tiene importantes contribuciones en los cimientos matemáticos actuales (Sánchez, 2014), dado que su desarrollo, evolución y expansión fue vital y tiene un poder sustantivo y vigente en la Matemática de hoy, basta mencionar los aportes derivados del SND.
También, se puede indicar que es común encontrar muchos procederes matemáticos, rutinarios, donde puede notarse que la actitud ante de vida de los antiguos egipcios, los llevó a resolver los naturales problemas que les acontecieron en su vida real. Es muy probable que, con esa filosofía que dependió, en primera instancia, con lo que Pierce (1902, “La esencia de la Matemática”, párrafo 1) denominó “la ciencia que obtiene conclusiones necesarias", haya sido corregida por los estudiosos de filosofía de la Matemática, quienes luego la conciben como la “ciencia de las cantidades, es decir, de las formas que poseen cantidad” (párrafo 2).
Aunque Aristóteles sigue la línea del cuánto y del continuo, visto en su categoría de quantum y visionado como el objeto de la Matemática, la aseveración anterior es contrastable si se asume la visión de Euclides (325-265 a.C.), quien hizo saber que “una gran rama de la geometría no tiene nada que ver con medición alguna (salvo que utilice mediciones como un expediente demostrativo” (Pierce, 1902, “La esencia de la Matemática”, párrafo 2).
Tales acercamientos filosóficos invitan a seguir hurgando en la esencia de la Matemática cuya complejidad no siempre es fácil de establecer de manera concreta. No obstante, se puede declarar que “la mayoría de los resultados obtenidos en la época egipcia eran puramente experimentales y reflejaban soluciones a problemas surgidos de la vida real” (Berciano, s.f., p. 119).
Por tanto, en esa civilización egipcia era común arrostrar situaciones prácticas y verdaderas, matematizarlas y resolverlas mediante el uso de patrones matemáticos que se fueron construyendo al momento de resolver problemas sustentados en el uso de sistemas de numeración manifiestos, primero, mediante una escritura jeroglífica y, luego, mediante una escritura hierática y demótica (Ruiz, 2002.), lo que también sucedía con símbolos numéricos. Todo eso permitió resolver muchos problemas como los relacionados no solo con la arquitectura y el cálculo de distancias, superficies o volúmenes de pirámides, cilindros o esferas, por ejemplo, sino con otros aspectos más concretos que forman parte del mundo de la astronomía tales como aquellos relacionados con el calendario solar, y los relojes de sol (gnomos) y de agua (clepsidras), destacando que cuando requerían fraccionar objetos relacionados con el tiempo, las distancias, el volumen y otras entidades concomitantes acudían al uso de fracciones unitarias determinadas con apoyo del SND que, actualmente, impera en la comunidad occidental y el resto del mundo.
Finalmente, se destaca que la antigua civilización egipcia poseía una matemática primordialmente aditiva como base fundamental para el cálculo de varias operaciones, apuntalando la obtención de sus divisiones o sus multiplicaciones con procederes marcados por la adición como operación esencial. Igual se concluye que dicha operación también fue vital para determinar la expresión decimal correspondiente a una fracción dada. Cabe resaltar que a largo del documento se alimentó el hecho de que mucha de la matemática que se usa actualmente fundó sus bases en nociones manejadas por culturas que se han arraigado hasta la época, tal como ocurrió con la egipcia.
REFERENCIAS
Alias Linares, L. J. (febrero, 2017). El sistema de numeración indo-arábigo. Columna de la Academia, Diario La Verdad. https://www.um.es/acc/el-sistema-de-numeracion-indo- arabigo/
Berciano, A, (s.f.). Matemáticas en el antiguo Egipto. http://www.ehu.eus/ aba/div/paseo-06-07.pdf
Cáceres, P. (2003). Análisis cualitativo de contenido: una alternativa metodológica alcanzable. Psicoperspectivas, 2, 53-82
Cespedes, G., y Martínez-Padrón, O. J. (2012). La MatemáGica va a la escuela. Curiosidades matemáticas con un enfoque didáctico. Venezuela: Fondo Editorial Universidad Pedagógica Experimental Libertador.
Fernández, J. (2015). La historia del cero. El descubrimiento del cero y su origen. SOYMATEMÁTICAS.com. https://soymatematicas.com/la-historia-del-cero/
Hernández Sampieri, R., Fernández Collazo, C., & Baptista Lúcio, P. (2010). Metodología de la investigación. México: Mc Graw Hill Education
Magaña, L. (1990). Las matemáticas y los mayas. Ciencias, 19, 19-26. http://vinculacion.dgire.unam.mx/vinculacion-1/sitio_LCDC/PDF-LCDC/REVISTA-DE- CIENCIAS-MATEMATICAS/Doc24.pdf
Miguel, A. M. (s.f.). El ocaso de las Matemáticas helénicas. Las Matemáticas en Roma. (150 a.C. 150 d.C.). http://matematicas.uclm.es/ita-cr/web_matematicas/trabajos/3/3_ocaso_matematica_helena.pdf
Pierce, C. S. (1902). The Essence of Mathematics, cap. 3, Minute Logic, 228-243. En Newman, J. (1974). La forma del pensamiento matemático, Antología y notas, La esencia de la Matemática (Trad. M. Sacristán), pp. 30-46. Barcelona: Grijalbo. https://www.unav.es/gep/EssenceMathematics.html
Reimer, D. (2014). Count like an egyptian. Oxford: Princeton University Press.
Ruiz, A, (2002). Historia y filosofía de las Matemáticas. San José de Costa Rica: UNED Press.
Sánchez, A. (2014). Aprender las matemáticas egipcias, Amigos de la egiptología. www.egiptología.com
Vega, L. (1991). Introducción general. En M. Puertas (Trad.). Elementos de Euclides. Libros I-IV. pp. 8-184. España: Editorial Gredos.