Estudios
Recepción: 14 Octubre 2022
Aprobación: 03 Octubre 2023
Publicación: 28 Junio 2024
DOI: https://doi.org/10.5944/educxx1.35855
Abstract: Higher education has become a setting that increasingly demands hybrid learning models based on face-to-face and virtual methods. Concretely, this educational stage takes place during a complex period for the emerging adult, for which learning strategies must be developed in order to avoid academic stress. This study presents a quantitative, descriptive, ex post facto and cross-sectional design with a measurement in a single group. The objective was to contrast a structural equations model that integrates learning strategies, academic stress and multidimensional self-concept in a sample made up of 2736 university students [men = 33.8% (n=924); women = 66.2% (n=1812)] with a mean age of 23.33±5.77 years, using as main instruments the MLSQ-SF, AF-5 test and the academic stress at the university questionnaire. Statistical analysis was performed with IBM SPSS® v.23.0 and IBM Amos® v.23.0 software. Results show better developed learning strategies in virtual learning modalities. Critical thinking was configured as being more dependent on the development of learning strategies in face-to-face modalities, whilst studying habits were more strongly associated with the self-regulation of effort in online approaches. Further, motivation was a stronger determinant of critical thinking and the time spent studying when this modality was used. In conclusion, self-concept was negatively associated with stress, obtaining stronger regression weights when distance learning methods were used, thus suggesting it to be preventive in nature. It can be concluded that virtual approaches favour greater interdependence between learning strategies, time spent studying and motivation. This could decrease stress and favour academic performance in a social context that increasingly demands hybrid learning models.
Keywords: learning strategies, anxiety, motivation, self-concept, teaching methods, structural equation models.
Resumen: La educación superior se ha convertido en un escenario que demanda, cada vez más, modelos híbridos de aprendizaje basados en la enseñanza presencial y virtual. Concretamente, esta etapa educativa parte de un periodo de complejidad para el adulto emergente, el cual debe desarrollar estrategias de aprendizaje para evitar el estrés académico. Este estudio presenta un diseño cuantitativo, de carácter descriptivo, ex post facto y corte transversal con una medición en un único grupo. El objetivo fue contrastar un modelo de ecuaciones estructurales que integra estrategias de aprendizaje, estrés académico y autoconcepto multidimensional en una muestra constituida por 2736 estudiantes universitarios [hombres = 33.8% (n=924); mujeres = 66.2% (n=1812)] con una edad media de 23.33±5.77 años, empleando como instrumentos los test MLSQ-SF, AF-5 y la escala de estrés académico en la universidad. El análisis estadístico se realizó con el software IBM SPSS® v.23.0 e IBM Amos® v.23.0. Los resultados muestran un mayor desarrollo de estrategias de aprendizaje en las modalidades de enseñanza virtual. El pensamiento crítico se configuró como más dependiente del desarrollo de estrategias de aprendizaje en modalidades presenciales, mientras que los hábitos de estudio estuvieron más asociados con la autorregulación del esfuerzo en modalidades online. Además, la motivación fue más determinante para el pensamiento crítico y el tiempo de estudio en esta modalidad. Para finalizar, el autoconcepto se asoció negativamente con el estrés, obteniendo mayores pesos de regresión en las modalidades a distancia, revelando su carácter preventivo. Puede concluirse que las modalidades virtuales favorecen una mayor interdependencia de estrategias de aprendizaje, tiempo de estudio y motivación, lo cual podría disminuir el estrés y favorecer el desempeño académico en un contexto social que demanda, cada vez más, modelos híbridos de aprendizaje.
Palabras clave: estrategias de aprendizaje, ansiedad, motivación, autoconcepto, métodos de enseñanza, modelo de ecuaciones estructurales.
INTRODUCTION
The university period represents an academic stage during which young people undertake higher studies with the aim of achieving a qualification which will equip them with the professional skills needed to find work and insert themselves into the job market (Nice & Joseph, 2023; O´Connor, 2022). This stage is particularly complex given that the emerging adult begins to abandon the adolescent stage, is forced to take on significant roles implicit in adult life, and become autonomous and skilled in self-management. At the same time, they must also become self-sufficient financially, in many cases abandoning the family home (Chacón-Cuberos et al., 2021). Arnett (2016) defines this period as emerging adulthood, and is characterized by the exploration by the young person of their own identity, instability, egocentrism, the general feeling of being situated between two stages, and the exploration of possibilities. All of this, produces a situation that is somewhat unstable for the young adult. This can generate stress and interpersonal problems, with academic, personal and work-related difficulties being some of the strongest to emerge (Castro-Sánchez et al., 2022).
Given this perspective, different online teaching systems have emerged in the university context which seek to provide answers to the complex reality faced by university students (Crawford et al., 2020). Concretely, it is estimated that 15% of university students are registered on online teaching courses in the Spanish context. This perspective grows each year and will be even higher when new needs for virtual learning are considered, generated by the spread of COVID-19 and resultant paralysis of face-to-face teaching (Almarzooq et al., 2020; Crawford, 2020). These approaches bring into play new methods for following up on subject delivery and the development of the learning process. These include employing videoconference streaming systems, using platforms to register these systems and view them on a daily basis, continuous online evaluation systems, and virtual tutoring methods, amongst others (Broadbent & Poon, 2015; Yadegaridehkordi et al., 2019).
In response to this, attempts have been made to elaborate profiles for university students who undertake their studies whilst also developing their family and working life. Nevertheless, not all students adapt appropriately to these methodologies and resources and this profile may be associated with problematically high levels of stress and poor academic results (Pérez-Pérez et al., 2019). Therefore, it is necessary to study how virtual teachings affect the way of learning of university students. It is also important to know the type of learning strategies that they develop and how students manage academic stress situations during this process (Bruggeman et al., 2022).
LITERATURE REVIEW
Academic stress can be defined as tense and defensive responses which are generated when faced with situations linked to training and educational contexts (García-Ros et al., 2012). Concretely, a series of events and situations which take place during the general teaching-learning process and that all implicated individuals must overcome. In this way, in cases in which implicated agents -teachers and students- perceive these aforementioned situations as threatening, or they themselves perceive themselves to lack the ability to overcome the situation, perceptions will be generated about the implicated academic situation in which students see themselves as unable to deal with them (Teixeira et al., 2022).
As a response, academic stress will generate a series of physiological effects that are associated with wellbeing and even academic performance. This depends on two basic elements as academic stressors and students´ experiences (Castro-Sánchez et al., 2022). Amongst the first we find, adaptation of the student, evaluation methods, feelings of ambiguity in relation to the teaching-learning process and inability to take control. In fact, many of these elements will be associated with the teaching modality, being a modulating factor of stressors (Broadbent & Poon, 2015). In addition, students’ subjective experiences such as cognitive evaluations of stress, lived experiences, the capacity for emotional regulation or metacognitive strategies have an extremely strong influence (Nice & Joseph, 2023; Willis & Burnett, 2016). In this sense, Heo & Han (2018) highlight the importance of developing diverse strategies to prevent stressful academic situations. Within these, the development of learning strategies must take up a main position.
The present study focuses on learning strategies developed by Pintrich et al. (1993). These provide some of the main exponents in the educational context and within the development of strategies based on the constructivist paradigm. The present authors establish students as active information processors, with their beliefs and cognitions acting as mediators in their learning (El Refae et al., 2021; Kizilcec et al., 2017). In this way, Kizilcec et al. (2017) identify the importance of resource management, meta-cognition and cognition to the educational process, which will allow a greater academic performance and control adversity situations.
Pintrich et al. (1993) and Sabogal et al. (2011) indicate that two basic elements exist within learning processes. The first of these refers to learning strategies, within which we find the strategies of elaboration, organisation, self-regulation of effort and meta-cognition, critical thinking, and time spent studying. The second element relates to a motivational component, which is comprised of anxiety generated by the learning context, task value, and intrinsically and extrinsically orientated goals. In this line, Cho & Heron (2015) and Verde & Valero (2021) have shown that these elements are dependent on the teaching methodology. For this reason, any educational process must consider the different factors that can influence learning, such as the type of content, technological resources or the type of evaluation.
In this sense, diversity exists amongst recent studies which have examined the way in which learning strategies are developed in the university context, their implications depending on the study approach used and how they link to academic performance and wellbeing. In an experimental study, De la Fuente-Arias et al. (2018) demonstrated that students who presented greater mastery of cognitive learning strategies showed lower stress levels. Another example comes from a study conducted by Jones (2017) who approached motivational differences between students undertaking online and face-to-face courses. This author observed that students enrolled at distance-learning universities presented greater levels of interest, success, perceived usefulness and empowerment. Finally, we underline work conducted by Broadbent & Poon (2015). This work demonstrated through a systematic review that time management, meta-cognition, effort regulation and critical thinking predicted the grades achieved by students undertaking online learning. Nevertheless, these effects were slightly weaker than those undertaking face-to-face learning.
Thus, the present study poses the following objectives: (a) develop a theoretical model that allows knowing the mediating relationship between different learning strategies in higher education and their influence on stress and self-concept of university students as depedent variables; (b) validate this explanatory model using structural equations analysis, adjusting it until good fit indices will be obtained; (c) use multi-group analysis in the structural equation model in order to determine differences in the described variables using as a grouping variable the modality of teaching (virtual and face-to-face-). In this way, the following hypotheses are posed: (H1) Different learning strategies will be positively associated, with higher values being reported by university students enrolled on distance-learning courses; (H2) Self-concept will be positively associated with intrinsically oriented goals and inversely associated with anxiety, whilst stress will be inversely related with motivation and self-concept. Greater regression weights will be seen in students studying via distance-based approaches.
METHOD
Design and participants
The present study incorporates a non-experimental, quantitative, exploratory-descriptive, cross-sectional and ex post-facto design with measurements being taken from a single group. The population universe of the present work constitutes university students enrolled at Spanish universities during the 2017/2018 academic year, with a total of 1.289.233 students being registered to study university degrees. According to criteria established by Bartlett et al. (2001) and the population universe obtained, a total of 3.500 students were considered for inclusion with the aim of obtaining a representative sample. Finally, a final sample of 2.736 university students was obtained with self-reported ages of between 18 and 35 years old (M = 23.33; SD = 5.77). This sample was reached following application of inclusion and exclusion criteria [(a) participants must have registered for at least 60% of the credits that make up the academic course; (b) participants must not have already achieved more than 50% of these credits in the previous academic year] (Figure 1). With regards to representativeness, a final sampling error was obtained of 0.017, or, in other words, a margin of error of 1.7%, assuming 95% confidence intervals. The sample was distributed according to 66.2% (n=1.812) females and 33.8% (n=924) males. Participating students belonged to 19 Spanish universities, with these being distributed between 11 different autonomous communities, although in a non-homogenous way. Likewise, 66.6% (n=1822) of the sample was made up of social sciences students and 33.4% (n=914) were health sciences students. Similarly, it was found that 87.4% (n=2392) of participants were studying via face-to-face methods, whilst 12.6% (n=344) were doing so online. This shows a similar distribution to that seen to exist in the overall Spanish university context.

Instruments
The present study employed the following instruments:
Motivation and learning strategies questionnaire – short form (MLSQ-SF) which was validated by Pintrich et al. (1993) in its original version of 81 items. It was adapted into its Spanish version and a short 40-item version by Sabogal et al (2011). It comprises 40 questions that are rated according to a 5-point Likert scale (1 = never and 5 = always); e.g. “I push myself academically even when I don’t like what I do”. Items are grouped into 8 dimensions with the following distribution of items and reliability: task value [TV] (items 20, 26 and 39; α=0.506; ω=0.508), anxiety [ANX] (items 3, 12, 21 and 29; α=0.738; ω=0.702), elaboration strategies [E-S] (items 4, 5, 22, 24 and 25; α=0.702; ω=0.693), organisational strategies [O-S] (items 13, 14, 23 and 40; α=0.741; ω=0.733), critical thinking [CT-S] (items 1, 6 and 15; α=0.521; ω=0.514), self-regulation of meta-cognition [SM-S] (items 16, 30, 31, 32, 34, 35 and 36; α=0.759; ω=0.756), study habits and time [ST-S] (items 2, 8, 17, 18, 33 and 38; α=0.714; ω=0.714), self-regulation of effort [SE-S] (items 7, 9, 11, 19, 27 and 28; α=0.730; ω=0.724) and intrinsically oriented goals [IOG] (items 10 and 37; α=0.437; ω= Not available). This instrument obtained a global internal consistency value of α=0.883.
Evaluation scale of academic stress in university students (SASU) validated by García-Ros et al. (2012). This questionnaire rates academic stress levels through 21 items (e.g. “1. Sitting exams”) rated on a 5-point Likert scale (1 = not stressful at all; 5 = highly stressful). According to this instrument, stress is grouped into four dimensions, with these being: Academic obligations (questionnaire items 1, 5, 7, 9, 10, 14 and 15; α=0.829; ω=0.828), academic record and prospective future (items 16, 17, 18, 19, 20 y 21; α=0.770; ω=0.767), interpersonal problems (items 8, 12 and 13; α=0.753; ω=0.706), and expression and communication of one’s own ideas (ítems 2, 3 and 4; α=0.753; ω=0.724). Global internal consistency of the present instrument was acceptable with a value of α=0.889.
Self-concept form-5 (SCF-5) was elaborated by García & Musitu (2001). It is composed of 30 items (e.g. “1. I do good academic work”) which are rated via a 5-option Likert type scale, where 1 is “never” and 5 is “always”. According to this instrument, self-concept is grouped into five dimensions, with these being: Academic self-concept (items 1, 6, 11, 16, 21 and 26; α=0.824; ω=0.820), social self-concept (items 2, 7, 12, 17, 22 and 27; α=0.835; ω=0.828), emotional self-concept (items 3, 8, 13, 18, 23 and 28; α=0.816; ω=0.813), family self-concept (items 4, 9, 14, 19, 24 and 29; α=0.847; ω=0.851) and physical self-concept (ítems 5, 10, 15, 20, 25 and 30; α=0.793; ω=0.788). A study conducted by García & Musitu (1999) established a global reliability value determined through Cronbach’s alpha coefficient of α=0.810. This value is lower than that detected in the present research work (α=0.872).
Procedure
Firstly, it is important to indicate that all relevant permissions were requested. This process was carried out via an information pack developed by the Department of Musical, Artistic and Corporal Expression of the University of Jaen. This pack detailed the nature of the study alongside its aims, the research instruments to be used and the way in which data would be handled. It was stated that data would be handled confidentially, maintaining the anonymity of all participants. In addition, this document was used to obtain written informed consent from all study participants.
This document was given out to all study participants alongside the questionnaire. In this way, each potential participant was freely able to decide whether or not to participate after reading the enclosed information. In cases where an affirmative response was provided – and given that all participants were of adult age as they were registered at a university – we proceeded to administer all of the previously described scales. Time required to complete the questionnaire ranged between 10 and 15 minutes.
At this point, researchers proceeded to collect study data, counting on the participation of 19 Spanish universities, with these being a mixture of public and private institutions. Scale completion was performed throughout the months of March and April during the 2018/2019 academic year. All responses were provided online and via direct contact with the student. Instruments were administered through a digital survey, using the “Lime Survey” platform. Once survey completion was concluded, students were thanked for their participation and their scores were sent out to them via the same application. The aim of this was to provide a form of positive feedback.
Following this, researchers moved on to data handling. The first action was to eliminate all questionnaires which were incomplete, had incorrectly answered questions or lacked reliability due to random responding. Once this had been examined, the database was cleaned and transferred to the IBM SPSS® 22.0 (IBM Corp, Armonk, NY, USA) software package in order to create the data matrix. The review and transcription process was carried out at all times by the principal researcher with the aim of ensuring correct statistical handling, in addition to avoiding errors of omission or commission.
Finally, it is important to highlight that the present research work abides by the Declaration of Helsinki (2008 modification), in addition to national legislation for clinical trials (Royal Decree 223/2004 from the 6th of February) and biomedical research (Law 14/2007 from the 3rd of July). Likewise, rights of participants to confidentiality (Law 15/1999 of the 13th of December) were respected at all times.
Data analysis
The statistical packages IBM SPSS® 23.0 (IBM Corp, Armonk, NY, USA) and IBM AMOS® 23.0 (IBM Corp, Armonk, NY, USA) were used to analyse the data. Frequencies, means and correlations were employed for analysis of basic descriptive statistics and T-test for mean comparison. Normality of the data was checked by examining the kurtosis and asymmetry values for each questionnaire item, with values lower than 2 being required. Internal reliability of the instruments employed was evaluated according to the Cronbach alpha and McDonald’s Omega, with the reliability index being determined at 95%. Finally, the theoretical models were compared via structural equation analysis and multi-group analysis. To check the fit of the model, the following indices were used: Comparative Fit Index (CFI), Increased Fit Index (IFI) and Normalized Fit Index (NFI), which must obtain values greater than 0.90 to present an acceptable fit. The Root Mean of the Squared Error of Approximation (RMSEA) is also used, which will determine acceptable adjustment values below 0.08.
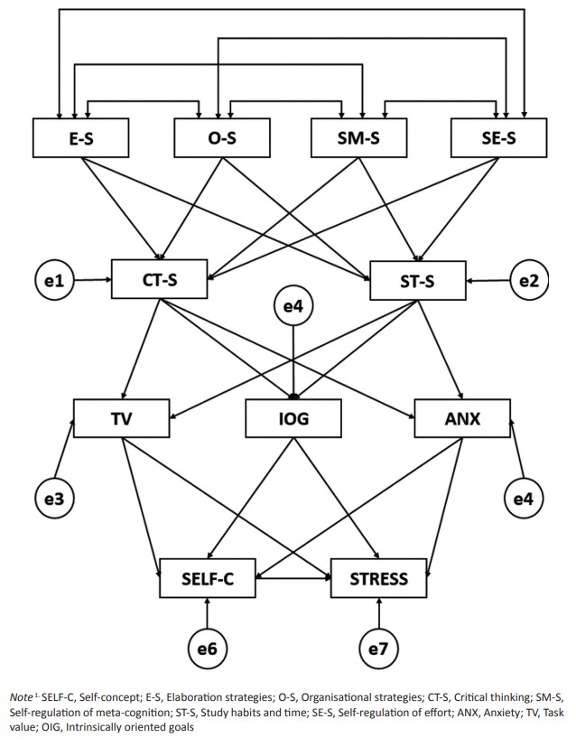
Figure 2 presents the theoretical model, with this determining the associations between learning strategies, variables associated with motivation such as intrinsically oriented goals, anxiety and task value, in addition to self-concept and academic stress. Further, the developed structural equation model will be analysed via multi-group analysis according to teaching type (face-to-face and online). This will enable existing differences to be uncovered in relation to the associations between each category of variables included in the theoretical model.
The structural model is constituted by eleven observed variables. These variables are represented by squares and use an error term (circle) when they receive the effect of another variable. In this way, the model reports information on the relationship patterns between them. Bidirectional relationships (correlations and covariances) are represented as vectors with an arrow at each end. On the other hand, any structural effect is represented as a straight arrow, whose origin is the predictor variable and whose end, where the arrowhead is located, is the dependent variable.
In this way, the top of the model shows four learning strategies: Elaboration strategies (E-S), organisational strategies (O-S), self-regulation of meta-cognition (SM-S) and self-regulation of effort (SE-S); these variables are related by means of correlations without having an associated error term and being exogenous variables. Following this, another two learning strategies were included as observed variables, with these being critical thinking (CT-S) and study habits and time (ST-S); these variables receive the effect of the previous four through unidirectional arrows being endogenous mediators. In addition, the remaining observed variables are presented. Amongst these, we find task value (TV), anxiety (ANX) and intrinsically oriented goals (IOG) as motivational variables related with learning strategies and being endogenous mediators. It is important to note that the variables described are continuous and were obtained from the mean value of the items of each dimension of the scale. Finally, self-concept (SELF-C) and academic stress (STRESS) are included in the lowest part of the structural model, with these representing two inter-related observed variables that are also linked to task value (TV), anxiety (ANX) and intrinsically oriented goals (IOG). The variables dependent variables (STRESS) and (SELF-C) are also continuous, but these are calculated through the total score of the scale by summation. In this case, the variable is not split into dimensions.

RESULTS
Tables 1 and 2 show the descriptive information of the variables under study in order to deepen their knowledge before carrying out the structural equation model. Specifically, Table 1 shows the mean values of each dimension according to the modality of teaching, revealing information of interest (statistically significant differences were obtained in all the variables except critical thinking, study time, motivation and self-concept), showing that the type of teaching can act as a modulating factor in many of them. In addition, Table 2 shows the correlations between all the variables, showing significance in almost all of them. Specifically, variables such as motivation or self-concept, which did not show significance in the T-test, show significant correlations with all the variables. For all these reasons, the interest in developing a structural model that studies the relationships between the variables described is evident.


A structural equation model was elaborated that included learning strategies, students’ academic stress and global self-concept. First, the fit indices of the baseline model were as follows (χ2= 1013.89; df=56; p<0.001; NFI=0.91; IFI=0.91; CFI=0.91; RMSEA=0.79). Acceptable values can be observed for all of them, proceeding to carry out the multigroup (the RMSEA value was at the limit, although it was decided to run the model because of the rest of the fit indices obtained appropriate values). Likewise, multi-group analysis was conducted of the model with the aim of comparing potential differences between the relationships established between variables, as a function of the teaching method being used to deliver university courses: face-to-face or online study. The structural model developed showed good fit indices for the multi-group analysis. The Chi-squared test revealed a statistically significant value (χ2= 1013.89; df=56; p<0.001). Given the sensitivity to sample size presented by this statistic, Byrne (2016) indicates the importance of using other standardised fit indices. In this way, a value of 0.91 was obtained for the NFI, a value of 0.91 for the IFI and a value of 0.91 for the CFI, with all of these being acceptable. Likewise, a value of 0.079 was obtained for the RMSEA, with this also being adequate and demonstrating satisfactory fit of the SEM.
Figure 3 present the regression weights and standardised regression weights of the SEM developed for students undertaking their university studies via face-to-face approachs (left) and students undertaking distance learning (right). This enables relationships to be determined between learning strategies, self-concept and stress. Taking into account the model on the left (students who study face-to-face), in the first level of the model, statistically significant associations are shown (p<0.005) between the four basic learning strategies, with positive relationships being reflected in all cases. In the case of elaboration strategies, a greater regression weight is seen for the following dimensions: self-regulation of effort (b=0.622), self-regulation of meta-cognition (b=0.603) and organisational strategies (b=0.582). In the case of organisational strategies, positive associations are observed with both the self-regulation of effort (b=0.582) and the self-regulation of meta-cognition (b=0.429). Finally, self-regulation of meta-cognition and self-regulation of effort were positively related (b=0.579).
In the next level of the model, concrete associations emerge between the aforementioned learning strategies, critical thinking and time spent studying. When reviewing the variable of critical thinking, significant and positive associations can be observed with all learning strategies except for the self-regulation of effort (p=0.570). In this way, the regression weights load as follows, from highest to lowest: Self-regulation of meta-cognition (p<0.005; b=0.363), elaboration strategies (p<0.005; b=0.214) and organisational strategies (p<0.005; b=0.085). On the other hand, when the time spent studying is considered, statistically significant differences and positive associations are observed in relation to all learning strategies, taking the following order according to their regression weights: self-regulation of effort (p<0.005; b=0.316), organisational strategies (p<0.005; b=0.257), self-regulation of meta-cognition (p<0.005; b=0.181) and elaboration strategies (p<0.01; b=0.067).
At the third level, associations are specified in relation to three relevant cognitive elements – task value, intrinsically oriented goals and anxiety – and critical thinking, study habits and time. It can be determined that critical thinking reflects positive associations with these three elements, as follows: Intrinsically oriented goals (p<0.005; b=0.247), task value (p<0.005; b=0.113) and anxiety (p<0.05; b=0.047). In contrast, when reviewing study habits and time, a negative association was determined with task value (p<0.005; b=-0.324), and a positive association with intrinsically oriented goals (p<0.005; b=0.193) and anxiety (p<0.005; b=0.121).
In conclusion, associations were established between the three aforementioned cognitive components, multi-dimensional self-concept and academic stress. Specifically, intrinsically oriented goals were positively associated with multi-dimensional self-concept (p<0.005; b=0.102) and academic stress (p<0.05; b=0.043). In a similar fashion to that already discussed, task value showed a negative association with multi-dimensional self-concept (p<0.005; b=-0.162), with no relationship being found with academic stress (p=0.529). Thus, anxiety was positively associated with academic stress (p<0.005; b=0.419) and negatively related with multi-dimensional self-concept (p<0.005; b=-0.296). Finally, the structural equation model uncovered a statistically significant negative/inverse association between academic stress and multi-dimensional self-concept in university students (p<0.005; b=-0.280).

On the other hand, the part on the right shows the structural model for distance learning students (Figure 3). At the first level of the model, statistically significant associations (p<0.005) are shown between the four basic learning strategies, with all of these being seen to be positive. In the case of elaboration strategies, regression weights were observed as follows, running from the strongest to the weakest: Self-regulation of effort (b=0.799), self-regulation of meta-cognition (b=0.755) and organisational strategies (b=0.559). With regards to organisational strategies, similar positive associations were observed with the self-regulation of effort (b=0.529) and the self-regulation of meta-cognition (b=0.432). Finally, self-regulation of meta-cognition and self-regulation of effort were positively associated (b=0.686).
At the next level of the model, associations were specified between the aforementioned learning strategies, critical thinking and the time spent studying. When reviewing the variable of critical thinking, significant associations can be observed in relation to all learning strategies, apart from the self-regulation of effort (p=0.282) and organisational strategies (p=0.507). In this way, regression weights from highest to lowest are as follows: Elaboration strategies (p<0.005; b=0.377) and self-regulation of meta-cognition (p<0.005; b=0.317). On the other hand, when the time spent studying is considered, statistically significant positive associations are observed with all learning strategies apart from elaboration strategies (p=0.600). Thus, regression weights are presented as follows, from strongest to weakest: Self-regulation of effort (p<0.005; b=0.491), organisational strategies (p<0.005; b=0.209) and self-regulation of meta-cognition (p<0.005; b=0.179).
At the third level, associations are specified between the three relevant cognitive elements – task value, intrinsically oriented goals and anxiety – and critical thinking, study habits and time. It can be determined that critical thinking is positively related with these three elements, with weights ordered as follows: Intrinsically oriented goals (p<0.005; b=0.536), task value (p<0.05; b=0.139) and anxiety (p<0.005; b=0.317). In contrast, when reviewing the time spent studying and study habits, a negative association was determined with task value (p<0.005; b=-0.401), and a positive association was found with intrinsically oriented goals (p<0.005; b=0.251). Statistically significant associations did not emerge in relation to anxiety (p=0.116). Finally, associations were determined between the three aforementioned cognitive components, self-concept and stress. Specifically, intrinsic goals were positively associated with self-concept (p<0.005; b=0.370) but not with stress (p=0.945). Task value demonstrated a negative association with self-concept (p<0.05; b=-0.117) and a positive association with stress (p<0.005; b=0.229). Anxiety was positively related with stress (p<0.005; b=0.458) and negatively related with self-concept (p<0.005; b=-0.246). Finally, stress and self-concept were inversely associated (p<0.005; b=-0.262).
After analyzing the significant relationships for each structural model specifically, Table 3 reports the significant p-values for each pair of regression weights according to the teaching modality (comparison of the relationship vectors of the two models).

DISCUSSION AND CONCLUSIONS
The structural model analysed the relationships between learning strategies, stress and self-concept as a function of study methods during the university stage. The model considered differences in relation to face-to-face and distance approaches to learning. In this way, it could be observed that some learning strategies such as elaboration, meta-cognition and effort strategies were positively related. Despite this, associations acquired greater strength when they pertained to students taking online courses. Broadbent & Poon (2015) explain these findings, arguing that students undertaking distance-learning studies are obliged to develop greater autonomy in relation to their learning and put specific strategies into practice which ensure the mastery of content and good academic performance (Cho & Heron, 2015).
Along these lines, a positive relationship was determined between all learning strategies and the critical thinking of students enrolled on courses with face-to-face teaching methods. The only exception was seen in relation to the self-regulation of effort. When explaining these findings, McPeck (2016) argue that critical thinking is based on the ability to analyse, understand, evaluate and interpret knowledge. For this reason, this skill largely runs in parallel with the majority of learning strategies, involving knowledge and the control of mental processes or the establishment of structural relationships between knowledge sources (Pintrich & Garcia, 2012; Sabogal et al., 2011). Along these lines, students engaged in distance learning were observed to demonstrate stronger relationships, with no relationships being uncovered between organisational strategies and effort.
The stronger relationship between critical thinking and learning strategies in students undertaking distance-based learning may be explained by characteristics of the teaching-learning process which pertain specifically to this teaching method. This suggests that students are encouraged to develop critical skills when exposed to new information, in addition to analysis and interpretation skills, and novel and adaptive thinking (Cortázar et al., 2021; Kong, 2014). Likewise, Pintrich & Garcia (2012) argue that the regulation of effort represents a learning strategy that imposes a greater load on students. This may be because it is linked with the ability to manage the level of commitment one gives to a task, although it is less tightly linked with the mental processes associated with the integration of new knowledge. For this reason, no association was found with critical thinking.
In consideration of study habits and time, stronger relationships were observed between the self-regulation of effort and organisational strategies when examined in relation to those engaged in face-to-face studying methods. This seems logical given that students who plan better for different academic tasks will possess better study habits and reach academic aims more effectively (Khiat et al., 2017; Rashid & Asghar, 2016). In the case of distance-based approaches, self-regulation of effort was most strongly associated with the time spent studying. Concretely, Broadbent & Poon (2015) and Saks & Leijen (2014) state that one of the basic characteristics of distance-learning is students’ ability to control and regulate their own learning. This is evident given that they will have to face up to the studying process and completion of work tasks in a more autonomous way, with less teaching supervision and without the help of other course mates. These premises will help to explain the relevance of the self-regulation of effort in relation to the time spent studying and study habits. This characteristic is typically higher in courses delivered online, due to the reduced amount of teacher follow-up, as a result of the absence of face-to-face classes or tutorials (El Refae et al., 2021).
Intrinsically oriented goals emerged as stronger determinants of critical thinking and the time spent studying in online teaching, a finding which may appear contradictory. On the other hand, it can be concluded that, generally speaking, students undertaking university studies via face-to-face methods tend to present more self-determined motivations. This is because the elements that characterise this type of teaching favour the development of autonomous motivation via group working, continuous feedback provision and closer contact between teachers and students (Bruggeman et al., 2022; Cho & Heron, 2015).
Nonetheless, Darling-Aduana et al. (2022) and Pérez-Contreras et al. (2018) distinguished a profile for students undertaking distance learning courses and established that economic and employment-related reasons tended to determine the choice of this modality. However, the acquisition of training was also important, which, in many cases, was interesting to students at a vocational level and filled a gap in their prior learning. Further, this type of teaching uses technological resources which favour motivation. This brings together both extrinsic and intrinsic motivational types, strengthening overall motivation and the relationship it is seen to have with the time spent studying and critical thinking (Mahande & Akram, 2021). In line with that presented, anxiety was not related with critical thinking when face-to-face teaching methods were considered, however, it was positively related when distance learning was contemplated. This seems intuitive given that distance-learning students count on fewer resources to help them deal with academic tasks, causing stressful situations to arise (Heo & Han, 2018; Saks & Leijen, 2014). Further, anxiety was positively related with the time spent studying in face-to-face approaches. This may be a result of the heavier workload implied by these courses, as students must attend theoretical sessions as well as having to complete work in the way that is done online (Broadbent & Poon, 2015; Firat, 2016). On the other hand, task value was negatively associated with the time spent studying in online studies, with a stronger relationship being evident. In explaining these findings, Sabogal et al. (2011) and Pintrich & García (2012) argue that task value may have a negative connotation in that it may be related with underestimating the workload associated with an academic task. This may explain the increase seen in time spent studying when a task is perceived as being important.
The lower section of the model shows the relationships present in relation to stress and self-concept. These were both negatively related with task value, anxiety and stress, with stronger regression weights being obtained for distance-learning approaches. In this way, it can be established that those students who possess a more positive self-concept develop lower levels of anxiety and stress, and hold task value perceptions that are better-adjusted to reality, enabling better academic results to be achieved (Willis & Burnett 2016). Further, this is particularly evident in young people studying on distance-learning courses as they possess better learning strategies and can better manage stressful situations (Heo & Han, 2018). In this way, it serves to highlight that stress is directly associated with anxiety and task value. This is made evident through its relationship with students’ perceptions of being unable to successfully tackle academic demands (Chacón-Cuberos et al., 2021).
Finally, it is essential to point out the main limitations of this study. First, to indicate that some dimensions of the scales used have shown low internal consistency, since they were only made up of two or three items. However, it is important to point out that all the scales obtained adequate values of global reliability. A second limitation is associated with the value obtained for the RMSEA, which is at the limit of acceptance -this limit value can be explained by the high number of variables included in the model-. Furthermore, because the rest of the indices obtained a good fit value, the model was accepted. Another limitation is linked to the study design, since cross-sectional designs do not allow establishing causal relationships between the variables under study. Finally, it should be highlighted the duration of the data collection process, which lasted several months due to the size of the sample. This could generate certain biases in variables such as stress, since this is dependent on the time of the school year.
CONCLUSIONS
The theoretical model developed, and the multi-group analysis conducted, according to teaching methods, revealed better learning strategy development in relation to virtual teaching methods. Critical thinking was seen to be more dependent on the development of learning strategies when face-to-face approaches were used, whilst study habits were more strongly related with the self-regulation of effort when online methods were opted for. Of particular interest, intrinsically oriented goals were stronger determinants of critical thinking and the time spent studying in online teaching, highlighting the importance of this type of teaching approach. In addition, anxiety was positively related with the time spent studying in face-to-face teaching approaches. In conclusion, it is indicated that self-concept was negatively associated with task value, anxiety and stress, with stronger regression weights being obtained in relation to distance-learning approaches. In this way, it can be concluded that the study hypotheses were entirely fulfilled, producing some highly relevant findings. Concretely, specific characteristics of the face-to-face learning approach were observed with regards to learning strategies, including the need to improve the development of organisational strategies. Nonetheless, it appears that distance approaches favour greater inter-dependence between learning strategies, time spent studying and motivation. This could favour better academic performance of university students in a social context that increasingly demands hybrid learning models.
REFERENCES
Almarzooq, Z., Lopes, M., & Kochar, A. (2020). Virtual learning during the COVID-19 pandemic: A disruptive technology in graduate medical education. Journal of the American College of Cardiology, 75(2), 2635–2638. https://doi.org/10.1016/j.jacc.2020.04.015
Arnett, J. J. (2016). Does emerging adulthood theory apply across social classes? National data on a persistent question. Emerging Adulthood, 4(4), 227–235. https://doi.org/10.1177/2167696815613000
Bartlett, J. E., Kotrlik, J. W., & Higgins, C. C. (2001). Organizational research: Determining appropriate sample size in survey research. Information Technology, Learning, and Performance Journal, 19(1), 43–50.
Bruggeman, B., Garone, A., Struyven, K., Pynoo, B., & Tondeur, J. (2022). Exploring university teachers’ online education during COVID-19: Tensions between enthusiasm and stress. Computers and Education Open, 3, 100095. https://doi.org/10.1016/j.caeo.2022.100095
Byrne, B. M. (2016). Structural equation modelling with AMOS: Basic concepts, applications, and programming. Routledge.
Castro-Sánchez, M., Ramiro-Sánchez, T., García-Mármol, E., & Chacón-Cuberos, R. (2022). The association of trait emotional intelligence with the levels of anxiety, stress and physical activity engagement of adolescents. Revista Latinoamericana de Psicología, 54, 130–139. https://doi.org/10.14349/rlp.2022.v54.15
Chacón-Cuberos, R., Olmedo-Moreno, E. M., Lara-Sánchez, A. J., Zurita-Ortega, F., & Castro-Sánchez, M. (2021). Basic psychological needs, emotional regulation and academic stress in university students: A structural model according to branch of knowledge. Studies in Higher Education, 46(7), 1421–1435. https://doi.org/10.1080/03075079.2019.1686610
Cho, M. H., & Heron, M. L. (2015). Self-regulated learning: The role of motivation, emotion, and use of learning strategies in students’ learning experiences in a self-paced online mathematics course. Distance Education, 36(1), 80–99. https://doi.org/10.1080/01587919.2015.1019963
Cortázar, C., Nussbaum, M., Harcha, J., Alvares, D., López, F., Goñi, J., & Cabezas, V. (2021). Promoting critical thinking in an online, project-based course. Computers in Human Behavior, 119, 106705. https://doi.org/10.1016/j.chb.2021.106705
Crawford, J., Butler-Henderson, K., Rudolph, J., & Glowatz, M. (2020). COVID-19: 20 countries’ higher education intra-period digital pedagogy responses. Journal of Applied Teaching and Learning, 3(1). https://doi.org/10.37074/jalt.2020.3.1.7
Darling-Aduana, J., Woodyard, H. T., Sass, T. R., & Barry, S. S. (2022). Learning-mode choice, student engagement, and achievement growth during the COVID-19 pandemic. AERA Open, 8. https://doi.org/10.1177/23328584221128035
De la Fuente-Arias, J., Amate-Romera, J., & Sander, P. (2018). Relationships between cognitive strategies, motivational strategies and academic stress in professional examination candidates. Electronic Journal of Research in Educational Psychology, 16(2), 345–365.
El Refae, G. A., Kaba, A., & Eletter, S. (2021). Distance learning during COVID-19 pandemic: Satisfaction, opportunities and challenges as perceived by faculty members and students. Interactive Technology and Smart Education, 18(3), 298–318. https://doi.org/10.1108/itse-08-2020-0128
Firat, M. (2016). Measuring the e-learning autonomy of distance education students. Open Praxis, 8(3), 191–201. https://doi.org/10.5944/openpraxis.8.3.310
García, F., & Musitu, G. (2001). Manual AF5 Autoconcepto. TEA Ediciones.
García-Ros, R., Pérez-González, F., Pérez-Blasco, J., & Natividad, L. A. (2012). Evaluación del estrés académico en estudiantes de nueva incorporación a la universidad. Revista Latinoamericana de Psicología, 44(2), 143–154.
Heo, J., & Han, S. (2018). Effects of motivation, academic stress and age in predicting self-directed learning readiness (SDLR): Focused on online college students. Education and Information Technologies, 23(1), 61–71. https://doi.org/10.1007/s10639-017-9585-2
Jones, B. D. (2017). Estudio de componentes de un modelo de motivación en la enseñanza presencial y online. Electronic Journal of Research in Education Psychology, 8(22), 915–944.
Khiat, H. (2017). Academic performance and the practice of self-directed learning: The adult student perspective. Journal of Further and Higher Education, 41(1), 44–59. https://doi.org/10.1080/0309877X.2015.1062849
Kizilcec, R. F., Pérez-Sanagustín, M., & Maldonado, J. J. (2017). Self-regulated learning strategies predict learner behavior and goal attainment in Massive Open Online Courses. Computers & Education, 104, 18–33. https://doi.org/10.1016/j.compedu.2016.10.001
Kong, S. C. (2014). Developing information literacy and critical thinking skills through domain knowledge learning in digital classrooms: An experience of practicing flipped classroom strategy. Computers & Education, 78, 160–173. https://doi.org/10.1016/j.compedu.2014.05.009
Mahande, R. D., & Akram, A. (2021). Motivational factors underlying the use of online learning system in higher education: An analysis of measurement model. Turkish Online Journal of Distance Education, 22(1), 89–105. https://doi.org/10.17718/tojde.849888
McPeck, J. E. (2016). Critical thinking and education. Routledge. https://doi.org/10.4324/9781315463698
Nice, M. L., & Joseph, M. (2023). The features of emerging adulthood and individuation: Relations and differences by college-going status, age, and living situation. Emerging Adulthood, 11(2), 271–287. https://doi.org/10.1177/21676968221116545
O’Connor, K. (2022). Constructivism, curriculum and the knowledge question: Tensions and challenges for higher education. Studies in Higher Education, 47(2), 412–422. https://doi.org/10.1080/03075079.2020.1750585
Pérez-Contreras, B., González-Otero, K., & Polo-Bolaño, Y. (2018). Perfil sociodemográfico y económico de estudiantes universitarios. Búsqueda, 5(20), 48–62.
Pintrich, P. R., & Garcia, T. (2012). Self-regulated learning in college students: Knowledge, strategies, and motivation. In P. R. Pintrich, D. R. Brown, & C. E. Weinstein (Eds.), Student motivation, cognition, and learning (pp. 129–150). Routledge. https://doi.org/10.4324/9780203052754
Pintrich, P. R., Smith, D. A., Garcia, T., & McKeachie, W. J. (1993). Reliability and predictive validity of the Motivated Strategies for Learning Questionnaire (MSLQ). Educational and Psychological Measurement, 53(3), 801–813.
Rashid, T., & Asghar, H. M. (2016). Technology use, self-directed learning, student engagement and academic performance: Examining the interrelations. Computers in Human Behavior, 63, 604–612. https://doi.org/10.1016/j.chb.2016.05.084
Sabogal, L. F., Barraza, E., Hern, A., & Zapata, L. (2011). Validación del cuestionario de motivación y estrategias de aprendizaje forma corta – MSLQ SF, en estudiantes universitarios de una institución pública-Santa Marta. Psicogente, 14(25), 36–50.
Saks, K., & Leijen, Ä. (2014). Distinguishing self-directed and self-regulated learning and measuring them in the e-learning context. Procedia-Social and Behavioral Sciences, 112, 190–198. https://doi.org/10.1016/j.sbspro.2014.01.1155
Teixeira, R. J., Brandão, T., & Dores, A. R. (2022). Academic stress, coping, emotion regulation, affect and psychosomatic symptoms in higher education. Current Psychology, 41(11), 7618–7627. https://doi.org/10.1007/s12144-020-01304-z
Willis, K. D., & Burnett, H. J. (2016). The power of stress: Perceived stress and its relationship with rumination, self-concept clarity, and resilience. North American Journal of Psychology, 18(3), 483–498.
Yadegaridehkordi, E., Shuib, L., Nilashi, M., & Asadi, S. (2019). Decision to adopt online collaborative learning tools in higher education: A case of top Malaysian universities. Education and Information Technologies, 24(1), 79–102. https://doi.org/10.1007/s10639-018-9761-z
Información adicional
How to reference this article: Chacón-Cuberos, R., Pérez-Mármol, M., García-Mármol, E., Olmedo-Moreno, E. M., Expósito-López, J., & Castro-Sánchez, M. (2024). The role of virtuality in learning strategies and stress prevention in higher education. Educación XX1, 27(2), 89-113. https://doi.org/10.5944/educxx1.35855
Información adicional
redalyc-journal-id: 706